Development of an Automated Multistage Countercurrent Extraction System and Its Application in the Extraction of Phenolic Acids
Abstract
1. Introduction
2. Materials and Methods
2.1. Reagents and Materials
2.2. Preparation of Lonicera Japonica Extract
2.3. Analytical Method for Lonicera Japonica Extract
2.4. Extraction Experiment
2.4.1. Setup of the Extraction Device
2.4.2. Determination of Apparent Partition Coefficients
2.4.3. Optimization of Tee Junction Diameter
2.4.4. Optimization of Flowrate
2.4.5. Optimization of Phase Flow Ratio
2.4.6. Optimization of Extraction Stages
2.5. Data Processing
2.5.1. Fitting of Apparent Partition Coefficients
2.5.2. Stage Efficiency and Extraction Rate in Single-Stage Extraction
2.5.3. Performance Evaluation of Continuous Multistage Extraction
3. Results
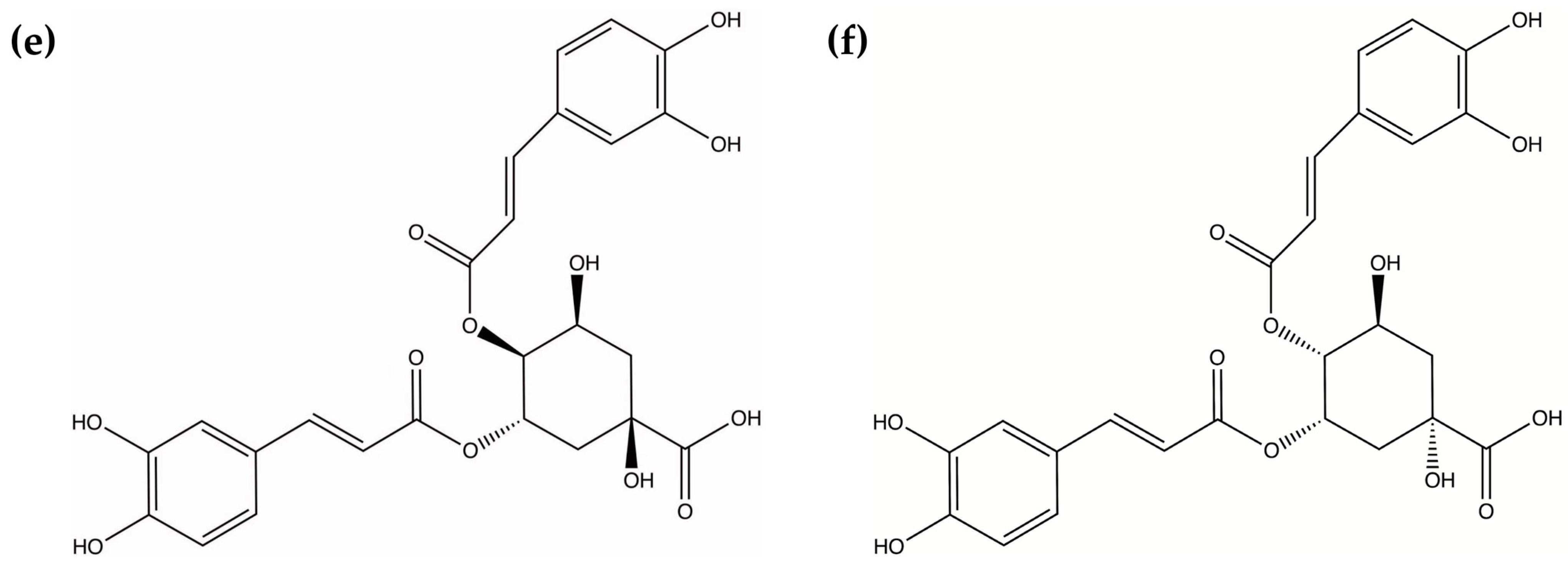
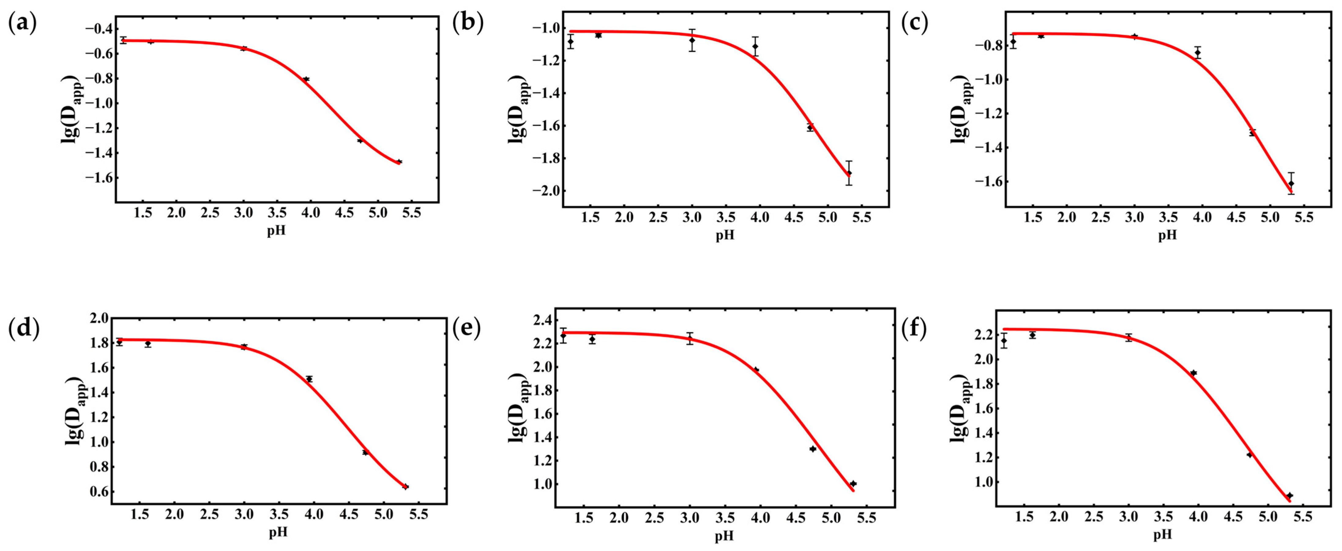
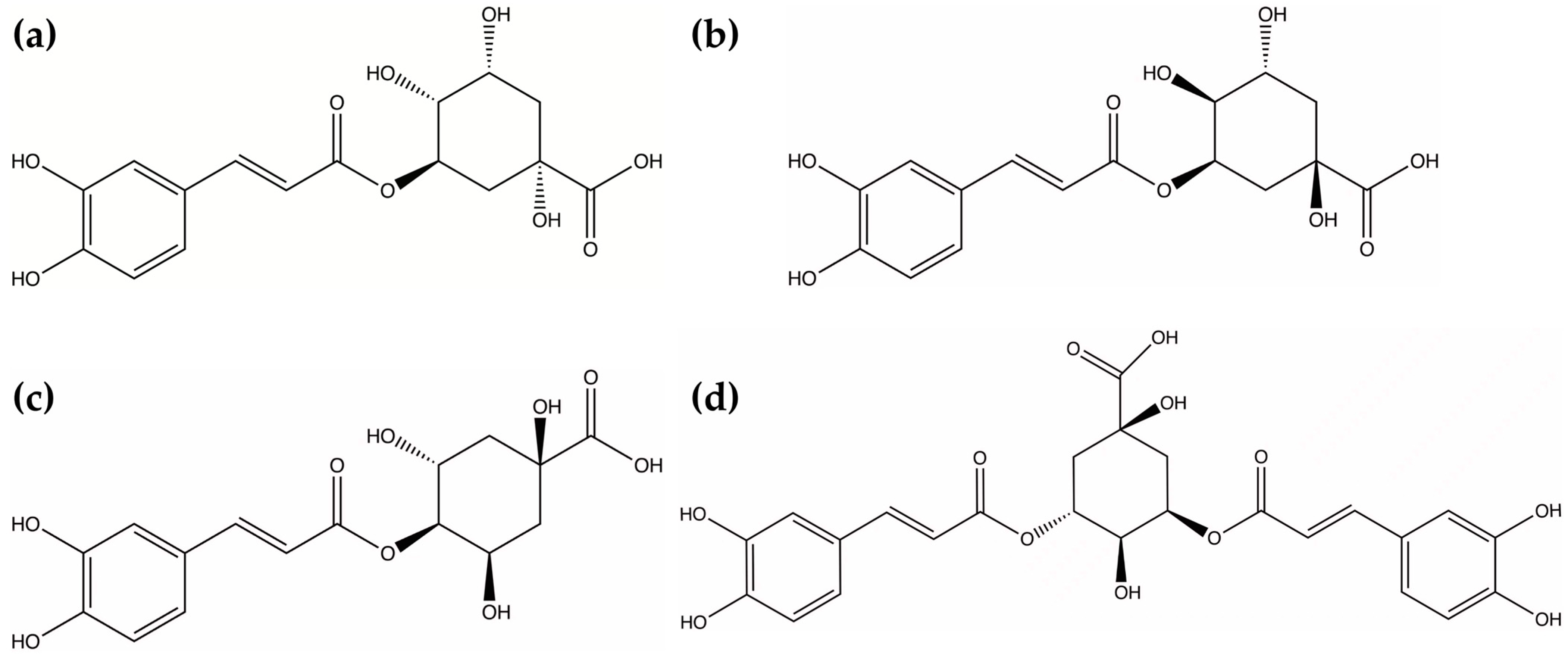
3.1. Apparent Partition Coefficients and pKa Values of Bioactive Compounds
3.2. Effect of Tee Junction Diameter on Continuous Countercurrent Extraction
3.3. Effect of Flow Rate on Continuous Countercurrent Extraction
3.4. Effect of Phase Ratio on Continuous Countercurrent Extraction
3.5. Effect of Number of Extraction Stages on Continuous Countercurrent Extraction
4. Conclusions
Author Contributions
Funding
Data Availability Statement
Conflicts of Interest
References
- Rutkowska, M.; Płotka-Wasylka, J.; Sajid, M.; Andruch, V. Liquid–phase microextraction: A review of reviews. Microchem. J. 2019, 149, 103989. [Google Scholar] [CrossRef]
- Zheng, W.; Wu, Y.; Gao, H.; Ouyang, D. Traditional Chinese medicine injections: Where we are after 80-year development. Chin. Med. 2022, 17, 127. [Google Scholar] [CrossRef] [PubMed]
- Weeranoppanant, N.; Adamo, A.; Saparbaiuly, G.; Rose, E.; Fleury, C.; Schenkel, B.; Jensen, K.F. Design of Multistage Counter-Current Liquid–Liquid Extraction for Small-Scale Applications. Ind. Eng. Chem. Res. 2017, 56, 4095–4103. [Google Scholar] [CrossRef]
- Cansino-Jácome, F.; Méndez-Campos, G.K.; Hidalgo-Morales, M.; García-Alvarado, M.A.; Rodríguez-Jimenes, G.C. Extraction of bioactive compounds from papaya leaves (Carica papaya L.) by multistage countercurrent extraction as function of solvent polarity and temperature. Food Chem. 2025, 488, 144824. [Google Scholar] [CrossRef]
- Du, C.; Wang, J.; Wang, Y.; Deng, J.; Luo, G. Microdroplet-based continuous countercurrent extraction with high phase ratio. Sep. Purif. Technol. 2022, 295, 121269. [Google Scholar] [CrossRef]
- Zhang, F.; Shi, P.; Liu, H.; Zhang, Y.; Yu, X.; Li, J.; Pu, G. A Simple, Rapid, and Practical Method for Distinguishing Lonicerae Japonicae Flos from Lonicerae Flos. Molecules 2019, 24, 3455. [Google Scholar] [CrossRef] [PubMed]
- Wu, Q.; Zhao, D.; Leng, Y.; Chen, C.; Xiao, K.; Wu, Z.; Chen, F. Identification of the Hypoglycemic Active Components of Lonicera japonica Thunb. and Lonicera hypoglauca Miq. by UPLC-Q-TOF-MS. Molecules 2024, 29, 4848. [Google Scholar] [CrossRef]
- Navarro-Orcajada, S.; Matencio, A.; Vicente-Herrero, C.; García-Carmona, F.; López-Nicolás, J.M. Study of the fluorescence and interaction between cyclodextrins and neochlorogenic acid, in comparison with chlorogenic acid. Sci. Rep. 2021, 11, 3275. [Google Scholar] [CrossRef]
- Holowinski, P.; Dawidowicz, A.L.; Typek, R. Chlorogenic acid-water complexes in chlorogenic acid containing food products. J. Food Compos. Anal. 2022, 109, 104509. [Google Scholar] [CrossRef]
- Li, J.; Wang, S.-P.; Wang, Y.-Q.; Shi, L.; Zhang, Z.-K.; Dong, F.; Li, H.-R.; Zhang, J.-Y.; Man, Y.-Q. Comparative metabolism study on chlorogenic acid, cryptochlorogenic acid and neochlorogenic acid using UHPLC-Q-TOF MS coupled with network pharmacology. Chin. J. Nat. Med. 2021, 19, 212–224. [Google Scholar] [CrossRef] [PubMed]
- Nie, R.; Dang, M.; Ge, Z.; Huo, Y.; Yu, B.; Tang, S. Interactions of chlorogenic acid and isochlorogenic acid A with model lipid bilayer membranes: Insights from molecular dynamics simulations. Chem. Phys. Lipids 2021, 240, 105136. [Google Scholar] [CrossRef]
- Shi, J.-X.; Cheng, C.; Ruan, H.-N.; Li, J.; Liu, C.-M. Isochlorogenic acid B alleviates lead-induced anxiety, depression and neuroinflammation in mice by the BDNF pathway. NeuroToxicology 2023, 98, 1–8. [Google Scholar] [CrossRef] [PubMed]
- Xu, J.-Y.; Rong, X.-J.; Shen, Z.; Guo, Y.-D.; Zhang, Y.-X.; Ding, C.-C.; Wang, Y.; Han, Y.-X.; Gao, T.-L.; Tie, C. Isochlorogenic Acid C Alleviates Allergic Asthma via Interactions Between Its Bioactive Form and the Gut Microbiome. Int. J. Mol. Sci. 2025, 26, 4864. [Google Scholar] [CrossRef]
- Su, X.; Zhu, Z.-h.; Zhang, L.; Wang, Q.; Xu, M.-m.; Lu, C.; Zhu, Y.; Zeng, J.; Duan, J.-A.; Zhao, M. Anti-inflammatory property and functional substances of Lonicerae Japonicae Caulis. J. Ethnopharmacol. 2021, 267, 113502. [Google Scholar] [CrossRef]
- Zheng, S.; Liu, S.; Hou, A.; Wang, S.; Na, Y.; Hu, J.; Jiang, H.; Yang, L. Systematic review of Lonicerae Japonicae Flos: A significant food and traditional Chinese medicine. Front. Pharmacol. 2022, 13, 1013992. [Google Scholar] [CrossRef]
- Li, H.; Yang, B.; Ge, W.; Cao, Z.; Cao, L.; Yu, Y.; Wang, Z.; Yao, X.; Xiao, W. Two new terpenoids from Reduning Injection. Chin. Herb. Med. 2020, 12, 183–187. [Google Scholar] [CrossRef]
- Cui, L.; Wang, L.; Xu, D.; Wang, Z.; Chen, Y.; Song, X.; Xu, F.; Gao, S.; Huang, L.; Tao, X.; et al. Pharmacokinetic study of the main components of Tanreqing capsules and Tanreqing injections in beagles by liquid chromatography–tandem mass spectrometry. Chin. Med. 2022, 17, 135. [Google Scholar] [CrossRef] [PubMed]
- Martínez, J.A.; Cutillas, V.; Manzano-Sanchez, L.; Fernández-Alba, A.R. Automation in food safety: Pressurized liquid extraction for pesticide analysis in coffee. Talanta 2026, 298, 128914. [Google Scholar] [CrossRef] [PubMed]
- Marco, A.; Pertusa, B.; Aguirre, M.Á.; Quijada, C.; Hidalgo, M. Sensitive elemental analysis of edible oil samples using a hydrophilic eutectic mixture as green solvent in electrochemically controlled liquid-liquid microextraction. Anal. Chim. Acta 2025, 344785. [Google Scholar] [CrossRef]
- Wang, L.; Liu, H.; Zhang, J.; Li, J.; Zhang, Y. Simultaneous Determination of Eight Active Components in Lonicera japonica by Quantitative Analysis of Multi-Components by Single Marker and External Standard Method. China J. Exp. Tradit. Med. Formulae 2014, 20, 57–61. [Google Scholar] [CrossRef]
- Bian, L. Brief Analysis of EIA-485 Communication in Automatic Control Systems. Green Build. Intell. Archit. 2024, 07, 108–114. [Google Scholar]
- Gong, X.; Huang, S.; Jiao, R.; Pan, J.; Li, Y.; Qu, H. The determination of dissociation constants for active ingredients from herbal extracts using a liquid–liquid equilibrium method. Fluid Phase Equilibria 2016, 409, 447–457. [Google Scholar] [CrossRef]
- Gonda, K.; Miyachi, S.; Fukuda, S. Stage Efficiency for Mixer-Settlers Process with Chemical Reactions. J. Nucl. Sci. Technol. 1986, 23, 279–281. [Google Scholar] [CrossRef]
- Wang, W.; Zheng, B.; Wu, J.; Lv, W.; Lin, P.; Gong, X. Determination of the Dissociation Constants of 16 Active Ingredients in Medicinal Herbs Using a Liquid–Liquid Equilibrium Method. Separations 2021, 8, 49. [Google Scholar] [CrossRef]
- Tang, B.; Huang, Y.; Ma, X.; Liao, X.; Wang, Q.; Xiong, X.; Li, H. Multispectroscopic and docking studies on the binding of chlorogenic acid isomers to human serum albumin: Effects of esteryl position on affinity. Food Chem. 2016, 212, 434–442. [Google Scholar] [CrossRef] [PubMed]
- Matsutani, T.; Sasaki, Y.; Katsuta, S. Separation of Light and Middle Lanthanides Using Multistage Extraction with Diglycolamide Extractant. Anal. Sci. 2021, 37, 1603–1609. [Google Scholar] [CrossRef] [PubMed]
- Zhejiang University. Continuous Multistage Extraction Efficiency Calculation Software V1.0 [CP]; MathWorks Inc.: Natick, MA, USA, 2022. [Google Scholar]








| Parameter | Neochlorogenic Acid | Chlorogenic Acid | Cryptochlorogenic Acid | Isochlorogenic Acid A | Isochlorogenic Acid B | Isochlorogenic Acid C |
|---|---|---|---|---|---|---|
| d0 | −0.49 ± 0.02 | −1.02 ± 0.02 | −0.73 ± 0.01 | 1.83 ± 0.03 | 2.29 ± 0.17 | 2.25 ± 0.15 |
| d1 | −1.61 ± 0.04 | −2.24 ± 0.47 | −2.08 ± 0.39 | 0.41 ± 0.04 | 0.35 ± 0.48 | 0.40 ± 0.18 |
| pKa | 3.76 ± 0.06 | 4.21 ± 0.17 | 4.23 ± 0.10 | 3.77 ± 0.06 | 3.85 ± 0.28 | 3.73 ± 0.20 |
| R2 | 0.997 | 0.983 | 0.994 | 0.999 | 0.981 | 0.984 |
| Adjusted R2 | 0.996 | 0.971 | 0.990 | 0.999 | 0.969 | 0.974 |
| Compound | Literature Values | This Study |
|---|---|---|
| Neochlorogenic acid | 3.44 [24], 3.90 [25] | 3.76 ± 0.06 |
| Chlorogenic acid | 3.46 [24], 3.91 [25] | 4.21 ± 0.17 |
| Cryptochlorogenic acid | 3.33 [24], 4.07 [25] | 4.23 ± 0.10 |
| Isochlorogenic acid A | 3.50 [24] | 3.77 ± 0.06 |
| Isochlorogenic acid B | 3.31 [24] | 3.85 ± 0.28 |
| Isochlorogenic acid C | 3.31 [24] | 3.73 ± 0.20 |
| Tee Diameter (mm) | Stage Efficiency | Neochlorogenic Acid | Chlorogenic Acid | Cryptochlorogenic Acid | Isochlorogenic Acid A | Isochlorogenic Acid B | Isochlorogenic Acid C |
|---|---|---|---|---|---|---|---|
| 1.0 | org | 11.0 ± 0.5 | 11.7 ± 1.1 | 8.78 ± 0.88 | 15.5 ± 1.5 | 16.5 ± 4.1 | 15.7 ± 4.0 |
| aq | 11.8 ± 3.1 | 11.7 ± 1.0 | 10.6 ± 2.8 | 14.9 ± 0.8 | 19.8 ± 0.6 | 19.3 ± 0.6 | |
| 0.80 | org | 16.2 ± 1.2 | 17.9 ± 1.3 | 12.6 ± 0.2 | 24.2 ± 0.6 | 29.0 ± 0.7 | 27.7 ± 0.6 |
| aq | 14.6 ± 0.8 | 13.5 ± 1.1 | 11.2 ± 1.8 | 19.1 ± 0.7 | 24.3 ± 0.7 | 23.6 ± 0.7 | |
| 0.75 | org | 17.1 ± 0.1 | 20.4 ± 0.3 | 20.6 ± 0.8 | 24.3 ± 2.0 | 29.2 ± 2.4 | 27.9 ± 2.4 |
| aq | 24.2 ± 1.7 | 15.8 ± 2.2 | 13.2 ± 2.2 | 20.8 ± 1.9 | 26.2 ± 1.7 | 25.5 ± 1.6 |
| Tee Diameter (mm) | Neochlorogenic Acid | Chlorogenic Acid | Cryptochlorogenic Acid | Isochlorogenic Acid A | Isochlorogenic Acid B | Isochlorogenic Acid C |
|---|---|---|---|---|---|---|
| 1.0 | 1.40 ± 0.06 | (1.89 ± 0.18) × 10−2 | (1.12 ± 0.11) × 10−1 | 9.98 ± 0.96 | 11.8 ± 2.95 | 10.8 ± 2.7 |
| 0.80 | 2.01 ± 0.15 | (2.77 ± 0.20) × 10−2 | (1.33 ± 0.02) × 10−1 | 15.5 ± 0.4 | 21.0 ± 0.5 | 19.2 ± 0.4 |
| 0.75 | 2.03 ± 0.01 | (2.76 ± 0.04) × 10−2 | (1.70 ± 0.07) × 10−1 | 16.0 ± 1.3 | 21.7 ± 1.8 | 19.8 ± 1.8 |
| Tee Diameter (mm) | Neochlorogenic Acid | Chlorogenic Acid | Cryptochlorogenic Acid | Isochlorogenic Acid A | Isochlorogenic Acid B | Isochlorogenic Acid C |
|---|---|---|---|---|---|---|
| 1.0 | 6.68 ± 0.02 | 48.1 ± 0.1 | 10.9 ± 0.1 | 5.00 ± 0.03 | 10.3 ± 0.1 | 9.63 ± 0.06 |
| 0.80 | 6.77 ± 0.01 | 48.8 ± 0.1 | 11.1 ± 0.1 | 4.90 ± 0.03 | 10.0 ± 0.1 | 9.38 ± 0.06 |
| 0.75 | 6.70 ± 0.01 | 47.8 ± 0.2 | 10.8 ± 0.1 | 4.77 ± 0.07 | 9.70 ± 0.17 | 9.09 ± 0.14 |
| Flowrate (mL/min) | Stage Efficiency | Neochlorogenic Acid | Chlorogenic Acid | Cryptochlorogenic Acid | Isochlorogenic Acid A | Isochlorogenic Acid B | Isochlorogenic Acid C |
|---|---|---|---|---|---|---|---|
| 5 | org | 8.20 ± 0.68 | 22.8 ± 2.7 | 12.5 ± 1.3 | 15.2 ± 1.3 | 23.3 ± 2.0 | 17.0 ± 1.4 |
| aq | 8.50 ± 0.24 | 15.4 ± 0.5 | 11.5 ± 0.8 | 15.3 ± 1.1 | 20.5 ± 0.7 | 19.6 ± 1.1 | |
| 10 | org | 10.4 ± 0.5 | 24.9 ± 2.5 | 13.2 ± 1.2 | 18.3 ± 0.3 | 27.7 ± 0.4 | 20.4 ± 0.4 |
| aq | 10.6 ± 1.2 | 15.9 ± 0.8 | 12.8 ± 1.4 | 19.2 ± 0.6 | 25.6 ± 0.8 | 21.3 ± 0.6 | |
| 20 | org | 12.2 ± 0.5 | 29.1 ± 2.3 | 15.9 ± 0.2 | 20.3 ± 1.5 | 30.3 ± 2.3 | 22.3 ± 1.7 |
| aq | 17.6 ± 1.3 | 21.9 ± 15.1 | 15.1 ± 0.6 | 22.2 ± 0.6 | 26.6 ± 0.3 | 22.7 ± 0.6 |
| Flowrate (mL/min) | Neochlorogenic Acid | Chlorogenic Acid | Cryptochlorogenic Acid | Isochlorogenic Acid A | Isochlorogenic Acid B | Isochlorogenic Acid C |
|---|---|---|---|---|---|---|
| 5 | 1.52 ± 0.12 | (9.27 ± 0.43) × 10−2 | (1.67 ± 0.17) × 10−1 | 23.3 ± 1.6 | 30.0 ± 1.9 | 27.9 ± 1.8 |
| 10 | 3.66 ± 0.17 | (9.55 ± 0.39) × 10−2 | (1.75 ± 0.15) × 10−1 | 26.2 ± 0.3 | 32.7 ± 0.4 | 30.9 ± 0.4 |
| 20 | 4.25 ± 0.17 | (1.13 ± 0.04) × 10−1 | (2.10 ± 0.03) × 10−1 | 29.6 ± 1.6 | 36.9 ± 2.0 | 34.7 ± 1.9 |
| Flowrate (mL/min) | Neochlorogenic Acid | Chlorogenic Acid | Cryptochlorogenic Acid | Isochlorogenic Acid A | Isochlorogenic Acid B | Isochlorogenic Acid C |
|---|---|---|---|---|---|---|
| 5 | 3.96 ± 0.01 | 43.5 ± 0.1 | 7.79 ± 0.01 | 3.20 ± 0.02 | 8.91 ± 0.09 | 6.57 ± 0.06 |
| 10 | 4.04 ± 0.01 | 44.2 ± 0.1 | 7.94 ± 0.07 | 3.32 ± 0.01 | 9.45 ± 0.08 | 6.90 ± 0.05 |
| 20 | 4.35 ± 0.01 | 43.1 ± 0.3 | 8.50 ± 0.02 | 3.34 ± 0.02 | 9.23 ± 0.09 | 6.81 ± 0.07 |
| Phase Ratio | Stage Efficiency | Neochlorogenic Acid | Chlorogenic Acid | Cryptochlorogenic Acid | Isochlorogenic Acid A | Isochlorogenic Acid B | Isochlorogenic Acid C |
|---|---|---|---|---|---|---|---|
| 0.5:1 | org | 16.0 ± 0.9 | 18.8 ± 0.8 | 19.6 ± 1.2 | 22.4 ± 0.7 | 28.7 ± 0.3 | 27.5 ± 0.6 |
| aq | 22.5 ± 2.5 | 15.5 ± 1.0 | 10.9 ± 1.0 | 20.5 ± 2.3 | 25.8 ± 2.7 | 25.5 ± 2.6 | |
| 1:1 | org | 17.1 ± 0.1 | 20.4 ± 0.3 | 20.6 ± 0.8 | 24.2 ± 0.6 | 29.0 ± 0.7 | 27.7 ± 0.6 |
| aq | 24.2 ± 1.7 | 15.8 ± 2.2 | 13.2 ± 2.2 | 20.8 ± 1.9 | 26.2 ± 1.7 | 25.5 ± 1.6 | |
| 2:1 | org | 24.2 ± 1.3 | 24.7 ± 0.7 | 25.5 ± 1.7 | 30.2 ± 3.5 | 31.3 ± 3.5 | 36.9 ± 4.2 |
| aq | 30.6 ± 2.5 | 33.6 ± 2.2 | 29.4 ± 4.5 | 32.4 ± 6.9 | 39.8 ± 8.2 | 39.6 ± 7.7 | |
| 4:1 | org | 30.8 ± 1.1 | 36.1 ± 0.8 | 31.1 ± 1.9 | 31.0 ± 1.9 | 35.5 ± 1.0 | 33.7 ± 2.2 |
| aq | 38.6 ± 3.4 | 44.6 ± 1.1 | 45.6 ± 1.3 | 56.3 ± 1.9 | 66.0 ± 2.0 | 63.4 ± 2.0 |
| Phase Ratio | Neochlorogenic Acid | Chlorogenic Acid | Cryptochlorogenic Acid | Isochlorogenic Acid A | Isochlorogenic Acid B | Isochlorogenic Acid C |
|---|---|---|---|---|---|---|
| 0.5:1 | 1.52 ± 0.08 | (1.17 ± 0.05) × 10−2 | (8.08 ± 0.50) × 10−2 | 12.3 ± 2.1 | 16.9 ± 0.2 | 16.0 ± 0.3 |
| 1:1 | 2.03 ± 0.01 | (2.76 ± 0.04) × 10−2 | (1.70 ± 0.07) × 10−1 | 16.0 ± 1.3 | 21.7 ± 1.8 | 19.8 ± 1.8 |
| 2:1 | 4.13 ± 0.23 | (4.06 ± 0.12) × 10−2 | (1.99 ± 0.13) × 10−1 | 18.8 ± 2.2 | 24.8 ± 2.8 | 22.6 ± 2.6 |
| 4:1 | 8.91 ± 0.31 | (1.03 ± 0.02) × 10−1 | (2.32 ± 0.14) × 10−1 | 45.9 ± 1.6 | 58.7 ± 1.7 | 54.8 ± 1.7 |
| Phase Ratio | Neochlorogenic Acid | Chlorogenic Acid | Cryptochlorogenic Acid | Isochlorogenic Acid A | Isochlorogenic Acid B | Isochlorogenic Acid C |
|---|---|---|---|---|---|---|
| 0.5:1 | 6.57 ± 0.01 | 47.2 ± 0.1 | 10.7 ± 0.1 | 4.66 ± 0.09 | 9.53 ± 0.27 | 8.86 ± 0.23 |
| 1:1 | 6.73 ± 0.01 | 47.9 ± 0.2 | 10.9 ± 0.1 | 4.78 ± 0.07 | 9.72 ± 0.17 | 9.12 ± 0.14 |
| 2:1 | 7.62 ± 0.07 | 49.4 ± 0.4 | 10.9 ± 0.9 | 4.81 ± 0.33 | 9.30 ± 0.97 | 8.85 ± 0.81 |
| 4:1 | 8.14 ± 0.04 | 50.8 ± 0.1 | 11.5 ± 0.1 | 3.44 ± 0.10 | 5.77 ± 0.24 | 5.82 ± 0.22 |
| Extraction Stage | Stage Efficiency | Neochlorogenic Acid | Chlorogenic Acid | Cryptochlorogenic Acid | Isochlorogenic Acid A | Isochlorogenic Acid B | Isochlorogenic Acid C |
|---|---|---|---|---|---|---|---|
| 1 | org | 8.91 ± 0.31 | (1.03 ± 0.02) × 10−1 | (2.32 ± 0.14) × 10−1 | 45.9 ± 1.6 | 58.7 ± 1.7 | 54.8 ± 1.7 |
| aq | 11.9 ± 0.6 | (1.62 ± 0.23) × 10−1 | (2.55 ± 0.12) × 10−1 | 71.5 ± 0.7 | 81.5 ± 1.2 | 78.0 ± 0.8 | |
| 2 | org | 14.8 ± 0.6 | (2.28 ± 0.11) × 10−1 | (2.85 ± 0.45) × 10−1 | 84.2 ± 4.8 | 90.6 ± 3.1 | 87.9 ± 3.5 |
| aq | 8.91 ± 0.31 | (1.03 ± 0.02) × 10−1 | (2.32 ± 0.14) × 10−1 | 45.9 ± 1.6 | 58.7 ± 1.7 | 54.8 ± 1.7 | |
| 3 | org | 11.9 ± 0.6 | (1.62 ± 0.23) × 10−1 | (2.55 ± 0.12) × 10−1 | 71.5 ± 0.7 | 81.5 ± 1.2 | 78.0 ± 0.8 |
| aq | 14.8 ± 0.6 | (2.28 ± 0.11) × 10−1 | (2.85 ± 0.45) × 10−1 | 84.2 ± 4.8 | 90.6 ± 3.1 | 87.9 ± 3.5 |
| Extraction Stage | Neochlorogenic Acid | Chlorogenic Acid | Cryptochlorogenic Acid | Isochlorogenic Acid A | Isochlorogenic Acid B | Isochlorogenic Acid C |
|---|---|---|---|---|---|---|
| 1 | 8.14 ± 0.04 | 50.8 ± 0.1 | 11.5 ± 0.1 | 3.44 ± 0.10 | 5.77 ± 0.24 | 5.82 ± 0.22 |
| 2 | 10.3 ± 0.1 | 60.7 ± 0.2 | 13.8 ± 0.1 | 3.17 ± 0.06 | 4.66 ± 0.20 | 4.95 ± 0.20 |
| 3 | 11.5 ± 0.1 | 71.1 ± 1.5 | 16.2 ± 0.3 | 1.45 ± 0.44 | 1.90 ± 0.62 | 2.25 ± 0.64 |
Disclaimer/Publisher’s Note: The statements, opinions and data contained in all publications are solely those of the individual author(s) and contributor(s) and not of MDPI and/or the editor(s). MDPI and/or the editor(s) disclaim responsibility for any injury to people or property resulting from any ideas, methods, instructions or products referred to in the content. |
© 2025 by the authors. Licensee MDPI, Basel, Switzerland. This article is an open access article distributed under the terms and conditions of the Creative Commons Attribution (CC BY) license (https://creativecommons.org/licenses/by/4.0/).
Share and Cite
Feng, Y.; Wang, Q.; Zuo, G.; Gong, X. Development of an Automated Multistage Countercurrent Extraction System and Its Application in the Extraction of Phenolic Acids. Separations 2025, 12, 291. https://doi.org/10.3390/separations12110291
Feng Y, Wang Q, Zuo G, Gong X. Development of an Automated Multistage Countercurrent Extraction System and Its Application in the Extraction of Phenolic Acids. Separations. 2025; 12(11):291. https://doi.org/10.3390/separations12110291
Chicago/Turabian StyleFeng, Yuxuan, Qinglin Wang, Guanglei Zuo, and Xingchu Gong. 2025. "Development of an Automated Multistage Countercurrent Extraction System and Its Application in the Extraction of Phenolic Acids" Separations 12, no. 11: 291. https://doi.org/10.3390/separations12110291
APA StyleFeng, Y., Wang, Q., Zuo, G., & Gong, X. (2025). Development of an Automated Multistage Countercurrent Extraction System and Its Application in the Extraction of Phenolic Acids. Separations, 12(11), 291. https://doi.org/10.3390/separations12110291

