Imbalance-Based Irregularity Molecular Descriptors of Nanostar Dendrimers
Abstract
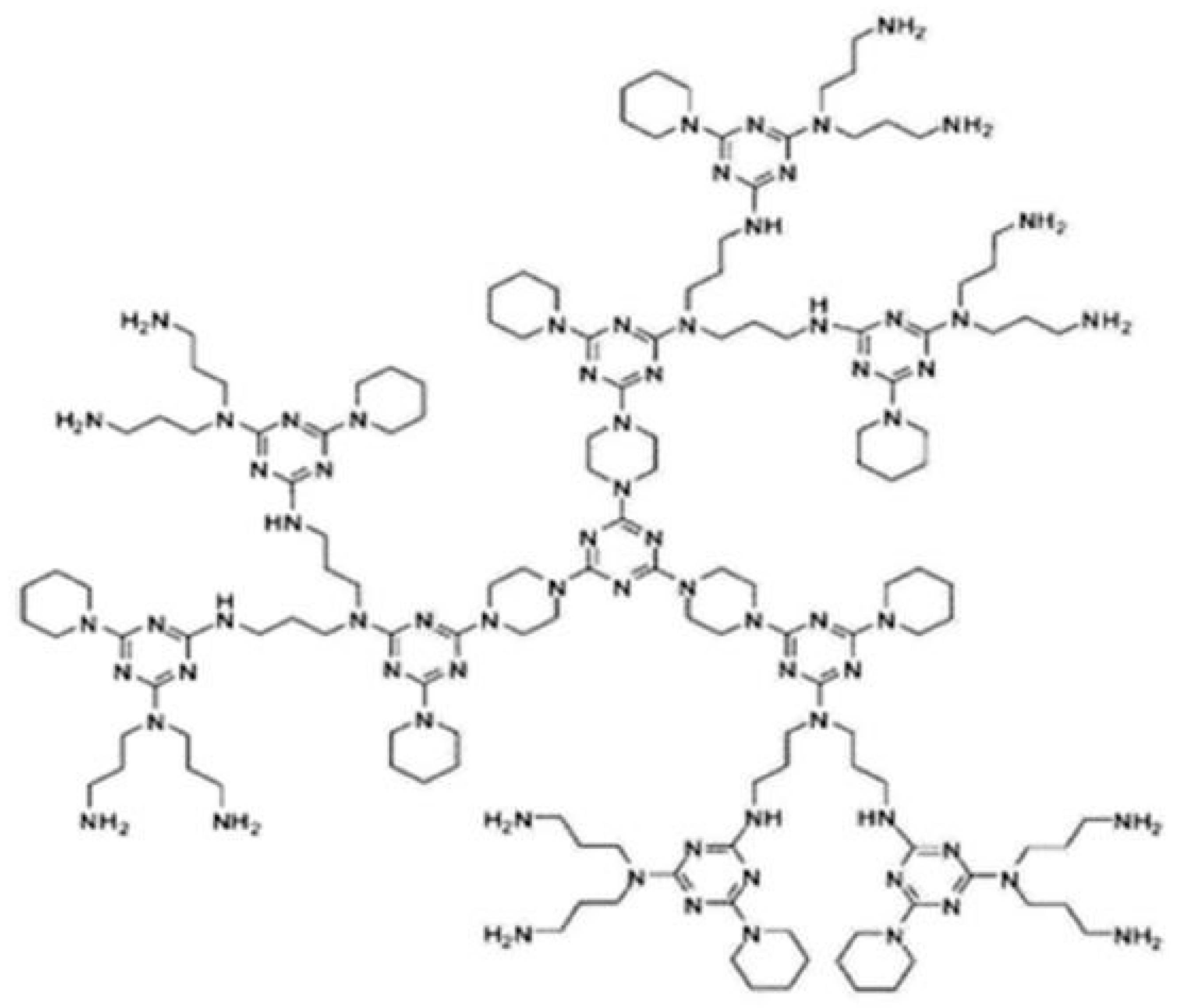
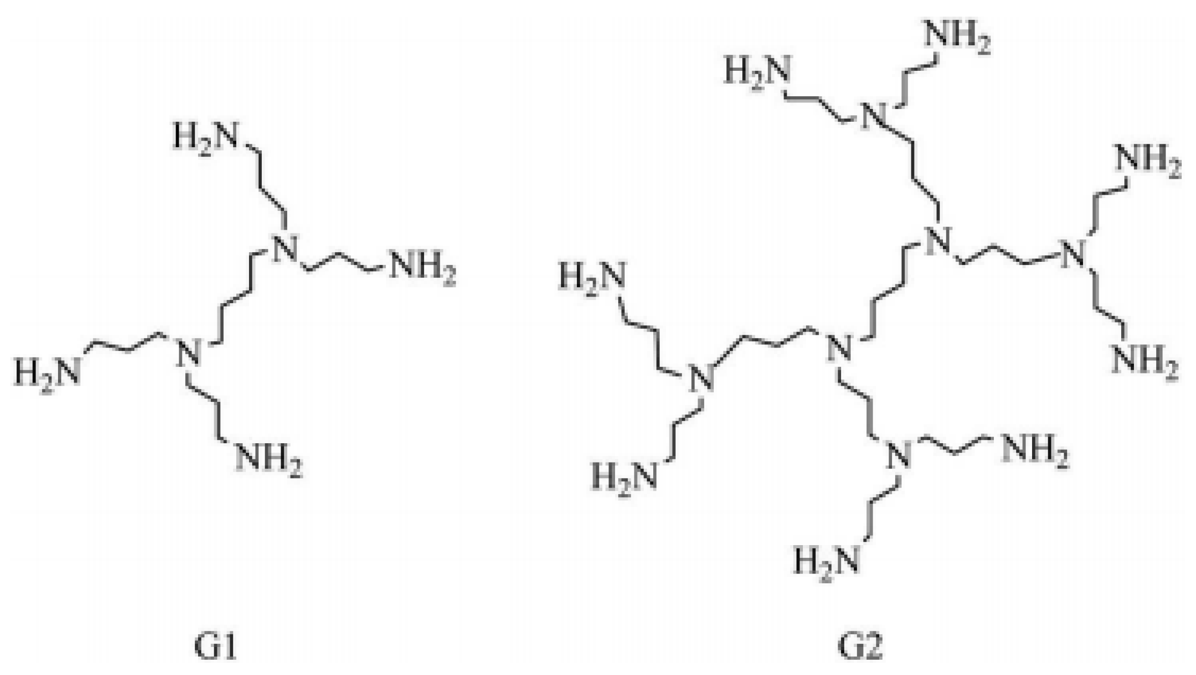
1. Introduction
2. Preliminaries and Notations
3. Main Results
- 0.69314718 10.070961 ( 10.070961
- 0.06036(
- 0.6931471806(
- 0.0588915178(
4. Graphical Analysis, Discussions and Conclusions
Author Contributions
Funding
Acknowledgments
Conflicts of Interest
References
- Hodge, P. Polymer science branches out. Nature 1993, 362, 18–19. [Google Scholar] [CrossRef]
- Fischer, M.; Vögtle, F. Dendrimers: From design to applications—A progress report. Angew. Chem. Int. Ed. 1999, 38, 884–905. [Google Scholar] [CrossRef]
- Wiener, E.C.; Auteri, F.P.; Chen, J.W.; Brechbiel, M.W.; Gansow, O.A.; Schneider, D.S.; Belford, R.L.; Clarkson, R.B.; Lauterbur, P.C. Molecular dynamics of ion-chelate complexes attached to dendrimers. J. Am. Chem. Soc. 1996, 118, 7774–7782. [Google Scholar] [CrossRef]
- Rucker, G.; Rucker, C. On topological indices, boiling points, and cycloalkanes. J. Chem. Inf. Comput. Sci. 1999, 39, 788–802. [Google Scholar] [CrossRef]
- Klavžar, S.; Gutman, I. A Comparison of the Schultz molecular topological index with the Wiener index. J. Chem. Inf. Comput. Sci. 1996, 36, 1001–1003. [Google Scholar] [CrossRef]
- Gutman, I.; Polansky, O.E. Mathematical Concepts in Organic Chemistry; Springer: New York, NY, USA, 1986. [Google Scholar]
- Randic, M. On the characterization of molecular branching. J. Am. Chem. Soc. 1975, 97, 6609–6615. [Google Scholar] [CrossRef]
- Wiener, H. Structural determination of paraffin boiling points. J. Am. Chem. Soc. 1947, 69, 17–20. [Google Scholar] [CrossRef] [PubMed]
- Estrada, E. Atomic bond connectivity and the energetic of branched alkanes. Chem. Phys. Lett. 2008, 463, 422–425. [Google Scholar] [CrossRef]
- Kier, L.; Hall, L. Molecular Connectivity in Chemistry and Drug Research; Academic Press: New York, NY, USA, 1976. [Google Scholar]
- Kier, L.B.; Hall, L.H. Molecular Connectivity in Structure Activity Analysis; Wiley: New York, NY, USA, 1986. [Google Scholar]
- Deng, H.; Yang, J.; Xia, F. A general modeling of some vertex-degree based topological indices in benzenoid systems and phenylenes. Comput. Math. Appl. 2011, 61, 3017–3023. [Google Scholar] [CrossRef]
- Zhang, H.; Zhang, F. The Clar covering polynomial of hexagonal systems. Discret. Appl. Math. 1996, 69, 147–167. [Google Scholar] [CrossRef]
- De, N.; Nayeem, S.M.A. Computing the F-index of nanostar dendrimers. Pac. Sci. A Nat. Sci. Eng. 2016, 18, 14–21. [Google Scholar] [CrossRef][Green Version]
- Siddiqui, M.K.; Imran, M.; Ahmad, A. On Zagreb indices, Zagreb polynomials of some nanostar dendrimers. Appl. Math. Comput. 2016, 280, 132–139. [Google Scholar] [CrossRef]
- Madanshekaf, A.; Ghaneei, M. Computing two topological indices of nanostars dendrimer, Optoelectron. Adv. Mater. Rapid Commun. 2010, 4, 1849–1851. [Google Scholar]
- Madanshekaf, A.; Moradi, M. The first geometric-arithmetic index of some nanostar dendrimers. Iran. J. Math. Chem. 2014, 5, 1–6. [Google Scholar]
- Munir, M.; Nazeer, W.; Rafique, S.; Kang, S.M. M-polynomial and related topological indices of Nanostar dendrimers. Symmetry 2016, 8, 97. [Google Scholar] [CrossRef]
- Munir, M.; Nazeer, W.; Rafique, S.; Nizami, A.R.; Kang, S.M. M-polynomial and degree-based topological indices of Titania nanotubes. Symmetry 2016, 8, 117. [Google Scholar] [CrossRef]
- Munir, M.; Nazeer, W.; Rafique, S.; Kang, S.M. M-Polynomial and Degree-Based Topological Indices of Polyhex Nanotubes. Symmetry 2016, 8, 149. [Google Scholar] [CrossRef]
- Munir, M.; Nazeer, W.; Shahzadi, S.; Kang, S.M. Some invariants of circulant graphs. Symmetry 2016, 8, 134. [Google Scholar] [CrossRef]
- Chartrand, G.; Erdos, P.; Oellermann, O. How to define an irregular graph. Coll. Math. J. 1988, 19, 36–42. [Google Scholar] [CrossRef]
- Majcher, Z.; Michael, J. Highly irregular graphs with extreme numbers of edges. Discret. Math. 1997, 164, 237–242. [Google Scholar] [CrossRef]
- Behzad, M.; Chartrand, G. No graph is perfect. Am. Math. Mon. 1967, 74, 962–963. [Google Scholar] [CrossRef]
- Horoldagva, B.; Buyantogtokh, L.; Dorjsembe, S.; Gutman, I. Maximum size of maximally irregular graphs. MATCH Commun. Math. Comput. Chem. 2016, 76, 81–98. [Google Scholar]
- Liu, F.; Zhang, Z.; Meng, J. The size of maximally irregular graphs and maximally irregular triangle–free graphs. Graphs Comb. 2014, 30, 699–705. [Google Scholar] [CrossRef]
- Collatz, L.; Sinogowitz, U. Spektren endlicher Graphen. In Abhandlungen aus dem Mathematischen Seminar der Universität Hamburg; Springer: Berlin, Germany, 1957; Volume 21, pp. 63–77. [Google Scholar]
- Bell, F.K. A note on the irregularity of graphs. Linear Algebra Appl. 1992, 161, 45–54. [Google Scholar] [CrossRef]
- Albertson, M. The irregularity of a graph. Ars Comb. 1997, 46, 219–225. [Google Scholar]
- Vukičević, D.; Graovac, A. Valence connectivities versus Randić, Zagreb and modified Zagreb index: A linear algorithm to check discriminative properties of indices in acyclic molecular graphs. Croat. Chem. Acta 2004, 77, 501–508. [Google Scholar]
- Abdo, H.; Brandt, S.; Dimitrov, D. The total irregularity of a graph. Discret. Math. Theor. Comput. Sci. 2014, 16, 201–206. [Google Scholar]
- Abdo, H.; Dimitrov, D. The total irregularity of graphs under graph operations. Miskolc Math. Notes 2014, 15, 3–17. [Google Scholar] [CrossRef]
- Abdo, H.; Dimitrov, D. The irregularity of graphs under graph operations. Discuss. Math. Graph Theory 2014, 34, 263–278. [Google Scholar] [CrossRef]
- Gutman, I. Topological Indices and Irregularity Measures. J. Bull. 2018, 8, 469–475. [Google Scholar]
- Reti, T.; Sharfdini, R.; Dregelyi-Kiss, A.; Hagobin, H. Graph irregularity indices used as molecular discriptors in QSPR studies. MATCH Commun. Math. Comput. Chem. 2018, 79, 509–524. [Google Scholar]
- Hu, Y.; Li, X.; Shi, Y.; Xu, T.; Gutman, I. On molecular graphs with smallest and greatest zeroth-Corder general randic index. MATCH Commun. Math. Comput. Chem. 2005, 54, 425–434. [Google Scholar]
- Caporossi, G.; Gutman, I.; Hansen, P.; Pavlovic, L. Graphs with maximum connectivity index. Comput. Biol. Chem. 2003, 27, 85–90. [Google Scholar] [CrossRef]
- Li, X.; Gutman, I. Mathematical aspects of Randic, type molecular structure descriptors. In Mathematical Chemistry Monographs; University of Kragujevac and Faculty of Science: Kragujevac, Serbia, 2006. [Google Scholar]
- Das, K.; Gutman, I. Some properties of the second Zagreb Index. MATCH Commun. Math. Comput. Chem. 2004, 52, 103–112. [Google Scholar]
- Trinajstic, N.N.; Ikolic, S.; Milicevic, A.; Gutman, I. On Zagreb indices. Kemija Industriji 2010, 59, 577–589. [Google Scholar]
- Milicevic, A.; Nikolic, S.; Trinajstic, N. On reformulated Zagreb indices. Mol. Divers. 2004, 8, 393–399. [Google Scholar] [CrossRef] [PubMed]
- Gupta, C.K.; Lokesha, V.; Shwetha, S.B.; Ranjini, P.S. On the symmetric division DEG index of graph. Southeast Asian Bull. Math. 2016, 40, 59–80. [Google Scholar]
- Balaban, A.T. Highly discriminating distance based numerical descriptor. Chem. Phys. Lett. 1982, 89, 399–404. [Google Scholar] [CrossRef]
- Furtula, B.; Graovac, A.; Vukičević, D. Augmented Zagreb index. J. Math. Chem. 2010, 48, 370–380. [Google Scholar] [CrossRef]
- Das, K.C. Atom-bond connectivity index of graphs. Discret. Appl. Math. 2010, 158, 1181–1188. [Google Scholar] [CrossRef]
- Estrada, E.; Torres, L.; Rodríguez, L.; Gutman, I. An atom-bond connectivity index: Modeling the enthalpy of formation of alkanes. Indian J. Chem. 1998, 37A, 849–855. [Google Scholar]
- Iqbal, Z.; Aslam, A.; Ishaq, M.; Aamir, M. Characteristic study of irregularity measures of some Nanotubes. Can. J. Phys. 2019. [Google Scholar] [CrossRef]
- Gao, W.; Aamir, M.; Iqbal, Z.; Ishaq, M.; Aslam, A. On Irregularity Measures of Some Dendrimers Structures. Mathematics 2019, 7, 271. [Google Scholar] [CrossRef]
- Gao, W.; Abdo, H.; Dimitrov, D. On the irregularity of some molecular structures. Can. J. Chem. 2017, 95, 174–183. [Google Scholar]
- Hussain, Z.; Rafique, S.; Munir, M.; Athar, M.; Chaudhary, M.; Ahmad, H.; Min Kang, S. Irregularity Molecular Descriptors of Hourglass, Jagged-Rectangle, and Triangular Benzenoid Systems. Processes 2019, 7, 413. [Google Scholar] [CrossRef]







| Number of Edges | |
|---|---|
| (1,2) | |
| (1,3) | |
| (2,2) | |
| (2,3) |
| Irregularity Indices | p = 1 | p = 2 | p = 3 | p = 4 | p = 5 |
|---|---|---|---|---|---|
| 28.340 | 79.014 | 180.335 | 383.005 | 788.344 | |
| 26 | 74 | 170 | 362 | 746 | |
| 19 | 53 | 121 | 257 | 529 | |
| 13.1627 | 36.6596 | 83.6536 | 177.6415 | 365.6174 | |
| 34 | 98 | 226 | 482 | 994 | |
| 12.268 | 34.136 | 77.872 | 165.344 | 340.288 | |
| 16.870 | 47.839 | 109.776 | 233.650 | 481.398 | |
| 1.2934 | 3.5370 | 8.0243 | 16.9988 | 34.9479 | |
| 1.1025 | 3.0661 | 6.9934 | 14.8480 | 30.5571 | |
| 4.2437 | 12.0450 | 27.6476 | 58.8528 | 121.2632 | |
| 13 | 37 | 85 | 181 | 373 |
| Number of Edges | |
|---|---|
| (1,2) | |
| (2,2) | |
| (2,3) |
| Irregularity indices | p = 1 | p = 2 | p = 3 | p = 4 | p = 5 |
|---|---|---|---|---|---|
| 11 | 27 | 59 | 123 | 251 | |
| 10 | 26 | 58 | 122 | 250 | |
| 5.2054 | 12.844 | 28.1199 | 58.6727 | 119.7782 | |
| 7 | 17 | 37 | 77 | 157 | |
| 5.2779 | 13.0053 | 28.4601 | 59.3697 | 121.1889 | |
| 10 | 26 | 58 | 122 | 250 | |
| 5.0668 | 12.5336 | 27.4672 | 57.3344 | 117.0688 | |
| 6.9315 | 18.0218 | 40.2025 | 84.5639 | 173.2867 | |
| 0.4442 | 0.9894 | 2.0797 | 4.2605 | 8.62197 | |
| 0.3580 | 0.8385 | 1.7995 | 3.7215 | 7.5655 | |
| 1.2924 | 3.1909 | 6.9881 | 14.5823 | 29.7708 | |
| 5 | 13 | 29 | 61 | 125 |
| Number of Edges | |
|---|---|
| (1,2) | |
| (2,2) | |
| (2,3) | |
| (3,3) |
| Irregularity Indices | p = 1 | p = 2 | p = 3 | p = 4 | p = 5 |
|---|---|---|---|---|---|
| 48.9999 | 112.9999 | 240.9999 | 496.9998 | 1008.99 | |
| 54 | 126 | 270 | 558 | 1134 | |
| 23.6212 | 54.541 | 116.379 | 240.058 | 487.414 | |
| 30 | 69 | 147 | 303 | 615 | |
| 23.8385 | 55.025 | 117.399 | 242.147 | 491.644 | |
| 54 | 126 | 270 | 558 | 1134 | |
| 23.2 | 53.6 | 114.4 | 236 | 479.2 | |
| 37.4299 | 87.3365 | 187.1496 | 386.7760 | 786.0286 | |
| 3.8082 | 7.9194 | 16.1419 | 32.5868 | 65.4768 | |
| 1.3331 | 3.0335 | 6.4345 | 13.236 | 26.84015 | |
| 5.8590 | 13.5558 | 28.9495 | 59.7368 | 121.3113 | |
| 27 | 63 | 135 | 279 | 567 |
© 2019 by the authors. Licensee MDPI, Basel, Switzerland. This article is an open access article distributed under the terms and conditions of the Creative Commons Attribution (CC BY) license (http://creativecommons.org/licenses/by/4.0/).
Share and Cite
Hussain, Z.; Munir, M.; Rafique, S.; Hussnain, T.; Ahmad, H.; Chel Kwun, Y.; Min Kang, S. Imbalance-Based Irregularity Molecular Descriptors of Nanostar Dendrimers. Processes 2019, 7, 517. https://doi.org/10.3390/pr7080517
Hussain Z, Munir M, Rafique S, Hussnain T, Ahmad H, Chel Kwun Y, Min Kang S. Imbalance-Based Irregularity Molecular Descriptors of Nanostar Dendrimers. Processes. 2019; 7(8):517. https://doi.org/10.3390/pr7080517
Chicago/Turabian StyleHussain, Zafar, Mobeen Munir, Shazia Rafique, Tayyab Hussnain, Haseeb Ahmad, Young Chel Kwun, and Shin Min Kang. 2019. "Imbalance-Based Irregularity Molecular Descriptors of Nanostar Dendrimers" Processes 7, no. 8: 517. https://doi.org/10.3390/pr7080517
APA StyleHussain, Z., Munir, M., Rafique, S., Hussnain, T., Ahmad, H., Chel Kwun, Y., & Min Kang, S. (2019). Imbalance-Based Irregularity Molecular Descriptors of Nanostar Dendrimers. Processes, 7(8), 517. https://doi.org/10.3390/pr7080517

