Shear-Flow Coupled Behavior of Artificial Joints with Sawtooth Asperities
Abstract
1. Introduction
2. Materials and Methods
2.1. Test Equipment
2.2. Sample Preparation
2.3. Testing Scheme
3. Results of Shear Tests
3.1. Shear Deformation Curves
3.2. Shear Strength
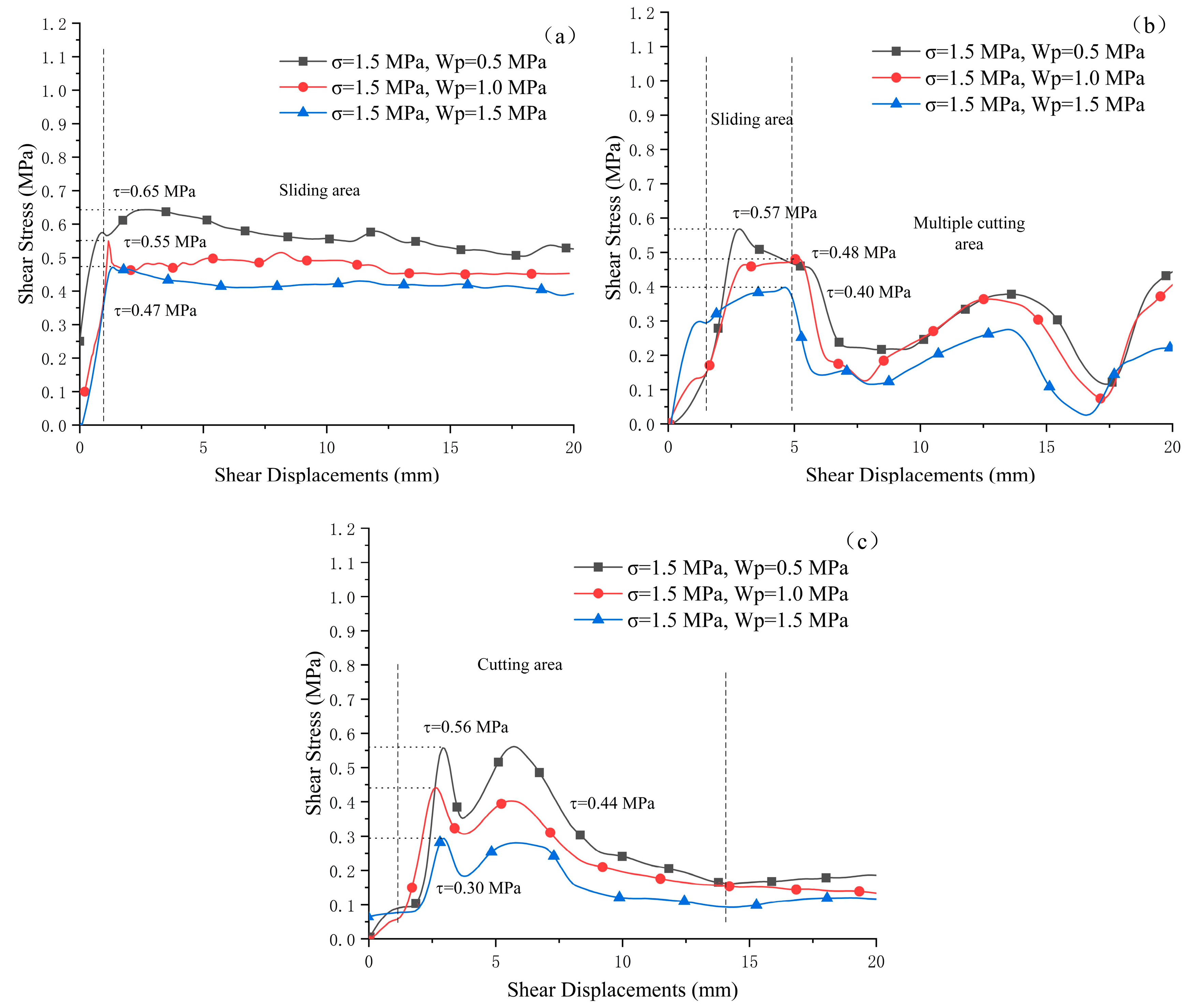
4. Results of Shear-Flow Coupled Tests
4.1. Shear Deformation Curves of Shear-Flow Coupled Tests
4.2. Shear Strength of Shear-Flow Coupled Tests
4.3. Analysis of Seepage Properties
5. Conclusions
- (1)
- In a dry environment, the roughness of joint surface has a significant influence on the shear failure mode and strength. With the increase of the roughness, the failure mode of the joint changes from sliding failure to cutting failure, and the shear strength becomes larger. The normal stress has little influence on the failure mode of the joint surface when it is small, but has a notable effect when large. With the increase of normal stress, it is less likely that sliding failure would occur.
- (2)
- The seepage pressure has no obvious effect on the failure mode of the joint sample when the normal stress is 1.5 MPa. However, the failure mode under the normal stress of 2.5 MPa varies from cutting to sliding type as the seepage pressure increases. Under the normal stress of 2.5 MPa, the mode of macroscopic failure depends on the mutual competition between roughness and seepage pressure. The normal stress only contributes to the change of peak shear strength, and has no effect on the shear failure mode in the shear-flow coupled test.
- (3)
- The seepage process can clearly lower the shear strength of the joint sample. Moreover, this effect will be more significant as the pressure increases. The internal mechanism for this phenomenon is the mutual reinforcing of offsetting and softening effects.
- (4)
- The evolution of hydraulic aperture during the shear-flow coupled test can be divided into four stages: shear contraction, shear dilation, re-contraction, and stability. The permeability of joint sample is considerably enlarging with the increasing surface sawtooth angle, but decreasing with the addition of normal stress.
Author Contributions
Funding
Conflicts of Interest
References
- Niktabar, S.M.M.; Rao, K.S.; Shrivastava, A.K. Effect of rock joint roughness on its cyclic shear behavior. J. Rock Mech. Geotech. Eng. 2017, 9, 1071–1084. [Google Scholar] [CrossRef]
- Barton, N.; Bandis, S.; Bakhtar, K. Strength, deformation and conductivity coupling of rock joints. Int. J. Rock Mech. Min. Sci. Geomech. Abstr. 1985, 22, 121–140. [Google Scholar] [CrossRef]
- Chappell, B.A. Rock bolts and shear stiffness in jointed rock masses. J. Geotech. Eng. ASCE 1989, 115, 179–197. [Google Scholar] [CrossRef]
- Rutqvist, J.; Stephansson, O. The role of hydromechanical coupling in fractured rock engineering. Hydrogeol. J. 2003, 11, 7–40. [Google Scholar] [CrossRef]
- Gangi, A.F. Variation of whole and fractured porous rock permeability with confining pressure. Int. J. Rock Mech. Min. Sci. Geomech. Abstr. 1978, 15, 249–257. [Google Scholar] [CrossRef]
- Tsang, Y.W.; Tsang, C.F. Channel model of flow through fractured media. Water Resour. Res. 1987, 23, 467–479. [Google Scholar] [CrossRef]
- Xiao, W.M.; Xia, C.C.; Deng, R.G. Advances in development of coupled stress-flow test system for rock joins. Chin. J. Rock Mech. Eng. 2014, 33, 3456–3465. [Google Scholar]
- Iwai, K. Fundamental Studies of the Fluid Flow through a Single Fracture. Ph.D. Thesis, University of California, Berkeley, CA, USA, 1976. [Google Scholar]
- Raven, K.G.; Gale, J.E. Water flow in a natural rock fracture as a function of stress and sample size. Int. J. Rock Mech. Min. Sci. Geomech. Abstr. 1985, 22, 251–261. [Google Scholar] [CrossRef]
- Durham, W.B.; Bonner, B.P. Self-propping and fluid flow in slightly offset joints at high effective pressures. J. Geophys. Res. Solid Earth 1994, 99, 9391–9399. [Google Scholar] [CrossRef]
- Singh, A.B. Study of rock fracture by permeability method. J. Geotech. Geoenviron. Eng. 1997, 123, 601–608. [Google Scholar] [CrossRef]
- Archambault, G.; Poirier, S.; Rouleau, A.; Gentier, S.; Riss, J. The behavior of induced pore fluid pressure in undrained triaxial shear tests on fractured porous analog rock material specimens. In Mechanics of Jointed and Faulted Rock; CRC Press: Boca Raton, FL, USA, 1998; pp. 555–560. [Google Scholar]
- Indraratna, B.; Jayanathan, M. Measurement of pore water pressure of clay-infilled rock joints during triaxial shearing. Geotechnique 2005, 55, 759–764. [Google Scholar] [CrossRef]
- Chen, Z.; Narayan, S.P.; Yang, Z.; Rahman, S.S. An experimental investigation of hydraulic behaviour of fractures and joints in granitic rock. Int. J. Rock Mech. Min. Sci. 2000, 37, 1061–1071. [Google Scholar] [CrossRef]
- Liu, C.H.; Chen, C.X.; Jaksa, M.B. Seepage properties of a single rock fracture subjected to triaxial stresses. Prog. Nat. Sci. 2007, 17, 1482–1486. [Google Scholar]
- Crawford, A.M.; Curran, J.H. The influence of rate- and displacement-dependent shear resistance on the response of rock slopes to seismic loads. Int. J. Rock Mech. Min. Sci. Geomech. Abstr. 1982, 19, 1–8. [Google Scholar] [CrossRef]
- Barbero, M.; Barla, G.; Zaninetti, A. Dynamic shear strength of rock joints subjected to impulse loading. Int. J. Rock Mech. Min. Sci. Geomech. Abstr. 1996, 33, 141–151. [Google Scholar] [CrossRef]
- Jafari, M.K.; Pellet, F.; Boulon, M.; Hosseini, K.A. Experimental study of mechanical behaviour of rock joints under cyclic loading. Rock Mech. Rock Eng. 2004, 37, 3–23. [Google Scholar] [CrossRef]
- Atapour, H.; Moosavi, M. The influence of shearing velocity on shear behavior of artificial joints. Rock Mech. Rock Eng. 2014, 47, 1745–1761. [Google Scholar] [CrossRef]
- Niktabar, S.M.M.; Rao, K.S.; Shrivastava, A.K. Automatic static and cyclic shear testing machine under constant normal stiffness boundary conditions. Geotech. Test. J. 2018, 41, 508–525. [Google Scholar] [CrossRef]
- Li, B.; Jiang, Y.J. Experimental study and numerical analysis of shear and flow behaviors of rock with single joint. Chin. J. Rock Mech. Eng. 2008, 27, 2431–2439. [Google Scholar]
- Li, B.; Jiang, Y.J.; Koyama, T.; Jing, L.R.; Tanabashi, Y. Experimental study of the hydro-mechanical behavior of rock joints using a parallel-plate model containing contact areas and artificial fractures. Int. J. Rock Mech. Min. Sci. 2008, 45, 362–375. [Google Scholar] [CrossRef]
- Jiang, Y.J.; Wang, G.; Li, B.; Zhao, X.D. Experimental study and analysis of shear-flow coupling behaviors of rock joints. Chin. J. Rock Mech. Eng. 2007, 26, 2253–2259. [Google Scholar]
- Jiang, Y.J.; Li, B.; Tanabashi, Y. Estimating the relation between surface roughness and mechanical properties of rock joints. Int. J. Rock Mech. Min. Sci. 2006, 43, 837–846. [Google Scholar] [CrossRef]
- Olsson, R.; Barton, N. An improved model for hydromechanical coupling during shearing of rock joints. Int. J. Rock Mech. Min. Sci. 2001, 38, 317–329. [Google Scholar] [CrossRef]
- Shi, Z.M.; Shen, D.Y.; Zhang, Q.Z.; Peng, M.; Li, Q.D. Experimental study on the coupled shear flow behavior of jointed rock samples. Eur. J. Environ. Civ. Eng. 2017, 1–18. [Google Scholar] [CrossRef]
- Xia, C.C.; Wang, W.; Wang, X.R. Development of coupling shear-seepage test system for rock joints. Chin. J. Rock Mech. Eng. 2008, 27, 1285–1291. [Google Scholar]
- Zhang, Q.Z.; Shen, M.R.; Ding, W.Q.; Clark, C. Shearing creep properties of cements with different irregularities on two surfaces. J. Geophys. Eng. 2012, 9, 210–217. [Google Scholar] [CrossRef]
- Wang, G.; Zhang, Y.Z.; Jiang, Y.J.; Liu, P.X.; Guo, Y.S.; Liu, J.K.; Ma, M.; Wang, K.; Wang, S.G. Shear behaviour and acoustic emission characteristics of bolted rock joints with different roughnesses. Rock Mech. Rock Eng. 2018, 51, 1885–1906. [Google Scholar] [CrossRef]
- Dove, J.E.; Frost, J.D. A method for measuring geomembrane surface roughness. Geosynth. Int. 1996, 3, 369–392. [Google Scholar] [CrossRef]
- Wang, W.B.; Scholz, C.H. Micromechanics of the velocity and normal stress dependence of rock friction. Pure Appl. Geophys. 1994, 143, 303–315. [Google Scholar] [CrossRef]
- Su, H.J. Seepage Evolution Mechanism of Deep Buried Jointed Rock Mass and Its Engineering Application. Ph.D. Thesis, China University of Mining & Technology, Xu Zhou, China, 2015. [Google Scholar]
- Witherspoon, P.A.; Wang, J.S.Y.; Iwai, K.; Gale, J.E. Validity of cubic law for fluid-flow in a deformable rock fracture. Water Resour. Res. 1980, 16, 1016–1024. [Google Scholar] [CrossRef]
- Tang, Z.C.; Xia, C.C.; Xiao, S.G. Constitutive model for joint shear stress-displacement and analysis of dilation. Chin. J. Rock Mech. Eng. 2011, 30, 917–925. [Google Scholar]
- Lee, D.; Juang, C.H. Use of permeability as an index to characterize internal structural changes and fracture mechanism. Geotech. Test. J. 1988, 11, 63–67. [Google Scholar] [CrossRef]
- Oron, A.P.; Berkowitz, B. Flow in rock fractures: The local cubic law assumption reexamined. Water Resour. Res. 1998, 34, 2811–2825. [Google Scholar] [CrossRef]
- Dimadis, G.; Dimadi, A.; Bacasis, I. Influence of fracture roughness on aperture fracture surface and in fluid flow on coarse-grained marble, experimental results. J. Geosci. Environ. Prot. 2014, 2, 59–67. [Google Scholar] [CrossRef]










| Normal Stress (MPa) | 1.5 | 2.5 | 3.5 | 4.5 | C = 1.62 MPa ϕ0 = 32° |
| Shear Strength (MPa) | 2.23 | 2.63 | 3.03 | 3.44 |
| Roughness | Normal Stress (MPa) | Shear Strength (MPa) | Cohesion (MPa) | Friction Angle (°) |
|---|---|---|---|---|
| 0° | 1.5 | 0.77 | 0.30 | 17.22 |
| 2.5 | 1.08 | |||
| 15° | 1.5 | 0.80 | 0.08 | 30.54 |
| 2.5 | 1.39 | |||
| 30° | 1.5 | 0.93 | 0.07 | 33.82 |
| 2.5 | 1.60 |
| Roughness | Seepage Pressure (MPa) | Shear Stress (MPa) | Cohesion (MPa) | Friction Angle (°) | |
|---|---|---|---|---|---|
| σ = 1.5 MPa | σ = 2.5 MPa | ||||
| 0° | 0.5 | 0.65 | 1.06 | 0.03 | 22.29 |
| 1.0 | 0.55 | 0.93 | 0.02 | 20.81 | |
| 1.5 | 0.47 | 0.64 | 0.21 | 9.65 | |
| 15° | 0.5 | 0.57 | 0.92 | 0.04 | 19.29 |
| 1.0 | 0.48 | 0.63 | 0.25 | 8.53 | |
| 1.5 | 0.40 | 0.50 | 0.25 | 5.71 | |
| 30° | 0.5 | 0.56 | 1.07 | 0.20 | 27.02 |
| 1.0 | 0.44 | 0.82 | 0.13 | 20.80 | |
| 1.5 | 0.30 | 0.58 | 0.12 | 15.64 | |
© 2018 by the authors. Licensee MDPI, Basel, Switzerland. This article is an open access article distributed under the terms and conditions of the Creative Commons Attribution (CC BY) license (http://creativecommons.org/licenses/by/4.0/).
Share and Cite
Zhao, C.; Zhang, R.; Zhang, Q.; Shi, Z.; Yu, S. Shear-Flow Coupled Behavior of Artificial Joints with Sawtooth Asperities. Processes 2018, 6, 152. https://doi.org/10.3390/pr6090152
Zhao C, Zhang R, Zhang Q, Shi Z, Yu S. Shear-Flow Coupled Behavior of Artificial Joints with Sawtooth Asperities. Processes. 2018; 6(9):152. https://doi.org/10.3390/pr6090152
Chicago/Turabian StyleZhao, Cheng, Rui Zhang, Qingzhao Zhang, Zhenming Shi, and Songbo Yu. 2018. "Shear-Flow Coupled Behavior of Artificial Joints with Sawtooth Asperities" Processes 6, no. 9: 152. https://doi.org/10.3390/pr6090152
APA StyleZhao, C., Zhang, R., Zhang, Q., Shi, Z., & Yu, S. (2018). Shear-Flow Coupled Behavior of Artificial Joints with Sawtooth Asperities. Processes, 6(9), 152. https://doi.org/10.3390/pr6090152
