You are currently viewing a new version of our website. To view the old version click .
Processes
  • Feature Paper
  • Article
  • Open Access

21 February 2017

Poly(methacrylic acid-ran-2-vinylpyridine) Statistical Copolymer and Derived Dual pH-Temperature Responsive Block Copolymers by Nitroxide-Mediated Polymerization

,
and
1
Department of Chemical Engineering, McGill University, Montreal, QC H3A 0C5, Canada
2
AstenJohnson Inc., 50 Richardson Side Rd, Kanata, ON K2K 1X2, Canada
*
Author to whom correspondence should be addressed.
This article belongs to the Special Issue Water Soluble Polymers

Abstract

Nitroxide-mediated polymerization using the succinimidyl ester functional unimolecular alkoxyamine initiator (NHS-BlocBuilder) was used to first copolymerize tert-butyl methacrylate/2-vinylpyridine (tBMA/2VP) with low dispersity (Đ = 1.30–1.41) and controlled growth (linear number average molecular Mn versus conversion, Mn = 3.8–10.4 kg·mol−1) across a wide composition of ranges (initial mol fraction 2VP, f2VP,0 = 0.10–0.90). The resulting statistical copolymers were first de-protected to give statistical polyampholytic copolymers comprised of methacrylic acid/2VP (MAA/2VP) units. These copolymers exhibited tunable water-solubility due to the different pKas of the acidic MAA and basic 2VP units; being soluble at very low pH < 3 and high pH > 8. One of the tBMA/2VP copolymers was used as a macroinitiator for a 4-acryloylmorpholine/4-acryloylpiperidine (4AM/4AP) mixture, to provide a second block with thermo-responsive behavior with tunable cloud point temperature (CPT), depending on the ratio of 4AM:4AP. Dynamic light scattering of the block copolymer at various pHs (3, 7 and 10) as a function of temperature indicated a rapid increase in particle size >2000 nm at 22–27 °C, corresponding to the 4AM/4AP segment’s thermos-responsiveness followed by a leveling in particle size to about 500 nm at higher temperatures.

1. Introduction

The manipulation of properties by copolymerization (e.g., graft, gradient, block, star architectures) has long been applied to impart desirable properties into polymers. One such class that combines properties are poly(ampholytes) or poly(zwitterions), which contain both negative and positive charges on the chain, either on different monomers or within a single monomer unit [1]. Originally, such copolymers were made via statistical free radical copolymerization of the unalike monomers [2,3,4]. Such pairs included methacrylic acid (MAA)/2-vinyl pyridine (2VP) [2], MAA/2-dimethylamino ethyl methacrylate (DMAEMA) [3,4] and acrylic acid (AA)/DMAEMA [5]. Later, the uncoupling of the charges was desired to make block copolymers, which led to dramatically different properties in solution. Traditionally, living polymerizations such as ionic [6,7,8,9,10,11] and later group transfer polymerization [12,13,14,15,16] were used to make polymers with active chain ends that would permit the formation of poly(ampholytes) or schizophrenic block copolymers with a controlled sequence length and narrow molecular weight distributions. In the case of charged species, however, this required protecting group chemistry during the synthesis [6,10]. However, there are drawbacks to using living polymerizations such as ionic polymerizations: meticulous air-free transfers; extensive purification of solvents and monomers; polymerizations cannot be done in aqueous media; and, in some cases, certain monomer types cannot be polymerized in a desired sequence [17,18,19]. Consequently, the development of controlled radical polymerization (CRP), more succinctly defined by the International Union of Pure and Applied Chemistry (IUPAC) as reversible de-activation radical polymerization (RDRP) [20], approaches many of the features that make conventional radical polymerization so industrially relevant: ability to be done in dispersed aqueous media; and tolerance of a wide variety of monomers and functional groups, all while approaching the degree of control exhibited by truly living polymerizations. Many of these RDRP methods have been popularized, some of which are nitroxide-mediated polymerization (NMP) [21], atom transfer radical polymerization (ATRP) [22,23] and reversible addition fragmentation transfer polymerization (RAFT) [24].
Generally, ATRP and RAFT have surpassed NMP in terms of versatility, since they can polymerize a wide variety of functional monomers, even though NMP was developed first (NMP was originally restricted to styrenic monomers). Consequently, poly(ampholytic) block copolymers have largely been made using ATRP [25,26,27,28,29] and RAFT [30,31,32]. However, NMP has narrowed the gap considerably with the development of second-generation nitroxide initiators based on 2,2,5-trimethyl-4-phenyl-3-azahexane-3-oxyl nitroxide TIPNO and the so-called SG1 or BlocBuilder family (based on N-tert-butyl-N-[1-diethylphosphono-(2,2 dimethylpropyl)] nitroxide) [33,34]. This history of NMP is chronicled in detail elsewhere [35]. Tertiary acrylamides [36,37,38,39,40], acrylates [33,34,41,42,43,44,45] and methacrylates (with a small concentration of co-monomer ~1 mol%–10 mol% to help control the activity of the chain ends) [46,47,48,49,50,51,52,53,54,55,56] were polymerized in a controlled manner using NMP with the commercial unimolecular initiator BlocBuilder. In the latter case with methacrylates, the controlling co-monomer was initially a styrenic and later studies showed that similar monomers can act as controllers. Indeed, many groups applied controlling co-monomers that imparted desirable functional characteristics. For example, acrylonitrile (AN) was used as a controller first for methyl methacrylate (MMA) [47] and then for oligo ethylene glycol methacrylate (OEGMA) [57]. For these cases, the AN imparted better water solubility and cells exhibited non-cytotoxic behavior. In another case, 9-vinylphenyl-9H-carbazole (VBK), acting as a controlling co-monomer for OEGMA/diethylene glycol methacrylate (OEGMA/DEGMA) [54] and dimethylaminoethyl methacrylate (DMAEMA) [55], was shown to add temperature modulated fluorescence, while using only 1 mol% in the initial composition to impart sufficient control of the polymerization. When 4-styrene sulfonic acid, sodium salt (SSNa) was used as a controller for sodium methacrylate (MAA-Na) in homogenous aqueous media, it was subsequently used as a dual initiator/surfactant for ab initio dispersed MMA polymerizations in water [58]. We also reported 2-vinylpyridine (2VP) as a controlling co-monomer for DMAEMA [59] and a protected organo-soluble styrene sulfonic acid controller for glycidyl methacrylate [60]. Many cases describe the use of NMP for making thermo-responsive copolymers; however, poly(ampholytes) and associated multi-responsive systems have not been described in many cases. Here, we statistically copolymerized 2VP with tert-butyl methacrylate (tBMA), which after deprotection of tBMA, results in 2VP/methacrylic acid (MAA) ampholytic statistical copolymers. It should be noted that tolerance to functional groups is relative as we used the protected form of methacrylic acid (MAA), tert-butyl methacrylate (tBMA). The protected form was used in NMP as the organic acid can attack the alkoxyamine, rendering the chain ends inactive. To circumvent this issue, MAA or acrylic acid (AA) NMP was done with the addition of a small amount of free nitroxide, which was essentially sacrificed to keep the chain ends active throughout the polymerization [48,61,62]. The poly(2VP-stat-tBMA) copolymers were then used as macroinitiators for a tunable, thermo-responsive segment of poly(acryloyl piperidine-ran-acryloyl-morpholine) (4AP-stat-4AM), which we reported recently [63]. We thus present the synthesis of a dual responsive (pH and temperature) block copolymer where the respective blocks’ response could be tuned by its composition (tBMA versus 2VP for pH tuning; 4AP versus 4AM for cloud point tuning). The pH sensitivity of the poly(2VP-stat-MAA) copolymers and thermo-responsiveness of a poly(2VP-stat-tBMA)-b-poly(4AP-stat-4AP) block copolymer at various pHs are thus the focus of this report.

2. Materials and Methods

2.1. Materials

The 2-Vinylpyridine (2VP, 97%), tert-butyl methacrylate (tBMA, 98%), basic alumina (Brockmann, Type I, 150 mesh), and calcium hydride (90%–95% reagent grade) were purchased from Sigma-Aldrich (Oakville, ON, Canada). Tetrahydrofuran (THF, 99.9%), methylene chloride, methanol, dimethylformamide (DMF) diethyl ether, hexane (all certified grade) and pH buffers were obtained from Fisher (Nepean, ON, Canada); deuterated chloroform (CDCl3) was obtained from Cambridge Isotope Laboratories Inc. (Tewksbury, MA, USA). Trifluroacetic acid (TFA, 99.9%) was purchased from Caledon (Georgetown, ON, Canada).
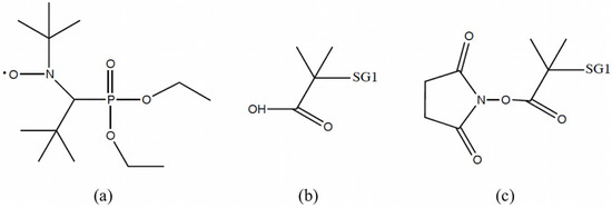
The 2-({tert-butyl[1-(diethoxyphosphoryl)-2,2-(dimethylpropyl]amino}oxy)-2-methylpropionic acid, also known as BlocBuilderTM (Scheme 1b, 99%), was obtained from Arkema (King of Prussia, PA, USA). NHS-BlocBuilder (Scheme 1c) was synthesized via coupling of BlocBuilder and N-hydroxysuccinimide following procedures described previously [64]. The 2VP and tBMA monomers were purified by passing through a column of basic alumina mixed with 5 wt% calcium hydride; they were stored in a sealed flask under a head of nitrogen in a refrigerator until needed. All other compounds were used as received.
Scheme 1. Structures of (a) SG1 nitroxide (b) BlocBuilderTM (c) N-hydroxy succinimidyl ester-coupled BlocBuilder (NHS-BlocBuilder).

2.1.1. Statistical Copolymerization of tert-Butyl Methacrylate (tBMA) and 2-Vinylpyridine (2VP)

The copolymerizations of tBMA and 2VP were performed in a 50 mL three-neck round-bottom glass flask fitted with a reflux condenser, a magnetic stir bar, and a thermal well. BlocBuilder and SG1 (10 mol% relative to BlocBuilder) were dissolved in tBMA and 2VP monomers with feed composition ranging from 90 mol% tBMA to 10 mol% tBMA. Detailed feed solution compositions can be found in Table 1. The solution was then deoxygenated by nitrogen bubbling for 30 min at room temperature prior to heating to 100 °C at a rate of about 8 °C·min−1 while maintaining a nitrogen purge. The time when the solution reached 100 °C was taken as the start of the reaction (t = 0). Samples were taken periodically to monitor conversion and molecular weight. The final polymer was precipitated in methanol/water (v/v 30/70) for tBMA/2VP-90/10 or hexane for the other copolymers, decanted and dried in vacuum at 40 °C overnight. The purified polymer (50% conversion) has number-average molecular weight (Mn) = 15.8 kg·mol−1 and dispersity (Đ) = 1.29. Conversion was determined by gravimetry. Overall conversion was then calculated using the feed composition with respect to tBMA (ftBMA,0, mol%, Conv.ave = ftBMA,0 × Conv.tBtMA + (1 − ftBMA,0) × Conv.2VP). Molecular weight and Đ of the samples were measured by GPC (Waters Breeze) relative to linear PMMA standards (see Gel Permeation Chromatography section for full details). Final copolymer composition was determined by 1H NMR (400 MHz Varian Gemini 2000 spectrometer, CDCl3) using the tert-butyl group protons (δ = 1.0–1.6 ppm) as a marker for the tBMA, and the aromatic proton adjacent to the nitrogen atom (δ = 7.2–7.6 ppm) as a marker for 2VP.
Table 1. Experimental conditions for the tert-butyl methacrylate/2-vinylpyridine tBMA/2VP statistical copolymerizations via nitroxide mediated polymerization (NMP) at 100 °C in bulk.

2.1.2. Chain Extension of Poly(tert-butyl methacrylate-ran-2-vinylpyridine)(tBMA-ran-2VP) Macroinitiator with 4-acryloylmorpholine/4acryloylpiperidine (4AM/4AP) Mixtures

To test the chain end fidelity and to incorporate additional functionality, in this case, thermo-responsiveness, chain extension from a poly(tBMA-ran-2VP) with a 4-acryloylmorpholine/4-acryloylpiperidine (4AM/4AP) mixture was done. Poly(4AM-stat-4AP) copolymers exhibit lower critical solution temperature (LCST) behaviour in aqueous solution that can be tuned by the relative concentrations of 4AM to 4AP in the copolymer [60]. A specific example is given as follows. tBMA/2VP-50 was used as a macroinitiator ( M n ¯ = 4.8 kg·mol−1, Đ = 1.36, FtBMA = 0.48, see Table 2 for complete characterization). Using the same reactor conditions as described in the section above, 0.1205 g of tBMA/2VP-50 was added to 2.9575 g of DMF solvent, 1.0868 g of 4AM and 0.5400 g of 4AP. After purging with nitrogen for 30 min at room temperature, the temperature was increased to a set-point of 120 °C. The time = 0 taken for the chain extension was taken to be when the temperature reached 110 °C. After 75 min, the solution became increasingly viscous, and the sample taken cleanly precipitated the polymer from diethyl ether. The reactor contents were then cooled and the contents were poured into an excess of diethyl ether. The supernatant was decanted and the crude product was re-dissolved in THF and then precipitated again into diethyl ether. The yield of the resulting product was 0.8108 g. Gel permeation chromatography (GPC) revealed some unreacted macroinitiator and the polymer was fractionated again by dissolution in a minimal amount of THF, followed by precipitation slowly with diethyl ether. The polymer was recovered and GPC indicated virtually complete removal of the lower molecular weight impurity. GPC indicated M n ¯ = 22.1 kg·mol−1, Đ = 1.67 with a composition of FtBMA = 0.11, F2VP = 0.11, F4AM = 0.46, F4AP = 0.32 using 1H NMR (CDCl3 δ (ppm)): (tBMA, (1.0–1.6 ppm, 9H C(CH3)3), 0.9 ppm, -CH2-C(CH3)H on backbone; 2VP, (7.2–7.6 ppm, 4H aromatic); 4AM, δ: (3.5 ppm, 8H, -N-(CH2)2-CH2-CH2-O-); 4AP, δ: (1.5 ppm, 10H, -N-(CH2)2-CH2-CH2-CH2)). Note that the 4AP protons were obscured by the backbone protons and the backbone protons were used to determine the composition. The composition ratio of the tBMA/2VP:4AM/4AP blocks corresponds to about 1:4, which is in relatively good agreement with that estimated by the GPC chromatograms. The final yield after fractionation was 0.55 g (70% from the crude polymeric product).
Table 2. Molecular weight and composition characterization of tert-butyl methacrylate/2-vinylpyridine (tBMA/2VP) statistical copolymers synthesized via nitroxide mediated polymerization (NMP).

2.1.3. Hydrolysis of tert-Butyl Groups in the tBMA/2VP Statistical Copolymers

The tBMA/2VP copolymers were hydrolyzed by trifluoroacetic acid (TFA) to obtain the water-soluble methacrylic acid (MAA)/2VP copolymers. The procedures for the hydrolysis were as follows: The copolymers (~1 g) were dissolved in about 5 mL of methylene chloride. TFA (five times equivalent to the tert-butyl group) was then slowly added to the solution. The solution was then stirred at room temperature for up to 24 h or until the MAA/2VP copolymer completely precipitated from the solution. The MAA/2VP copolymer was then rinsed with methylene chloride, re-dissolved in methanol and re-precipitated in diethyl ether, decanted and dried. 1H NMR (400 MHz Varian Gemini 2000 spectrometer, CDCl3, Varian, Palo Alto, CA, USA) was used to check the disappearance of the tert-butyl protons (δ = 1.0–1.6 ppm) after hydrolysis.

2.1.4. Gel Permeation Chromatography

Molecular weight and Đ of all polymers were characterized by gel permeation chromatography (GPC) (Waters Breeze, Waters Ltd., Mississauga ON, Canada) using THF as the mobile phase at 40 °C in this study. The GPC was equipped with three Waters Styragel HR columns (molecular weight measurement ranges: HR1: 102–5 × 103 g·mol−1, HR2: 5 × 102–2 × 104 g·mol−1, HR3: 5 × 103–6 × 105 g·mol−1) and a guard column. The columns were operated at 40 °C and with a mobile phase flow rate of 0.3 mL·min−1 during analysis. The GPC was also equipped with both ultraviolet (UV 2487) and differential refractive index (RI 2410) detectors. The results reported in this paper were obtained from the RI detector. The molecular weight measurements were calibrated relative to linear poly(methyl methacrylate) narrow molecular weight distribution standards.

2.1.5. Titration of MAA/2VP Statistical Copolymers

For MAA/2VP-90, MAA/2VP-70 and MAA/2VP-50 copolymers, dissolution was done in 0.1 N sodium hydroxide and then titrated with 1 N hydrochloric acid while the pH of the solutions was monitored with a pH probe calibrated with pH 4, 7, and 10 buffers. For MAA/2VP-30 and MAA/2VP-10 copolymers, dissolution was done in 0.1 N hydrochloric acid and then titrated with 1 N sodium hydroxide while the pH of the solution was monitored. A clear to cloudy transition was observed for all samples as pH changed, and a second cloudy to clear transition was observed for MAA/2VP-90, MAA/2VP-70 and MAA/2VP-50 solutions. Samples were taken at multiple pH values to be further analyzed by dynamic light scattering.

2.1.6. Particle Size Measurements of the Aqueous Solutions of MAA/2VP Statistical Copolymers

Dynamic light scattering (DLS) with a Malvern ZetaSizer (Nano-ZS, Malvern, UK) was used to determine the hydrodynamic radius of the MAA/2VP statistical copolymer in aqueous solutions at different pHs taken during titration. The instrument was equipped with a He-Ne laser operating at 633 nm, an avalanche photodiode detector, and a temperature-controlled cell. All clear solutions were filtered using a 0.2 μm pore size filter prior to DLS measurements. All measurements were obtained at 25 °C. For the block copolymer with thermo-responsive segments, 1 wt% solutions were prepared in deionized water and the pH was adjusted with the desired buffer solution (pH = 3, 7, and 10). The samples were filtered through a 0.2 μm pore size filter prior to measurement and then heated in increments of 1.0 °C, allowed to equilibrate for 1 min followed by 10–14 measurements, which were then averaged together to give one value at the corresponding temperature. All DLS measurements were performed at a scattering angle (θ) of 173°. For more accurate measurement of the hydrodynamic radius, Rh, the refractive index (RI) is required and it was assumed to be that of PMMA.

3. Results

3.1. Statistical Copolymerization of tert-Butyl Methacrylate (tBMA) and 2-Vinylpyridine (2VP) Using NHS-BlocBuilder

Table 2 summarizes the polymerization results including reaction time and conversion as well as main characteristics of the statistical copolymers of tBMA/2VP. The polymerization rate decreased exponentially when feed composition of tBMA was decreased from 90% to 70%. This is well known for methacrylate-rich copolymerizations [46,47,48,49]. The polymerization kinetics with the various feed compositions is illustrated in Figure 1. The parameters often used to characterize NMP kinetics, <kp> <K> where <kp> is the average propagation rate constant and <K> is the average equilibrium constant, were derived from the apparent rate constant from the slopes of the semi-logarithmic kinetic plots shown in Figure 1. The trend is typical for methacrylate/styrenic NMP copolymerizations where a massive increase in <kp> <K> is witnessed only for low 2VP initial compositions <10 mol% [46,47,48,49]. The relatively low Đ of the copolymers (Đ = 1.30 to 1.41) and the linear increases in Mn versus conversion in the range studied suggested that the copolymerizations were relatively well controlled in the conversion range studied (Figure 2).
Figure 1. (a) Kinetic results (ln[(1 − x)−1] versus time) of the statistical copolymerization of tBMA with 2VP initiated by NHS-BlocBuilder (x = monomer conversion); (b) Product of average propagation rate constant <kp>, and propagating radical concentration [P•], <kp> [P•] (slope of the kinetic plots in (a)), versus feed composition with respect to tBMA (ftBMA,0); error bars represent the standard deviation of the slopes from (a).
Figure 2. Number-average molecular weight (Mn) and dispersity (Đ) of the statistical copolymers of tBMA and 2VP measured by GPC relative to poly(methyl methacrylate) standards versus conversion; solid line represents the theoretical Mn trend.

3.2 pH Sensitivity of the Methacrylic Acid/2-Vinyl Pyridine (MAA/2VP) Copolymers

The tBMA/2VP copolymers were hydrolyzed to remove the tert-butyl group protecting groups on the tBMA units to obtain water-soluble MAA/2VP copolymers. These copolymers were dissolved in aqueous solutions and their particle size was monitored by DLS at various pHs between 1 and 13. Figure 3 below illustrates the results.
Figure 3. Particle size (hydrodynamic radius) of methacrylic acid/2-vinylpyridine (MAA/2VP) copolymers in aqueous solutions at pH ranged from 1 to 14. The sample composition is denoted by MAA/2VP-xx where xx refers to the mol% of MAA units in the copolymer.

3.3. Chain Extension of Poly(tert-butyl methacrylate (tBMA)/2-vinylpyridine (2VP)) Macroinitiator with a Mixture of 4-acryloylmorpholine (4AM)/4-acryloylpiperidine (4AP)

To show that a block copolymer consisting of one block of pH-tunable poly(MAA/2VP) could be made with a second block of cloud-point temperature (CPT) tunable poly(4AM/4AP), a chain extension experiment was done with a typical poly(tBMA-stat-2VP) macroinitiator (tBMA/2VP-50) and a batch of 4AM/4AP at a composition that would give a CPT of about 35 °C in a 1 wt% aqueous solution [63]. We understand that the CPT could be altered by the nature of the other segment as it can be moved to lower or higher temperatures (or even extinguished entirely) depending on the composition of the other block. Figure 4 shows the GPC chromatograms before and after chain extension and subsequent fractionation to remove some unreacted macroinitiator. The distribution broadened after chain extension but remained monomodal and 1H NMR indicated the presence of the 4AM and 4AP in the block copolymer structure. The poly(tBMA/2VP)-b-poly(4AM/4AP) block copolymer was sufficiently high in 4AM/4AP content that it was water-soluble without having to de-protect the tBMA units.
Figure 4. GPC chromatograms of the poly(tBMA-stat-2VP) macroinitiator (tBMA/2VP-50) (black line) and the chain-extended product after fractionation of poly(tBMA-stat-2VP)-b-poly(4AM-stat-4AP) (grey line).

3.4. Cloud Point Temperature Measurement of Poly(methacrylic acid-stat-2-vinyl pyridine)-b-poly(4-acryloylmorpholine-stat-4-acryloylpiperidine) (Poly(MAA-stat-2VP)-b-poly(4AM-stat-4AP)) Block Copolymer at Various pH

The block copolymer described in the previous section was deprotected and confirmation of the removal of the tert-butyl group was done with 1H NMR. The polymer was readily soluble in water at neutral pH. When dissolved in different buffer solutions, the dissolution of 1 wt% solutions was very difficult in pH = 3, easily soluble in pH = 7 and soluble although a bit cloudy in pH = 10 solution. Solutions were shaken vigorously and allowed to sit overnight prior to DLS measurement to ensure that the polymers were solubilized. After passing through a 0.2 μm filter, the solutions were placed in the DLS apparatus and heated to 50 °C.
The DLS results of the three solutions are shown in Figure 5 below. In all cases, a dramatic increase in Rh was observed in all three cases at temperatures 22–27 °C, likely indicating the CPTs due to the 4AM/4AP segment. These CPTs were shifted to lower than what was expected for a 4AM/4AP statistical copolymer with similar composition and solution concentration (35 °C) [60]. At pH = 3, it was expected that the copolymer would be soluble and the Rh matched nearly what it was for the MAA/2VP statistical polymer in solution (<50 nm) that was derived from the macroinitiator of the block copolymer. The CPT was about 24 °C for the solution at pH = 3. At higher temperatures, Rh steadily decreased although remained high after the experiment ~600 nm. Similar profiles were observed for the other solutions. There was a sharp increase in particle size >2000 nm at relatively low temperature (27 °C for the solution at pH = 7 and 22 °C for the solution in pH = 10) and then steady decay in size with terminal values of about 500–600 nm at 50 °C. It was suspected that the decrease in size at higher temperature was due to polymer precipitating out of solution and thus the very large aggregates were not detected as they settled. However, inspection of the samples immediately after removal from the apparatus did not indicate significant settling of polymers. At the pHs studied, it was expected that the MAA/2VP-50 copolymer would be soluble or nearly soluble in all cases (as indicated in Figure 3) and that seems to be reflected in the general trends. However, as noted above, aggregates ~500 nm remained at higher temperatures. It should be noted that such large aggregates may not be useful for drug delivery vehicles, where block copolymer micelles are suggested to be 10–80 nm in size [65]. The larger aggregates observed in the present study may be more amenable to water treatment or enhanced oil recovery (EOR) applications where larger aggregates are more effective in altering the solution viscosity, which is important in EOR [66]. Further, the aggregates seemed to be quite loose, as the solution at pH = 10 was readily filtered through the 0.2 μm filter. Finally, Figure 5 should be cautiously treated as the aggregates are dynamic and it is likely that the profiles will not be very reproducible as there are many fluctuations in size as the temperature increases.
Figure 5. Hydrodynamic radius (Rh) versus temperature as measured by dynamic light scattering (DLS) for the various 1 wt% aqueous solutions of the poly(MAA-stat-2VP)-b-poly(4AM-stat-4AP) block copolymer in different buffers.

4. Discussion

4.1 Nitroxide Mediated Polymerization

Various tBMA/2VP statistical copolymers with a wide range of initial compositions were synthesized using the succinnimidyl ester functionalized BlocBuilder initiator (NHS-BlocBuilder). Conversions were kept relatively low (19%–31%) to ensure high nitroxide end-group fidelity for subsequent chain extension experiments. The statistical copolymerizations indicated that all copolymerizations had nearly linear Mn versus conversion plots with relatively low Đ = 1.30–1.41. Plots of <kp> <K> were typical of methacrylic ester/styrenic copolymerizations where a massive increase in this parameter is only witnessed for very rich methacrylate compositions (>90 mol% in the initial mixture). This same trend has been widely reported by Charleux and co-workers and others [45,46,47,48,49,50]. It should be noted here that additional free nitroxide was not required to control the methacrylate-rich compositions. The same behavior has been seen with other methacrylate-rich compositions [51,58,67] and with a butyl acrylate homopolymerization [64] mediated by NHS-BlocBuilder, which simplifies the formulation, in addition to potentially adding another functional group for coupling other chains [58], although this was not applied here. Furthermore, the tBMA/2VP copolymers had final copolymer compositions very close to the initial compositions, suggesting that the copolymerization was polymerizing in essentially a random fashion. Reactivity ratios for this system were not available in the literature. However, there are related systems: 2VP with OEGMA (300 and 1100) had r2VP = 0.99–1.13, rOEGMA300 = 0.16–0.25 [68]. Regardless, tuning for this system is relatively predictable.

4.2 pH Sensitivity of the Methacrylic Acid/2-Vinyl Pyridine (MAA/2VP) Copolymers

It is known that poly(MAA) is water-soluble at all pH but has increased water solubility at high pH because of the ionization [69]. The reported pKa of PMAA from the literature is 5.4 [70,71]. In contrast, P2VP is only water soluble at low pH and it has a pKa of 4.1 [72,73]. Therefore, it was expected that the copolymers of MAA/2VP will be water soluble at low and high pH but will have decreased water solubility in slightly acidic/basic environments. A similar trend was reported for amphiphilic poly(MAA/diethylamino ethyl methacrylates (DEAEMA))-b-poly(methyl methacrylate) diblock terpolymers [9] and with other ampholytic systems [11,74,75]. From Figure 3, at very low pH (pH < 1), all copolymers possessed particle sizes ~10 nm, indicating well-dissolved unimers. As the pH increased, particle size rose sharply to above 1000 nm, indicating aggregation of the water insoluble copolymers. Re-dissolution at higher pH was observed for copolymers that have up to 50% 2VP, whereas copolymers with 70%–90% 2VP remained insoluble.
For the copolymers that re-dissolved at higher pH, the re-dissolution did not happen at the same pH. It appears that as the 2VP content increased in the copolymer, the pH at which re-dissolution occurred shifted to higher values. Additionally, the range of pH where the copolymer was insoluble became wider. This can be explained by the hydrophobicity of P2VP. When the copolymer had a higher 2VP content, more MAA units had to be ionized (and hence the higher pH) for the MAA/2VP copolymer to be sufficiently solubilized.
For the copolymers that had high 2VP compositions >70%, the hydrophobicity of the neutral 2VP units became dominant and the copolymers could not be dissolved even with all MAA units ionized at high pH. However, dissolution of these copolymers due to ionization of 2VP occurred at higher pH, around pH 4, compared to the copolymers with lower 2VP content. As noted above, P2VP has pKa = 4.1 and becomes readily water soluble around pH = 3. The copolymers of MAA/2VP with high 2VP content were water soluble at around pH = 4 (MAA/2VP-10, MAA/2VP-30, MAA-2VP-50) as the result of the hydrophilicity of PMAA, which increased the overall hydrophilicity of the copolymers and allowed the copolymer to be water soluble with a lower degree of 2VP ionization.

4.3 Block Copolymers with Both pH and Temperature Sensitivities

To study the dual stimuli-responsive block copolymers where one block has tunable pH sensitivity (via MAA/2VP pH sensitivity) and the other block with tunable CPT (via 4AM/4AP), a candidate MAA/2VP macroinitiator (MAA/2VP-50, 48% MAA content) was chosen to initiate a second batch of 4AM/4AP. The composition of 4AM/4AP was chosen so that a clearly defined CPT ~35 °C could be observed, as we found in our previous study [63]. There was some unreacted macroinitiator but it was readily removed by subsequent fractionation (see Figure 4). After hydrolysis of the tert-butyl protecting groups, the resulting poly(MAA/2VP)-b-poly(4AM/4AP) was dissolved as a 1 wt% solution in buffers of three different pHs: 3, 7, and 10. In each case, the pHs were chosen in the range where the macroinitiator was expected to be soluble. However, dissolution was different in each case, as noted in the Results section. Thus, dissolution was carefully done to ensure that the polymers were sufficiently soluble (24 h, and then filtration to remove aggregates). Each solution exhibited the same general trend when they were heated (Figure 5). The CPTs were noticed by the dramatic increase in Rh at 22–27 °C, which is lower than what was expected given the composition of the 4AM/4AP block. A similar drop in CPT was observed for poly(2VP)-b-poly(NIPAM) block copolymers in solution, which is accredited to relatively increasing the 2VP content in the block copolymers compared to the poly(NIPAM) segment [76]. This was attributed to the hydrophobicity of the poly(2VP) segment effectively lowering the CPT. In a contrasting case, Schilli et al. examined doubly responsive poly(acrylic acid)-b-poly(NIPAM) (PAA-b-PNIPAM) block copolymers. With increasing pH from 4.5 to approximately 5–7, the LCST of the PNIPAM increased from 29 to 35 °C [77]. In a system applying similar NMP techniques that was used here, PAA-b-poly(diethyl acrylamide) (PAA-b-PDEAAm) was made in dispersion and the hydrodynamic radius was measured as a function of pH at different temperatures (15, 25 and 50 °C) [78]. In that study, the aggregate size was greater when the temperature exceeded the cloud point temperature of the PDEAAm block (about 35 °C). Again, the change in pH interacted with the transition temperature and it was higher than that of pure PDEAAm. In the current study, despite the presence of the MAA units, it apparently was not sufficient to counter-balance the effect of the 2VP units. After the initial rise in Rh with temperature, the Rhs slowly decreased to about 500–600 nm at 50 °C. This was initially thought to be due to copolymer precipitating that could not be detected by the instrument. However, the solutions did not have any obviously precipitated polymer after removal from the apparatus. Thus, relatively large aggregates ~500 nm were present after the experiment. This suggests that there was a balance between the CPT of the 4AM/4AP segment and the solubility of the MAA/2VP segment. It is likely that the MAA units were sufficiently hydrolyzed to improve the solubility at higher temperature. This system underscores the delicate balances and tunability of properties possible by using dual stimuli-responsive block copolymers consisting of two respective statistical copolymer segments as has been noted in other combinations such as schizophrenic micelles [79] or dual upper critical solution temperature (UCST) and LCST block segments [80]. Future work can add more complex layering by examining the entire span of macroinitiators with different compositions along with second blocks with variable composition to tune the cloud point temperature.

5. Conclusions

The versatility of NMP to produce dual stimuli-responsive block copolymers was highlighted where one block consisted of a statistical poly(ampholyte) comprised of methacrylic acid and 2-vinylpyridine units and the other consisted of a statistical thermo-responsive copolymer segment of 4-acryloylmorpholine and 4-acryloylpiperidine. Each block could have its pH-sensitivity and thermo-responsiveness tuned by the relative proportion of co-monomers in each block. The NMP of tBMA/2VP mixtures resulted in linear Mn versus conversion plots and relatively narrow molecular weight distributions (Đ = 1.30–1.41) and essentially random microstructure. After hydrolysis of the tBMA units, MAA/2VP copolymers exhibited solubility at low pH < 3 and high pH > 8, but formed large aggregates at intermediate pHs. One such tBMA/2VP precursor copolymer was used as a mixture to add a thermo-responsive segment consisting of 4AM/4AP units. The macroinitiator was sufficiently active, resulting in the dual responsive block copolymer (after fractionation of a small concentration of inactive macroinitiator). DLS of the block copolymer at various pHs (3, 7 and 10) as a function of temperature indicated a rapid increase in particle size >2000 nm at 22–27 °C, corresponding to the 4AM/4AP segment’s thermo-responsiveness followed by a leveling in particle size to about 500 nm at higher temperatures.

Acknowledgments

This work was supported by an NSERC Discovery Grant (288125) and Chi Zhang acknowledges scholarship support from NSERC CGS and the MEDA from the Faculty of Engineering, McGill University. Ahmad Khan is thanked for performing some 1H NMR measurements of the block copolymer.

Author Contributions

M.M. and C.Z. conceived and designed the experiments; C.Z. performed the macroinitiator synthesis, characterization and pH DLS experiments while M.M. performed the chain-extension experiments and did the DLS experiments for the dual-responsive block copolymer; C.Z., M.M. and D.G. analyzed the data and wrote the paper.

Conflicts of Interest

The authors declare no conflict of interest.

References

  1. Lowe, A.B.; McCormick, C.L. Synthesis and solution properties of zwitterionic polymers. Chem. Rev. 2002, 102, 4177–4190. [Google Scholar] [CrossRef] [PubMed]
  2. Alfrey, T., Jr.; Morawetz, W. Amphoteric Polyelectrolytes. I. 2-Vinylpyridine—Methacrylic Acid Copolymers 1, 2. J. Am. Chem. Soc. 1952, 74, 436–438. [Google Scholar] [CrossRef]
  3. Ehrlich, P.; Doty, J. The Solution Behavior of a Polymeric Ampholyte1. J. Am. Chem. Soc. 1954, 76, 3764–3777. [Google Scholar] [CrossRef]
  4. Tan, B.H.; Ravi, P.; Tan, L.N.; Tam, K.C. Synthesis and aqueous solution properties of sterically stabilized pH-responsive polyampholyte microgels. J. Colloid Interface Sci. 2007, 309, 453–463. [Google Scholar] [CrossRef] [PubMed]
  5. Alfrey, T.; Pinner, S.H. Preparation and titration of amphoteric polyelectrolytes. J. Polym. Sci. 1957, 23, 533–547. [Google Scholar] [CrossRef]
  6. Kamachi, M.; Kurihara, M.; Stille, J.K. Synthesis of block polymers for desalination membranes. Preparation of block copolymers of 2-vinylpyridine and methacrylic acid or acrylic acid. Macromolecules 1972, 5, 161–167. [Google Scholar] [CrossRef]
  7. Kurihara, M.; Kamachi, M.; Stille, J.K. Synthesis of ionic block polymers for desalination membranes. J. Polym. Sci. Polym. Chem. Ed. 1973, 11, 587–610. [Google Scholar] [CrossRef]
  8. Varoqui, R.; Tran, Q.; Pefferkorn, E. Polycation-polyanion complexes in the linear diblock copolymer of poly(styrene sulfonate)/poly(2-vinylpyridinium) salt. Macromolecules 1979, 12, 831–835. [Google Scholar] [CrossRef]
  9. Gotzamanis, G.; Tsitsilianis, C. Stimuli-responsive A-b-(B-co-C) diblock terpolymers bearing polyampholyte sequences. Macromol. Rapid. Commun. 2006, 27, 1757–1763. [Google Scholar] [CrossRef]
  10. André, X.; Zhang, M.; Müller, A.H.E. Thermo- and pH-responsive micelles of poly(acrylic acid)-block-poly (N,N-diethylacrylamide). Macromol. Rapid Commun. 2005, 26, 558–563. [Google Scholar] [CrossRef]
  11. Tsitsilianis, C.; Stavrouli, N.; Bocharova, V.; Angelopoulos, S.; Kiriy, A.; Katsampas, I.; Stamm, M. Stimuli responsive associative polyampholytes based on ABCBA pentablock terpolymer architecture. Polymer 2008, 49, 2996–3006. [Google Scholar] [CrossRef]
  12. Bütün, V.; Billingham, N.C.; Armes, S.P. Unusual aggregation behavior of a novel tertiary amine methacrylate-based diblock copolymer: Formation of micelles and reverse micelles in aqueous solution. J. Am. Chem. Soc. 1998, 120, 11818–11819. [Google Scholar] [CrossRef]
  13. Webster, O.W. The discovery and commercialization of group transfer polymerization. J. Polym. Sci. A Polym. Chem. 2000, 38, 2855–2860. [Google Scholar] [CrossRef]
  14. Bütün, V.; Weaver, J.V.M.; Bories-Azeau, X.; Cai, Y.; Armes, S.P. A brief review of ‘schizophrenic’ block copolymers. React. Funct. Polym. 2006, 66, 157–165. [Google Scholar] [CrossRef]
  15. Patrickios, C.S.; Hertler, W.R.; Abbott, N.L.; Hatton, T.A. Diblock, Abc triblock, and random methacrylic polyampholytes-synthesis by group-transfer polymerization and solution behavior. Macromolecules 1994, 27, 930–937. [Google Scholar] [CrossRef]
  16. Chen, W.-Y.; Alexandridis, P.; Su, C.-K.; Patrickios, C.S.; Hertler, W.R.; Hatton, T.A. Effect of block size and sequence on the micellization of ABC triblock methacrylic polyampholytes. Macromolecules 1995, 28, 8604–8611. [Google Scholar] [CrossRef]
  17. Dobrynin, A.V.; Colby, R.H.; Rubinstein, M. Polyampholytes. J. Polym. Sci. B Polym. Phys. 2004, 42, 3513–3538. [Google Scholar] [CrossRef]
  18. Kudabergnor, S. Polyampholytes. In Encyclopedia of Polymer Science and Technology; Mark, H.F., Ed.; Wiley: New York, NY, USA, 2014; Volume 10, pp. 297–325. [Google Scholar]
  19. Hadjichristidis, N.; Pispas, S.; Floudas, G.A. Block Copolymers: Synthetic Strategies, Physical Properties and Applications; Wiley: Hoboken, NJ, USA, 2003. [Google Scholar]
  20. Nicolas, J.; Guillaneuf, Y.; Lefay, C.; Bertin, D.; Gigmes, D.; Charleux, B. Nitroxide-mediated polymerization. Prog. Polym. Sci. 2013, 38, 63–235. [Google Scholar] [CrossRef]
  21. Georges, M.K.; Veregin, R.P.N.; Kazmaier, P.M.; Hamer, G.K. Narrow molecular weight distribution resins by a free radical polymerization process. Macromolecules 1993, 26, 2987–2988. [Google Scholar] [CrossRef]
  22. Kato, M.; Kamigaito, M.; Sawamoto, M. Polymerization of methyl methacrylate with the carbon tetrachloride/dichlorotris-(triphenylphosphine) ruthenium (II)/methylaluminum bis (2, 6-di-tert-butylphenoxide) initiating system: Possibility of living radical polymerization. Macromolecules 1995, 28, 1721–1723. [Google Scholar] [CrossRef]
  23. Wang, J.S.; Matyjaszewski, K. ontrolled/"living" radical polymerization. Atom transfer radical polymerization in the presence of transition-metal complexes. J. Am. Chem. Soc. 1995, 117, 5614–5615. [Google Scholar] [CrossRef]
  24. Chiefari, J.; Chong, Y.K.; Ercole, F.; Krstina, J.; Jeffery, J.; Le, T.P.T.; Mayadunne, R.T.A.; Meijs, G.F.; Moad, C.L.; Moad, G.; et al. Living free-radical polymerization by reversible addition-fragmentation chain transfer: The RAFT process. Macromolecules 1998, 31, 5559–5562. [Google Scholar] [CrossRef]
  25. Čadová, E.; Konečný, J.; Kříž, J.; Svitáková, R.; Holler, P.; Genzer, J.; Vlček, P. ATRP of 2-vinylpyridine and tert-butyl acrylate mixtures giving precursors of polyampholytes. J. Polym. Sci. A Polym. Chem. 2010, 48, 735–741. [Google Scholar] [CrossRef]
  26. Jhon, Y.K.; Arifuzzaman, S.; Ozcam, A.E.; Kiserow, D.J.; Genzer, J. Formation of polyampholyte brushes via controlled radical polymerization and their assembly in solution. Langmuir 2012, 28, 872–882. [Google Scholar] [CrossRef] [PubMed]
  27. Liu, S.; Armes, S.P. Synthesis and aqueous solution behavior of a pH-responsive schizophrenic diblock copolymer. Langmuir 2003, 19, 4432–4438. [Google Scholar] [CrossRef]
  28. Cai, Y.; Armes, S.P. A zwitterionic ABC triblock copolymer that forms a “trinity” of micellar aggregates in aqueous solution. Macromolecules 2004, 37, 7116–7122. [Google Scholar] [CrossRef]
  29. Zhang, X.; Ma, J.; Yang, S.; Xu, J. “Schizophrenic” micellization of poly(acrylic acid)-b-poly(2-dimethylamino)ethyl methacrylate and responsive behavior of the micelles. Soft Mater. 2013, 11, 394–402. [Google Scholar] [CrossRef]
  30. Smith, A.E.; Xu, X.; Kirkland-York, S.E.; Savin, D.A.; McCormick, C.L. “Schizophrenic” self-assembly of block copolymers synthesized via aqueous RAFT polymerization: From micelles to vesicles. Paper number 143 in a series on water-soluble polymers. Macromolecules 2010, 43, 1210–1217. [Google Scholar] [CrossRef]
  31. Du, J.; O’Reilly, R.K. pH-responsive vesicles from a schizophrenic diblock copolymer. Macromol. Chem. Phys. 2010, 211, 1530–1537. [Google Scholar] [CrossRef]
  32. Savoji, M.T.; Strandman, S.; Zhu, X.X. Switchable vesicles formed by diblock random copolymers with tunable pH-and thermo-responsiveness. Langmuir 2013, 29, 6823–6832. [Google Scholar] [CrossRef] [PubMed]
  33. Benoit, D.; Grimaldi, S.; Robin, S.; Finet, J.-P.; Tordo, P.; Gnanou, Y. Kinetics and mechanism of controlled free-radical polymerization of styrene and n-butyl acrylate in the presence of an acyclic β-phosphonylated nitroxide. J. Am. Chem. Soc. 2000, 122, 5929–5939. [Google Scholar] [CrossRef]
  34. Benoit, D.; Chaplinski, V.; Braslau, R.; Hawker, C.J. Development of a universal alkoxyamine for “living” free radical polymerizations. J. Am. Chem. Soc. 1999, 121, 3904–3920. [Google Scholar] [CrossRef]
  35. Moad, G.; Rizzardo, E. The History of Nitroxide Mediated Polymerization. In Nitroxide Mediated Polymerization: From Fundamentals to Applications in Materials Science; Gigmes, D., Ed.; Royal Society of Chemistry: London, UK, 2015; pp. 1–44. [Google Scholar]
  36. Magee, C.; Sugihara, Y.; Zetterlund, P.B.; Aldabbagh, F. Chain transfer to solvent in the radical polymerization of structurally diverse acrylamide monomers using straight-chain and branched alcohols as solvents. Polym. Chem. 2014, 5, 2259–2265. [Google Scholar] [CrossRef]
  37. Götz, H.; Harth, E.; Schiller, S.M.; Frank, C.W.; Knoll, W.; Hawker, C.J. Synthesis of lipo-glycopolymer amphiphiles by nitroxide-mediated living free-radical polymerization. J. Polym. Sci. A Polym. Chem. 2002, 40, 3379–3391. [Google Scholar] [CrossRef]
  38. Schierholz, K.; Givehchi, M.; Fabre, P.; Nallet, F.; Papon, E.; Guerret, O.; Gnanou, Y. Acrylamide-based amphiphilic block copolymers via nitroxide-mediated radical polymerization. Macromolecules 2003, 36, 5995–5999. [Google Scholar] [CrossRef]
  39. Phan, T.N.T.; Maiez-Tribut, S.; Pascault, J.-P.; Bonnet, A.; Gerard, P.; Guerret, O.; Bertin, D. Synthesis and characterizations of block copolymer of poly(n-butyl acrylate) and gradient poly(methyl methacrylate-co-N,N-dimethyl acrylamide) made via nitroxide-mediated controlled radical polymerization. Macromolecules 2007, 40, 4516–4523. [Google Scholar] [CrossRef]
  40. Delaittre, G.; Rieger, J.; Charleux, B. Nitroxide-mediated living/controlled radical polymerization of N,N-diethylacrylamide. Macromolecules 2011, 44, 462–470. [Google Scholar] [CrossRef]
  41. Shipman, P.O.; Cui, C.; Lupinska, P.; Lalancette, R.A.; Sheridan, J.B.; Jäkle, F. Nitroxide-mediated controlled free radical polymerization of the chelate monomer 4-styryl-tris(2-pyridyl)borate (StTpyb) and supramolecular assembly via metal complexation. ACS Macro Lett. 2013, 2, 1056–1060. [Google Scholar] [CrossRef]
  42. Lang, A.S.; Neubig, A.; Sommer, M.; Thalakkat, M. NMRP versus “Click” Chemistry for the Synthesis of Semiconductor Polymers Carrying Pendant Perylene Bisimides. Macromolecules 2010, 43, 7001–7010. [Google Scholar] [CrossRef]
  43. Deng, L.; Furuta, P.T.; Garon, S.; Li, J.; Kavulak, D.; Thompson, M.E.; Fréchet, J.M.J. Living radical polymerization of bipolar transport materials for highly efficient light emitting diodes. Chem. Mater. 2006, 18, 386–395. [Google Scholar] [CrossRef]
  44. Lessard, B.; Graffe, A.; Maric, M. Styrene/tert-butyl acrylate random copolymers synthesized by nitroxide-mediated polymerization: Effect of free nitroxide on kinetics and copolymer composition. Macromolecules 2007, 40, 9284–9292. [Google Scholar] [CrossRef]
  45. Lessard, B.; Schmidt, S.C.; Maric, M. Styrene/acrylic acid random copolymers synthesized by nitroxide-mediated polymerization: Effect of free nitroxide on kinetics and copolymer composition. Macromolecules 2008, 41, 3446–3454. [Google Scholar] [CrossRef]
  46. Charleux, B.; Nicolas, J.; Guerret, O. Theoretical expression of the average activation-deactivation equilibrium constant in controlled/living free-radical copolymerization operating via reversible termination. Application to a strongly improved control in nitroxide-mediated polymerization of methyl methacrylate. Macromolecules 2005, 38, 5485–5492. [Google Scholar]
  47. Nicolas, J.; Brusseau, S.; Charleux, B. A minimal amount of acrylonitrile turns the nitroxide-mediated polymerization of methyl methacrylate into an almost ideal controlled/living system. J. Polym. Sci. A Polym. Chem. 2010, 48, 34–47. [Google Scholar] [CrossRef]
  48. Dire, C.; Charleux, B.; Magnet, S.; Couvreur, L. Nitroxide-mediated copolymerization of methacrylic acid and styrene to form amphiphilic diblock copolymers. Macromolecules 2007, 40, 1897–1903. [Google Scholar] [CrossRef]
  49. Nicolas, J.; Couvreur, P.; Charleux, B. Comblike polymethacrylates with poly(ethylene glycol) side chains via nitroxide-mediated controlled free-radical polymerization. Macromolecules 2008, 41, 3758–3761. [Google Scholar] [CrossRef]
  50. Lessard, B.; Maric, M. Incorporating glycidyl methacrylate into block copolymers using poly(methacrylate-ran-styrene) macroinitiators synthesized by nitroxide-mediated polymerization. J. Polym. Sci. A Polym. Chem. 2009, 47, 2574–2588. [Google Scholar] [CrossRef]
  51. Lessard, B.; Tervo, C.; De Wahl, S.; Clerveaux, F.J.; Tang, K.K.; Yasmine, S.; Andjelic, S.; D’Alessandro, A.; Maric, M. Poly(tert-butyl methacrylate/styrene) macroinitiators as precursors for organo-and water-soluble functional copolymers using nitroxide-mediated controlled radical polymerization. Macromolecules 2010, 43, 868–878. [Google Scholar] [CrossRef]
  52. Moayeri, A.; Lessard, B.; Maric, M. Nitroxide mediated controlled synthesis of glycidyl methacrylate-rich copolymers enabled by SG1-based alkoxyamines bearing succinimidyl ester groups. Polym. Chem. 2011, 2, 1121–1129. [Google Scholar] [CrossRef]
  53. Ting, S.R.S.; Min, E.-H.; Escale, P.; Save, M.; Billon, L.; Stenzel, M.H. Lectin recognizable biomaterials synthesized via nitroxide-mediated polymerization of a methacryloyl galactose monomer. Macromolecules 2009, 42, 9422–9434. [Google Scholar] [CrossRef]
  54. Lessard, B.H.; Ling, E.Y.J.; Maric, M. Fluorescent, thermoresponsive oligo(ethylene glycol) methacrylate/9-(4-vinylbenzyl)-9H-carbazole copolymers designed with multiple LCSTs via nitroxide mediated controlled radical polymerization. Macromolecules 2012, 45, 1879–1891. [Google Scholar] [CrossRef]
  55. Lessard, B.H.; Maric, M. “Smart” poly(dimethylaminoethyl methacrylate-ran-9-(4-vinylbenzyl)-9H-carbazole) copolymers synthesized by nitroxide mediated radical polymerization. J. Polym. Sci. A Polym. Chem. 2011, 49, 5270–5283. [Google Scholar] [CrossRef]
  56. Wang, Z.-J.; Maric, M. Synthesis of narrow molecular weight distribution norbornene-lactone functionalized polymers by nitroxide-mediated polymerization: Candidates for 193 nm photoresist materials. Polymers 2014, 6, 565–577. [Google Scholar] [CrossRef]
  57. Chenal, M.; Mura, S.; Marchal, C.; Gigmes, D.; Charleux, B.; Fattal, E.; Couvreur, P.; Nicolas, J. Facile synthesis of innocuous comb-shaped polymethacrylates with PEG side chains by nitroxide-mediated radical polymerization in hydroalcoholic solutions. Macromolecules 2010, 43, 9291–9303. [Google Scholar] [CrossRef]
  58. Brusseau, S.; Belleney, J.; Magnet, S.; Couvreur, L.; Charleux, B. Nitroxide-mediated copolymerization of methacrylic acid with sodium 4-styrene sulfonate: Towards new water-soluble macroalkoxyamines for the synthesis of amphiphilic block copolymers and nanoparticles. Polym. Chem. 2010, 1, 720–729. [Google Scholar] [CrossRef]
  59. Zhang, C.; Maric, M. pH-and temperature-sensitive statistical copolymers poly[2-(dimethylamino) ethyl methacrylate-stat-2-vinylpyridine] with Functional succinimidyl-ester chain ends synthesized by nitroxide-mediated polymerization. J. Polym. Sci. A Polym. Chem. 2012, 50, 4341–4357. [Google Scholar] [CrossRef]
  60. Consolante, V.; Maric, M. Nitroxide-mediated polymerization of an organo-soluble protected styrene sulfonate: Development of homo and random copolymers. Macromol. React. Eng. 2011, 5, 575–586. [Google Scholar] [CrossRef]
  61. Couvreur, L.; Lefay, C.; Belleney, J.; Charleux, B.; Guerret, O.; Magnet, S. First nitroxide-mediated controlled free-radical polymerization of acrylic acid. Macromolecules 2003, 36, 8260–8267. [Google Scholar] [CrossRef]
  62. Couvreur, L.; Charleux, B.; Guerret, O.; Magnet, S. Direct synthesis of controlled poly(styrene-co-acrylic acid)s of various compositions by nitroxide-mediated random copolymerization. Macromol. Chem. Phys. 2003, 204, 2055–2063. [Google Scholar] [CrossRef]
  63. Savelyeva, X.; Li, L.; Bennett, I.; Maric, M. Stimuli-responsive 4-acryloylmorpholine/4-acryloylpiperidine copolymers via nitroxide mediated polymerization. 2016; Submitted. [Google Scholar]
  64. Vinas, J.; Chagneux, N.; Gigmes, D.; Trimaille, T.; Favier, A.; Bertin, D. SG1-based alkoxyamine bearing a N-succinimidyl ester: A versatile tool for advanced polymer synthesis. Polymer 2008, 49, 3639–3647. [Google Scholar] [CrossRef]
  65. Torchilin, V.P. Structure and design of polymeric surfactant-based drug delivery systems. J. Controll. Release 2001, 73, 137–172. [Google Scholar] [CrossRef]
  66. Wever, D.A.Z.; Picchioni, F.; Broekhuis, A.A. Polymers for enhanced oil recovery: A paradigm for structure-property relationship in aqueous solution. Prog. Polym. Sci. 2011, 36, 1558–1628. [Google Scholar] [CrossRef]
  67. Darabi, A.; Shirin-Abadi, A.R.; Jessop, P.G.; Cunningham, M.F. Nitroxide-mediated polymerization of 2-(diethylamino)ethyl methacrylate (DEAEMA) in water. Macromolecules 2015, 48, 72–80. [Google Scholar] [CrossRef]
  68. Driva, P.; Bexis, P.; Pitsikalis, M. Radical copolymerization of 2-vinyl pyridine and oligo(ethylene glycol) methyl ether methacrylates: Monomer reactivity ratios and thermal properties. Eur. Polym. J. 2011, 47, 762–771. [Google Scholar] [CrossRef]
  69. Mori, H.; Müller, A.H.E. New polymeric architectures with (meth)acrylic acid segments. Prog. Polym. Sci. 2003, 28, 1403–1439. [Google Scholar] [CrossRef]
  70. Merle, Y. Synthetic polyampholytes. V: Influence of nearest-neighbor interactions on potentiometric curves. J. Phys. Chem. 1987, 91, 3092–3098. [Google Scholar] [CrossRef]
  71. Ho, B.S.; Tan, B.H.; Tan, J.P.K.; Tam, K.C. Inverse microemulsion polymerization of sterically stabilized polyampholyte microgels. Langmuir 2008, 24, 7698–7703. [Google Scholar] [CrossRef] [PubMed]
  72. McParlane, J.; Dupin, D.; Saunders, J.M.; Lally, S.; Armes, S.P.; Saunders, B.R. Dual pH-triggered physical gels prepared from mixed dispersions of oppositely charged pH-responsive microgels. Soft Matter 2012, 8, 6239–6247. [Google Scholar] [CrossRef]
  73. Dupin, D.; Fujii, S.; Armes, S.P.; Reeve, P.; Baxter, S.M. Efficient synthesis of sterically stabilized pH-responsive microgels of controllable particle diameter by emulsion polymerization. Langmuir 2006, 22, 3381–3387. [Google Scholar] [CrossRef] [PubMed]
  74. Iatridi, Z.; Mattheolabakis, G.; Avgoustakis, K.; Tsitsilianis, C. Self-assembly and drug delivery studies of pH/thermo-sensitive polyampholytic (A-co-B)-b-C-b-(A-co-B) segmented terpolymers. Soft Matter 2011, 7, 11160–11168. [Google Scholar] [CrossRef]
  75. Gotzamanis, G.; Papadimitriou, K.; Tsitsilianis, C. Design of a C-b-(A-co-B)-b-C telechelic polyampholyte pH-responsive gelator. Polym. Chem. 2016, 7, 2121–2129. [Google Scholar] [CrossRef]
  76. Corten, C.; Kretschmer, K.; Kuckling, D. Novel multi-responsive P2VP-block-PNIPAAm block copolymers via nitroxide-mediated radical polymerization. Beilstein J. Organ. Chem. 2010, 6, 756–765. [Google Scholar] [CrossRef] [PubMed]
  77. Schilli, C.M.; Zhang, M.; Rizzardo, E.; Thang, S.H.; Chong, Y.K.; Edwards, K.; Karlsson, G.; Müller, A.H.E. A new double-responsive block copolymer synthesized via RAFT polymerization: poly(N-isopropylacrylamide)-block-poly(acrylic acid). Macromolecules 2004, 37, 7861–7866. [Google Scholar] [CrossRef]
  78. Delaittre, G.; Save, M.; Gaborieau, M.; Castignolles, P.; Rieger, J.; Charleux, B. Synthesis by nitroxide-mediated aqueous dispersion polymerization, characterization, and physical core-crosslinking of pH-and thermoresponsive dynamic diblock copolymer micelles. Polym. Chem. 2012, 3, 1526–1538. [Google Scholar] [CrossRef]
  79. Liu, S.; Billingham, N.C.; Armes, S.P. A schizophrenic water-soluble diblock copolymer. Angew. Chem. Int. Ed. 2001, 40, 2328–2331. [Google Scholar] [CrossRef]
  80. Arotcarena, M.; Heise, B.; Ishaya, S.; Laschewsky, A. Switching the inside and the outside of aggregates of water-soluble block copolymers with double thermoresponsivity. J. Am. Chem. Soc. 2002, 124, 3787–3793. [Google Scholar] [CrossRef] [PubMed]

Article Metrics

Citations

Article Access Statistics

Multiple requests from the same IP address are counted as one view.