An Experimental Investigation of the Stability and Thermophysical Properties of MWCNT Nanofluids in a Water–Ethylene Glycol Mixture
Abstract
1. Introduction
2. Methods
2.1. Nanofluid Synthesis Methods
2.1.1. One-Step Method
2.1.2. Two-Step Method
2.2. Nanofluid Stability
Stability Mechanisms of Nanofluids
2.3. Thermophysical Properties of Nanofluids
2.3.1. Thermal Conductivity
2.3.2. Dynamic Viscosity
2.3.3. Density
2.3.4. Specific Heat Capacity
3. Experimental Methodology
3.1. Nanofluid Dispersion
3.2. Stability Analysis
3.3. Measurement of Thermophysical Properties
3.3.1. Thermal Conductivity
3.3.2. Dynamic Viscosity and Density
3.4. Uncertainty Analysis
4. Results and Discussion
4.1. Stability
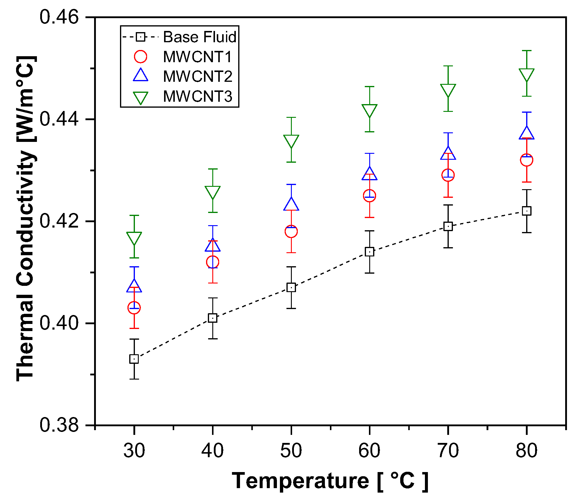
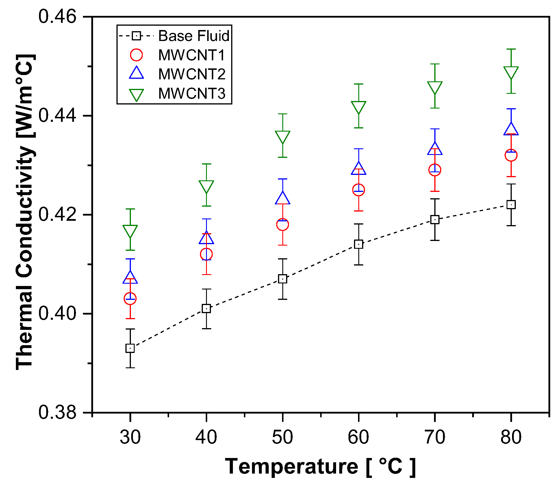
4.2. Thermal Conductivity Results
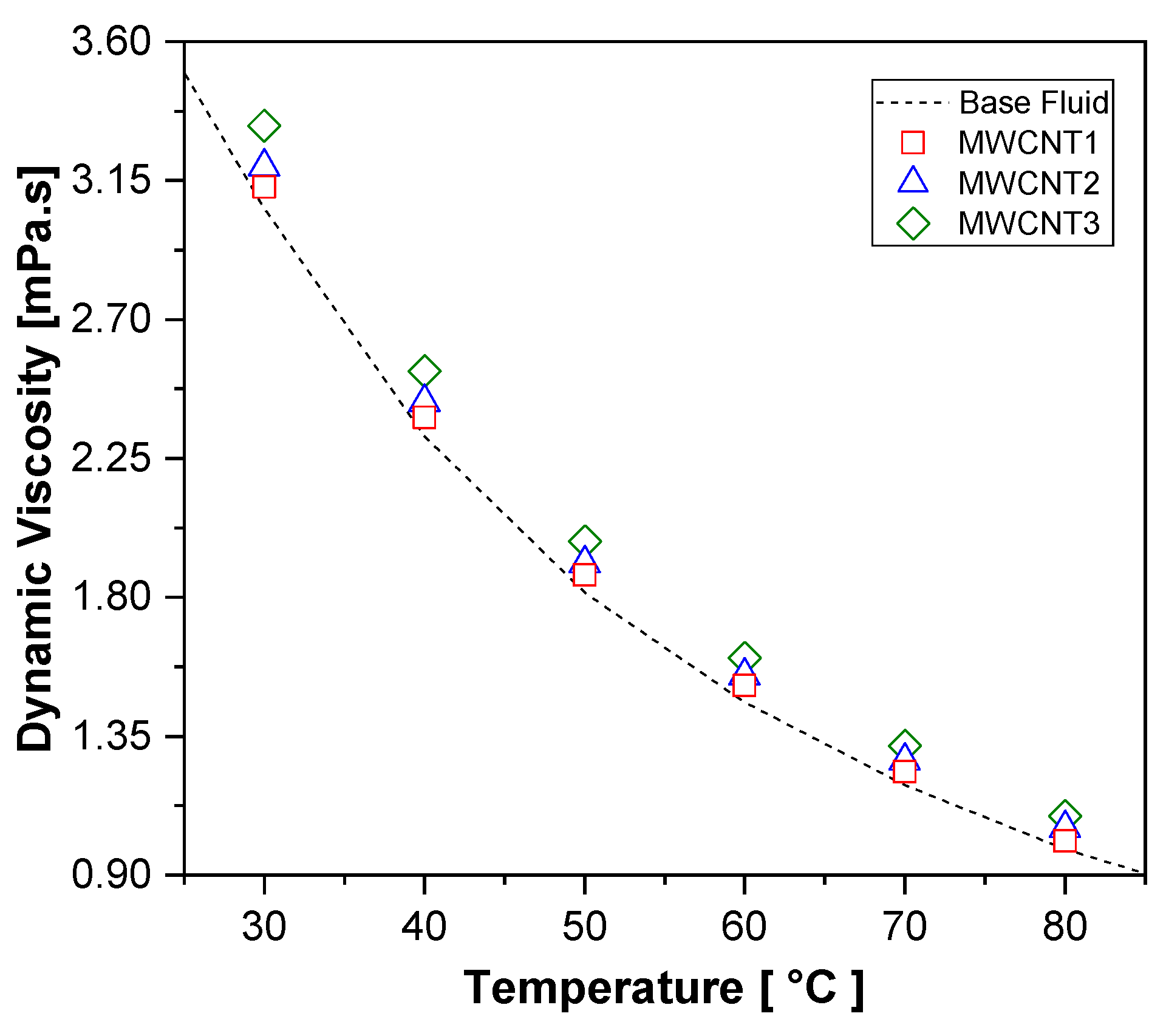
4.3. Dynamic Viscosity Results
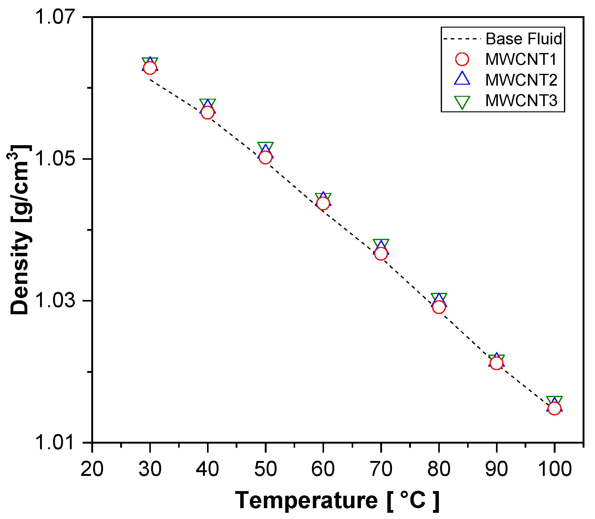
4.4. Density Results
5. Conclusions
- The stability of the prepared nanofluid was evaluated using UV-Vis spectrophotometry and DLS methods. These quantitative techniques provided an accurate assessment of the nanoparticle suspension behavior. Compared to the qualitative visual inspection method, they proved to be more effective, particularly for short-term comparisons. Over one month, the MWCNT2 sample showed a relative concentration decrease of up to 10%.
- Thermal conductivity increased with a higher nanoparticle concentration and temperature. Carbon nanotube nanofluids exhibited enhancements of up to 6.4% compared to the base fluid. In silver nanofluids, the surfactant concentration played a key role. While surfactants improved stability, excessive amounts limited the enhancement of thermal conductivity.
- Viscosity was influenced by the nanoparticle concentration, temperature, and surfactant content. A decrease in viscosity with increasing temperature was observed due to the weakening of intermolecular viscous forces between nanoparticles and base fluid molecules. The highest viscosity increase was 11% for the MWCNT3 sample.
- The theoretical model used to estimate density showed an average deviation of less than 1%. Specific heat was determined using a theoretical approach and validated against established parameters found in the literature.
- Correlations were proposed between thermal conductivity, viscosity, nanoparticle concentration, and temperature based on experimental data from carbon nanotube nanofluids. The average deviations for the predicted values were below 1.5% for thermal conductivity and 3% for dynamic viscosity.
Author Contributions
Funding
Data Availability Statement
Acknowledgments
Conflicts of Interest
Abbreviations
| ASHRAE | American Society of Heating, Refrigerating, and Air-Conditioning |
| DLS | dynamic light scattering |
| EG | ethylene glycol |
| MWCNT | multi-walled carbon nanotube |
| SDS | Sodium docecyl sulfate |
References
- Yadav, P.; Gupta, S.M.; Sharma, S.K. A Review on Stabilization of Carbon Nanotube Nanofluid. J. Therm. Anal. Calorim. 2022, 147, 6537–6561. [Google Scholar] [CrossRef]
- Tian, W.; Bao, Y.; Qin, G.; Liu, L.; Zheng, X. Influence Mechanism of Functionalization of CNTs on the Thermal Transport Property of Their Nanofluids. J. Mol. Liq. 2023, 392, 123433. [Google Scholar] [CrossRef]
- Li, S.; Yan, J.; Zhang, Y.; Qin, Y.; Zhang, Y.; Du, S. Comparative Investigation of Carbon Nanotubes Dispersion Using Surfactants: A Molecular Dynamics Simulation and Experimental Study. J. Mol. Liq. 2023, 377, 121569. [Google Scholar] [CrossRef]
- Wang, J.; Yang, X.; Klemeš, J.J.; Tian, K.; Ma, T.; Sunden, B. A Review on Nanofluid Stability: Preparation and Application. Renew. Sustain. Energy Rev. 2023, 188, 113854. [Google Scholar] [CrossRef]
- Dosodia, A.; Vadapalli, S.; Jain, A.K.; Sanduru, B.; Mukkamala, S.B. Effect of Size of Multiwalled Carbon Nanotubes on Thermal Conductivity and Viscosity of Ethylene Glycol-Based Nanofluids for Solar Thermal Applications. Phys. Fluids 2023, 35, 092005. [Google Scholar] [CrossRef]
- Kanti, P.; Sharma, K.V.; Raja Sekhar, Y. Influence of Particle Size on Thermal Conductivity and Dynamic Viscosity of Water-based Indian Coal Fly Ash Nanofluid. Heat. Transf. 2022, 51, 413–433. [Google Scholar] [CrossRef]
- Tong, Y.; Ham, J.; Cho, H. Investigation of Thermo-Optical Properties and Photothermal Conversion Performance of MWCNT, Fe3O4, and ATO Nanofluid for Volumetric Absorption Solar Collector. Appl. Therm. Eng. 2024, 246, 123005. [Google Scholar] [CrossRef]
- Ali, N.; Bahman, A.M.; Aljuwayhel, N.F.; Ebrahim, S.A.; Mukherjee, S.; Alsayegh, A. Carbon-Based Nanofluids and Their Advances towards Heat Transfer Applications—A Review. Nanomaterials 2021, 11, 1628. [Google Scholar] [CrossRef]
- Kasaeian, A.; Daneshazarian, R.; Rezaei, R.; Pourfayaz, F.; Kasaeian, G. Experimental Investigation on the Thermal Behavior of Nanofluid Direct Absorption in a Trough Collector. J. Clean. Prod. 2017, 158, 276–284. [Google Scholar] [CrossRef]
- Sangeetha, M.; Manigandan, S.; Ashok, B.; Brindhadevi, K.; Pugazhendhi, A. Experimental Investigation of Nanofluid Based Photovoltaic Thermal (PV/T) System for Superior Electrical Efficiency and Hydrogen Production. Fuel 2021, 286, 119422. [Google Scholar] [CrossRef]
- Sundar, L.S.; Sintie, Y.T.; Said, Z.; Singh, M.K.; Punnaiah, V.; Sousa, A.C.M. Energy, Efficiency, Economic Impact, and Heat Transfer Aspects of Solar Flat Plate Collector with Al2O3 Nanofluids and Wire Coil with Core Rod Inserts. Sustain. Energy Technol. Assess. 2020, 40, 100772. [Google Scholar] [CrossRef]
- Mohammadi, M.; Taheri, A.; Passandideh-Fard, M.; Sardarabadi, M. Electronic Chipset Thermal Management Using a Nanofluid-Based Mini-Channel Heat Sink: An Experimental Study. Int. Commun. Heat. Mass. Transf. 2020, 118, 104836. [Google Scholar] [CrossRef]
- Wang, X.; Wen, Q.; Yang, J.; Shittu, S.; Wang, X.; Zhao, X.; Wang, Z. Heat Transfer and Flow Characteristic of a Flat Confined Loop Thermosyphon with Ternary Hybrid Nanofluids for Electronic Devices Cooling. Appl. Therm. Eng. 2023, 221, 119758. [Google Scholar] [CrossRef]
- Kumar Sharma, A.; Kumar Tiwari, A.; Rai Dixit, A.; Kumar Singh, R. Measurement of Machining Forces and Surface Roughness in Turning of AISI 304 Steel Using Alumina-MWCNT Hybrid Nanoparticles Enriched Cutting Fluid. Measurement 2020, 150, 107078. [Google Scholar] [CrossRef]
- Qasim, M.; Sajid Kamran, M.; Ammar, M.; Ali Jamal, M.; Yasar Javaid, M. Heat Transfer Enhancement of an Automobile Engine Radiator Using ZnO Water Base Nanofluids. J. Therm. Sci. 2020, 29, 1010–1024. [Google Scholar] [CrossRef]
- Cardenas Contreras, E.M.; Bandarra Filho, E.P. Heat Transfer Performance of an Automotive Radiator with MWCNT Nanofluid Cooling in a High Operating Temperature Range. Appl. Therm. Eng. 2022, 207, 118149. [Google Scholar] [CrossRef]
- Savaş, A.; Şener, R.; Uslu, S.; Der, O. Experimental Study on Performance and Emission Optimization of MgO Nanoparticle-Enriched 2nd Generation Biodiesel: A Method for Employing Nanoparticles to Improve Cleaner Diesel Combustion. J. Energy Inst. 2025, 120, 102024. [Google Scholar] [CrossRef]
- Arshad, A.; Jabbal, M.; Yan, Y.; Reay, D. A Review on Graphene Based Nanofluids: Preparation, Characterization and Applications. J. Mol. Liq. 2019, 279, 444–484. [Google Scholar] [CrossRef]
- Khairul, M.A.; Shah, K.; Doroodchi, E.; Azizian, R.; Moghtaderi, B. Effects of Surfactant on Stability and Thermo-Physical Properties of Metal Oxide Nanofluids. Int. J. Heat. Mass. Transf. 2016, 98, 778–787. [Google Scholar] [CrossRef]
- Akoh, H.; Tsukasaki, Y.; Yatsuya, S.; Tasaki, A. Magnetic Properties of Ferromagnetic Ultrafine Particles Prepared by Vacuum Evaporation on Running Oil Substrate. J. Cryst. Growth 1978, 45, 495–500. [Google Scholar] [CrossRef]
- Wagener, M.; Murty, B.S.; Günther, B. Preparation of Metal Nanosuspensions by High-Pressure DC-Sputtering on Running Liquids. MRS Proc. 1996, 457, 149. [Google Scholar] [CrossRef]
- Eastman, J.A.; Choi, S.U.S.; Li, S.; Yu, W.; Thompson, L.J. Anomalously Increased Effective Thermal Conductivities of Ethylene Glycol-Based Nanofluids Containing Copper Nanoparticles. Appl. Phys. Lett. 2001, 78, 718–720. [Google Scholar] [CrossRef]
- Zhu, H.T.; Lin, Y.S.; Yin, Y.S. A Novel One-Step Chemical Method for Preparation of Copper Nanofluids. J. Colloid. Interface Sci. 2004, 277, 100–103. [Google Scholar] [CrossRef]
- Lo, C.H.; Tsung, T.T.; Chen, L.C.; Su, C.H.; Lin, H.M. Fabrication of Copper Oxide Nanofluid Using Submerged Arc Nanoparticle Synthesis System (SANSS). J. Nanoparticle Res. 2005, 7, 313–320. [Google Scholar] [CrossRef]
- Ali, A.R.I.; Salam, B. A Review on Nanofluid: Preparation, Stability, Thermophysical Properties, Heat Transfer Characteristics and Application. SN Appl. Sci. 2020, 2, 1636. [Google Scholar] [CrossRef]
- Sarsam, W.S.; Amiri, A.; Shanbedi, M.; Kazi, S.N.; Badarudin, A.; Yarmand, H.; Bashirnezhad, K.; Zaharinie, T. Synthesis, Stability, and Thermophysical Properties of Aqueous Colloidal Dispersions of Multi-Walled Carbon Nanotubes Treated with Beta-Alanine. Int. Commun. Heat. Mass. Transf. 2017, 89, 7–17. [Google Scholar] [CrossRef]
- Chen, Z.; Shahsavar, A.; Al-Rashed, A.A.; Afrand, M. The Impact of Sonication and Stirring Durations on the Thermal Conductivity of Alumina-Liquid Paraffin Nanofluid: An Experimental Assessment. Powder Technol. 2020, 360, 1134–1142. [Google Scholar] [CrossRef]
- Chakraborty, S.; Panigrahi, P.K. Stability of Nanofluid: A Review. Appl. Therm. Eng. 2020, 174, 115259. [Google Scholar] [CrossRef]
- Yu, F.; Chen, Y.; Liang, X.; Xu, J.; Lee, C.; Liang, Q.; Tao, P.; Deng, T. Dispersion Stability of Thermal Nanofluids. Prog. Nat. Sci. Mater. Int. 2017, 27, 531–542. [Google Scholar] [CrossRef]
- Oliveira, L.R. Síntese e Caracterização de Nanofluidos Para Aplicação Em Sistemas Térmicos. Ph.D. Thesis, Universidade Federal de Uberlândia, Uberlândia, Brazil, 2018. [Google Scholar] [CrossRef]
- Yu, W.; Xie, H. A Review on Nanofluids: Preparation, Stability Mechanisms, and Applications. J. Nanomater. 2012, 2012, 435873. [Google Scholar] [CrossRef]
- Mehta, B.; Subhedar, D.; Panchal, H.; Said, Z. Synthesis, Stability, Thermophysical Properties and Heat Transfer Applications of Nanofluid—A Review. J. Mol. Liq. 2022, 364, 120034. [Google Scholar] [CrossRef]
- Chiam, H.W.; Azmi, W.H.; Usri, N.A.; Mamat, R.; Adam, N.M. Thermal Conductivity and Viscosity of Al2O3 Nanofluids for Different Based Ratio of Water and Ethylene Glycol Mixture. Exp. Therm. Fluid. Sci. 2017, 81, 420–429. [Google Scholar] [CrossRef]
- Sandhu, H.; Gangacharyulu, D. An Experimental Study on Stability and Some Thermophysical Properties of Multiwalled Carbon Nanotubes with Water–Ethylene Glycol Mixtures. Part. Sci. Technol. 2017, 35, 547–554. [Google Scholar] [CrossRef]
- Hemmat Esfe, M.; Saedodin, S.; Mahian, O.; Wongwises, S. Efficiency of Ferromagnetic Nanoparticles Suspended in Ethylene Glycol for Applications in Energy Devices: Effects of Particle Size, Temperature, and Concentration. Int. Commun. Heat. Mass. Transf. 2014, 58, 138–146. [Google Scholar] [CrossRef]
- Soltanimehr, M.; Afrand, M. Thermal Conductivity Enhancement of COOH-Functionalized MWCNTs/Ethylene Glycol–Water Nanofluid for Application in Heating and Cooling Systems. Appl. Therm. Eng. 2016, 105, 716–723. [Google Scholar] [CrossRef]
- Xie, H.; Wang, J.; Xi, T.; Liu, Y. Thermal Conductivity of Suspensions Containing Nanosized SiC Particles. Int. J. Thermophys. 2002, 23, 571–580. [Google Scholar] [CrossRef]
- Huminic, A.; Huminic, G.; Fleaca, C.; Dumitrache, F.; Morjan, I. Thermal Conductivity, Viscosity and Surface Tension of Nanofluids Based on FeC Nanoparticles. Powder Technol. 2015, 284, 78–84. [Google Scholar] [CrossRef]
- Oliveira, G.A.; Cardenas Contreras, E.M.; Bandarra Filho, E.P. Experimental Study of Thermophysical Properties of MWCNT and Graphene Coolant Nanofluids for Automotive Application. J. Braz. Soc. Mech. Sci. Eng. 2021, 43, 140. [Google Scholar] [CrossRef]
- Arzani, H.K.; Amiri, A.; Kazi, S.N.; Chew, B.T.; Badarudin, A. Experimental and Numerical Investigation of Thermophysical Properties, Heat Transfer and Pressure Drop of Covalent and Noncovalent Functionalized Graphene Nanoplatelet-Based Water Nanofluids in an Annular Heat Exchanger. Int. Commun. Heat. Mass. Transf. 2015, 68, 267–275. [Google Scholar] [CrossRef]
- Chakraborty, S.; Sarkar, I.; Behera, D.K.; Pal, S.K.; Chakraborty, S. Experimental Investigation on the Effect of Dispersant Addition on Thermal and Rheological Characteristics of TiO2 Nanofluid. Powder Technol. 2017, 307, 10–24. [Google Scholar] [CrossRef]
- Xia, G.; Jiang, H.; Liu, R.; Zhai, Y. Effects of Surfactant on the Stability and Thermal Conductivity of Al2O3/Deionized Water Nanofluids. Int. J. Therm. Sci. 2014, 84, 118–124. [Google Scholar] [CrossRef]
- Iyahraja, S.; Rajadurai, J.S. Study of Thermal Conductivity Enhancement of Aqueous Suspensions Containing Silver Nanoparticles. AIP Adv. 2015, 5, 057103. [Google Scholar] [CrossRef]
- Nguyen, C.T.; Desgranges, F.; Roy, G.; Galanis, N.; Maré, T.; Boucher, S.; Angue Mintsa, H. Temperature and Particle-Size Dependent Viscosity Data for Water-Based Nanofluids–Hysteresis Phenomenon. Int. J. Heat. Fluid. Flow. 2007, 28, 1492–1506. [Google Scholar] [CrossRef]
- Khodadadi, H.; Toghraie, D.; Karimipour, A. Effects of Nanoparticles to Present a Statistical Model for the Viscosity of MgO-Water Nanofluid. Powder Technol. 2019, 342, 166–180. [Google Scholar] [CrossRef]
- Ijam, A.; Saidur, R.; Ganesan, P.; Moradi Golsheikh, A. Stability, Thermo-Physical Properties, and Electrical Conductivity of Graphene Oxide-Deionized Water/Ethylene Glycol Based Nanofluid. Int. J. Heat. Mass. Transf. 2015, 87, 92–103. [Google Scholar] [CrossRef]
- Gupta, M.; Singh, V.; Kumar, R.; Said, Z. A Review on Thermophysical Properties of Nanofluids and Heat Transfer Applications. Renew. Sustain. Energy Rev. 2017, 74, 638–670. [Google Scholar] [CrossRef]
- Timofeeva, E.V.; Routbort, J.L.; Singh, D. Particle Shape Effects on Thermophysical Properties of Alumina Nanofluids. J. Appl. Phys. 2009, 106, 014304. [Google Scholar] [CrossRef]
- Borode, A.O.; Ahmed, N.A.; Olubambi, P.A.; Sharifpur, M.; Meyer, J.P. Effect of Various Surfactants on the Viscosity, Thermal and Electrical Conductivity of Graphene Nanoplatelets Nanofluid. Int. J. Thermophys. 2021, 42, 158. [Google Scholar] [CrossRef]
- Pak, B.C.; Cho, Y.I. Hydrodynamic and Heat Transfer Study of Dispersed Fluids with Submicron Metallic Oxide Particles. Exp. Heat. Transf. 1998, 11, 151–170. [Google Scholar] [CrossRef]
- Al-Waeli, A.H.A.; Chaichan, M.T.; Sopian, K.; Kazem, H.A. Influence of the Base Fluid on the Thermo-Physical Properties of PV/T Nanofluids with Surfactant. Case Stud. Therm. Eng. 2019, 13, 100340. [Google Scholar] [CrossRef]
- Chavan, D.; Pise, A. Experimental Investigation of Effective Viscosity and Density of Nanofluids. Mater. Today Proc. 2019, 16, 504–515. [Google Scholar] [CrossRef]
- Sadri, R.; Hosseini, M.; Kazi, S.N.; Bagheri, S.; Abdelrazek, A.H.; Ahmadi, G.; Zubir, N.; Ahmad, R.; Abidin, N.I.Z. A Facile, Bio-Based, Novel Approach for Synthesis of Covalently Functionalized Graphene Nanoplatelet Nano-Coolants toward Improved Thermo-Physical and Heat Transfer Properties. J. Colloid. Interface Sci. 2018, 509, 140–152. [Google Scholar] [CrossRef] [PubMed]
- Kumaresan, V.; Velraj, R. Experimental Investigation of the Thermo-Physical Properties of Water-Ethylene Glycol Mixture Based CNT Nanofluids. Thermochim. Acta 2012, 545, 180–186. [Google Scholar] [CrossRef]
- Xuan, Y.; Roetzel, W. Conceptions for Heat Transfer Correlation of Nanofluids. Int. J. Heat. Mass. Transf. 2000, 43, 3701–3707. [Google Scholar] [CrossRef]
- Adun, H.; Wole-Osho, I.; Okonkwo, E.C.; Kavaz, D.; Dagbasi, M. A Critical Review of Specific Heat Capacity of Hybrid Nanofluids for Thermal Energy Applications. J. Mol. Liq. 2021, 340, 116890. [Google Scholar] [CrossRef]
- Bhattacharjee, S. DLS and Zeta Potential—What They Are and What They Are Not? J. Control. Release 2016, 235, 337–351. [Google Scholar] [CrossRef]
- Reinert, L.; Zeiger, M.; Suárez, S.; Presser, V.; Mücklich, F. Dispersion Analysis of Carbon Nanotubes, Carbon Onions, and Nanodiamonds for Their Application as Reinforcement Phase in Nickel Metal Matrix Composites. RSC Adv. 2015, 5, 95149–95159. [Google Scholar] [CrossRef]
- Jiang, L.; Gao, L.; Sun, J. Production of Aqueous Colloidal Dispersions of Carbon Nanotubes. J. Colloid. Interface Sci. 2003, 260, 89–94. [Google Scholar] [CrossRef]
- Swinehart, F. The Beer-Lambert Law. J. Chem. Educ. 1962, 39, 333–335. [Google Scholar] [CrossRef]
- Taylor, B.N.; Kuyatt, C.E. Guidelines for Evaluating and Expressing the Uncertainty of NIST Measurement; National Institute for Standards and Technology (NIST): Gaithersburg, MD, USA, 1994. Available online: http://physics.nist.gov/TN1297 (accessed on 15 April 2025).
- Choi, T.J.; Jang, S.P.; Kedzierski, M.A. Effect of Surfactants on the Stability and Solar Thermal Absorption Characteristics of Water-Based Nanofluids with Multi-Walled Carbon Nanotubes. Int. J. Heat. Mass. Transf. 2018, 122, 483–490. [Google Scholar] [CrossRef]
- Kumar, P.G.; Kumaresan, V.; Velraj, R. Stability, Viscosity, Thermal Conductivity, and Electrical Conductivity Enhancement of Multi-Walled Carbon Nanotube Nanofluid Using Gum Arabic. Fuller. Nanotub. Carbon. Nanostructures 2017, 25, 230–240. [Google Scholar] [CrossRef]
- ASHRAE Standard. ASHRAE Handbook: Fundamentals; ASHRAE: Atlanta, GA, USA, 2001. [Google Scholar]
- Yu-Hua, L.; Wei, Q.; Jian-Chao, F. Temperature Dependence of Thermal Conductivity of Nanofluids. Chin. Phys. Lett. 2008, 25, 3319–3322. [Google Scholar] [CrossRef]
- Adhami Dehkordi, R.; Hemmat Esfe, M.; Afrand, M. Effects of Functionalized Single Walled Carbon Nanotubes on Thermal Performance of Antifreeze: An Experimental Study on Thermal Conductivity. Appl. Therm. Eng. 2017, 120, 358–366. [Google Scholar] [CrossRef]
- Marquardt, D.W. An Algorithm for Least-Squares Estimation of Nonlinear Parameters. J. Soc. Ind. Appl. Math. 1963, 11, 431–441. [Google Scholar] [CrossRef]
- Mishra, P.C.; Mukherjee, S.; Nayak, S.K.; Panda, A. A Brief Review on Viscosity of Nanofluids. Int. Nano Lett. 2014, 4, 109–120. [Google Scholar] [CrossRef]
- Meyer, J.P.; Adio, S.A.; Sharifpur, M.; Nwosu, P.N. The Viscosity of Nanofluids: A Review of the Theoretical, Empirical, and Numerical Models. Heat. Transf. Eng. 2016, 37, 387–421. [Google Scholar] [CrossRef]









| Author | Nanofluid | Application | Results |
|---|---|---|---|
| [9] | MWCNT/EG SiO2/EG | Parabolic trough solar collector | Thermal efficiency increased by up to 72.8% for MWCNT nanofluids. |
| [10] | Al2O3/Water TiO2/Water MWCNT/Water | Photovoltaic thermal (PV/T) system | Overall energy efficiency increased by 16% for MWCNT nanofluids. |
| [11] | Al2O3/Water | Solar flat plate collector | Thermal efficiency increased by up to 73% for the highest concentration. |
| [12] | SiC/Water | Mini-channel heat sink | Thermal efficiency increased by up to 6.8% for 1 wt% concentration. |
| [13] | Al2O3:Cu:TiO2/Water | Heat pipes for electronic device cooling | The heat transfer enhancement efficiency was 22.5% for nanofluids with 0.3 vol%. |
| [14] | Al2O3-Water/Vegetal oil | Cutting fluid | Reduction in cutting force by 20.2%. |
| [15] | ZnO/Water | Coolant fluid | Heat transfer rate increased by 41%. |
| [16] | MWCNT/EG: Water (50%) | Coolant fluid | Heat transfer rate increased by 4.6%. |
| [17] | MgO/jojoba biodiesel | Combustion engine | Brake thermal efficiency (BTE) increased by 7.3%, attributed to improved combustion efficiency due to the addition of 100 ppm MgO. |
| Material | Morphology | Size | Purity | True Density | Specific Surface Area |
|---|---|---|---|---|---|
| Carbon nanotube (MWCNT) | Cylindric | OD > 50 nm Length: 10–20 μm | >90 wt% | 2.1 g/cm3 | 40 m2/g |
| Fluid | Surfactant | Nanoparticle Concentration [vol.%] | Sample Name |
|---|---|---|---|
| H2O/EG (50:50) vol.% | - | - | Base fluid |
| Multi-walled carbon nanotube/(H2O/EG) (50:50) vol.% | Functionalized solution (SDS) | 0.025 | MWCNT1 |
| 0.05 | MWCNT2 | ||
| 0.1 | MWCNT3 |
| Parameter | Uncertainty |
|---|---|
| Thermal conductivity | 2% |
| Dynamic Viscosity | ±0.35% |
| Density | ±0.0005 g/cm3 |
| Temperature | ±0.02 °C |
| Temperature (°C) | ASHRAE Base Value (W/m°C) | Experimental Value (W/m°C) | Relative Error (%) |
|---|---|---|---|
| 30 | 0.387 | 0.393 | 1.52 |
| 40 | 0.394 | 0.401 | 1.74 |
| 50 | 0.399 | 0.407 | 1.96 |
| 60 | 0.404 | 0.414 | 2.41 |
| 70 | 0.408 | 0.419 | 2.62 |
| 80 | 0.411 | 0.422 | 2.60 |
| Temperature (°C) | ASHRAE Base Value (W/m°C) | Experimental Value (W/m°C) | Relative Error (%) |
|---|---|---|---|
| 30 | 2.94 | 3.06 | 4.03 |
| 40 | 2.26 | 2.32 | 2.69 |
| 50 | 1.78 | 1.81 | 1.92 |
| 60 | 1.43 | 1.46 | 2.11 |
| 70 | 1.17 | 1.19 | 1.90 |
| 80 | 0.98 | 0.99 | 0.36 |
| Sample | Volume Concentration [vol.%] | Density [g/cm3] | Standard Deviation [%] | |
|---|---|---|---|---|
| Experimental | Model | |||
| Base Fluid | - | 1.0496 | 1.0581 | 0.91 |
| MWCNT1 | 0.025 | 1.0502 | 1.0585 | 0.98 |
| MWCNT2 | 0.05 | 1.0508 | 1.0586 | 0.79 |
| MWCNT3 | 0.1 | 1.0517 | 1.0591 | 0.88 |
Disclaimer/Publisher’s Note: The statements, opinions and data contained in all publications are solely those of the individual author(s) and contributor(s) and not of MDPI and/or the editor(s). MDPI and/or the editor(s) disclaim responsibility for any injury to people or property resulting from any ideas, methods, instructions or products referred to in the content. |
© 2025 by the authors. Licensee MDPI, Basel, Switzerland. This article is an open access article distributed under the terms and conditions of the Creative Commons Attribution (CC BY) license (https://creativecommons.org/licenses/by/4.0/).
Share and Cite
Contreras, E.M.C.; Bandarra Filho, E.P.; Martins, G. An Experimental Investigation of the Stability and Thermophysical Properties of MWCNT Nanofluids in a Water–Ethylene Glycol Mixture. Processes 2025, 13, 1333. https://doi.org/10.3390/pr13051333
Contreras EMC, Bandarra Filho EP, Martins G. An Experimental Investigation of the Stability and Thermophysical Properties of MWCNT Nanofluids in a Water–Ethylene Glycol Mixture. Processes. 2025; 13(5):1333. https://doi.org/10.3390/pr13051333
Chicago/Turabian StyleContreras, Edwin Martin Cardenas, Enio Pedone Bandarra Filho, and Gleyzer Martins. 2025. "An Experimental Investigation of the Stability and Thermophysical Properties of MWCNT Nanofluids in a Water–Ethylene Glycol Mixture" Processes 13, no. 5: 1333. https://doi.org/10.3390/pr13051333
APA StyleContreras, E. M. C., Bandarra Filho, E. P., & Martins, G. (2025). An Experimental Investigation of the Stability and Thermophysical Properties of MWCNT Nanofluids in a Water–Ethylene Glycol Mixture. Processes, 13(5), 1333. https://doi.org/10.3390/pr13051333

