Effects of Flow Velocity on Transient Behaviour of Liquid CO2 Decompression during Pipeline Transportation
Abstract
1. Introduction
2. CFD Computational Model
2.1. Numerical Methodology
2.2. Computational Domain and Boundary Conditions
2.3. Data Processing
3. Model Validation
4. Results and Discussion
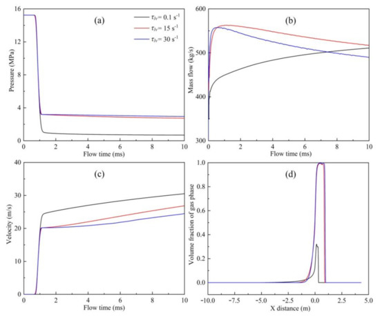
4.1. Effects on Transition Behaviour of CO2 Inside the Pipe
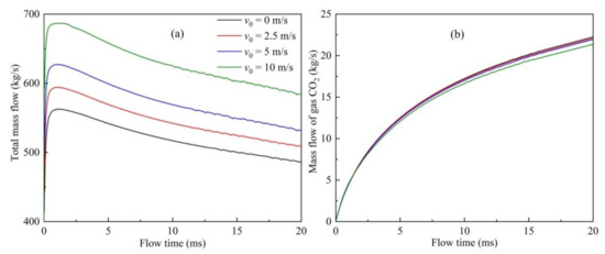
4.2. Effects on Mass Flow at the Rupture Opening
4.3. Effects on Transition Behaviour of CO2 Outside the Pipe
5. Conclusions
Author Contributions
Funding
Institutional Review Board Statement
Informed Consent Statement
Data Availability Statement
Acknowledgments
Conflicts of Interest
References
- Pierre, F.; Matthew, W.J.; Michael, O.’S. Global Carbon Budget. Earth Syst. Sci. Data 2019, 11, 1783–1838. [Google Scholar] [CrossRef]
- Global Monitoring Laboratory (NOAA). Mauna Loa Laboratory CO2 Monitoring Records National Oceanic & Atmospheric Administration. 2020. Available online: https://www.esrl.noaa.gov/gmd/ccgg/trends/ (accessed on 31 May 2020).
- Rockstrom, J.; Steffen, W.; Noone, K.; Persson, A.; Chapin, F.S. A safe operating space for humanity. Nature 2009, 461, 472–475. [Google Scholar] [CrossRef] [PubMed]
- IPCC. IPCC Special Report on Carbon Dioxide Capture and Storage, Repared by Working Group III of the IPCC; Cambridge University Press: Cambridge, UK, 2005. [Google Scholar]
- Sven-Lasse, K.; Martin, P.; Stefan, S.; Alfons, K.; Heike, R. Potential dynamics of CO2 stream composition and mass flow rates in CCS clusters. Processes 2020, 8, 1188. [Google Scholar]
- Forbes, S.M.; Verma, P.; Curry, T.E.; Friedmann, S.J.; Wade, S.M. CCS Guidelines for Carbon Dioxide Capture, Transport, and Storage; World Resources Institute (WRI): Washington, DC, USA, 2008. [Google Scholar]
- Elshahomi, A.; Lu, C.; Michal, G.; Liu, X.; Godbole, A.; Venton, P. Decompression wave speed in CO2 mixtures: CFD modelling with the GERG-2008 equation of state. Appl. Energy 2015, 140, 20–32. [Google Scholar] [CrossRef]
- Wells, A. Fracture control: Past, present and future. Exp. Mech. 1973, 13, 401–410. [Google Scholar] [CrossRef]
- Cosham, A.; Jones, D.G.; Armstrong, K.; Allason, D. Ruptures in gas pipelines, liquid pipelines and dense phase carbon dioxide pipelines. In Proceedings of the 9th International Pipeline Conference, Calgary, AB, Canada, 24–28 September 2012. [Google Scholar]
- Botros, K.K.; Geerligs, J.; Rothwell, B.; Robinson, T. Measurements of decompression wave speed in pure carbon dioxide and comparison with predictions by equation of state. J. Pres. Ves. Technol. 2016, 138, 031302. [Google Scholar] [CrossRef]
- Vree, B.; Ahmad, M.; Buit, L.; Florisson, O. Rapid depressurization of a CO2 pipeline-An experimental study. Int. J. Greenh. Gas Control 2015, 41, 41–49. [Google Scholar] [CrossRef]
- Loi, H.H.P.P.; Risza, R. A review of experimental and modelling methods for accidental release behaviour of high-pressurised CO2 pipelines at atmospheric environment. Process. Saf. Environ. 2016, 104, 48–84. [Google Scholar]
- Guo, X.; Yan, X.; Yu, J.; Yang, Y.; Zhang, Y.; Chen, S.; Mahgerefteh, H.; Martynov, S. Pressure responses and phase transitions during the release of high pressure CO2 from a large-scale pipeline. Energy 2016, 118, 1066–1078. [Google Scholar] [CrossRef]
- Guo, X.; Yan, X.; Yu, J.; Zhang, Y.; Chen, S.; Mahgerefteh, H.; Martynov, S.; Collard, A.; Proust, C. Pressure response and phase transition in supercritical CO2 releases from a large-scale pipeline. Appl. Energy 2016, 178, 189–197. [Google Scholar] [CrossRef]
- Guo, X.; Chen, S.; Yan, X.; Zhang, X.; Yu, J.; Zhang, Y.; Mahgerefteh, H.; Martynov, S.; Collard, A.; Brown, S. Flow characteristics and dispersion during the leakage of high pressure CO2 from an industrial scale pipeline. Int. J. Greenh. Gas Control 2018, 73, 70–78. [Google Scholar] [CrossRef]
- Lu, C.; Elshahomi, A.; Godbole, A.; Rothwell, B. Investigation of the effects of pipe wall roughness and pipe diameter on the decompression wave speed in natural gas pipelines. In Proceedings of the 9th International Pipeline Conference, Calgary, AB, Canada, 24–28 September 2012. [Google Scholar]
- Cosham, A.; Jones, D.G.; Armstrong, K.; Allason, D.; Barnett, J. The decompression behaviour of carbon dioxide in the dense phase. In Proceedings of the 9th International Pipeline Conference, Calgary, AB, Canada, 24–28 September 2012. [Google Scholar]
- Mahgerefteh, H.; Brown, S.; Martynov, S. A study of the effects of friction, heat transfer, and stream impurities on the decompression behavior in CO2 pipelines. Greenh. Gases-Sci. Technol. 2012, 2, 369–379. [Google Scholar] [CrossRef]
- Mahgerefteh, H.; Zhang, P.; Brown, S. Modelling brittle fracture propagation in gas and dense-phase CO2 transportation pipelines. Int. J. Greenh. Gas Control 2016, 46, 39–47. [Google Scholar] [CrossRef]
- Phillips, A.G.; Robinson, C.G. Gas Decompression Behavior Following the Rupture of High Pressure Pipelines—Phase 1 PRCI Contract PR-273-0135; Pipeline Research Council International Inc.: Arlington, VA, USA, 2002; pp. 1–52. [Google Scholar]
- Cosham, A.; Eiber, R.J. Fracture control in carbon dioxide pipelines—Teffect of impurities. In Proceedings of the 7th International pipeline conference, Calgary, AB, Canada, 29 September–3 October 2008; pp. 229–240. [Google Scholar]
- Ramachandran, H.; Pope, G.A.; Srinivasan, S. Numerical study on the effect of thermodynamic phase changes on CO2 leakage. Energy Procedia 2017, 114, 3528–3536. [Google Scholar] [CrossRef]
- Xia, G.; Li, D.; Merkle, C.L. Consistent properties reconstruction on adaptive Cartesian meshes for complex fluids computations. J. Comput. Phys. 2007, 225, 1175–1197. [Google Scholar] [CrossRef]
- Downar-Zapolski, P.; Bilicki, Z.; Bolle, L.; Franco, J. The non-equilibrium relaxation model for one-dimensional flashing liquid flow. Int. J. Multiph. Flow 1996, 22, 473–483. [Google Scholar] [CrossRef]
- Bilicki, Z.; Kestin, J. Physical aspects of the relaxation model in two-phase flow. Proc. R. Soc. Lond. A 1990, 428, 379–397. [Google Scholar]
- Brown, S.; Martynov, S.; Mahgerefteh, H.; Chen, S.; Zhang, Y. Modelling the non-equilibrium two-phase flow during depressurisation of CO2 pipelines. Int. J. Greenh. Gas Control 2014, 30, 9–18. [Google Scholar] [CrossRef]
- Brown, S.; Martynov, S.; Mahgerefteh, H.; Proust, C. A homogeneous relaxation flow model for the full bore rupture of dense phase CO2 pipelines. Int. J. Greenh. Gas Control 2013, 17, 349–356. [Google Scholar] [CrossRef]
- Zheng, W.; Mahgerefteh, H.; Martynov, S.; Brown, S. Modelling of CO2 decompression across the triple point. Ind. Eng. Chem. Res. 2017, 56, 10491–10499. [Google Scholar] [CrossRef]
- Liu, B.; Liu, X.; Lu, C.; Ajit, G.; Guillaume, M.; Anh, K.T. A CFD decompression model for CO2 mixture and the influence of non-equilibrium phase transition. Appl. Energy 2018, 227, 516–524. [Google Scholar] [CrossRef]
- Xiao, C.; Lu, Z.; Yan, L.; Yao, S. Transient behaviour of liquid CO2 decompression: CFD modelling and effects of initial state parameters. Int. J. Greenh. Gas Control 2020, 101, 103154. [Google Scholar] [CrossRef]
- ANSYS. Ansys Fluent Theory Guide; ANSYS Inc.: Canonsburg, PA, USA, 2018. [Google Scholar]
- Lee, W.H. A Pressure Iteration Scheme for Two-Phase Flow Modelling. Multiphase Transport Fundamentals, Reactor Safety, Applications; Hemisphere Publishing: Washington, DC, USA, 1980. [Google Scholar]
- Span, R.; Wagner, W. A new equation of state for carbon dioxide covering the fluid region from the Triple-Point temperature to 1100 K at pressures up to 800 MPa. J. Phys. Chem. Ref. Data 1996, 25, 1509–1596. [Google Scholar] [CrossRef]
- Shih, T.H.; Liou, W.W.; Shabbir, A.; Yang, Z.; Zhu, J. A new k-ε eddy–viscosity model for high reynolds number turbulent flows-model development and validation. Comput. Fluids 1995, 24, 227–238. [Google Scholar] [CrossRef]
- Marta, S.; Marek, J. Multiphase model of flow and separation phases in a whirlpool: Advanced simulation and phenomena visualization approach. J. Food Eng. 2020, 274, 109846. [Google Scholar]
- Liu, Z.; Zhao, Y.; Ren, T.; Qian, X.; Zhou, Y.; Sun, R.; Li, T.; Zhang, D. Experimental study of the flow characteristics and impact of dense–phase CO2 jet releases. Process. Saf. Environ. 2018, 116, 208–218. [Google Scholar] [CrossRef]












| Cases | P0 (MPa) | T0 (K) | ρ0 (kg/m−3) | v0 (m/s) | τlv (s−1) | τvl (s−1) |
|---|---|---|---|---|---|---|
| 1 | 15.24 | 278.15 | 978.61 | 0.0 | 0.1 | 15.0 |
| 2 | 15.24 | 278.15 | 978.61 | 0.0 | 30.0 | 15.0 |
| 3 | 15.24 | 278.15 | 978.61 | 0.0 | 15.0 | 0.1 |
| 4 | 15.24 | 278.15 | 978.61 | 0.0 | 15.0 | 50.0 |
| 5 | 15.24 | 278.15 | 978.61 | 0.0 | 15.0 | 15.0 |
| 6 | 15.24 | 278.15 | 978.61 | 2.5 | 15.0 | 15.0 |
| 7 | 15.24 | 278.15 | 978.61 | 5.0 | 15.0 | 15.0 |
| 8 | 15.24 | 278.15 | 978.61 | 10.0 | 15.0 | 15.0 |
Publisher’s Note: MDPI stays neutral with regard to jurisdictional claims in published maps and institutional affiliations. |
© 2021 by the authors. Licensee MDPI, Basel, Switzerland. This article is an open access article distributed under the terms and conditions of the Creative Commons Attribution (CC BY) license (http://creativecommons.org/licenses/by/4.0/).
Share and Cite
Xiao, C.; Lu, Z.; Yan, L.; Wang, J.; Yao, S. Effects of Flow Velocity on Transient Behaviour of Liquid CO2 Decompression during Pipeline Transportation. Processes 2021, 9, 192. https://doi.org/10.3390/pr9020192
Xiao C, Lu Z, Yan L, Wang J, Yao S. Effects of Flow Velocity on Transient Behaviour of Liquid CO2 Decompression during Pipeline Transportation. Processes. 2021; 9(2):192. https://doi.org/10.3390/pr9020192
Chicago/Turabian StyleXiao, Chenghuan, Zhaijun Lu, Liguo Yan, Jiaqiang Wang, and Shujian Yao. 2021. "Effects of Flow Velocity on Transient Behaviour of Liquid CO2 Decompression during Pipeline Transportation" Processes 9, no. 2: 192. https://doi.org/10.3390/pr9020192
APA StyleXiao, C., Lu, Z., Yan, L., Wang, J., & Yao, S. (2021). Effects of Flow Velocity on Transient Behaviour of Liquid CO2 Decompression during Pipeline Transportation. Processes, 9(2), 192. https://doi.org/10.3390/pr9020192
