Research on Combustion Characteristics of Air–Light Hydrocarbon Mixing Gas
Abstract
1. Introduction
2. Numerical Models and Computational Cases
2.1. Numerical Models
2.2. Computational Cases
3. Results and Discussions
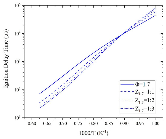
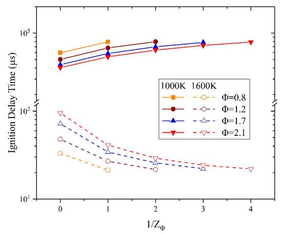
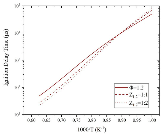
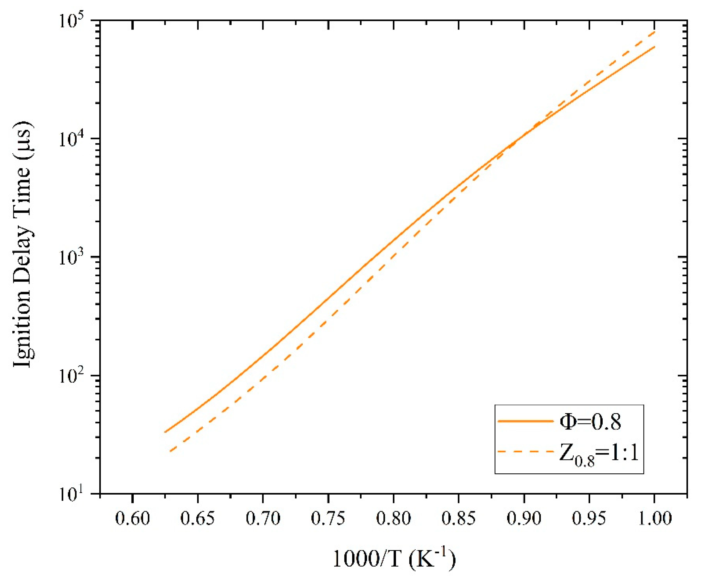
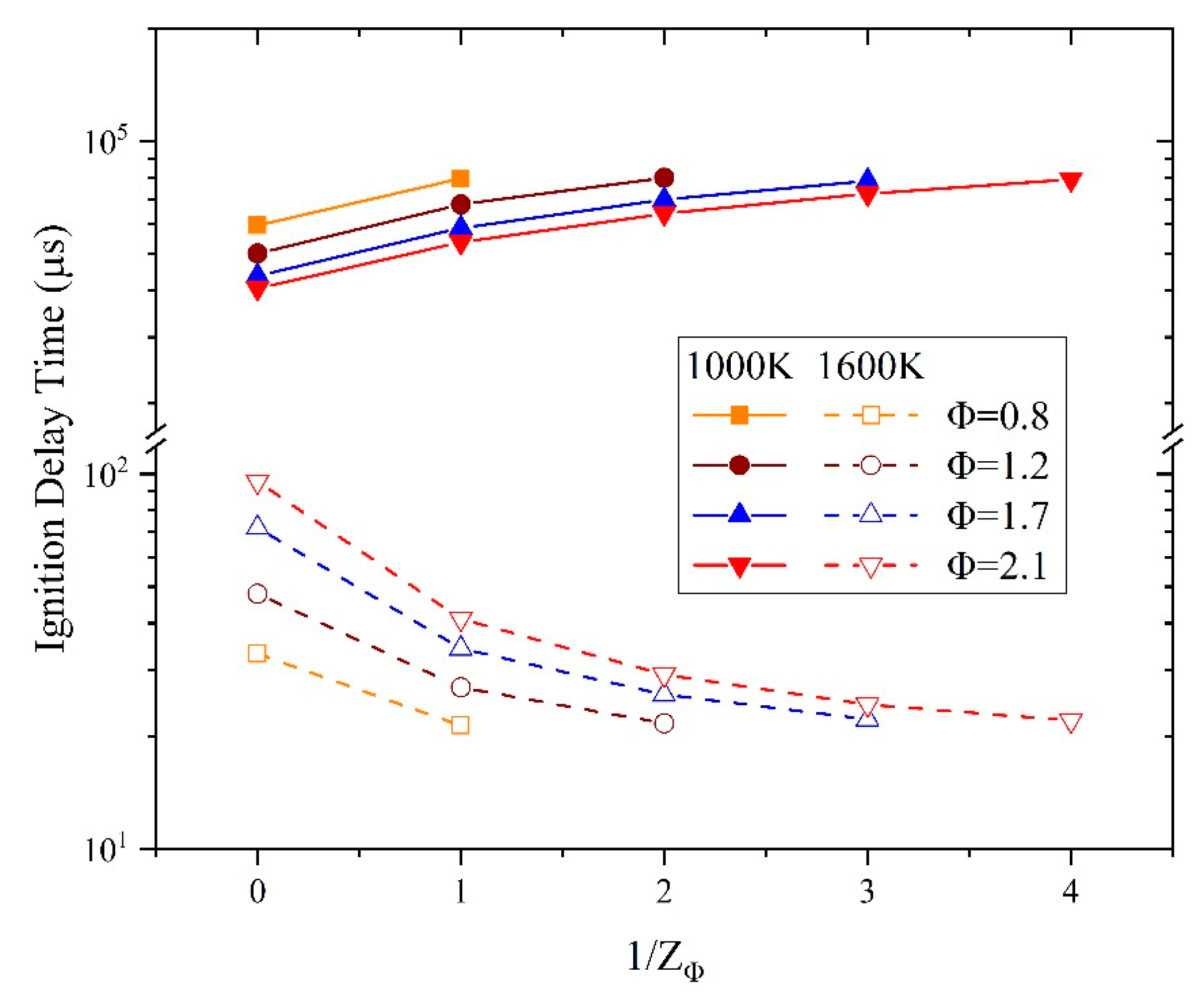
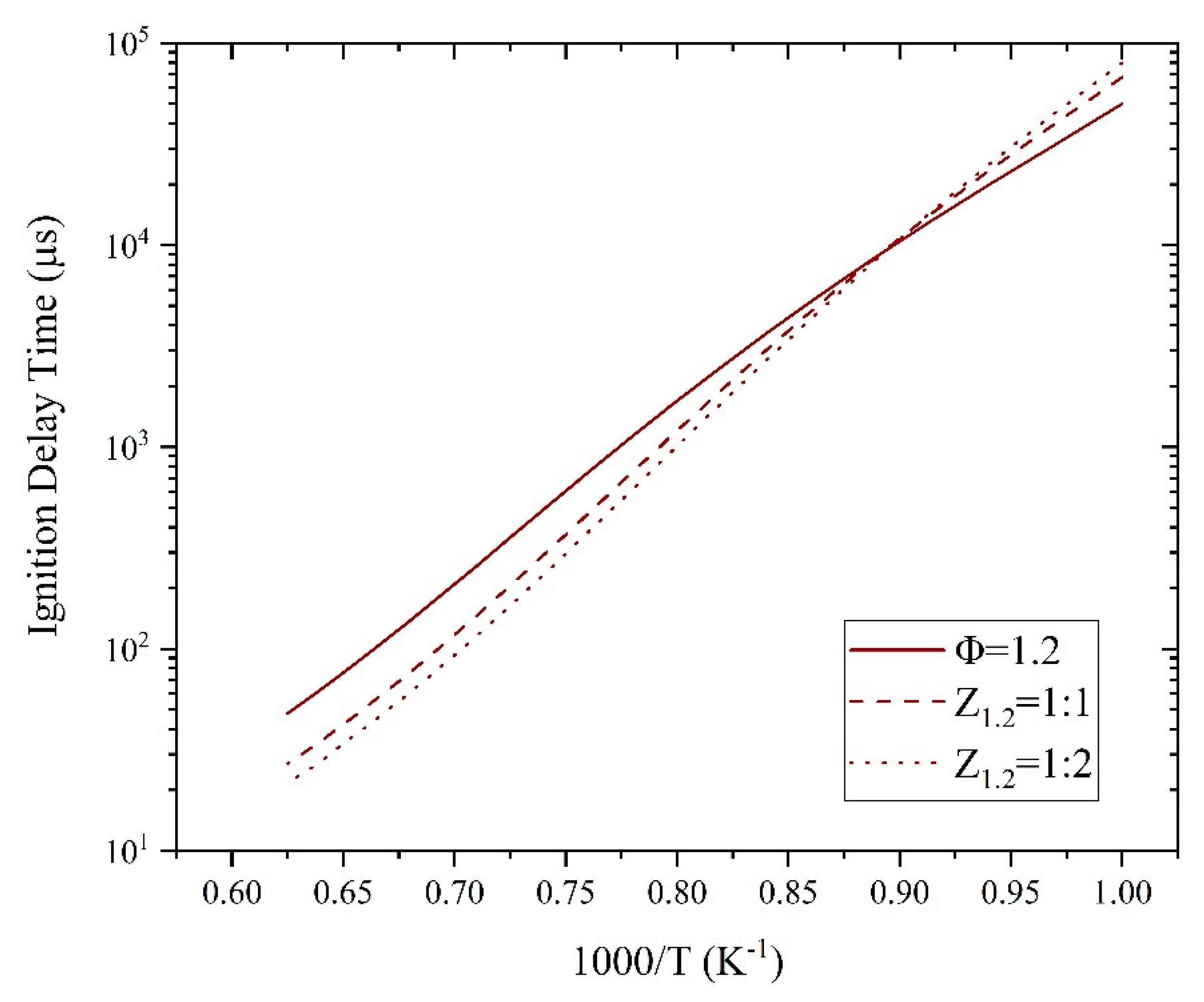
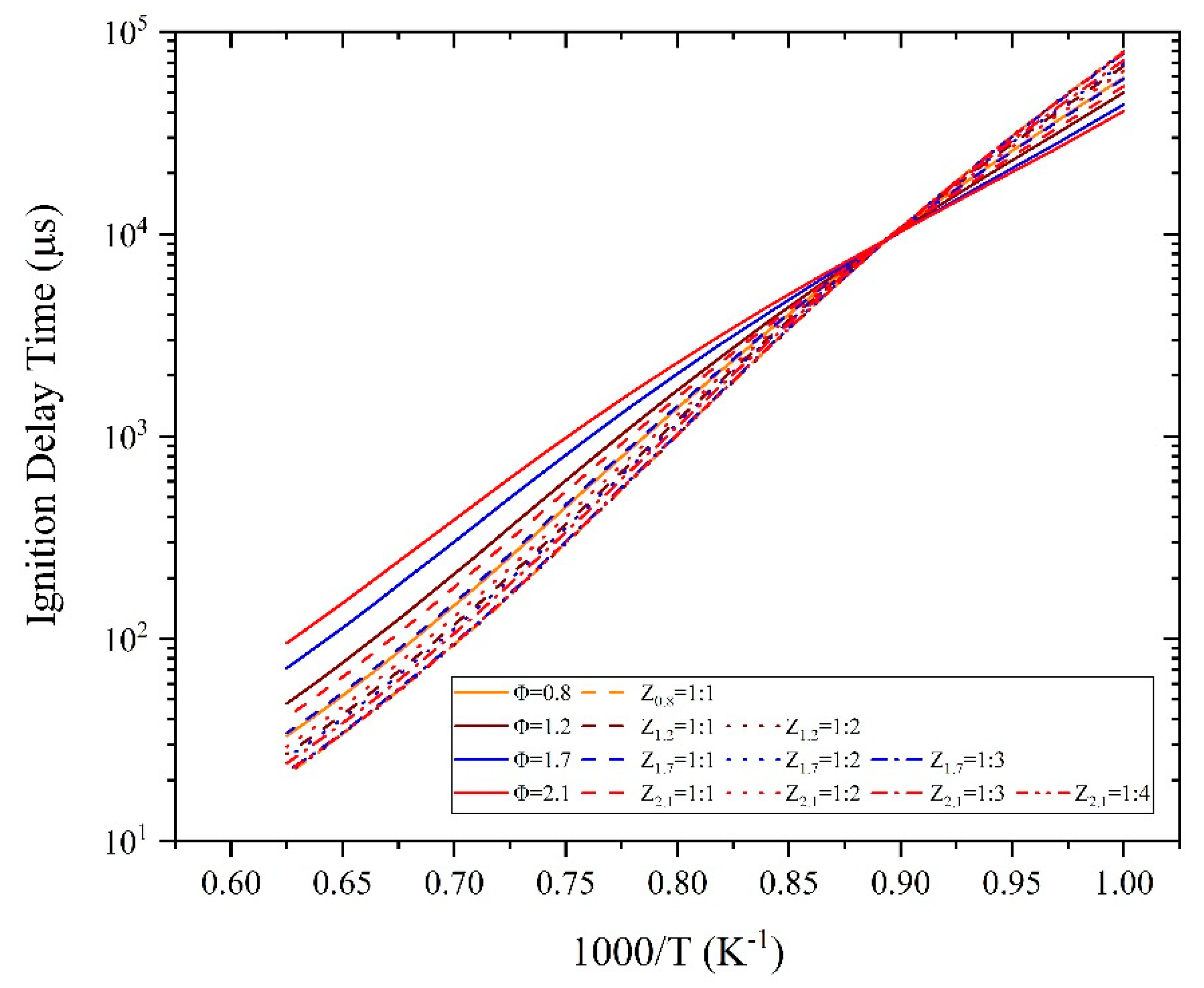
3.1. Ignition Delay Time
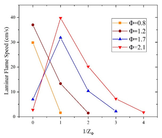
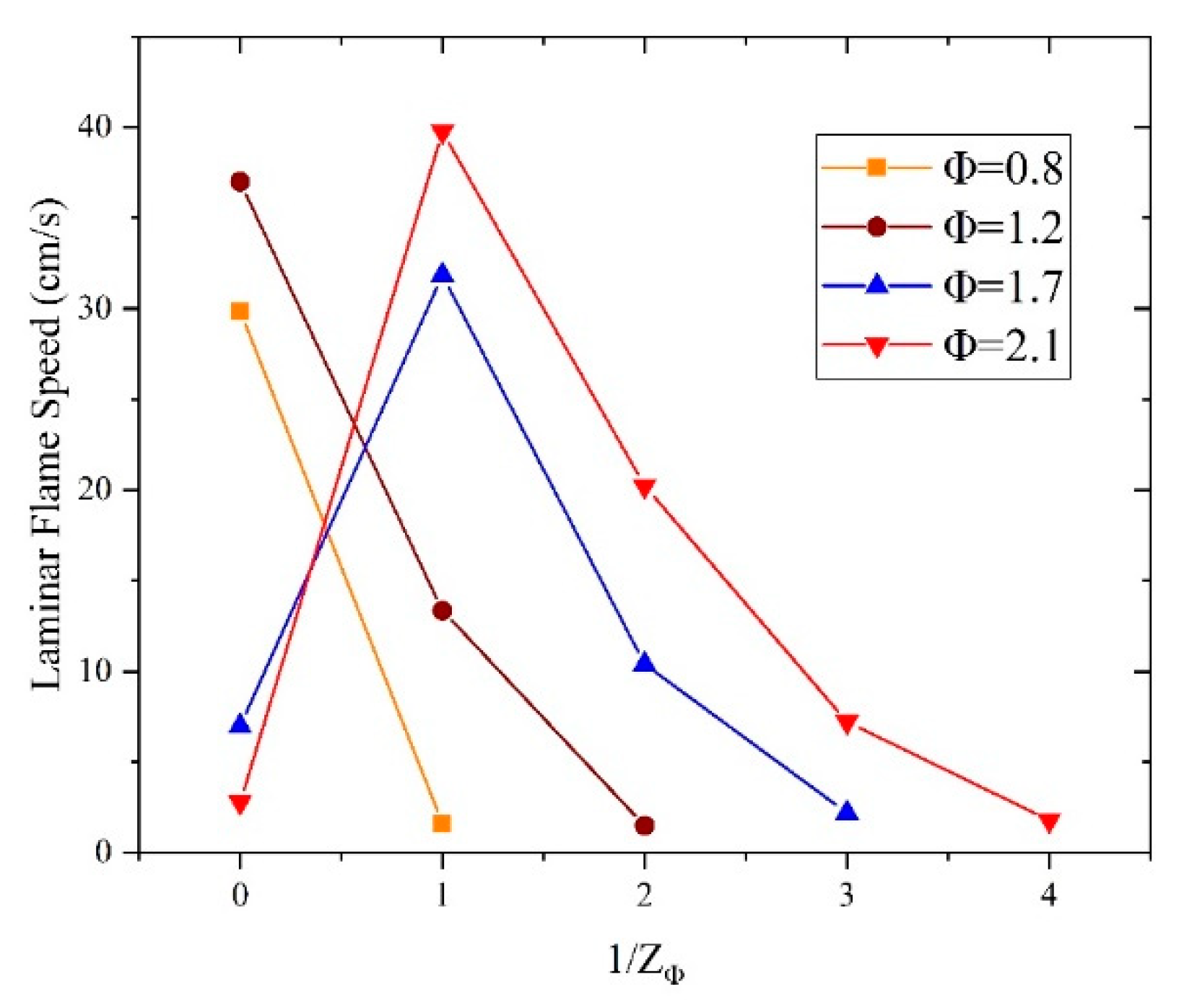
3.2. Laminar Flame Speed
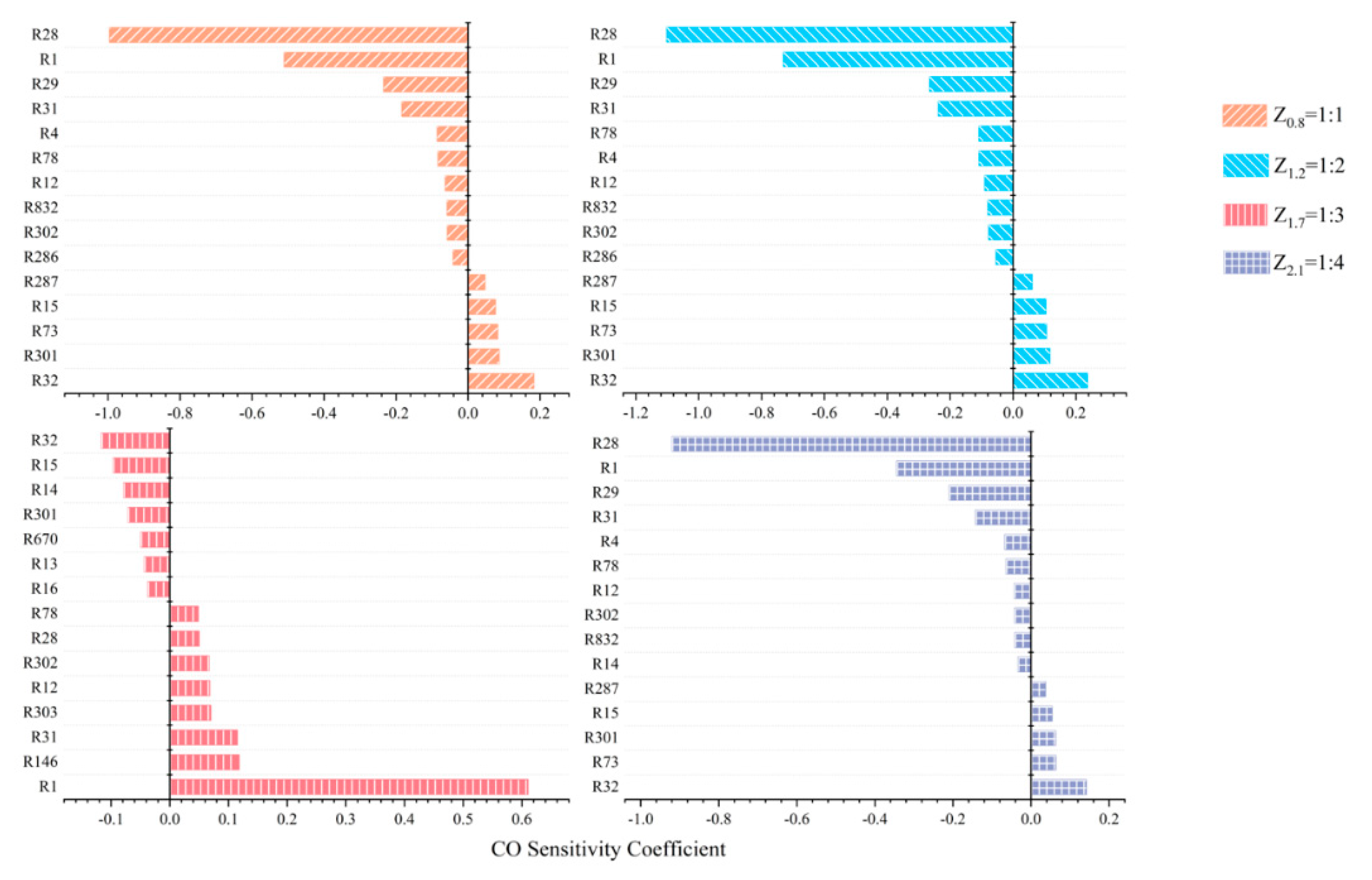
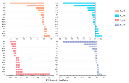
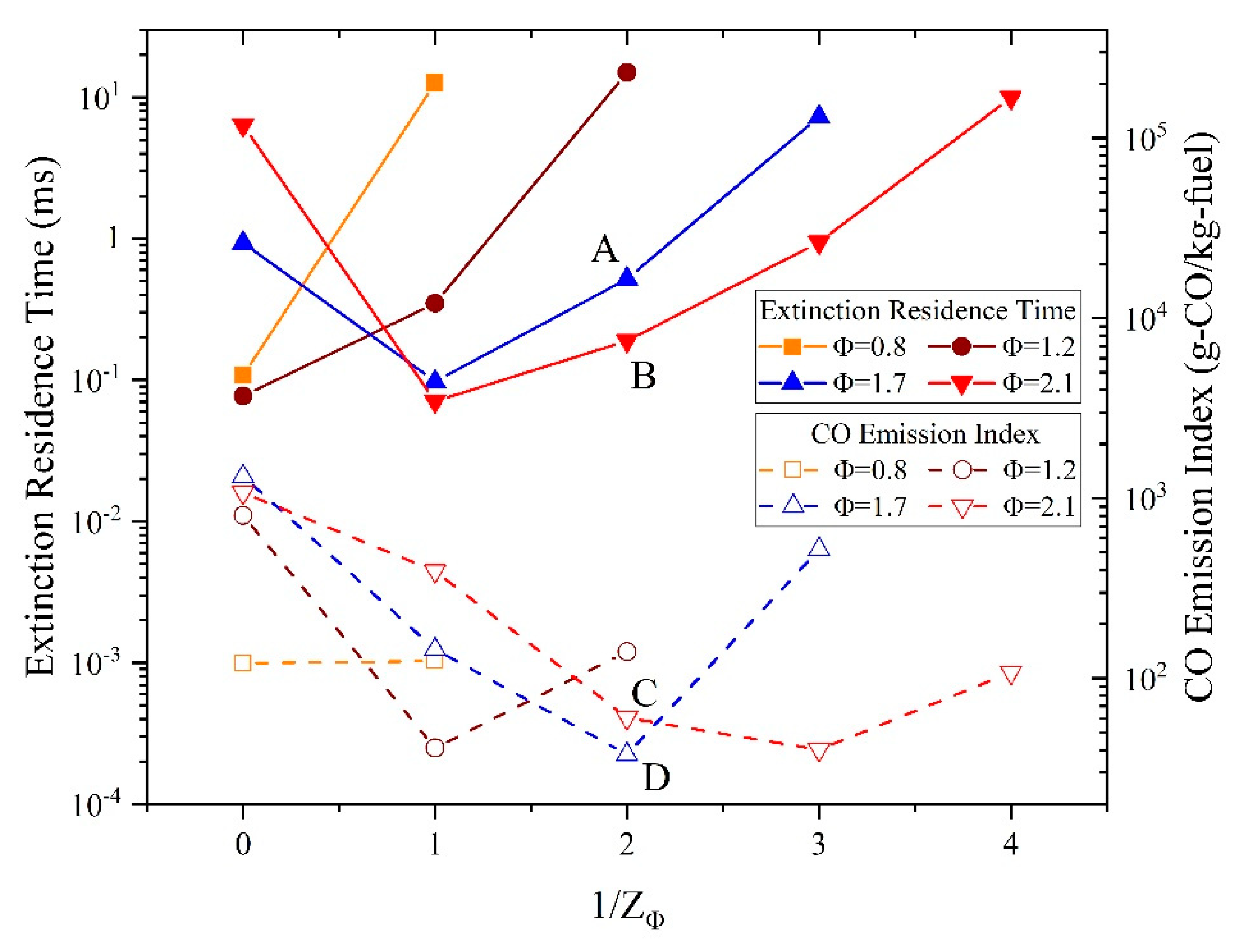
3.3. Extinction Residence Time and Emission
4. Conclusions
Author Contributions
Funding
Acknowledgments
Conflicts of Interest
References
- Zhang, S.; Ma, B. Development Trend of World Energy and Future Development Directions of China’s Energy. Nat. Res. Econ. Chin. 2019, 32, 20–27, 32. [Google Scholar]
- Liang, H.; Li, Y. Countermeasures to risks of Chinese energy security under major changes of world petroleum pattern caused by uprising of the petroleum industry of USA. Chin. Min. Mag. 2019, 28, 7–12. [Google Scholar]
- Zheng, C. China Energy (Group) Top 500 Analysis Report. China Energy News/2019/December/16th/Edition 004, CNKI, China. 2019. Available online: https://kns.cnki.net/KCMS/detail/detail.aspx?dbcode=CCND&dbname=CCNDLAST2020&filename=SHCA201912160040&v=MDY0MDhIOWpOclk1RFpPc0xEQk5LdWhkaG5qOThUbmpxcXhkRWVNT1VcmlmWmVadkVddmk0 (accessed on 19 June 2020).
- Yan, X.; Lu, G. Perspective of China’s Energy Strategy from the World Energy Trend. China Energy News/2019/5/6/6/Edition 004, International, CNKI, China. 2019. Available online: https://kns.cnki.net/KCMS/detail/detail.aspx?dbcode=CCND&dbname=CCNDLAST2019&filename=CKYB201905240080&v=MjIyMjRaT3NIREJOS3VoZGhuajk4VG5qcXF4ZEVlTU9VS3JpZlplWkZXJQZV1 (accessed on 19 June 2020).
- Han, J.; Gao, R.; Zhang, S.; Zhang, Y. A Feasibility Study into Using Light-hydrocarbon Liquid from Remote Fields as Domestic Fuels. Sino-Glob. Energy 2012, 17, 90–94. [Google Scholar]
- Fan, Y.; Wei, J.; Zhang, S.; Shi, D. Research on calculation method of the density of air-light hydrocarbon mixing gas. Tech. Superv. Pet. Ind. 2018, 34, 23–24, 28. [Google Scholar]
- Fan, Y.; Shi, D.; Wei, J.; Zhang, S. Research on calculation method of the dew point of air-light hydrocarbon mixing gas. Tech. Superv. Pet. Ind. 2018, 34, 3–5. [Google Scholar]
- Fan, Y.; Zhang, S.; Shi, D.; Wei, J. Research on calculation method of the explosion limit of air-light hydrocarbon mixing gas. Tech. Superv. Pet. Ind. 2018, 34, 40–42. [Google Scholar]
- Xie, Y.; Wang, J.; Zhang, M.; Gong, J.; Jin, W.; Huang, Z. Experimental and numerical study on laminar flame characteristics of methane oxy-fuel mixtures highly diluted with CO2. Energy Fuels 2013, 27, 6231–6237. [Google Scholar] [CrossRef]
- Hu, E.; Huang, Z.; He, J.; Jin, C.; Zheng, J. Experimental and numerical study on laminar burning characteristics of premixed methane–hydrogen–air flames. Int. J. Hydrog. Energy 2009, 34, 4876–4888. [Google Scholar] [CrossRef]
- Brower, M.; Petersen, E.L.; Metcalfe, W.; Curran, H.J.; Füri, M.; Bourque, G.; Aluri, N.; Güthe, F. Ignition delay time and laminar flame speed calculations for natural gas/hydrogen blends at elevated pressures. J. Eng. Gas Turbines Power 2013, 135. [Google Scholar] [CrossRef]
- Wang, J.; Huang, Z.; Tang, C.; Miao, H.; Wang, X. Numerical study of the effect of hydrogen addition on methane–air mixtures combustion. Int. J. Hydrog. Energy 2009, 34, 1084–1096. [Google Scholar] [CrossRef]
- Hu, F.; Li, P.; Guo, J.; Liu, Z.; Wang, L.; Mi, J.; Dally, B.; Zheng, C. Global reaction mechanisms for MILD oxy-combustion of methane. Energy 2018, 147, 839–857. [Google Scholar] [CrossRef]
- Liu, J.; Zhang, X.; Wang, T.; Hou, X.; Zhang, J.; Zheng, S. Numerical study of the chemical, thermal and diffusion effects of H2 and CO addition on the laminar flame speeds of methane–air mixture. Int. J. Hydrog. Energy 2015, 40, 8475–8483. [Google Scholar] [CrossRef]
- Karyeyen, S. Combustion characteristics of a non-premixed methane flame in a generated burner under distributed combustion conditions: A numerical study. Fuel 2018, 230, 163–171. [Google Scholar] [CrossRef]
- Yan, Y.; Wu, G.; Huang, W.; Zhang, L.; Li, L.; Yang, Z. Numerical comparison study of methane catalytic combustion characteristic between newly proposed opposed counter-flow micro-combustor and the conventional ones. Energy 2019, 170, 403–410. [Google Scholar] [CrossRef]
- Chen, J.; Song, W.; Xu, D. Optimal combustor dimensions for the catalytic combustion of methane-air mixtures in micro-channels. Energy Convers. Manag. 2017, 134, 197–207. [Google Scholar] [CrossRef]
- Xiao, H.; Valera-Medina, A.; Bowen, P.J. Study on premixed combustion characteristics of co-firing ammonia/methane fuels. Energy 2017, 140, 125–135. [Google Scholar] [CrossRef]
- Ku, J.W.; Choi, S.; Kim, H.K.; Lee, S.; Kwon, O.C. Extinction limits and structure of counterflow nonpremixed methane-ammonia/air flames. Energy 2018, 165, 314–325. [Google Scholar] [CrossRef]
- Pilcher, G.; Chadwick, J.D.M. Measurements of heats of combustion by flame calorimetry. Part 4—n-Pentane, isopentane, neopentane. Trans. Faraday Soc. 1967, 63, 2357–2361. [Google Scholar] [CrossRef]
- Knox, J.H.; Kinnear, C.G. The mechanism of combustion of pentane in the gas phase between 250 and 400 C. Proc. Symp. (Int.) Combust. 1971, 13, 217–227. [Google Scholar] [CrossRef]
- Hughes, R.; Simmons, R.F. The low-temperature combustion of n-pentane. Proc. Symp. (Int.) Combust. 1969, 12, 449–461. [Google Scholar] [CrossRef]
- Westbrook, C.K.; Pitz, W.J.; Thornton, M.M.; Malte, P.C. A kinetic modeling study of n-pentane oxidation in a well-stirred reactor. Combust. Flame 1988, 72, 45–62. [Google Scholar] [CrossRef]
- Chakir, A.; Belumam, M.; Boettner, J.C.; Cathonnet, M. Kinetic study of n-pentane oxidation. Combust. Sci. Technol. 1991, 77, 239–260. [Google Scholar] [CrossRef]
- Zhukov, V.P.; Sechenov, V.A.; Starikovskii, A.Y. Self-ignition of a lean mixture of n-pentane and air over a wide range of pressures. Combust. Flame 2005, 140, 196–203. [Google Scholar] [CrossRef]
- Bugler, J.; Marks, B.; Mathieu, O.; Archuleta, R.; Camou, A.; Grégoire, C.; Heufer, K.A.; Petersen, E.L.; Curran, H.J. An ignition delay time and chemical kinetic modeling study of the pentane isomers. Combust. Flame 2016, 163, 138–156. [Google Scholar] [CrossRef]
- Bugler, J.; Rodriguez, A.; Herbinet, O.; Battin-Leclerc, F.; Togbé, C.; Dayma, G.; Dagaut, P.; Curran, H.J. An experimental and modelling study of n-pentane oxidation in two jet-stirred reactors: The importance of pressure-dependent kinetics and new reaction pathways. Proc. Combust. Inst. 2017, 36, 441–448. [Google Scholar] [CrossRef]
- Kelley, A.P.; Smallbone, A.J.; Zhu, D.L.; Law, C.K. Laminar flame speeds of C5 to C8 n-alkanes at elevated pressures: Experimental determination, fuel similarity, and stretch sensitivity. Proc. Combust. Inst. 2011, 33, 963–970. [Google Scholar] [CrossRef]
- Jiang, X.; Deng, F.; Yang, F.; Zhang, Y.; Huang, Z. High temperature ignition delay time of DME/n-pentane mixture under fuel lean condition. Fuel 2017, 191, 77–86. [Google Scholar] [CrossRef]
- Ansys Chemkin 17.0 (15151), ANSYS Reaction Design: San Diego, CA, USA, 2016.
- Hui, X.; Zhang, C.; Xia, M.; Sung, C.-J. Effects of hydrogen addition on combustion characteristics of n-decane/air mixtures. Combust. Flame 2014, 161, 2252–2262. [Google Scholar] [CrossRef]
- Chang, L.; Lin, Y.; Cao, Z.; Xu, L. A new simplified mechanism for combustion of RP-3/Jet-A kerosene. Energy Source. Part A 2020, 42, 676–687. [Google Scholar] [CrossRef]
- Chang, L.; Lin, Y.; Cao, Z.; Xu, L. Effects of water vapor addition on NO reduction of n-decane/air flames. Energy Source. Part A 2019, 1–15. [Google Scholar] [CrossRef]
















| Equivalence Ratio, Φ | 1/ZΦ | Mole Fraction | ||
|---|---|---|---|---|
| n-C5H12 | N2 | O2 | ||
| 0.8 | 0 | 0.020568 | 0.773750 | 0.205682 |
| 1 | 0.010284 | 0.781874 | 0.207842 | |
| 1.2 | 0 | 0.030538 | 0.765874 | 0.203588 |
| 1 | 0.015269 | 0.777937 | 0.206794 | |
| 2 | 0.010180 | 0.781957 | 0.207863 | |
| 1.7 | 0 | 0.042720 | 0.7562500 | 0.2010300 |
| 1 | 0.021360 | 0.7731244 | 0.2055156 | |
| 2 | 0.014240 | 0.7787492 | 0.2070108 | |
| 3 | 0.010680 | 0.7815616 | 0.2077584 | |
| 2.1 | 0 | 0.0522450 | 0.7487250 | 0.1990300 |
| 1 | 0.0261225 | 0.7693618 | 0.2045157 | |
| 2 | 0.0174150 | 0.7762410 | 0.2063440 | |
| 3 | 0.0130610 | 0.7796800 | 0.2072590 | |
| 4 | 0.0104490 | 0.7817440 | 0.2078070 | |
| Number | Reaction | Number | Reaction |
|---|---|---|---|
| R1 | H + O2 <=> O + OH | R274 | CH2CHO + O2 => CH2O + CO + OH |
| R4 | O + H2O <=> OH + OH | R286 | CH2CO + OH <=> HCCO + H2O |
| R12 | HO2 + H <=> OH + OH | R287 | CH2CO + OH <=> CH2OH + CO |
| R13 | H + HO2 <=> H2 + O2 | R290 | HCCO + OH => H2 + CO + CO |
| R14 | HO2 + O <=> OH + O2 | R293 | HCCO + O2 => OH + CO + CO |
| R15 | OH + HO2 = H2O + O2 | R294 | HCCO + O2 => CO2 + CO + H |
| R16 | OH + HO2 = H2O + O2 | R301 | C2H4 + O <=> CH3 + HCO |
| R28 | CO + OH <=> CO2 + H | R302 | C2H4 + O <=> CH2CHO + H |
| R29 | CO + OH <=> CO2 + H | R303 | C2H4 + OH <=> C2H3 + H2O |
| R31 | HCO + M <=> H + CO + M | R344 | C2H3 + O2 = CH2O + H + CO |
| R32 | HCO + O2 <=> CO + HO2 | R450 | C2H3 + CO <=> C2H3CO |
| R73 | CH2O + OH <=> HCO + H2O | R670 | C3H6 + OH <=> C3H5-A + H2O |
| R78 | CH2O + OH <=> HOCH2O | R813 | CHOCHO + OH => HCO + CO + H2O |
| R146 | CH3 + HO2 <=> CH3O + OH | R832 | C3H5-A + O <=> C2H3CHO + H |
| R258 | CH3CO (+M) <=> CH3 + CO (+M) | R958 | CH3CHCO + OH <=> SC2H4OH + CO |
| R271 | CH2CHO (+M) <=> CH3 + CO (+M) | R1235 | CH2CHCHCHO <=> C3H5-A + CO |
© 2020 by the authors. Licensee MDPI, Basel, Switzerland. This article is an open access article distributed under the terms and conditions of the Creative Commons Attribution (CC BY) license (http://creativecommons.org/licenses/by/4.0/).
Share and Cite
Meng, Z.; Wang, J.; Xiong, C.; Qi, J.; Hou, L. Research on Combustion Characteristics of Air–Light Hydrocarbon Mixing Gas. Processes 2020, 8, 730. https://doi.org/10.3390/pr8060730
Meng Z, Wang J, Xiong C, Qi J, Hou L. Research on Combustion Characteristics of Air–Light Hydrocarbon Mixing Gas. Processes. 2020; 8(6):730. https://doi.org/10.3390/pr8060730
Chicago/Turabian StyleMeng, Zhiqun, Jinggang Wang, Chuchao Xiong, Jiawen Qi, and Liquan Hou. 2020. "Research on Combustion Characteristics of Air–Light Hydrocarbon Mixing Gas" Processes 8, no. 6: 730. https://doi.org/10.3390/pr8060730
APA StyleMeng, Z., Wang, J., Xiong, C., Qi, J., & Hou, L. (2020). Research on Combustion Characteristics of Air–Light Hydrocarbon Mixing Gas. Processes, 8(6), 730. https://doi.org/10.3390/pr8060730

