Abstract
In order to further develop the commercial use of Melaleuca bracteata (F. Muell), this report studied the extraction of essential oil from Melaleuca bracteata (F. Muell) leaves using ultrasonic pretreatment, cellulase-inorganic salt soaked and combined with microwave-assisted hydrodistillation. To optimize the primary contributing parameters, the Box–Behnken design (BBD) was applied. The optimum yield of essential oil was 9.61 mL/kg DW at a microwave power of 510.77 W, lithium chloride dose of 63.56 μmol, and microwave irradiation period of 46.97 min. The essential oil included a total of 41 compounds, and methyl eugenol (76.53%) and methyl cinnamate (12.62%) were the main compounds. The inhibitory impact was notable when the essential oil concentration was 1.6 mg/mL. Therefore, it has the potential to replace chemical pesticides. When the concentration of the essential oil solution was 1.6 mg/mL, the three pathogenic species of fungus (Pseudocercospora psidii, Colletotrichum eriobotryae, and Colletotrichum siamense) were greatly affected; at this dose, the fungus was unable to develop and its growth diameter was 0 mm. Additionally, the fungus’s inhibition rate reached 100%.
1. Introduction
Fungal diseases are frequent in agricultural production and continue to affect the healthy growth of plants and products. Pseudocercospora psidii is an asexual ascomyces fungus [1] that has been found to cause serious harm to crops and fruits such as eggplants [2], guavas [3], and bananas [4], causing leaf browning [5]. Anthrax is mainly caused by Colletotrichum eriobotryae and Colletotrichum siamense, which are difficult to remove [6,7]. They frequently parasitize Ziziphus jujuba Mill [8], chili [9], avocado [10], and other plant leaves and fruit surfaces.
With the growth of new plants, illnesses continue to be propagated and spread by rain, insects, and other means, culminating in an irreversible condition [11] and causing widespread sores and infections. Eventually, the fruit wilts, and the leaves wither, resulting in significant economic waste [12]. The most efficient technique to manage illnesses is to spray pesticides to kill hazardous germs. However, according to studies, these chemical synthetic pesticides promote fungal disease resistance [13], and pesticide residues and environmental pollution are major concerns caused by pesticide usage [14]. The primary drawbacks of synthetic pesticides include increased hidden hazards, unexpected effects, and incapacity to deal with disease outbreaks [15,16].
Natural plant essential oils (EOs) are hydrophobic and consist of a range of volatile chemicals [17]. The chemical makeup of essential oils is heavily influenced by geographical region, plant location, soil type, plant water content, and even extraction methods. Because essential oils are diverse, their fungal inhibition effect does not rely on a single mechanism but rather on a number of various routes and processes [18]. The synergistic effect of the chemicals in essential oils can cause leaking of the fungus’s cell membranes, cytoplasmic material, and ions, causing the fungus to die. Melaleuca bracteata is an aromatic plant of the genus Myrtle native to Australia and is now widely dispersed around the world [19], including Indonesia, South Asia, and southern China [20,21].
There is a distinct perfume emanating from the branches and leaves of Melaleuca bracteata, and prior research has indicated that certain parts of the plant are abundant in fragrant essential oils. In addition to being utilized as a premium plant scent, Melaleuca bracteata’s branches and leaves are used to extract essential oils, which are today one of the most widely used and very valuable ingredients in Europe for the production of perfumes. Furthermore, it has recently been demonstrated that Melaleuca bracteata possesses a wide range of pharmacological activities both in vivo and in vitro, including effects on tumor inhibition [22], antibacterial [23], anti-inflammatory [24], skin disease, stroke, wound infection, and antiulcer [25]. Aromatic agents and fungal inhibition agents [24] are widely distributed in the leaves of Melaleuca bracteata (LMB). Martina B et al. researched the ecology and biology of essential oils and their fungal inhibition activity and found that essential oils have potential antifungal and antibacterial effects on organisms that harm plant or human health [26].
An energy-wasting traditional method for extracting essential oils is steam distillation; the stability and content of essential oils will also be impacted to differing degrees by the prolonged exposure to high temperatures. Research focus is currently being paid to a number of challenges, including energy conservation, environmental pollution, and global ecological warming (carbon emissions). Therefore, there is an urgent need for an extraction process with reduced resource consumption and higher ecological sustainability in order to ensure the production, composition, and activity of essential oils.
The plant cell wall is a low-permeability tissue. To improve the extraction impact of essential oils, the salting-out method is frequently employed as a pretreatment method for fresh raw materials. This approach will break the plant cell wall in the leaves and then increase the release of volatile chemicals [27]. Avelina Franco-Vega et al. used a salt-out method to pretreat leaves [28], which had the effect of destroying the plant cell wall, thus increasing the essential oil extraction rate. Zaizhi Liu et al. used a solvent-free microwave-assisted method to pretreat fresh leaves, which had the effect of increasing extraction efficiency [29]. The “cavitation effect”, tissue fragmentation, solvent shuttle, and deoxidation are the mechanisms behind ultrasonic action. Using ultrasonic can increase essential oil yield quickly.
In order to pretreat raw materials collaboratively, green ultrasonic pretreatment and the addition of a cellulase-inorganic salt mixed aqueous solution can hasten the release of active ingredients in plant tissues, lower liquid surface tension, enhance the osmotic pressure of active ingredients in cells, and increase the dispersion of substances in the solution. The above method can be used to more correctly assess essential oil yield while preventing hydrosol production in high-temperature water, which can lead to loss of essential oil and water contamination. The solution containing metal ions may effectively decrease the boiling time, minimize the heating gradient, and accomplish the boiling effect in a quick period during the microwave radiation process. Although lithium chloride is a good extraction catalyst, it is rarely cited or employed [30]. We speculate that microwave irradiation of an aqueous solution containing inorganic salt can rapidly absorb microwave energy and hence decrease the extraction time. Furthermore, cellulase pretreatment may efficiently degrade the cell wall in plant leaves, increasing the degree of cell wall damage. HeLa Mahmoudi et al. employed enzymatic pretreatment to boost essential oil output [31].
The application of cellulase-inorganic salt solution for raw material treatment, as well as in LMB essential oil extraction, has not yet been documented. We believe that combining the exceedingly effective salting-out method with the selective enzyme catalysis method may yield unexpected results. Additionally, we used three distinct fungi (Pseudocercospora psidii, Colletotrichum eriobotryae, and Colletotrichum siamense) as research subjects and verified the LMB essential oil’s inherent inhibitory impact on fungi, in the hopes of offering a useful guide for real applications.
2. Material and Method
2.1. Materials
The fresh raw materials were gathered from Jiying University (Meizhou, China), and the collected leaves are dried in a dry and ventilated place to remove moisture. We purchased anhydrous versions of dimethyl sulfoxone, anhydrous sodium sulfate, anhydrous sodium chloride, and anhydrous ethanol from Shandong Aowei Chemical Co., Ltd. in Jinan, China (purity ≥ 98%). Tianjin Kemiou Chemical Reagent Co., Ltd. (Tianjin, China) supplied the chromatographically pure N-hexane that was used. Pseudocercospora fungus, Colletotrichum siamense, and Colletotrichum eriobotryae were obtained from the China Fungus Preservation Center.
2.2. Essential Oil Extraction
A desktop numerical control ultrasonic cleaner (KQ-100DE, Kunshan, China; 300 mm × 150 mm × 100 mm) was employed for the ultrasonic preprocessing. This apparatus had two Centro symmetric transducers with a 45 kHz operating frequency, 40–100 W of programmable power, and 20–100 °C of operating temperature. To determine the water content, we first dried fresh LMB for 24 h at a steady temperature and calculated water content. At the beginning, 100 g of fresh LMB was first ground into a 20-mesh powder and then placed in a flask with a round bottom. The raw material was then soaked in catalyst solution (with a liquid–solid ratio range of 3–12) between 0–75 μmol (the ratio of cellulase to lithium chloride was 1:1); the aforementioned solution is treated in an ultrasonic environment with 100 W of power and 50 °C of temperature for 5 h. The essential oil was separated using microwave-assisted distillation under the following conditions: the microwave-assisted distillation device for extracting essential oil consisted of a P70D20N1P-G5 microwave oven (Galanz, Zhongshan, China), a reflux condenser, and a Clevenger extraction tube (Figure 1). The microwave radiation frequency of the oven was 2450 MHz, and its microwave irradiation power was continuously adjustable between 120–700 W. The reactor, a 1000 mL round-bottom flask placed in the inner chamber of the microwave oven, needed the Clevenger tube to pass through the top of the appliance and connect, with a solid–liquid ratio of 4–12 mL/g, extraction period of 10–60 min, and microwave irradiation power of 144–720 W.
Figure 1.
Microwave-assisted extraction of essential oils (A: Circulating water condenser, B: Essential oil collector, and C: Round bottom flask-1000 mL).
2.3. Box–Behnken Design Optimizes the Extraction Rate of Essential Oils
To statistically optimize the essential oil yield, we use response surface methodology (Design-Expert 10) to examine the effects of each variable and level on the yield as well as the correlation between variable values and response values, including analysis of variance and fitting of quadratic regression equations.
2.4. Essential Oil Composition and Analysis
Gas chromatography–mass spectrometry was performed (Agilent-7000 GC/MS, Santa Clara, CA, USA), using a capillary column type, with a nonpolar capillary column (30 m × 0.25 mm × 320 μm) made of fused silica with dimethyl polysiloxane (containing 5% phenyl). A carrier gas of hydrogen was used to identify essential oil components, OV-101 0.1 mL of EO was dissolved in 500 times the volume of n-hexane, and the sample was injected at a column temperature range of 40–200 °C, a heating rate of 10 °C/min, and a column pressure of 0.8 kg/cm2, among other conditions. The temperature of gasification is 250 °C, and the electron energy is 70 eV. The compound identification was carried out through the library database and chemical composition analysis method for EO components, and data were analyzed and counted through hierarchical data packet inspection tools of chiplot [32].
2.5. Fungal Inhibition Activity
2.5.1. Activation of Strains
To create the suspensions, we used a 6 mm diameter cake that was drilled into the center of the medium at a dense and uniform growth location. We then cultured the cake for 7 days at 28 °C in a constant temperature incubator, inoculated the activated fungal material into sterile PDB medium, and incubated the mixture for 48 h on a rotating shaking table at 28 °C (150 r/min).
2.5.2. Fungal Inhibition of Essential Oil
In a 200 mL triangle bottle, sterilized PDA (89.5 mL) medium was added. The essential oil with the corresponding gradient (the essential oil’s concentration range was 0.1–1.6 mg, dissolved in 0.5 mL DMSO) was then added to the PDA, mixed thoroughly, and poured into a petri dish with a diameter of 90 mm. PDA without essential oil was used as the negative control. The medium containing essential oil was created with a specific range of concentrations (the concentration range of essential oil in PDA: 0.1–1.6 mg/mL).
The 6 mm drug-sensitive paper was placed in the center of the sample plate (concentration: 0.1, 0.4, 0.8, 1.6, unit: mg/mL), and 10 μL fungal suspension was added to a tablet, which was sealed and cultivated in a 28 ± 1 °C electric thermostatic incubator. The procedure took 3 days. Tablets with varying amounts of essential oils served as experimental groups, while tablets without essential oils served as negative controls. The colony diameter was measured using the cross-crossing method, and the experiment was performed three times for each group, with the average value taken. The calculation method of the inhibition index:
II: Inhibition index, Da: Fungal growth during treatment (mm), Db: Fungal growth in the control group (mm).
3. Results and Discussion
3.1. Influence of Various Factors on Extraction Rate
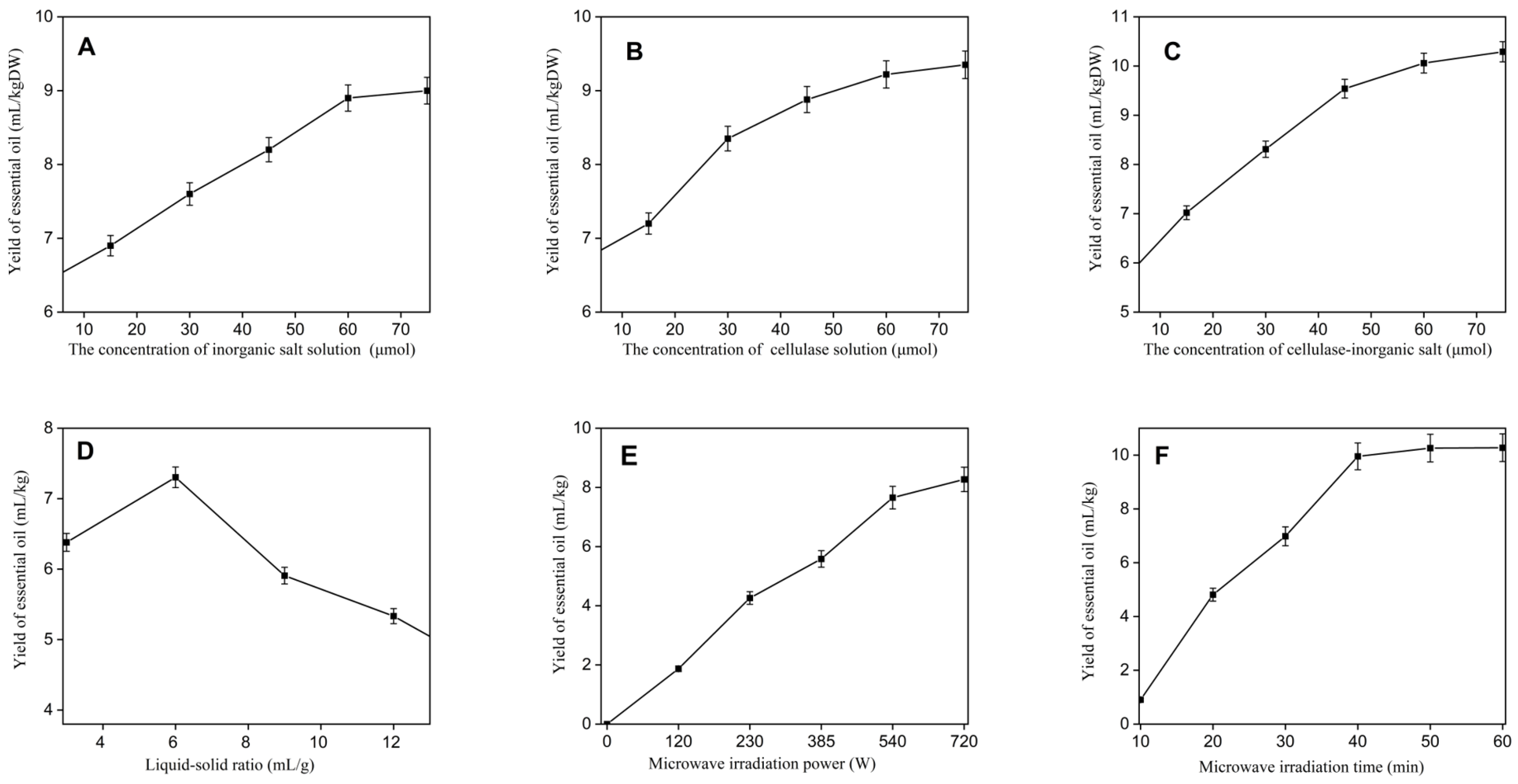
As indicated in Figure 2, raw materials were soaked and pretreated with a lithium chloride inorganic salt solution, cellulase solution, and cellulase-lithium chloride (1:1) combination solution (treatment temperature 50 °C, solution concentration range 5–75 μmol). The essential oil yield of all treated samples increased in a positive relationship with the concentration of catalyst. As demonstrated in Figure 2C, the yield of essential oil following cellulase-inorganic salt treatment was the highest of all samples, at 12.09 mL/kg DW (dry weight). The combined catalyst showed a stronger extraction effect than the other two samples, which had the greatest essential oil yields of 9.01 mL/kgDW and 9.35 mL/kgDW, respectively.
Figure 2.
Effect of factors on the yield of essential oil. The above subgraphs show the effects of (A) inorganic salt concentration, (B) concentration of cellulase solution, (C) cellulase-inorganic salt concentration, (D) liquid-solid ratio, (E) microwave irradiation power and (F) microwave irradiation time on yield of essential oil.
We hypothesized that since cellulase and lithium chloride ions synergistically increased the damaging impact on the plant cell wall, essential oil components escaped, resulting in an increase in essential oil output. Lithium chloride is a metal catalyst that may improve the activity of cellulase. Chen et al. investigated the synergistic impact of metal ions and enzymes on cell wall flocculation [33]. A modest combination of cellulase and inorganic salts can act together to boost yields by raising the boiling point of water in plant cells and removing fiber networks in plant cell walls. Ultrasonic technology and combined water bath container-ultrasonic device approaches are the two forms of ultrasound-assisted surgery. To save energy, the ultrasonic probe can be positioned in close contact with the substance. There aren’t many reports of combining normal ultrasound-assisted extraction technology with microwave technology to extract essential oils, despite the fact that this method is frequently employed in the process of essential oil separation.
We evaluated the effect of the liquid–solid ratio, microwave irradiation power, and microwave duration on essential oil production. Figure 2D depicts the impact of several liquid–solid ratios (3–12 mL/g) on the yield of three EOs. The essential oil output was 6.38 mL/kg DW when the liquid–solid ratio was 3. The essential oil yield was maximum when the liquid–solid ratio reached 6, reaching 7.30 mL/kg DW, and subsequently dropped as the liquid–solid ratio increased. As a result, a liquid–solid ratio of 6 is chosen as the ideal. It has been found that increasing the liquid–solid ratio decreases the mass transfer resistance and boosts the essential oil yield; however, increasing the liquid–solid ratio causes the forced loss of chemical components in essential oils. We assume that the increased liquid–solid ratio caused some of the essential oil to dissolve in the water, causing the extraction rate to vanish.
Figure 2E depicts the effect of various power ranges (230–700 W) on the experiment. The maximum essential oil obtained when the microwave power exceeds 700 W is 8.27 mL/kgDW. We chose the yield of essential oil produced at 540 W (7.65 mL/kg DW) as the level for the following experiment based on the regular connection between the cost and yield of essential oil. Microwave irradiation at specific levels can accelerate the extraction process and enhance the release of essential oils [34], but utilizing too much power might result in fast temperature fluctuations that impact the yield and quality of essential oils. Figure 2F depicts the influence of the microwave irradiation time on the extraction rate. The increasing rate of essential oil yield is roughly the same once the extraction duration approaches 50 min. This phenomenon might be induced by uneven internal heating of the material over a short period of time. Long-term microwave irradiation causes osmotic pressure inside the material, and high-frequency vibration is produced as a result of water conduction between the materials during microwave irradiation. As a consequence of additional experimental adjustment, 50 min (10.27 mL/kgDW) was chosen. Since the yield in the trials is mostly unaffected by the liquid–solid ratio, we decided to base future optimization on the microwave power and time.
3.2. The Extraction Rate of Essential Oil Was Optimized by Response Surface
To create and refine the statistical analysis of EO yield, we investigated the ideal process parameters for each element in the test range. Through the optimized outcomes, we discovered that p = 0.0011 was a significant value. The response surface data are in good agreement with the experimental results, and the C, AB, and BC items have no significant influence (p > 0.05). The lack of fit term is 0.0917, R2 is 0.9466, CV is 5.45%, unknown factors had little impact on the experiment, the error was within the acceptable range, and the response surface data were in good agreement with the experimental results (Table 1). As a result, the examination of the response surface model yields the following theoretically optimum conclusion: the greatest production of essential oil was 9.73 mL/kg DW when all the indices achieved the optimal values, which occurred when the microwave irradiation power was 488.54 W, the microwave irradiation period was 48.21 min, and the lithium salt addition was 64.51 μmol.
Table 1.
Box–Behnken design with experimental value for total yield of EO, and analysis of variance (ANOVA) for response surface quadratic model.
The regression equation of the response surface analysis fitted data is as follows:
Y = 9.6 − 0.425A − 0.6625B − 0.088C − 1.05AC − 0.225BC − 0.8125A2 − 1.29B2 − 0.9375C2
The 3D response surface, also known as the 3D fitting surface, is the response surface of the microwave irradiation duration, microwave irradiation power, and EO yield of the catalyst addition. In general, there was a favorable link between the yield of essential oil and the expansion of the microwave irradiation power and duration as well as the inclusion of the catalyst. The yield of EO steadily increased as the microwave power and duration increased; however, as time increased, the yield of EO displayed a curve.
The maximum EO extraction rate (8.9 mL/kgDW), as shown in Figure 3A, occurs when the microwave period is 47 min and the microwave power is 480 W. The yield of EOs was influenced quadratically by the strength of the microwave irradiation and the quantity of catalyst supplied, as shown in Figure 3B. The EO yield was maximum (9.41 mL/kgDW) when the catalyst addition was 60 μmol and the microwave power was 650 W. The interaction effects of catalyst addition quantity and microwave irradiation period on EO yield are shown in Figure 3C. The yield of EOs rose as the catalyst concentration increased between 46–60 μmol; however, when the catalyst concentration grew as a percentage, the liquid–solid ratio continued to rise after reaching its ideal level. The essential oil extraction technique maintains a high temperature in the microwave oven by increasing the microwave power or microwave duration.
Figure 3.
The essential oil was optimized by Box–Behnken design. (A) The interaction effects of microwave power and time on the yield of essential oil, (B) the interaction effects of catalyst addition amount and microwave power on the yield of essential oil, and (C) the interaction of catalyst addition amount and microwave irradiation time on essential oil yield).
3.3. Analysis of Essential Oil by Gas Chromatography–Mass Spectrometry
Forty-one compounds were discovered when the acquired essential oils were first dried and analyzed using GC–MS (Table 2). Methyleugenol (76.53%) makes up most of the essential oil’s composition, followed by methyl cinnamate (12.62%). The compounds together make up the entire composition of 97.82%. Methyl eugenol, the primary ingredient in a spice recipe, is the principal component of essential oil. It is also a crucial raw material for the synthesis of chemical compounds. As a result, using GC–MS detection, the essential oil of LMB has the potential to be useful in food safety and clinical treatment [35].
Table 2.
Chemical composition of the essential oil from LMB identified by GC–MS.
We made a phylogenetic tree map for the classification of different components in essential oils (as is shown in Figure 4), which was categorized based on the composition of various chemical components through cluster analysis, in order to have a more thorough understanding of the composition classification of these compounds; it is easy to observe that alcohols, monoterpenoids, sesquiterpenoids, aldehydes, ketones, and esters make up essential oils. An amount of 13 sesquiterpenoids make up 2.49% of the overall composition of essential oils. Eight different types of alcohol made up 3.71% of the total. The overall oil content was made up of four ketones, which made up 76.63% of the oil content, and five aldehydes, which made up 0.16%. There are two monoterpenoids (0.04%), and three ester compounds (13.1%) were also present. Sesquiterpenoids and alcohols comprised the greatest number of species among all the components that were extracted (Table 2). Ketones (76.63%) and esters (13.1%) had the highest concentrations. Methyleugenol is a significant natural flavoring ingredient with a variety of applications in the food and medicine field. In addition to having biological activities such as antioxidant and antibacterial properties, it also has a spicy and warm scent that is frequently utilized in flavoring agents and perfumes [36]. Methyl cinnamate is an ester molecule that is a typical food flavoring and perfume addition that provides a fresh fruit scent [37].
Figure 4.
Phylogenetic tree characterization of different compounds in essential oil.
3.4. Comparison with Reference Techniques
The conventional approach for extracting essential oil from water using microwave-assisted hydrodistillation involves directly irradiating the material with a microwave; however, this method is not successful for homogenizing the material due to the absence of an ultrasonic device. By using a high-frequency microwave field instead of the conventional microwave heating extraction method, we are able to fully collide the material within the molecule under the action of the microwave, allowing electromagnetic energy to enter as heat energy. This improves the ability to extract material, speeds up temperature, and yields excellent extra essential oil. The extraction efficiency of this study is much greater than that of the conventional approach when compared to the two experimental procedures mentioned above.
3.5. Study on Antifungal Activity of Essential Oils
Methyl cinnamate also possesses anti-bacterial, anti-inflammatory, and other biological properties. Due to its distinct scent and specific biological activity, the essential oil of LMB has several potential uses in the culinary, taste, and medical industries, among other disciplines [38]. Figure 5 illustrates the impact of LMB essential oil on the development of fungal fluids. The essential oil clearly inhibited the growth of three different types of fungal fluids. The growing area of Pseudocercospora psidii increased with culture and growth time expansion. After 72 h of cultivation, Pseudocercospora psidii exposed to 0.1 mg/mL essential oil showed some inhibition compared to the blank control, with an inhibitory rate of 75.7%. Under the same conditions, the inhibitory activity of essential oil on Colletotrichum was the best, reaching 95.26%. The activity of inhibiting Colletotrichum reached 80.51%. The three fungi were significantly affected by the essential oil solution when the concentration was 1.6 mg/mL; at this dosage, the fungus could not live, and the inhibition rate reached 100%. The growth of the pathogens Colletotrichum eriobotryae and Colletotrichum siamense was considerably suppressed by the LMB essential oils and were more susceptible than Pseudocercospora psidii.
Figure 5.
Inhibitory effect of essential oils on fungi. (A) Rate of inhibition; and (B) vary concentration of essential on the inhibit effects of fungi.
Methyleugenol has been shown to have potent fungal inhibition action in earlier research hence, it is hypothesized that these highly lipophilic compounds are the primary cause of inhibition activity in this work. The lipophilic characteristics of these aliphatic chemicals are sufficient to split and alter the structure of lipophilic lipids in mitochondria and the cell plasma membrane, causing leakage of the contents of fungal cells. This is how this inhibition mechanism works. The results of the inhibition studies indicate that the essential oil has tremendous potential for preventing plant infection and preserving fruits and vegetables, as well as for use as a natural pesticide. In addition to variations in EO components, variations in fungal test procedures may affect the findings of essential oil inhibition activities in diverse research. After the fungal culture experiment, the fungus in the negative control (NC) environment expanded rapidly, and the inhibitory impact on the fungi gradually became stronger as the essential oil content increased (Figure 5B). The fungus entirely vanished at a dosage of 10 mg/mL essential oil. This capability can be connected to the quantity of hydrophobic chemical groups in the oil, which prevent fungal cells from retaining water and cause their demise. Additionally, the primary component of EO, methylleugenol, may also be the key factor contributing to fungal mortality. EOs are frequently used to enhance the flavor and quality of food. This further suggests that EOs are regarded as safe by the US Food and Drug Administration when used as food additives. According to preliminary tests of antimicrobial activity and a study of the literature on ecological and biological features by Martina B et al., essential oils (EOs) may have antifungal effects on a range of organisms that may affect plants or human health substances. Numerous studies have demonstrated that applying plant components can lessen the severity of illnesses in a variety of crops, and using essential oils (EOs) is a useful strategy for managing bacteria and fungi.
4. Conclusions
In this work, we described the ultrasonic pretreatment combined with microwave-assisted hydrodistillation for extraction of essential oil from LMB; three representative fungi were used as references to verify the functionality of EO. The response surface BBD test was used to optimize the extraction rate. The greatest production of essential oil was 9.73 mL/kg DW when all the indices achieved the optimal values, which occurred when the microwave irradiation power was 488.54 W, the microwave irradiation period was 48.21 min, and the lithium salt addition was 64.51 μmol. Methylleugenol, methyl cinnamate, α-terpineol, etc., are the principal substances discovered by GC–MS. Pseudocercospora psidii, Colletotrichum eriobotryae, and Colletotrichum siamense were significantly inhibited by a 1.6 mg/mL essential oil solution, according to the researchers. This suggests that EO is a promising substitute for synthetic pesticides; however, toxicological testing is needed before using these natural products as a natural antibiotic to ensure that they do not harm humans or plants and to better understand the mechanisms by which essential oils affect organisms.
Author Contributions
Conceptualization, X.Z. and Y.H.; methodology, Y.H.; software, Y.H.; validation, X.Z., Y.H. and Z.L.; investigation, J.C.; resources, J.C.; data curation, F.Z.; writing—original draft preparation, X.Z. and F.Z.; writing—review and editing. All authors have read and agreed to the published version of the manuscript.
Funding
Guangdong Province Key Areas of Universities (2023ZDZX4058), Guangdong University Innovation Team Project (2023KCXTD034), Guangdong Province Key Construction Discipline Promotion Project (2022ZDJS087), Research Project of Jiaying College (2023KJY05, 2022KJY09), and Educational Reform Project (PX-29231980).
Data Availability Statement
The publication of such data does not compromise the anonymity of the participants or breach local data protection laws.
Conflicts of Interest
The authors declare no conflict of interest.
References
- Carlier, J.; Robert, S.; Roussel, V.; Chilin-Charles, Y.; Lubin-Adjanoh, N.; Gilabert, A.; Abadie, C. Central American and Caribbean population history of the Pseudocercospora fijiensis fungus responsible for the latest worldwide pandemics on banana. Fungal Genet. Biol. 2021, 148, 103528. [Google Scholar] [CrossRef]
- Gebhardt, C. The historical role of species from the Solanaceae plant family in genetic research. Theor. Appl. Genet. 2016, 129, 2281–2294. [Google Scholar] [CrossRef] [PubMed]
- Seshadri, V.D.; Balasubramanian, B.; Al-Dhabi, N.A.; Esmail, G.A.; Arasu, M.V. Essential oils of Cinnamomum loureirii and Evolvulus alsinoides protect guava fruits from spoilage bacteria, fungi and insect (Pseudococcus longispinus). Ind. Crops Prod. 2020, 154, 112629. [Google Scholar] [CrossRef]
- Alakonya, A.E.; Kimunye, J.; Mahuku, G.; Amah, D.; Uwimana, B.; Brown, A.; Swennen, R. Progress in understanding Pseudocercospora banana pathogens and the development of resistant Musa germplasm. Plant Pathol. 2018, 67, 759–770. [Google Scholar] [CrossRef]
- Gaikwad, S.S.; Rumma, S.S.; Hangarge, M. Classification of Fungi Effected Psidium Guajava Leaves Using ML and DL Techniques BT—Computer Vision and Machine Intelligence Paradigms for SDGs; Kannan, R.J., Thampi, S.M., Wang, S.-H., Eds.; Springer Nature: Singapore, 2023; pp. 69–81. [Google Scholar]
- Damm, U.; Sun, Y.-C.; Huang, C.-J. Colletotrichum eriobotryae sp. nov. and C. nymphaeae, the anthracnose pathogens of loquat fruit in central Taiwan, and their sensitivity to azoxystrobin. Mycol. Prog. 2020, 19, 367–380. [Google Scholar] [CrossRef]
- Li, M.; Feng, W.; Yang, J.; Gao, Z.; Zhang, Z.; Zhang, W.; Wang, S.; Wang, W.; Gong, D.; Hu, M. First report of anthracnose caused by Colletotrichum siamense on avocado fruits in China. Crop Prot. 2022, 155, 105922. [Google Scholar] [CrossRef]
- Han, F.; Qi, Y.-K.; Zhang, Y.; Qi, J.-H.; Wang, J.-W.; Liu, W.; Zhang, L.W.; Ji, Y.-P.; Wang, Q.-H. First report of jujube anthracnose caused by Colletotrichum siamense in China. Plant Dis. 2023, 107, 2538. [Google Scholar] [CrossRef]
- Krishnan, S.; Kaari, M.; Sawhney, S.; Sheoran, N.; Gautam, R.K.; Mohan Das, M.; Kumar, A. First report of Colletotrichum siamense from Andaman and Nicobar Islands causing anthracnose in chilli. J. Plant Pathol. 2019, 101, 767. [Google Scholar] [CrossRef]
- Fuentes-Aragón, D.; Silva-Rojas, H.V.; Guarnaccia, V.; Mora-Aguilera, J.A.; Aranda-Ocampo, S.; Bautista-Martínez, N.; Téliz-Ortíz, D. Colletotrichum species causing anthracnose on avocado fruit in Mexico: Current status. Plant Pathol. 2020, 69, 1513–1528. [Google Scholar] [CrossRef]
- Aliya, S.S.S.; Nusaibah, S.A.; Mahyudin, M.M.; Yun, W.M.; Yusop, M.R. Colletotrichum siamense and Pestalotiopsis jesteri as potential pathogens of new rubber leaf spot disease via detached leaf assay. J. Rubber Res. 2022, 25, 195–212. [Google Scholar] [CrossRef]
- Eh Teet, S.; Hashim, N. Recent advances of application of optical imaging techniques for disease detection in fruits and vegetables: A review. Food Control. 2023, 152, 109849. [Google Scholar] [CrossRef]
- Duhan, J.S.; Kumar, R.; Kumar, N.; Kaur, P.; Nehra, K.; Duhan, S. Nanotechnology: The new perspective in precision agriculture. Biotechnol. Rep. 2017, 15, 11–23. [Google Scholar] [CrossRef]
- Tudi, M.; Daniel Ruan, H.; Wang, L.; Lyu, J.; Sadler, R.; Connell, D.; Chu, C.; Phung, D.T. Agriculture Development, Pesticide Application and Its Impact on the Environment. Int. J. Environ. Res. Public Health 2021, 18, 1112. [Google Scholar] [CrossRef]
- Garrigou, A.; Laurent, C.; Berthet, A.; Colosio, C.; Jas, N.; Daubas-Letourneux, V.; Jackson Filho, J.-M.; Jouzel, J.-N.; Samuel, O.; Baldi, I.; et al. Critical review of the role of PPE in the prevention of risks related to agricultural pesticide use. Saf. Sci. 2020, 123, 104527. [Google Scholar] [CrossRef]
- Luo, L.; Dong, L.; Huang, Q.; Ma, S.; Fantke, P.; Li, J.; Jiang, J.; Fitzgerald, M.; Yang, J.; Jia, Z.; et al. Detection and risk assessments of multi-pesticides in 1771 cultivated herbal medicines by LC/MS-MS and GC/MS-MS. Chemosphere 2021, 262, 127477. [Google Scholar] [CrossRef] [PubMed]
- Hou, T.; Sana, S.S.; Li, H.; Xing, Y.; Nanda, A.; Netala, V.R.; Zhang, Z. Essential oils and its antibacterial, antifungal and anti-oxidant activity applications: A review. Food Biosci. 2022, 47, 101716. [Google Scholar] [CrossRef]
- Álvarez-Martínez, F.J.; Barrajón-Catalán, E.; Herranz-López, M.; Micol, V. Antibacterial plant compounds, extracts and essential oils: An updated review on their effects and putative mechanisms of action. Phytomedicine 2021, 90, 153626. [Google Scholar] [CrossRef] [PubMed]
- Yang, C.; Lin, Y.; Qiu, Z.; Xiang, X.; Shao, D.; Li, Y.; Wu, S. Reference gene selection for qRT-PCR normalization of gene expression analysis in Melaleuca bracteata F. Muell. under abiotic stresses and hormonal stimuli. Sci. Hortic. 2023, 319, 112184. [Google Scholar] [CrossRef]
- Padalia, R.C.; Verma, R.S.; Chauhan, A.; Goswami, P.; Verma, S.K.; Darokar, M.P. Chemical composition of Melaleuca linarrifolia Sm. from India: A potential source of 1,8-cineole. Ind. Crops Prod. 2015, 63, 264–268. [Google Scholar] [CrossRef]
- Zhang, J.; Wang, Y.; Feng, Y.; Du, S.; Jia, L. Contact Toxicity and Repellent Efficacy of Essential Oil from Aerial Parts of Melaleuca bracteata and its Major Compositions against Three Kinds of Insects. J. Essent. Oil Bear. Plants 2021, 24, 349–359. [Google Scholar] [CrossRef]
- Yasin, M.; Younis, A.; Javed, T.; Akram, A.; Ahsan, M.; Shabbir, R.; Ali, M.M.; Tahir, A.; El-Ballat, E.M.; Sheteiwy, M.S.; et al. River Tea Tree Oil: Composition, Antimicrobial and Antioxidant Activities, and Potential Applications in Agriculture. Plants 2021, 10, 2105. [Google Scholar] [CrossRef]
- Bottoni, M.; Milani, F.; Mozzo, M.; Radice Kolloffel, D.A.; Papini, A.; Fratini, F.; Maggi, F.; Santagostini, L. Sub-Tissue Localization of Phytochemicals in Cinnamomum camphora (L.) J. Presl. Growing in Northern Italy. Plants 2021, 10, 1008. [Google Scholar] [CrossRef] [PubMed]
- Raman, G.; Gaikar, V.G. Microwave-Assisted Extraction of Piperine from Piper nigrum. Ind. Eng. Chem. Res. 2002, 41, 2521–2528. [Google Scholar] [CrossRef]
- Franco-Vega, A.; López-Malo, A.; Palou, E.; Ramírez-Corona, N. Effect of imidazolium ionic liquids as microwave absorption media for the intensification of microwave-assisted extraction of Citrus sinensis peel essential oils. Chem. Eng. Process. Process Intensif. 2021, 160, 108277. [Google Scholar] [CrossRef]
- Liu, Z.; Li, H.; Zhu, Z.; Huang, D.; Qi, Y.; Ma, C.; Zou, Z.; Ni, H. Cinnamomum camphora fruit peel as a source of essential oil extracted using the solvent-free microwave-assisted method compared with conventional hydrodistillation. LWT 2022, 153, 112549. [Google Scholar] [CrossRef]
- Hou, K.; Bao, M.; Wang, L.; Zhang, H.; Yang, L.; Zhao, H.; Wang, Z. Aqueous enzymatic pretreatment ionic liquid–lithium salt based microwave–assisted extraction of essential oil and procyanidins from pinecones of Pinus koraiensis. J. Clean. Prod. 2019, 236, 117581. [Google Scholar] [CrossRef]
- Mahmoudi, H.; Marzouki, M.; M’Rabet, Y.; Mezni, M.; Ait Ouazzou, A.; Hosni, K. Enzyme pretreatment improves the recovery of bioactive phytochemicals from sweet basil (Ocimum basilicum L.) leaves and their hydrodistilled residue by-products, and potentiates their biological activities. Arab. J. Chem. 2020, 13, 6451–6460. [Google Scholar] [CrossRef]
- Xie, J.; Chen, Y.; Cai, G.; Cai, R.; Hu, Z.; Wang, H. Tree Visualization by One Table (tvBOT): A web application for visualizing, modifying and annotating phylogenetic trees. Nucleic Acids Res. 2023, 51, W587–W592. [Google Scholar] [CrossRef]
- Chen, F.; Su, X.; Gao, J.; Liu, Y.; Zhang, Q.; Luo, D. A modified strategy to improve the dissolution of flavonoids from Artemisiae Argyi Folium using ultrasonic-assisted enzyme-deep eutectic solvent system. J. Chromatogr. A 2023, 1707, 464282. [Google Scholar] [CrossRef] [PubMed]
- Kapadiya, S.M.; Parikh, J.; Desai, M.A. A greener approach towards isolating clove oil from buds of Syzygium aromaticum using microwave radiation. Ind. Crops Prod. 2018, 112, 626–632. [Google Scholar] [CrossRef]
- Gao, H.; Zhao, R.; Fan, C.; Yang, Y.; Wang, Z.; Gu, H.; Yang, L.; Tian, H.; Zhang, Q.; Zhang, X. An efficient approach to obtain essential oil, oleanoic acid, 3-O-acetyloleanolic acid and betulinic acid from fresh leaves of Melaleuca bracteata F. Muell. “Revolution Gold” using microwave and gravity-assisted solvent-free distillation followed by extra. Ind. Crops Prod. 2023, 203, 117178. [Google Scholar] [CrossRef]
- Gooderham, N.J.; Cohen, S.M.; Eisenbrand, G.; Fukushima, S.; Guengerich, F.P.; Hecht, S.S.; Rietjens, I.M.C.M.; Rosol, T.J.; Davidsen, J.M.; Harman, C.L.; et al. FEMA GRAS assessment of natural flavor complexes: Clove, cinnamon leaf and West Indian bay leaf-derived flavoring ingredients. Food Chem. Toxicol. 2020, 145, 111585. [Google Scholar] [CrossRef] [PubMed]
- Guo, D.; Wu, S.; Fu, X.; Pan, H. De Novo Biosynthesis of Methyl Cinnamate in Engineered Escherichia coli. J. Agric. Food Chem. 2022, 70, 7736–7741. [Google Scholar] [CrossRef] [PubMed]
- Sosa, L.; Espinoza, L.C.; Valarezo, E.; Bozal, N.; Calpena, A.; Fábrega, M.-J.; Baldomà, L.; Rincón, M.; Mallandrich, M. Therapeutic Applications of Essential Oils from Native and Cultivated Ecuadorian Plants: Cutaneous Candidiasis and Dermal Anti-Inflammatory Activity. Molecules 2023, 28, 5903. [Google Scholar] [CrossRef] [PubMed]
- Xiao, Y.; Liu, Z.; Gu, H.; Yang, L.; Liu, T.; Tian, H. Preparation and characterization of a modified Canna starch as a wall material for the encapsulation of methyleugenol improves its antifungal activity against Fusarium trichothecioides. Food Chem. 2023, 433, 137324. [Google Scholar] [CrossRef] [PubMed]
- Liu, X.; Cai, J.; Chen, H.; Zhong, Q.; Hou, Y.; Chen, W.; Chen, W. Antibacterial activity and mechanism of linalool against Pseudomonas aeruginosa. Microb. Pathog. 2020, 141, 103980. [Google Scholar] [CrossRef]
- Tomazoni, E.Z.; Pauletti, G.F.; da Silva Ribeiro, R.T.; Moura, S.; Schwambach, J. In vitro and in vivo activity of essential oils extracted from Eucalyptus staigeriana, Eucalyptus globulus and Cinnamomum camphora against Alternaria solani Sorauer causing early blight in tomato. Sci. Hortic. 2017, 223, 72–77. [Google Scholar] [CrossRef]
Disclaimer/Publisher’s Note: The statements, opinions and data contained in all publications are solely those of the individual author(s) and contributor(s) and not of MDPI and/or the editor(s). MDPI and/or the editor(s) disclaim responsibility for any injury to people or property resulting from any ideas, methods, instructions or products referred to in the content. |
© 2024 by the authors. Licensee MDPI, Basel, Switzerland. This article is an open access article distributed under the terms and conditions of the Creative Commons Attribution (CC BY) license (https://creativecommons.org/licenses/by/4.0/).




