Investigation of Seeds and Peels of Citrullus colocynthis as Efficient Natural Adsorbent for Methylene Blue Dye
Abstract
1. Introduction
2. Materials and Methods
2.1. Materials and Solutions
2.2. Characterization of Biosorbents
2.3. Batch Biosorption Experiments
2.4. Adsorption Isotherms
2.5. Biosorption Kinetics
2.6. Thermodynamic Studies
3. Results and Discussions
3.1. Characterization of Biosorbents
3.1.1. Surface Area
3.1.2. TGA Analysis
3.1.3. FT-IR Spectra
3.1.4. SEM
3.2. Effect of Contact Time
3.3. Effect of Initial MB Dye Concentration
3.4. Impact of Adsorbent Particle Size
3.5. Effect of Adsorbent Dosage
3.6. Effect of PH
3.7. Impact of Temperature
3.8. Isotherm Studies
3.9. Adsorption Kinetics
3.10. Thermodynamic Studies
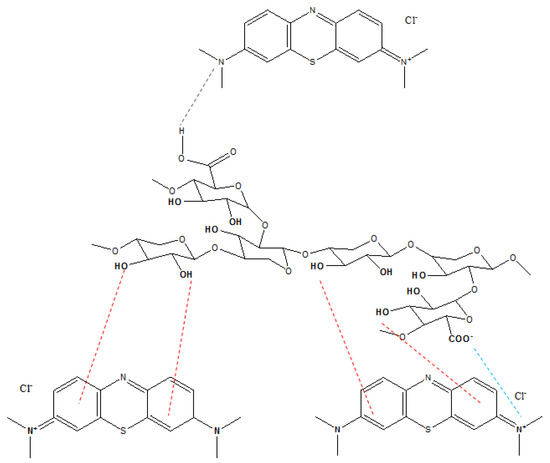
3.11. Adsorption Mechanism
4. Conclusions
Author Contributions
Funding
Institutional Review Board Statement
Informed Consent Statement
Data Availability Statement
Conflicts of Interest
References
- Tan, K.B.; Vakili, M.; Horri, B.A.; Poh, P.E.; Abdullah, A.Z.; Salamatinia, B. Adsorption of dyes by nanomaterials: Recent developments and adsorption mechanisms. Sep. Purif. Technol. 2015, 150, 229–242. [Google Scholar] [CrossRef]
- Wahlström, N.; Steinhagen, S.; Toth, G.; Pavia, H.; Edlund, U. Ulvan dialdehyde-gelatin hydrogels for removal of heavy metals and methylene blue from aqueous solution. Carbohydr. Polym. 2020, 249, 116841. [Google Scholar] [CrossRef] [PubMed]
- Bhatia, D.; Sharma, N.R.; Singh, J.; Kanwar, R.S. Biological methods for textile dye removal from wastewater: A review. Crit. Rev. Environ. Sci. Technol. 2017, 47, 1836–1876. [Google Scholar] [CrossRef]
- Kuang, Y.; Zhang, X.; Zhou, S. Adsorption of Methylene Blue in Water onto Activated Carbon by Surfactant Modification. Water 2020, 12, 587. [Google Scholar] [CrossRef]
- Chikri, R.; Elhadiri, N.; Benchanaa, M.; El Maguana, Y. Efficiency of Sawdust as Low-Cost Adsorbent for Dyes Removal. J. Chem. 2020, 2020, 8813420. [Google Scholar] [CrossRef]
- De Gisi, S.; Lofrano, G.; Grassi, M.; Notarnicola, M. Characteristics and adsorption capacities of low-cost sorbents for wastewater treatment: A review. Sustain. Mater. Technol. 2016, 9, 10–40. [Google Scholar] [CrossRef]
- Katheresan, V.; Kansedo, J.; Lau, S.Y. Efficiency of various recent wastewater dye removal methods: A review. J. Environ. Chem. Eng. 2018, 6, 4676–4697. [Google Scholar] [CrossRef]
- Holkar, C.; Jadhav, A.; Pinjari, D.V.; Mahamuni, N.M.; Pandit, A.B. A critical review on textile wastewater treatments: Possible approaches. J. Environ. Manag. 2016, 182, 351–366. [Google Scholar] [CrossRef]
- Saini, R.D. Textile Organic Dyes: Polluting effects and Elimination Methods from Textile Waste Water. Int. J. Chem. Eng. Res. 2017, 9, 121–136. [Google Scholar]
- Oyelude, E.O.; Owusu, U.R. Adsorption of Methylene blue from aqueous solution using acid modified Calotropis procera leaf powder. J. Appl. Sci. Environ. Sanit. 2011, 6, 477–484. [Google Scholar]
- Das, P.; Chakraborty, S.; Chowdhury, S. Batch and continuous (fixed-bed column) biosorption of crystal violet by Artocarpus heterophyllus (jackfruit) leaf powder. Colloids Surf. B Biointerfaces 2012, 92, 262–270. [Google Scholar] [CrossRef]
- Moubarak, F.; Atmani, R.; Maghri, I.; Elkouali, M.; Talbi, M.; Latifa, M. Elimination of Methylene Blue dye with natural adsorbent “banana peels powder”. Glob. J. Sci. Front. Res. 2014, 14, 39–44. [Google Scholar]
- Bouaziz, F.; Koubaa, M.; Kallel, F.; Chaari, F.; Driss, D.; Ghorbel, R.E.; Chaabouni, S.E. Efficiency of almond gum as a low-cost adsorbent for methylene blue dye removal from aqueous solutions. Ind. Crops Prod. 2015, 74, 903–911. [Google Scholar] [CrossRef]
- Abu-El-Halawa, R.; Zabin, S.A.; Abu-Sittah, H.H. Investigation of Methylene Blue Dye Adsorption from Polluted Water Using Oleander Plant (Al Defla) Tissues as Sorbent. Am. J. Environ. Sci. 2016, 12, 213–224. [Google Scholar] [CrossRef]
- Enniya, I.; Jourani, A. Study of Methylene Blue Removal by a biosorbent prepared with Apple peels. J. Mater. Environ. Sci. 2017, 8, 4573–4581. [Google Scholar] [CrossRef][Green Version]
- Saibaba, K.V.N.; Kandisa, R.V. Adsorption Isotherm Studies on Methylene Blue Dye Removal Using Naturally Available Biosorbent. Rasayan J. Chem. 2019, 12, 2176–2182. [Google Scholar]
- Shakoor, S.; Nasar, A. Utilization of Cucumis Sativus Peel as an Eco-Friendly Biosorbent for the Confiscation of Crystal Violet Dye from Artificially Contaminated Wastewater. Anal. Chem. Lett. 2019, 9, 1–19. [Google Scholar] [CrossRef]
- Devi, V.S.; Sudhakar, B.; Prasad, K.; Sunadh, P.J.; Krishna, M. Adsorption of Congo red from aqueous solution onto Antigonon leptopus leaf powder: Equilibrium and kinetic modeling. Mater. Today Proc. 2020, 26, 3197–3206. [Google Scholar] [CrossRef]
- Ghosh, I.; Kar, S.; Chatterjee, T.; Bar, N.; Das, S.K. Removal of methylene blue from aqueous solution using Lathyrus sativus husk: Adsorption study, MPR and ANN modelling. Process Saf. Environ. Prot. 2021, 149, 345–361. [Google Scholar] [CrossRef]
- Degola, F.; Marzouk, B.; Gori, A.; Brunetti, C.; Dramis, L.; Gelati, S.; Buschini, A.; Restivo, F.M. Aspergillus flavus as a Model System to Test the Biological Activity of Botanicals: An Example on Citrullus colocynthis L. Schrad. Organic Extracts. Toxins 2019, 11, 286. [Google Scholar] [CrossRef]
- Ahmed, M.; Ji, M.; Qin, P.; Gu, Z.; Liu, Y.; Sikandar, A.; Iqbal, M.F.; Javeed, A. Phytochemical screening, total phenolic and flavonoids contents and antioxidant activities of Citrullus colocynthis L. and Cannabis sativa L. Appl. Ecol. Environ. Res. 2019, 17, 6961–6979. [Google Scholar] [CrossRef]
- Qasemi, M.; Afsharnia, M.; Zarei, A.; Najafpoor, A.A.; Salari, S.; Shams, M. Phenol removal from aqueous solution using Citrullus colocynthis waste ash. Data Brief 2018, 18, 620–628. [Google Scholar] [CrossRef]
- Salari, S.; Afsharnia, M.; Moteallemi, A.; Ghasemi, M. Evaluation of removal efficiency of phenol from synthetic aqueous solutions by Citrullus colocynthis seed ash. Environ. Health Eng. Manag. 2018, 5, 49–55. [Google Scholar] [CrossRef]
- Hasdemir, Z.M.; Simsek, S. Removal of Cationic Dye in Aquatic Medium by Using a New Composite Material. Cumhur. Sci. J. 2018, 39, 181–191. [Google Scholar] [CrossRef][Green Version]
- Miyah, Y.; Lahrichi, A.; Idrissi, M.; Boujraf, S.; Taouda, H.; Zerrouq, F. Assessment of adsorption kinetics for removal potential of Crystal Violet dye from aqueous solutions using Moroccan pyrophyllite. J. Assoc. Arab Univ. Basic Appl. Sci. 2017, 23, 20–28. [Google Scholar] [CrossRef]
- Shakoor, S.; Nasar, A. Adsorptive decontamination of synthetic wastewater containing crystal violet dye by employing Terminalia arjuna sawdust waste. Groundw. Sustain. Dev. 2018, 7, 30–38. [Google Scholar] [CrossRef]
- Ray, S.S.; Gusain, R.; Kumar, N. (Eds.) Adsorption equilibrium isotherms, kinetics and thermodynamics. In Micro and Nano Technologies, Carbon Nanomaterial-Based Adsorbents for Water Purification; Elsevier: Amsterdam, The Netherlands, 2020; pp. 101–118. [Google Scholar] [CrossRef]
- Hamoudi, S.A.; Hamdi, B.; Brendlé, J. Removal of Ions Pb2+ and Cd2+ from Aqueous Solution by Containment Geomaterials. In Exergetic, Energetic and Environmental Dimensions; Dincer, I., Colpan, C.O., Kizilkan, O., Eds.; Academic Press: Cambridge, MA, USA, 2018; pp. 1029–1043. [Google Scholar] [CrossRef]
- Kamsonlian, S.; Suresh, S.; Balomajumder, S.; Chand, S. Characterization of banana peels and orange peels: Biosorption mechanism. Int. J. Sci. Technol. Manag. 2011, 2, 1–7. [Google Scholar]
- Salazar-Rabago, J.J.; Ramos, R.L.; Utrilla, J.R.; Perez, R.O.; Cordova, F.J.C. Biosorption mechanism of Methylene Blue from aqueous solution onto White Pine (Pinus durangensis) sawdust: Effect of operating conditions. Sustain. Environ. Res. 2017, 27, 32–40. [Google Scholar] [CrossRef]
- Liu, L.; Fan, S.; Li, Y. Removal Behavior of Methylene Blue from Aqueous Solution by Tea Waste: Kinetics, Isotherms and Mechanism. Int. J. Environ. Res. Public Health 2018, 15, 1321. [Google Scholar] [CrossRef]
- Saleem, J.; Bin Shahid, U.; Hijab, M.; Mackey, H.; McKay, G. Production and applications of activated carbons as adsorbents from olive stones. Biomass Convers. Biorefin. 2019, 9, 775–802. [Google Scholar] [CrossRef]
- Sahoo, T.R.; Prelot, B. Chapter 7—Adsorption processes for the removal of contaminants from wastewater: The perspective role of nanomaterials and nanotechnology. In Micro and Nano Technologies, Nanomaterials for the Detection and Removal of Wastewater Pollutant; Bonelli, B., Freyria, F.S., Rossetti, I., Sethi, R., Eds.; Elsevier: Amsterdam, The Netherlands, 2020; pp. 161–222. [Google Scholar] [CrossRef]
- Nyakuma, B.; Oladokun, O.; Dodo, Y.; Wong, S.; Uthman, H.; Halim, M. Fuel Characterization and Thermogravimetric Analysis of Melon (Citrullus colocynthis L.) Seed Husk. Chem. Chem. Technol. 2016, 10, 493–497. [Google Scholar] [CrossRef]
- Díez, D.; Urueña, A.; Piñero, R.; Barrio, A.; Tamminen, T. Determination of Hemicellulose, Cellulose, and Lignin Content in different Types of Biomasses by Thermogravimetric Analysis and Pseudocomponent Kinetic Model (TGA-PKM Method). Processes 2020, 8, 1048. [Google Scholar] [CrossRef]
- Silva, F.; Nascimento, L.; Brito, M.; da Silva, K.; Paschoal, W., Jr.; Fujiyama, R. Biosorption of Methylene Blue Dye Using Natural Biosorbents Made from Weeds. Materials 2019, 12, 2486. [Google Scholar] [CrossRef]
- Prasad, A.L.; Santhi, T. Adsorption of hazardous cationic dyes from aqueous solution onto Acacia nilotica leaves as an eco friendly adsorbent. Sustain. Environ. Res. 2012, 22, 113–122. [Google Scholar]
- Bouras, H.D.; Yeddou, A.R.; Bouras, N.; Hellel, D.; Holtz, M.D.; Sabaou, N.; Chergui, A.; Nadjemi, B. Biosorption of Congo red dye by Aspergillus carbonarius M333 and Penicillium glabrum Pg1: Kinetics, equilibrium and thermodynamic studies. J. Taiwan Inst. Chem. Eng. 2017, 80, 915–923. [Google Scholar] [CrossRef]
- Koyuncu, H.; Kul, A.R. Removal of methylene blue dye from aqueous solution by nonliving lichen (Pseudevernia furfuracea (L.) Zopf.), as a novel biosorbent. Appl. Water Sci. 2020, 10, 72. [Google Scholar] [CrossRef]
- Dinh, V.-P.; Huynh, T.-D.-T.; Le, H.M.; Nguyen, V.-D.; Dao, V.-A.; Hung, N.Q.; Tuyen, L.A.; Lee, S.; Yi, J.; Nguyen, T.D.; et al. Insight into the adsorption mechanisms of methylene blue and chromium(iii) from aqueous solution onto pomelo fruit peel. RSC Adv. 2019, 9, 25847–25860. [Google Scholar] [CrossRef]
- Khattri, S.D.; Singh, M.K. Removal of malachite green from dye wastewater using neem sawdust by adsorption. J. Hazard. Mater. 2009, 167, 1089–1094. [Google Scholar] [CrossRef] [PubMed]
- Barka, N.; Abdennouri, M.; El Makhfouk, M.; Qourzal, S. Biosorption characteristics of cadmium and lead onto eco-friendly dried cactus (Opuntia ficus indica) cladodes. J. Environ. Chem. Eng. 2013, 1, 144–149. [Google Scholar] [CrossRef]
- Sharma, M.; Kaushik, A.; Kaushik, C.P. Waste biomass of Nostoc linckia as adsorbent of crystal violet dye: Optimization based on statistical model. Int. Biodeterior. Biodegrad. 2011, 65, 513–521. [Google Scholar]
- Singh, R.; Singh, T.S.; Odiyo, J.O.; Smith, J.A.; Edokpayi, J.N. Evaluation of Methylene Blue Sorption onto Low-Cost Biosorbents: Equilibrium, Kinetics, and Thermodynamics. J. Chem. 2020, 2020, 8318049. [Google Scholar] [CrossRef]
- Ambi, A.A.; Nuru, F.G.; Ibrahim, M.M.; Mora, A.T.; Abubakar, M.S. Pharmacognostic Studies and Elemental Analysis of the Surface Structures of the Seeds of Colocynthis citrullus (Thunb.). Int. J. Glob. Sustain. 2017, 4, 1–10. [Google Scholar]
- Ikenyiri, P.N.; Ukpaka, C.P. Overview on the Effect of Particle Size on the Performance of Wood Based Adsorbent. J. Chem. Eng. Process Technol. 2016, 7, 1000315. [Google Scholar]
- Amin, M.T.; Alazba, A.A.; Shafiq, M. Comparative study for adsorption of methylene blue dye on biochar derived from orange peel and banana biomass in aqueous solutions. Environ. Monit. Assess. 2019, 191, 735. [Google Scholar] [CrossRef]
- Sivarajasekar, N.; Baskar, R.; Ragu, T.; Sarika, K.; Preethi, N.; Radhika, T. Biosorption studies on waste cotton seed for cationic dyes sequestration: Equilibrium and thermodynamics. Appl. Water Sci. 2017, 7, 1987–1995. [Google Scholar] [CrossRef]
- Pathania, D.; Sharma, S.; Singh, P. Removal of methylene blue by adsorption onto activated carbon developed from Ficus carica bast. Arab. J. Chem. 2017, 10, S1445–S1451. [Google Scholar] [CrossRef]
- de Oliveira Brito, S.M.; Andrade, H.M.C.; Soares, L.F.; de Azevedo, R.P. Brazil nut shells as a new biosorbent to remove methylene blue and indigo carmine from aqueous solutions. J. Hazard. Mater. 2010, 174, 84–92. [Google Scholar] [CrossRef] [PubMed]
- Soni, M.; Sharma, A.K.; Srivastava, J.K. Adsorptive Removal of Methylene Blue Dye from an Aqueous Solution Using Water Hyacinth Root Powder as a Low Adsorbent. Int. J. Chem. Sci. 2012, 3, 338–345. [Google Scholar]
- Rehman, M.S.U.; Kim, I.; Han, J.-I. Adsorption of methylene blue dye from aqueous solution by sugar extracted spent rice biomass. Carbohydr. Polym. 2012, 90, 1314–1322. [Google Scholar] [CrossRef]
- Liu, Y.; Zhao, X.; Li, J.; Ma, D.; Han, R. Characterization of bio-char from pyrolysis of wheat straw and its evaluation on methylene blue adsorption. Desalin. Water Treat. 2012, 46, 115–123. [Google Scholar] [CrossRef]
- Cheng, G.; Sunb, L.; Jiaob, L.; Peng, L.; Leia, Z.; Wanga, Y.; Lina, J. Adsorption of methylene blue by residue biochar from copyrolysis of dewatered sewage sludge and pine sawdust. Desalin. Water Treat. 2013, 51, 37–41. [Google Scholar] [CrossRef]
- Shakoor, S.; Nasar, A. Adsorptive treatment of hazardous methylene blue dye from artificially contaminated water using Cucumis sativus peel waste as a low-cost adsorbent. Groundw. Sustain. Dev. 2017, 5, 152–159. [Google Scholar] [CrossRef]
- Ong, S.T.; Keng, P.S.; Lee, S.L.; Leong, M.H.; Hung, Y.T. Equilibrium studies for the removal of basic dye by sunflower seed husk (Helianthus annuus). Phys. Sci. Int. J. 2010, 5, 1270–1276. [Google Scholar]
- Irem, S.; Khan, Q.M.; Islam, E.; Hashmat, A.J.; Haq, M.A.U.; Afzal, M.; Mustafa, T. Enhanced removal of reactive navy blue dye using powdered orange waste. Ecol. Eng. 2013, 58, 399–405. [Google Scholar] [CrossRef]
- Edokpayi, J.N.; Ndlovu, S.S.; Odiyo, J.O. Characterization of pulverized Marula seed husk and its potential for the sequestration of methylene blue from aqueous solution. BMC Chem. 2019, 13, 10. [Google Scholar] [CrossRef] [PubMed]
- Belala, Z.; Jeguirim, M.; Belhachemi, M.; Addoun, F.; Trouvé, G. Biosorption of basic dye from aqueous solutions by Date Stones and Palm-Trees Waste: Kinetic, equilibrium and thermodynamic studies. Desalination 2011, 271, 80–87. [Google Scholar] [CrossRef]
- Jawad, A.H.; Rashid, R.A.; Mahmuod, R.M.; Ishak, M.A.M.; Kasim, N.N.; Ismail, K. Adsorption of methylene blue onto coconut (Cocos nucifera) leaf: Optimization, isotherm and kinetic studies. Desalin. Water Treat. 2016, 57, 8839–8853. [Google Scholar] [CrossRef]
- Ijagbemi, C.O.; Chun, J.I.; Han, D.H.; Cho, H.Y.; O, S.J.; Kim, D.S. Methylene Blue adsorption from aqueous solution by activated carbon: Effect of acidic and alkaline solution treatments. J. Environ. Sci. Health 2010, 45, 958–967. [Google Scholar] [CrossRef] [PubMed]
- Lou, S. Applied Adsorption Kinetics Model for Removal of Hazards from Aqueous Solution: More Informational Parameters for Industrial Design. J. Environ. Sci. Public Health 2017, 1, 228–239. [Google Scholar] [CrossRef]
- Kandisa, R.V.; Kv, N.S.; Gopinadh, R.; Veerabhadram, K. Kinetic Studies on Adsorption of Methylene Blue Using Natural Low Cost Adsorbent. J. Ind. Pollut. Control 2018, 34, 2054–2058. [Google Scholar]
- Basharat, S.; Rehman, R.; Mahmud, T.; Basharat, S.; Mitu, L. Tartaric Acid-Modified Holarrhena antidysenterica and Citrullus colocynthis Biowaste for Efficient Eradication of Crystal Violet Dye from Water. J. Chem. 2020, 2020, 8862167. [Google Scholar] [CrossRef]












| CCSs | CCSs-MB | % ΔI | CCPs | CCPs-MB | % ΔI | Suggested Assignments | Reference |
|---|---|---|---|---|---|---|---|
| 3292 | 3292 | −13.66 | 3328 | 3328 | −11.57 | stretching vibration of -OH (alcohols and phenols) | [36] |
| 2923 | 2924 | −3.42 | 2917 | 2917 | −1.05 | asymmetric stretching of -CH group | [37] |
| 2854 | 2854 | −3.8 | 2847 | 2847 | −2.4 | symmetric stretching vibrations of -CH group | |
| 1739 | 1739 | −7.68 | 1735 | 1731 | −6.25 | C = O stretching vibration of carboxylate (-COO−) / (-COOR) | [38] |
| 1635 | 1636 | −7.93 | stretching vibrations of aromatic -C=O and -C=C bonds in carboxylic acid anions. | [39] [40] | |||
| 1538 | 1540 | −8.9 | 1596 | 1596 | −13.58 | aromatic ring vibrations | [41] |
| 1455 | 1456 | −6.23 | phenolic -OH and -C=O stretching of carboxylates | [42] | |||
| 1370 | 1370 | −12.04 | stretching vibration of -COO | ||||
| 1237 | 1236 | −2.19 | 1235 | 1232 | −8.24 | C=O stretching vibration | [43] |
| 1036 | 1032 | −8.76 | 1027 | 1027 | −17.06 | C-O stretching of carboxylate groups | [44] |
| Particle Size (µm) | R% (CCSs) | R% (CCPs) |
|---|---|---|
| <600 | 97.80 | 68.20 |
| 600 µm–1180 µm | 85.64 | 63.50 |
| >1180 | 75.62 | 54.17 |
| Sample | MB-CCSs | MB-CCPs |
|---|---|---|
| Langmuir | ||
| qm (mg g−1) | 18.832 | 4.367 |
| KL (L/mg) | 0.0698 | 1.8438 |
| R2 | 0.9753 | 0.9982 |
| Freundlich | ||
| Kf (mg g−1) (L g−1)1/n | 1.2054 | 2.6485 |
| n | 1.0625 | 2.8910 |
| R2 | 0.9503 | 0.9456 |
| Temkin | ||
| Kt (L/mg) | 20.884 | |
| bt (kJ mol−1) | 2.682 | |
| R2 | 0.8642 | 0.9776 |
| MB (Ci, mg/L) | 2 | 3 | 4 | 5 | 6 | 7 |
|---|---|---|---|---|---|---|
| MB-CCSs | 0.878 | 0.827 | 0.782 | 0.741 | 0.705 | 0.672 |
| MB-CCPs | 0.213 | 0.153 | 0.119 | 0.098 | 0.083 | 0.072 |
| Biosorbent | Qm (mg g−1) | Reference |
|---|---|---|
| Brazil nut shells | 7.81 | [50] |
| Water hyacinth root powder | 8.04 | [51] |
| Spent rice | 8.13 | [52] |
| Sugar extracted spent rice biomass | 8.13 | [52] |
| Bio-char from pyrolysis of wheat straw | 12.03 | [53] |
| Pine sawdust | 16.75 | [54] |
| Cucumis sativus peels | 21.459 | [55] |
| Sunflower seed husk (Helianthus annuus) | 23.20 | [56] |
| Orange waste | 30.3 | [57] |
| Marula seed husk | 33 | [58] |
| Palm tree waste | 39.47 | [59] |
| Ginkgo biloba leaves | 48.07 | [44] |
| Vigna Trilobata pod | 71.42 | [16] |
| Coconut leaves | 112.35 | [60] |
| Tea waste | 113.1461 | [31] |
| Activated carbon | 8.77 | [61] |
| CCSs | 18.832 | present study |
| CCPs | 4.480 | present study |
| Sample | MB-CCSs | MB-CCPs |
|---|---|---|
| MB (Ci, mg/L) | 6 | 4 |
| qe, exp (mg g−1) | 18.832 | 4.367 |
| Pseudo-First Order | ||
| K1 (min−1) | 0.1113 | 0.0274 |
| qe1, cal (mg g−1) | 14.036 | 3.681 |
| R2 | 0.991 | 0.9947 |
| Pseudo-Second Order | ||
| K2 (g mg−1 min−1) | 0.0177 | 0.0061 |
| qe2, cal (mg g−1) | 19.531 | 4.801 |
| R2 | 0.9994 | 0.9803 |
| Adsorbent | ΔHº(kJ mol−1) | ΔSº(J mol−1 K−1) | Temperature (K) | ΔGº(KJ mol−1) |
|---|---|---|---|---|
| CCSs | 23.09 | 91.17 | 293 | −3.62 |
| 303 | −4.53 | |||
| 313 | −5.44 | |||
| 323 | −6.36 | |||
| 333 | −7.27 | |||
| CCPs | −16.25 | −54.47 | 293 | −0.29 |
| 303 | 0.25 | |||
| 313 | 0.80 | |||
| 323 | 1.34 | |||
| 333 | 1.89 |
Publisher’s Note: MDPI stays neutral with regard to jurisdictional claims in published maps and institutional affiliations. |
© 2021 by the authors. Licensee MDPI, Basel, Switzerland. This article is an open access article distributed under the terms and conditions of the Creative Commons Attribution (CC BY) license (https://creativecommons.org/licenses/by/4.0/).
Share and Cite
Alghamdi, W.M.; El Mannoubi, I. Investigation of Seeds and Peels of Citrullus colocynthis as Efficient Natural Adsorbent for Methylene Blue Dye. Processes 2021, 9, 1279. https://doi.org/10.3390/pr9081279
Alghamdi WM, El Mannoubi I. Investigation of Seeds and Peels of Citrullus colocynthis as Efficient Natural Adsorbent for Methylene Blue Dye. Processes. 2021; 9(8):1279. https://doi.org/10.3390/pr9081279
Chicago/Turabian StyleAlghamdi, Wafa Mohammed, and Ines El Mannoubi. 2021. "Investigation of Seeds and Peels of Citrullus colocynthis as Efficient Natural Adsorbent for Methylene Blue Dye" Processes 9, no. 8: 1279. https://doi.org/10.3390/pr9081279
APA StyleAlghamdi, W. M., & El Mannoubi, I. (2021). Investigation of Seeds and Peels of Citrullus colocynthis as Efficient Natural Adsorbent for Methylene Blue Dye. Processes, 9(8), 1279. https://doi.org/10.3390/pr9081279

