Identification of Safety Risk Factors for Shield Construction in Urban Drainage Deep Tunnel Based on Text Mining
Abstract
1. Introduction
2. Literature Review
2.1. Identification of Safety Risk Factors in Tunnel Shield Construction
2.2. Text Mining in the Risk Management of Tunnel Shield Construction
- (1)
- Understanding semantics. With the aid of natural language processing technology, text mining is not merely about simply counting the key words and their word frequencies in the text content but can also provide a deeper understanding of the connotations in the text data.
- (2)
- Revealing complex relationships among risk factors. Traditional data mining techniques had difficulty capturing the correlations between words in text data and the similarities among multiple different documents, while text mining can further extract the connections between words.
- (3)
- Handling unstructured data. Most traditional data mining techniques can only handle structured data. Most engineering materials, such as accident investigation reports and construction plans, are unstructured data. Text mining technology can handle these text data, which not only greatly saves data processing time but also increases the objectivity of text analysis to a certain extent.
2.3. Gap in the Existing Relevant Research
3. Methodology
3.1. Research Framework for Risk Factor Identification Based on Text Mining
3.2. Feature Selection Model of Risk Factors
4. Data Analysis
4.1. Sample
4.2. Word Bank and Word Segmentation
4.2.1. Establishment of the Word Bank
4.2.2. Text Word Segmentation
4.3. Risk Factor Identification
4.4. Risk Factor List
5. Verification and Implication
5.1. Verification of Risk Factor Identification Methods
5.2. Management Implication
6. Conclusions
Author Contributions
Funding
Data Availability Statement
Conflicts of Interest
References
- Hu, K.; Wang, J.W.; Wu, H. Construction safety risk assessment of large-sized deep drainage tunnel projects. Math. Probl. Eng. 2021, 2021, 7380555. [Google Scholar] [CrossRef]
- Sun, J.Y.; Wu, X.W.; Wang, G.H.; He, J.G.; Li, W.T. The governance and optimization of urban flooding in dense urban areas utilizing deep tunnel drainage systems: A case study of guangzhou, China. Water 2024, 16, 2429. [Google Scholar] [CrossRef]
- Hu, K.; Wang, J.W.; Wu, D.H.; Wang, Y.A. Risk assessment of small-diameter shield construction in a deep drainage tunnel based on an ism-critic-cloud model. Buildings 2024, 14, 3920. [Google Scholar] [CrossRef]
- Hyun, K.C.; Min, S.; Choi, H.; Park, J.; Lee, I.M. Risk analysis using fault-tree analysis (fta) and analytic hierarchy process (ahp) applicable to shield tbm tunnels. Tunn. Undergr. Space Technol. 2015, 49, 121–129. [Google Scholar] [CrossRef]
- Ding, L.; Sun, Y.J.; Zhang, W.Z.; Bi, G.; Xu, H.Z. Stress monitoring of segment structure during the construction of the small-diameter shield tunnel. Sensors 2023, 23, 8023. [Google Scholar] [CrossRef]
- Jiang, J.; Liu, G.Y.; Ou, X.D. Risk coupling analysis of deep foundation pits adjacent to existing underpass tunnels based on dynamic bayesian network and n-k model. Appl. Sci. 2022, 12, 10467. [Google Scholar] [CrossRef]
- Isah, M.A.; Kim, B.S. Question-answering system powered by knowledge graph and generative pretrained transformer to support risk identification in tunnel projects. J. Constr. Eng. Manag. 2025, 151, 04024193. [Google Scholar] [CrossRef]
- He, K.; Zhu, J.; Wang, H.; Huang, Y.L.; Li, H.J.; Dai, Z.S.; Zhang, J.X.; Stathopoulos, T. Safety risk evaluation of metro shield construction when undercrossing a bridge. Buildings 2023, 13, 2540. [Google Scholar] [CrossRef]
- Xu, N.; Guo, C.R.; Wang, L.; Zhou, X.Q.; Xie, Y. A three-stage dynamic risk model for metro shield tunnel construction. KSCE J. Civ. Eng. 2024, 28, 503–516. [Google Scholar] [CrossRef]
- Liu, P.; Jin, X.Q.; Shang, Y.T. Ontology-based automated knowledge identification of safety risks in metro shield construction. J. Asian Archit. Build. Eng. 2025, 1–30. [Google Scholar] [CrossRef]
- Li, X.W.; Li, S.C.; Yuan, J.F.; Wan, Z.; Liu, X. A data-driven and knowledge graph-based research on safety risk-coupled evolution analysis and assessment in shield tunneling. Tunn. Undergr. Space Technol. 2025, 162, 106657. [Google Scholar] [CrossRef]
- Wu, K.P.; Zhang, J.S.; Huang, Y.L.; Wang, H.; Li, H.J.; Chen, H.H. Research on safety risk transfer in subway shield construction based on text mining and complex networks. Buildings 2023, 13, 2700. [Google Scholar] [CrossRef]
- Tang, C.; Shen, C.X.; Zhang, J.J.; Guo, Z. Identification of safety risk factors in metro shield construction. Buildings 2024, 14, 492. [Google Scholar] [CrossRef]
- Koc, K.; Gurgun, A.P. Stakeholder-associated life cycle risks in construction supply chain. J. Manag. Eng. 2021, 37, 4020107. [Google Scholar] [CrossRef]
- Fu, T.; Shi, K.B.; Shi, R.Y.; Lu, Z.P.; Zhang, J.M. Risk assessment of tbm construction based on a matter-element extension model with optimized weight distribution. Appl. Sci. 2024, 14, 5911. [Google Scholar] [CrossRef]
- Zhang, Z.X.; Wang, B.; Wang, X.F.; He, Y.T.; Wang, H.X.; Zhao, S.B. Safety-risk assessment for tbm construction of hydraulic tunnel based on fuzzy evidence reasoning. Processes 2022, 10, 2597. [Google Scholar] [CrossRef]
- Wu, B.; Chen, H.H.; Huang, W.; Meng, G.W. Dynamic evaluation method of the ew-ahp attribute identification model for the tunnel gushing water disaster under interval conditions and applications. Math. Probl. Eng. 2021, 2021, 6661609. [Google Scholar] [CrossRef]
- Shelake, A.G.; Gogate, N.G. An integrated risk prioritization and determination of activity-wise delay (irpad) framework for enhancing schedule management in tunnel projects. Eng. Constr. Archit. Manag. 2024; ahead-of-print. [Google Scholar]
- Zhou, M.K.; Tang, Y.G.; Jin, H.; Zhang, B.; Sang, X.W. Abim-based identification and classification method of environmental risks in the design of beijing subway. J. Civ. Eng. Manag. 2021, 27, 500–514. [Google Scholar] [CrossRef]
- Lu, L.Y.; Ji, M.L.; Wen, X.; Xiang, Y. An empirical study on construction emergency disaster management and risk assessment in shield tunnel construction project with big data analysis. Int. J. Data Min. Bioinform. 2024, 28, 406–425. [Google Scholar] [CrossRef]
- Brown, C.K.; Cameron, B.G. Assessing changes in reliability methods over time: An unsupervised text mining approach. Qual. Reliab. Eng. Int. 2024, 40, 3597–3619. [Google Scholar] [CrossRef]
- Vagnoli, M.; Remenyte-Prescott, R. An ensemble-based change-point detection method for identifying unexpected behaviour of railway tunnel infrastructures. Tunn. Undergr. Space Technol. 2018, 81, 68–82. [Google Scholar] [CrossRef]
- Luan, T.T.; Zhang, X.; Li, H.R.; Wang, K.; Li, X.Y. Dynamic risk analysis of hazardous materials highway tunnel transportation based on fuzzy bayesian network. J. Loss Prev. Process Ind. 2024, 92, 105443. [Google Scholar] [CrossRef]
- Zhou, Z.Y.; Guo, J.H.; Huang, J.H. Chemical safety risk identification and analysis based on improved lda topic model and bayesian networks. Appl. Sci. 2025, 15, 6197. [Google Scholar] [CrossRef]
- Macêdo, J.B.; Moura, M.D.; Aichele, D.; Lins, I.D. Identification of risk features using text mining and bert-based models: Application to an oil refinery. Process Saf. Environ. Prot. 2022, 158, 382–398. [Google Scholar] [CrossRef]
- Xu, N.; Ma, L.; Liu, Q.; Wang, L.; Deng, Y.L. An improved text mining approach to extract safety risk factors from construction accident reports. Saf. Sci. 2021, 138, 105216. [Google Scholar] [CrossRef]
- Liu, Y.P.; Wang, J.W.; Tang, S.R.; Zhang, J.J.; Wan, J.Y.J. Integrating information entropy and latent dirichlet allocation models for analysis of safety accidents in the construction industry. Buildings 2023, 13, 1831. [Google Scholar] [CrossRef]
- Song, W.Y.; Rong, W.; Tang, Y.Q. Quantifying risk of service failure in customer complaints: A textual analysis-based approach. Adv. Eng. Inform. 2024, 60, 102377. [Google Scholar] [CrossRef]
- GB/T 50833-2012; Basic Terminology Standard for Urban Rail Transit Engineering. General Administration of Quality Supervision, Inspection and Quarantine: Beijing, China, 2012.
- GB 50446-2008; Specifications for Construction and Acceptance of Shield Tunneling. Institute of Standards and Quantities of Ministry of Housing and Urban-Rural Development: Beijing, China, 2008.





| No. | Segmentation Result |
|---|---|
| 1 | The geological conditions/of/the construction route/were/not adequately estimated/, and/the presence/of/hard strata/was/not promptly/identified/./ |
| 2 | The design/of/the lining structure/was/unreasonable/, and/during/the construction process/, the defects/in/the lining/were/not promptly detected/./ |
| 3 | The maintenance/of/mechanical equipment/was/inadequate/, failing/to/promptly detect/and/eliminate/potential faults/./ |
| No. | Method | Threshold | High-Frequency Words Number | Estimate |
|---|---|---|---|---|
| 1 | the high-frequency word definition formula | T = 36 | 28 | There might be omissions. |
| 2 | TF | Cumulative TF value ≥ 90% | 1216 | There might be redundant items. |
| 3 | TF–H | Cumulative TF–H value ≥ 90% | 204 | Relatively reasonable |
| No. | Characteristic Item | TF–H | No. | Characteristic Item | TF–H |
|---|---|---|---|---|---|
| 1 | Geological conditions | 996.21 | 21 | Safety investment | 194.92 |
| 2 | Risk of water gushing | 835.69 | 22 | Safety awareness | 184.56 |
| 3 | Collapse accident | 596.75 | 23 | Protective measures | 177.32 |
| 4 | Shield machine failure | 553.33 | 24 | Environmental impact | 171.15 |
| 5 | Construction plan | 505.55 | 25 | Laws and regulations | 155.12 |
| 6 | Safety management | 466.67 | 26 | Quality control | 152.21 |
| 7 | Emergency response | 426.37 | 27 | Communication and coordination | 147.79 |
| 8 | Risk assessment | 411.12 | 28 | Construction machinery | 144.42 |
| 9 | Early warning system | 388.53 | 29 | Resource allocation | 143.36 |
| 10 | Safety training | 365.89 | 30 | Formulation of contingency plans | 132.21 |
| 11 | Monitoring and surveillance | 355.46 | 31 | Earthquake safety | 111.56 |
| 12 | Equipment maintenance | 332.67 | 32 | Construction noise | 105.63 |
| 13 | Construction environment | 311.53 | 33 | Dust pollution | 100.87 |
| 14 | Underground pipeline | 294.45 | 34 | Lighting conditions | 95.34 |
| 15 | Casualties | 269.04 | 35 | Energy consumption | 94.28 |
| 16 | Structural stability | 251.54 | 36 | safe distance | 91.11 |
| 17 | Construction progress | 244.48 | 37 | Tunnel ventilation | 88.86 |
| 18 | Material quality | 236.89 | 38 | Foundation treatment | 88.21 |
| 19 | Construction technology | 212.74 | 39 | Soil improvement | 85.34 |
| 20 | Management system | 202.18 | 40 | Support structure | 81.87 |
| No. | High-Frequency Words | Risk Factor | TF–H | Interpretation of Risk Factors |
|---|---|---|---|---|
| R1 | Geological conditions | The geological and hydrological conditions are poor. | 996.21 | The natural conditions, such as soil, rocks, and hydrology, at the construction site have affected the safety and stability of shield construction. |
| R2 | Risk of water gushing | Water and sand gushing out of the tunnel | 835.69 | Groundwater suddenly rushed into the tunnel, causing waterlogging in the tunnel and interruption of construction. |
| R3 | Collapse accident | Surface subsidence and collapse | 596.75 | Sudden subsidence of the ground or tunnel structure endangers construction safety and surrounding buildings. |
| R4 | Shield machine failure | The shield machine equipment malfunctioned. | 553.33 | Mechanical failures that occur during the construction process of shield machines affect the construction progress and safety. |
| R5 | Construction plan | The construction site was poorly organized. | 505.55 | The specific plans and methods of shield construction directly affect construction safety. |
| R6 | Safety management | The investigation of potential safety hazards was inadequate. | 466.67 | The safety management system of the shield construction site, including safety regulations and rules, safety training, etc. |
| R7 | Monitoring and surveillance | Inadequate monitoring | 355.46 | Continuously observe and record the process and results of shield tunneling construction to improve the construction quality. |
| R8 | Equipment maintenance | The correction of the shield machine’s advancement was not timely. | 332.67 | Regular inspection and maintenance of shield construction equipment should be carried out. |
| R9 | Underground pipeline | Damage to underground pipelines | 294.45 | The impact and protection of underground pipelines during shield construction |
| R10 | Material quality | Damaged segments | 236.89 | The quality standards and usage conditions of materials used in shield construction |
| R11 | Safety awareness | The safety awareness of construction workers is insufficient. | 184.56 | The awareness and emphasis of shield construction personnel on construction safety |
| R12 | Protective measures | The safety protection of construction workers is insufficient. | 177.32 | Specific protective measures taken to prevent accidents from happening |
| R13 | Quality control | Starting base, rails | 152.21 | Measures and procedures to ensure that the construction quality of the base meets the standards |
| R14 | Tunnel ventilation | The installation accuracy is not high. | 88.86 | The ventilation situation inside the tunnel during the tunneling process |
| R15 | Soil improvement | The exhaust equipment is not set up reasonably. | 85.34 | Improve the properties of soil by physical, chemical, or biological methods to enhance its bearing capacity. |
| R16 | Support structure | Improper reinforcement of the soil at the cave entrance | 81.87 | Structures used to support soil in shield construction, such as steel pipes, wooden braces, etc. |
| R17 | Operating procedures | The installation accuracy of the reaction frame is not high. | 79.21 | Operating procedures for shield machines |
| R18 | Base | The tunneling parameters are set improperly. | 76.53 | The installation status of the shield machine base |
| R19 | Construction waste soil | The base is damaged. | 67.75 | The soil generated during the shield machine’s tunneling process and its transportation conditions |
| R20 | Segment | The efficiency of construction waste transportation is low. | 55.56 | The installation status of segments during the shield machine’s tunneling process |
| R21 | Assembly | The installation accuracy of the negative ring tube sheet is not high. | 50.21 | The installation status of segments during the shield machine’s tunneling process |
| R22 | Soil stability | The segments were assembled improperly. | 43.33 | The stability of the soil during shield construction |
| R23 | Collapse | The cave entrance is unstable. | 43.31 | Sudden subsidence of the ground or tunnel structure |
| R24 | Grouting | The starting well collapsed. | 32.54 | The grouting situation of the tunnel during the shield tunneling stage |
| R25 | Shield cutting tool | Improper grouting control | 25.69 | Cutting tools for shield machines |
| R26 | Ground uplift | The cutter head and cutting tools have worn out and failed. | 21.23 | The surface rises due to underground construction. |
| R27 | Axis | The reinforcement of the working face is insufficient. | 16.75 | Whether the tunnel control axis meets the requirements |
| R28 | Hoisting | Receiving axis deviation | 14.32 | Hoisting of mechanical equipment during construction |
| R29 | Seal | Improper hoisting of the shield machine equipment | 11.24 | Whether the sealing condition of the opening meets the requirements |
| R30 | Liquefaction | The sealing of the opening is not in place. | 10.54 | The soil loses stability due to the rise of the groundwater level. |
| R31 | Cave gate | Soil loss at the cave entrance | 9.34 | Construction procedures and quality of door openings |
| R32 | Split | The process of chiseling the cave door was unreasonable. | 9.25 | Shield machine equipment separation |
| R33 | Receiving well | The separation of the shield machine equipment is not in place. | 7.69 | The construction quality of the receiving well at the arrival stage |
| R34 | Receiving base | The receiving well collapsed. | 7.26 | Upon arrival, receive the construction quality of the base. |
| No. | Risk Type | Risk Factor | TF–H |
|---|---|---|---|
| 1 | Personnel management | The construction site was poorly organized. | 505.55 |
| 2 | The investigation of potential safety hazards was inadequate. | 466.67 | |
| 3 | Inadequate monitoring | 355.46 | |
| 4 | The safety awareness of construction workers is insufficient. | 184.56 | |
| 5 | The safety protection of construction workers is insufficient. | 177.32 | |
| 6 | Mechanical equipment and materials | The shield machine equipment malfunctioned. | 553.33 |
| 7 | Damaged segments | 236.89 | |
| 8 | The exhaust equipment is not set up reasonably. | 88.86 | |
| 9 | The tunneling parameters are set improperly. | 79.21 | |
| 10 | The base is damaged. | 76.53 | |
| 11 | The cutter head and cutting tools have worn out and failed. | 25.69 | |
| 12 | Construction technology | Water and sand gushing out of the tunnel | 835.69 |
| 13 | The correction of the shield machine’s advancement was not timely. | 332.67 | |
| 14 | The installation accuracy of the receiving base is not high. | 152.21 | |
| 15 | Improper reinforcement of the soil at the cave entrance | 85.34 | |
| 16 | The installation accuracy of the reaction frame is not high. | 81.87 | |
| 17 | The efficiency of construction waste transportation is low. | 67.75 | |
| 18 | The installation accuracy of the negative ring tube sheet is not high. | 55.56 | |
| 19 | The segments were assembled improperly. | 50.21 | |
| 20 | The starting well collapsed. | 43.31 | |
| 21 | Improper grouting control | 32.54 | |
| 22 | The reinforcement of the working face is insufficient. | 21.23 | |
| 23 | Receiving axis deviation | 16.75 | |
| 24 | Improper hoisting of the shield machine equipment | 14.32 | |
| 25 | The sealing of the opening is not in place. | 11.24 | |
| 26 | The process of chiseling the cave door was unreasonable. | 9.34 | |
| 27 | The separation of the shield machine equipment is not in place. | 9.25 | |
| 28 | The receiving well collapsed. | 7.69 | |
| 29 | The installation accuracy of the starting base is not high. | 7.26 | |
| 30 | Surrounding environment | The geological and hydrological conditions are poor. | 996.21 |
| 31 | Surface subsidence and collapse | 596.75 | |
| 32 | Damage to underground pipelines | 294.45 | |
| 33 | The cave entrance is unstable. | 43.33 | |
| 34 | Soil loss at the cave entrance | 10.54 |
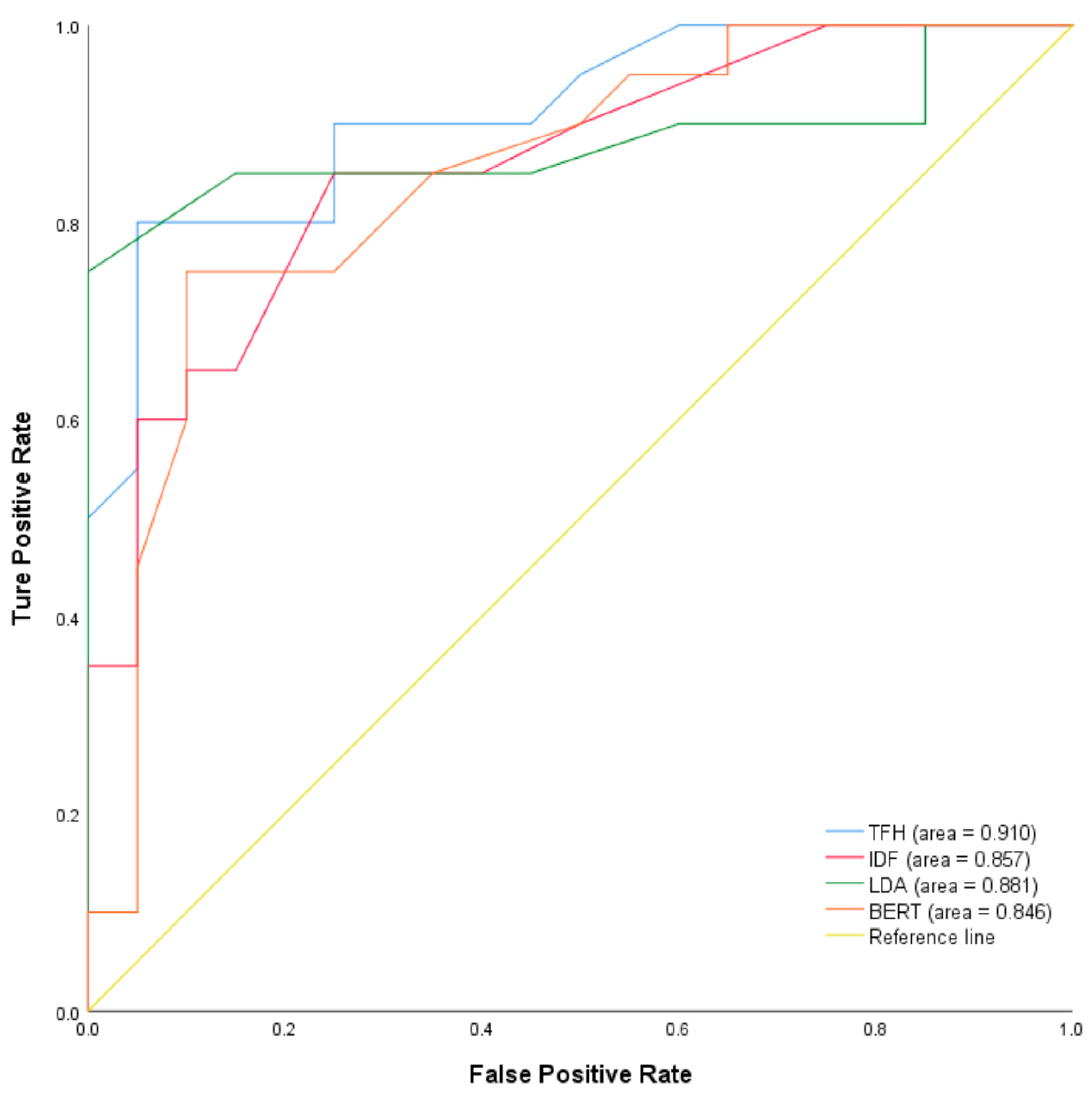
| Method | Accuracy | Precision | Recall | F1–Score |
|---|---|---|---|---|
| TF–H | 0.82 | 0.83 | 0.86 | 0.83 |
| TF–IDF | 0.73 | 0.71 | 0.74 | 0.78 |
| LDA | 0.76 | 0.78 | 0.81 | 0.75 |
| BERT | 0.71 | 0.79 | 0.82 | 0.81 |
Disclaimer/Publisher’s Note: The statements, opinions and data contained in all publications are solely those of the individual author(s) and contributor(s) and not of MDPI and/or the editor(s). MDPI and/or the editor(s) disclaim responsibility for any injury to people or property resulting from any ideas, methods, instructions or products referred to in the content. |
© 2025 by the authors. Licensee MDPI, Basel, Switzerland. This article is an open access article distributed under the terms and conditions of the Creative Commons Attribution (CC BY) license (https://creativecommons.org/licenses/by/4.0/).
Share and Cite
Hu, K.; Wang, J.; Hu, X.; Cheng, Z. Identification of Safety Risk Factors for Shield Construction in Urban Drainage Deep Tunnel Based on Text Mining. Processes 2025, 13, 2782. https://doi.org/10.3390/pr13092782
Hu K, Wang J, Hu X, Cheng Z. Identification of Safety Risk Factors for Shield Construction in Urban Drainage Deep Tunnel Based on Text Mining. Processes. 2025; 13(9):2782. https://doi.org/10.3390/pr13092782
Chicago/Turabian StyleHu, Kai, Junwu Wang, Xuetao Hu, and Zhiyuan Cheng. 2025. "Identification of Safety Risk Factors for Shield Construction in Urban Drainage Deep Tunnel Based on Text Mining" Processes 13, no. 9: 2782. https://doi.org/10.3390/pr13092782
APA StyleHu, K., Wang, J., Hu, X., & Cheng, Z. (2025). Identification of Safety Risk Factors for Shield Construction in Urban Drainage Deep Tunnel Based on Text Mining. Processes, 13(9), 2782. https://doi.org/10.3390/pr13092782

