Orbital Selectivity in Pure and Electron-Doped MoO2 Superconductor
Abstract
1. Introduction
2. Theory
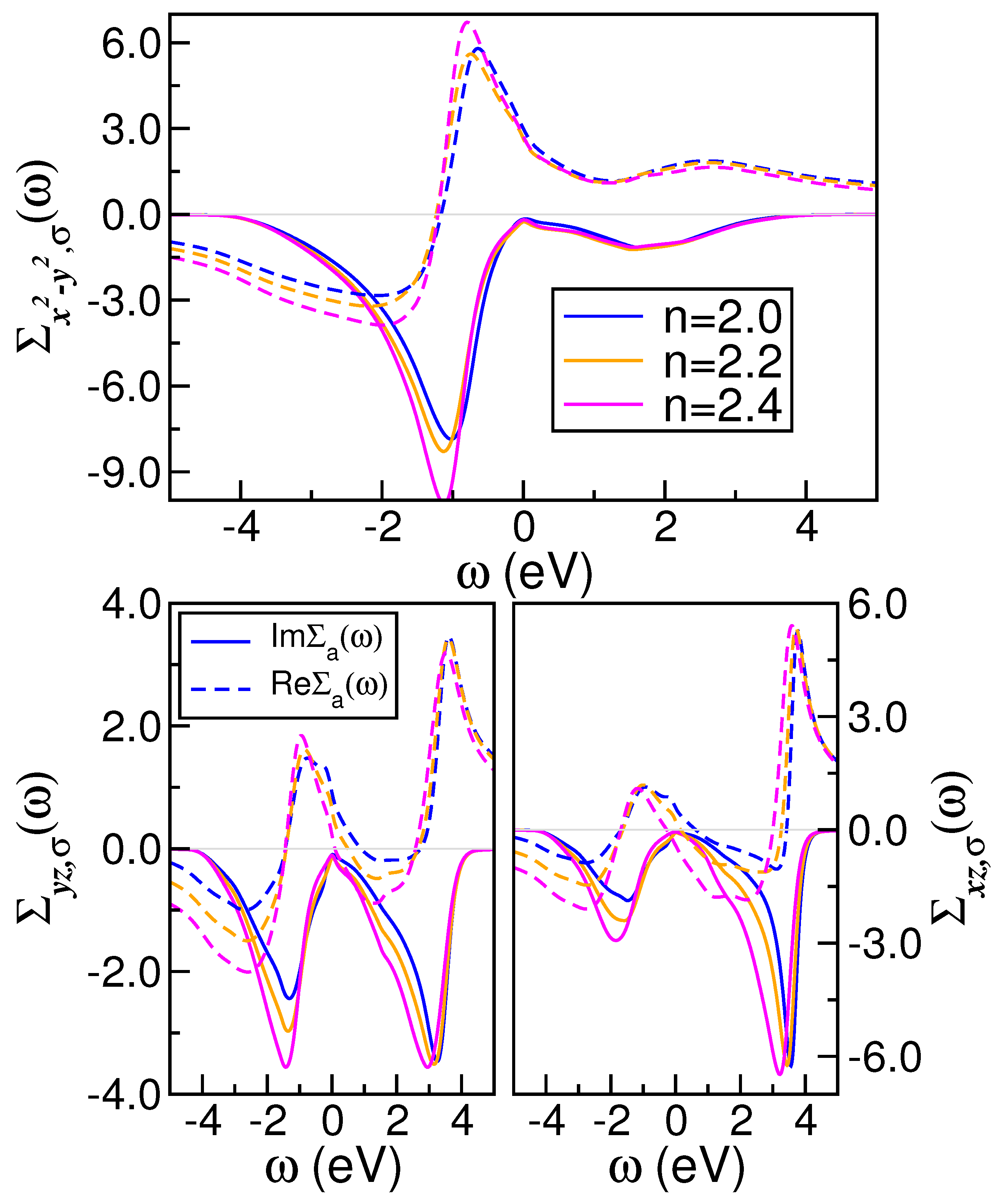
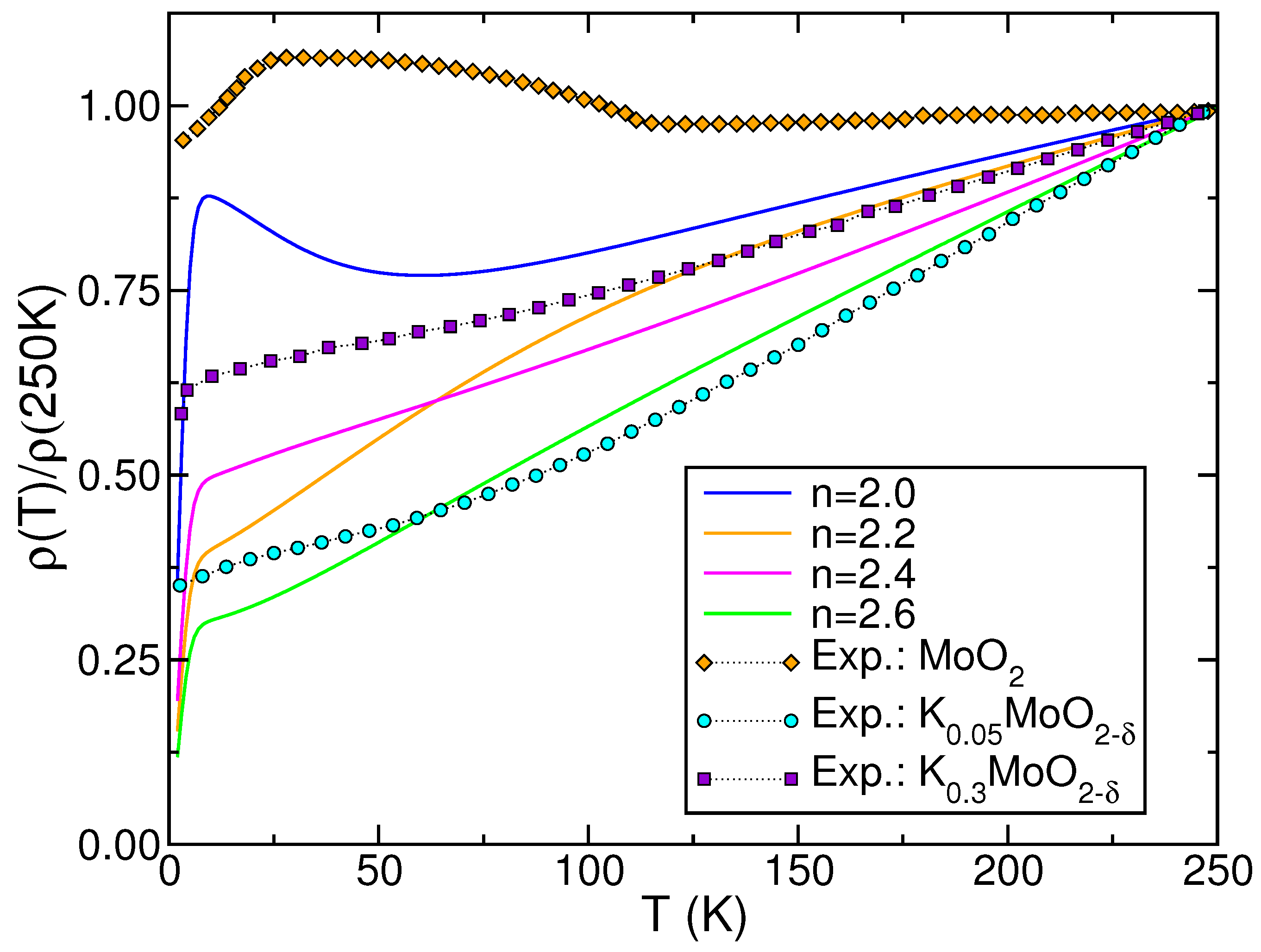
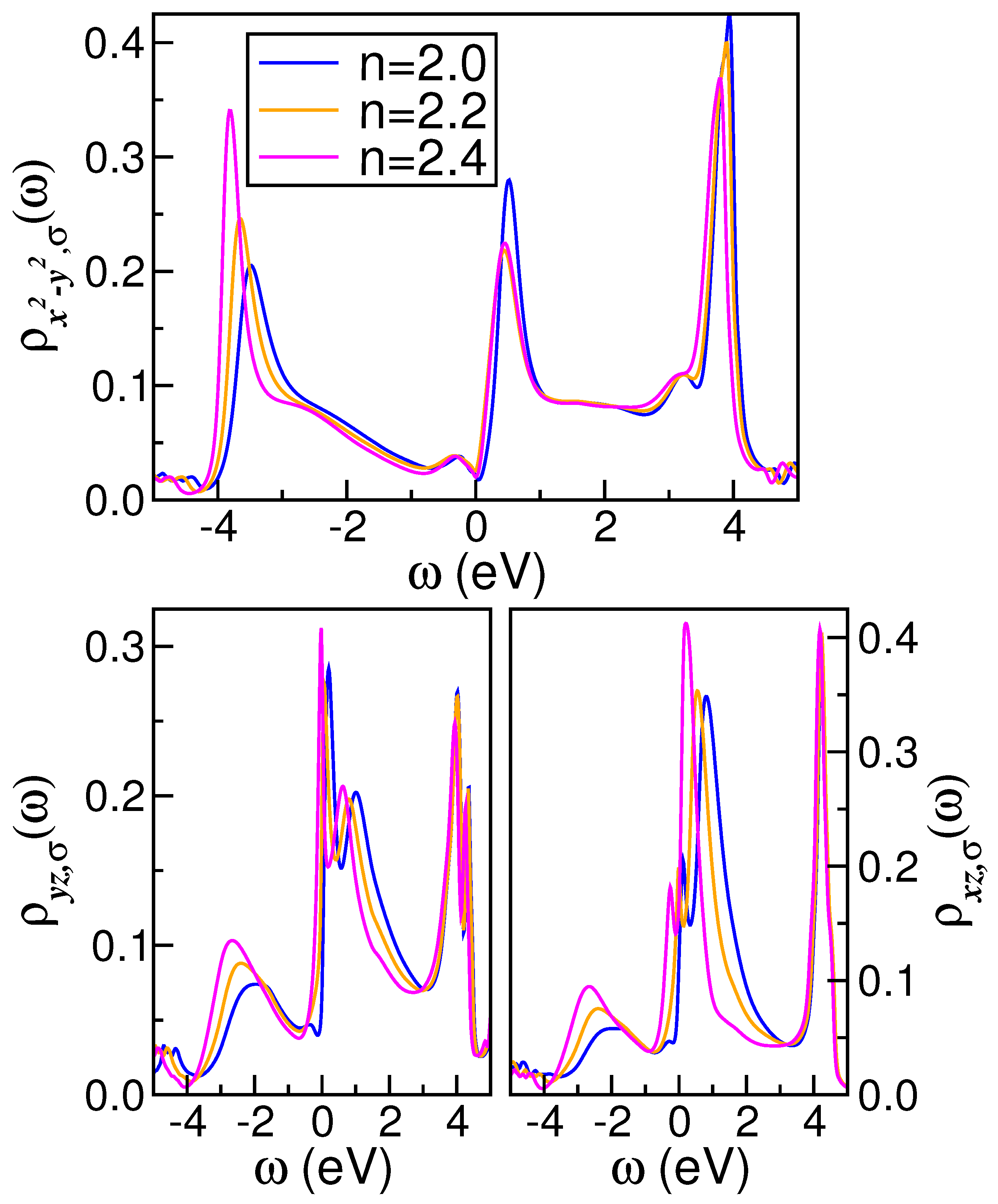
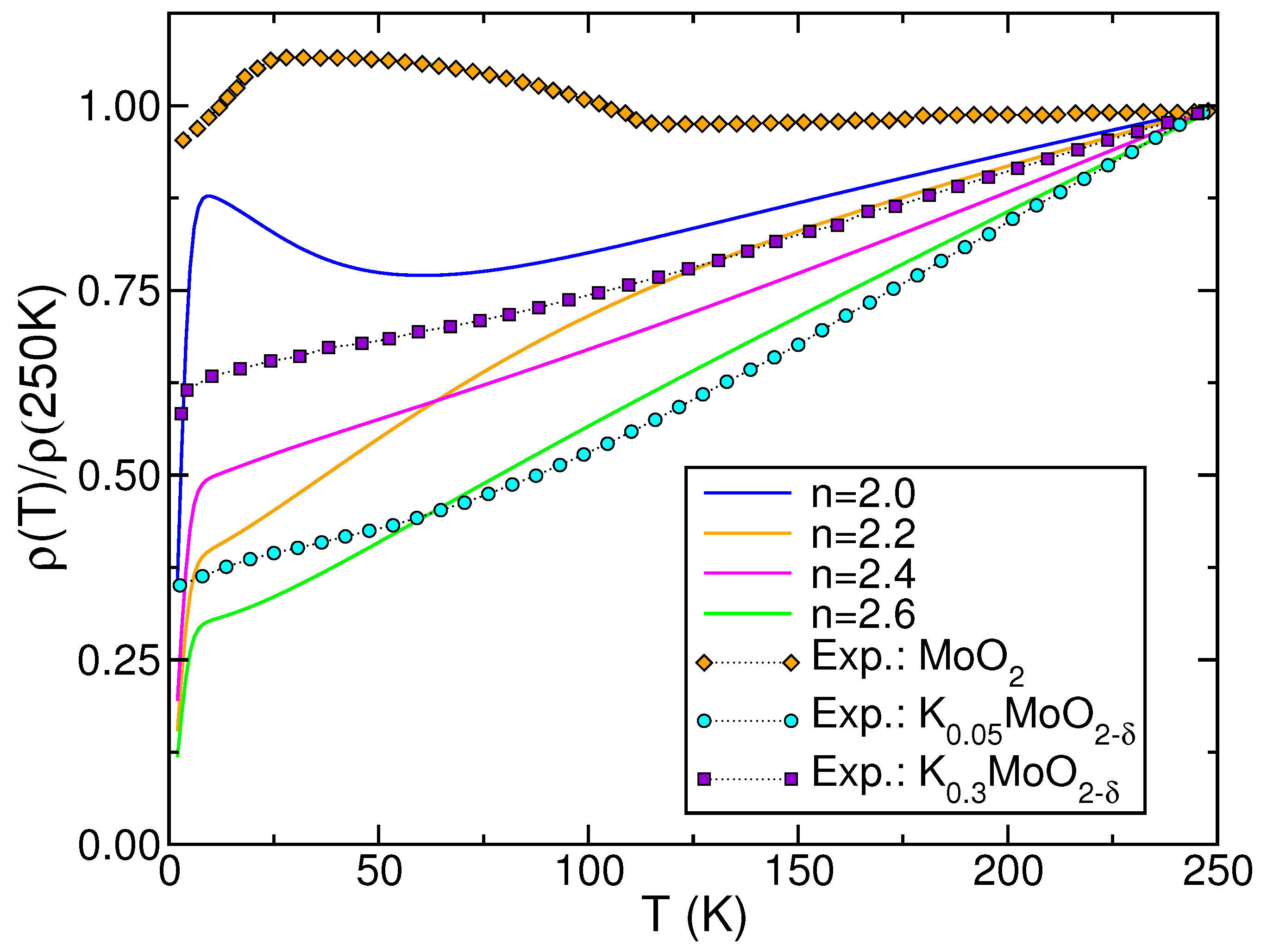
3. Results and Discussion
4. Conclusions
Funding
Data Availability Statement
Acknowledgments
Conflicts of Interest
References
- Stewart, G.R. Non-Fermi-liquid behavior in d- and f-electron metals. Rev. Mod. Phys. 2001, 73, 797–855. [Google Scholar] [CrossRef]
- Yu, R.; Goswami, P.; Si, Q.; Nikolic, P.; Zhu, J.-X. Superconductivity at the border of electron localization and itinerancy. Nat. Commun. 2013, 4, 2783. [Google Scholar] [CrossRef] [PubMed]
- Jaramillo, R.; Ha, S.D.; Silevitch, D.M.; Ramanathan, S. Origins of bad-metal conductivity and the insulator–metal transition in the rare-earth nickelates. Nat. Phys. 2014, 10, 304–307. [Google Scholar] [CrossRef]
- Emery, V.J.; Kivelson, S.A. Superconductivity in bad metals. Phys. Rev. Lett. 1995, 74, 3253. [Google Scholar] [CrossRef] [PubMed]
- Imada, M.; Fujimori, A.; Tokura, Y. Metal-insulator transitions. Rev. Mod. Phys. 1998, 70, 1039. [Google Scholar] [CrossRef]
- Alves, L.M.S.; Damasceno, V.I.; dos Santos, C.A.M.; Bortolozo, A.D.; Suzuki, P.A.; Izario Filho, H.J.; Machado, A.J.S.; Fisk, Z. Unconventional metallic behavior and superconductivity in the K-Mo-O system. Phys. Rev. B 2010, 81, 174532. [Google Scholar] [CrossRef]
- Alves, L.M.S.; dos Santos, C.A.M.; Benaion, S.S.; Machado, A.J.S.; de Lima, B.S.; Neumeier, J.J.; Marques, M.D.R.; Aguiar, J.A.; Mossanek, R.J.O.; Abbate, M. Superconductivity and magnetism in the KxMoO2−δ. J. Appl. Phys. 2012, 112, 073923. [Google Scholar] [CrossRef]
- Alves, L.M.S.; Benaion, S.S.; Romanelli, C.M.; dos Santos, C.A.M.; da Luz, M.S.; de Lima, B.S.; Oliveira, F.S.; Machado, A.J.S.; Guedes, E.B.; Abbate, M.; et al. Electrical Resistivity in Non-stoichiometric MoO2. Braz. J. Phys. 2015, 45, 234–237. [Google Scholar] [CrossRef]
- Georges, A.; Kotliar, G.; Krauth, W.; Rozenberg, M.J. Dynamical mean-field theory of strongly correlated fermion systems and the limit of infinite dimensions. Rev. Mod. Phys. 1996, 68, 13. [Google Scholar] [CrossRef]
- Ahn, E.; Seo, Y.-S.; Cho, J.; Lee, I.; Hwangb, J.; Jeen, H. Epitaxial growth and metallicity of rutile MoO2 thin film. RSC Adv. 2016, 6, 60704–60708. [Google Scholar] [CrossRef]
- Chen, Q.; Lou, Z.; Zhang, S.N.; Xu, B.; Zhou, Y.; Chen, H.; Chen, S.; Du, J.; Wang, H.; Yang, J.; et al. Large magnetoresistance and nonzero Berry phase in the nodal-line semimetal MoO2. Phys. Rev. B 2020, 102, 165133. [Google Scholar] [CrossRef]
- Ma, C.-H.; Lin, J.-C.; Liu, H.-J.; Do, T.H.; Zhu, Y.-M.; Ha, T.D.; Zhan, Q.; Juang, J.-Y.; He, Q.; Arenholz, E.; et al. Van der Waals epitaxy of functional MoO2 film on mica for flexible electronics. Appl. Phys. Lett. 2016, 108, 253104. [Google Scholar] [CrossRef]
- Bhosle, V.; Tiwari, A.; Narayan, J. Epitaxial growth and properties of MoOx (2 ≤ x ≤ 2.75) films. J. Appl. Phys. 2005, 97, 083539. [Google Scholar] [CrossRef]
- Limtragool, K.; Setty, C.; Leong, Z.; Phillips, P.W. Realizing infrared power-law liquids in the cuprates from unparticle interactions. Phys. Rev. B 2016, 94, 23512. [Google Scholar] [CrossRef]
- Leong, Z.; Setty, C.; Limtragool, K.; Phillips, P.W. Power-law liquid in cuprate superconductors from fermionic unparticles. Phys. Rev. B 2017, 96, 205101. [Google Scholar] [CrossRef]
- Shao, Z.; Cao, X.; Luo, H.; Jin, P. Recent progress in the phase-transition mechanism and modulation of vanadium dioxide materials. NPG Asia Mater. 2018, 10, 581. [Google Scholar] [CrossRef]
- Adler, D. Mechanisms for metal-nonmental transitions in transition-metal oxides and sulfides. Rev. Mod. Phys. 1968, 40, 714. [Google Scholar] [CrossRef]
- Wahila, M.J.; Paez, G.; Singh, C.N.; Regoutz, A.; Sallis, S.; Zuba, M.J.; Rana, J.; Tellekamp, R.M.B.; Boschker, J.E.; Markurt, T.; et al. Evidence of a second-order Peierls-driven metal-insulator transition in crystalline NbO2. Phys. Rev. Mater. 2019, 3, 074602. [Google Scholar] [CrossRef]
- Stoever, J.; Boschker, J.E.; Anooz, S.B.; Schmidbauer, M.; Petrik, P.; Schwarzkopf, J.; Albrecht, M.; Irmscher, K. Approaching the high intrinsic electrical resistivity of NbO2 in epitaxially grown films. Appl. Phys. Lett. 2020, 116, 182103. [Google Scholar] [CrossRef]
- Mott, N.F. Metal-insulator transition. Rev. Mod. Phys. 1968, 40, 677. [Google Scholar] [CrossRef]
- Goodenough, J.B. The two components of the crystallographic transition in VO2. J. Solid State Chem. 1971, 3, 490–500. [Google Scholar] [CrossRef]
- Biermann, S.; Poteryaev, A.; Lichtenstein, A.I.; Georges, A. Dynamical singlets and correlation-assisted Peierls transition in VoO2. Phys. Rev. Lett. 2005, 94, 026404. [Google Scholar] [CrossRef]
- Weber, C.; O’Regan, D.D.; Hine, N.D.M.; Payne, M.C.; Kotliar, G.; Littlewood, P.B. Vanadium dioxide: A Peierls-Mott insulator stable against disorder. Phys. Rev. Lett. 2012, 108, 256402. [Google Scholar] [CrossRef] [PubMed]
- Brito, W.H.; Aguiar, M.G.O.; Haule, K.; Kotliar, G. Metal-insulator transition in VO2: A DFT+DMFT perspective. Phys. Rev. Lett. 2016, 117, 056402. [Google Scholar] [CrossRef]
- Brito, W.H.; Aguiar, M.G.O.; Haule, K.; Kotliar, G. Dynamic electronic correlation effects in NbO2 as compared to VO2. Phys. Rev. B 2017, 96, 195102. [Google Scholar] [CrossRef]
- Kim, S.; Backes, S.; Yoon, H.; Kim, W.; Sohn, C.; Son, J.; Biermann, S.; Noh, T.W.; Park, S.Y. Orbital-selective Mott and Peierls transition in HxVO2. NPJ Quantum Mater. 2022, 7, 95. [Google Scholar] [CrossRef]
- Craco, L.; Leoni, S. All-t2g2g electronic orbital reconstruction of monoclinic MoO2 battery material. Appl. Sci. 2020, 10, 5730. [Google Scholar] [CrossRef]
- Kotliar, G.; Savrasov, S.Y.; Haule, K.; Oudovenko, V.S.; Parcollet, O.; Marianetti, C.A. Electronic structure calculations with dynamical mean-field theory. Rev. Mod. Phys. 2006, 78, 865. [Google Scholar] [CrossRef]
- Eyert, V.; Horny, R.; Höck, K.-H.; Horn, S. Embedded Peierls instability and the electronic structure of MoO2. J. Phys. Condens. Matter 2000, 12, 4923. [Google Scholar] [CrossRef]
- Moosburger-Will, J.; Kündel, J.; Klemm, M.; Horn, S.; Hofmann, P.; Schwingenschlögl, U.; Eyert, V. Fermi surface of MoO2 studied by angle-resolved photoemission spectroscopy, de Haas–van Alphen measurements, and electronic structure calculations. Phys. Rev. B 2009, 79, 115113. [Google Scholar] [CrossRef]
- Pavoni, E.; Modreanu, M.G.; Mohebbi, E.; Mencarelli, D.; Stipa, P.; Laudadio, E.; Pierantoni, L. First-principles calculation of MoO2 and MoO3 electronic and optical properties compared with experimental data. Nanomaterials 2023, 13, 1319. [Google Scholar] [CrossRef]
- Katayama, N.; Takeda, H.; Yamaguchi, T.; Yamada, Y.; Iida, K.; Takigawa, M.; Ohta, Y.; Sawa, H. Robust atomic orbital in the cluster magnet LiMoO2. Phys. Rev. B 2020, 102, 081106. [Google Scholar] [CrossRef]
- Deng, X.; Mravlje, J.; Žitko, R.; Ferrero, M.; Kotliar, G.; Georges, A. How bad metals turn good: Spectroscopic signatures of resilient quasiparticles. Phys. Rev. Lett. 2013, 110, 086401. [Google Scholar] [CrossRef] [PubMed]
- Kwon, B.W.; Ellefson, C.; Breit, J.; Kim, J.; Norton, M.G.; Ha, S. Molybdenum dioxide-based anode for solid oxide fuel cell applications. J. Power Sources 2013, 243, 203–210. [Google Scholar] [CrossRef]
- Kwon, B.W.; Hu, S.; Marin-Flores, O.; Norton, M.G.; Kim, J.; Scudiero, L.; Breit, J.; Ha, S. High-performance molybdenum dioxide-based anode for dodecane-fueled solid-oxide fuel cells (SOFCs). Energy Technol. 2014, 2, 425–430. [Google Scholar] [CrossRef]
- Shon, J.K.; Lee, H.S.; Park, G.O.; Yoon, J.; Park, E.; Park, G.S.; Kong, S.S.; Jin, M.; Choi, J.-M.; Chang, H.; et al. Discovery of abnormal lithium-storage sites in molybdenum dioxide electrodes. Nat. Comm. 2016, 7, 11049. [Google Scholar] [CrossRef] [PubMed]
- Sun, Y.; Hu, X.; Yu, J.C.; Li, Q.; Luo, W.; Yuan, L.; Zhang, W.; Huang, Y. Morphosynthesis of a hierarchical MoO2 nanoarchitecture as a binder-free anode for lithium-ion batteries. Energy Environ. Sci. 2011, 4, 2870–2877. [Google Scholar] [CrossRef]
- Sen, U.K.; Shaligram, A.; Mitra, S. Intercalation anode material for lithium ion battery based on molybdenum dioxide. ACS Appl. Mater. Interfaces 2014, 6, 14311–14319. [Google Scholar] [PubMed]
- Lee, W.; Cho, C.J.; Lee, W.C.; Hwang, C.S.; Changa, R.P.H.; Kim, S.K. MoO2 as a thermally stable oxide electrode for dynamic random-access memory capacitors. J. Mater. Chem. C 2018, 6, 13250–13256. [Google Scholar] [CrossRef]
- Yadav, R.; Poudyal, S.; Rajarapu, R.; Biswal, B.; Barman, P.K.; Kasiviswanathan, S.; Novoselov, K.S.; Misra, A. Low power volatile and nonvolatile memristive devices from 1D MoO2-MoS2 core–shell heterostructures for future bio-inspired computing. Small 2024, 20, 2309163. [Google Scholar] [CrossRef] [PubMed]
- Stoeberl, V.; Abbate, M.; Alves, L.M.S.; dos Santos, C.A.M.; Mossanek, R.J.O. X-ray spectroscopy and electronic structure of MoO2. J. Alloys Compds. 2017, 691, 138–143. [Google Scholar] [CrossRef]
- Eyert, V. The metal-insulator transitions of VO2: A band theoretical approach. Ann. Phys. (Leipzig) 2002, 11, 650–704. [Google Scholar] [CrossRef]
- Eyert, V. The metal-insulator transition of NbO2: An embedded Peierls instability. Europhys. Lett. 2002, 58, 851. [Google Scholar] [CrossRef]
- Kulmus, K.; Gemming, S.; Schreiber, M.; Pashov, D.; Acharya, A. Theoretical evidence for the Peierls transition in NbO2. Phys. Rev. B 2021, 104, 035128. [Google Scholar] [CrossRef]
- Stoeberl, V.; Guedes, E.B.; Abbate, M.; Abud, F.; Jardim, R.F.; Mossanek, R.J.O. Charge screening effects in the resonant photoemission of Rh2O3, RuO2, and MoO2. Phys. Rev. B 2020, 102, 155122. [Google Scholar] [CrossRef]
- Prakash, R.; Choudhary, R.J.; Phase, D.M. Electronic structure of Fe (0–5 at.%) doped MoO2 thin films studied by resonant photoemission spectroscopy. J. Phys. Condens. Matter 2008, 20, 335225. [Google Scholar] [CrossRef][Green Version]
- Werfel, F.; Minni, E. Photoemission study of the electronic structure of Mo and Mo oxides. J. Phys. C Solid State Phys. 1983, 16, 6091. [Google Scholar] [CrossRef]
- Chase, L.L. Optical properties of CrO2 and MoO2 from 0.1 to 6 eV. Phys. Rev. B 1974, 10, 2226. [Google Scholar] [CrossRef]
- Dissanayake, M.A.K.; Chase, L.L. Optical properties of CrO2, MoO2, and WO2 in the range 0.2–6 eV. Phys. Rev. B 1978, 18, 6872. [Google Scholar] [CrossRef]
- Prakash, R.; Phase, D.M.; Choudhary, R.J.; Kumar, R. Structural, electrical, and magnetic properties of Mo1−xFexO2 (x = 0–0.05) thin films grown by pulsed laser ablation. J. Appl. Phys. 2008, 103, 043712. [Google Scholar] [CrossRef]
- Shi, Y.; Guo, B.; Corr, S.A.; Shi, Y.Q.; Hu, Y.-S.; Heier, K.R.; Chen, L.; Seshadri, R.; Stucky, G.D. Ordered mesoporous metallic MoO2 materials with highly reversible lithium storage capacity. Nano Lett. 2009, 9, 4215–4220. [Google Scholar] [CrossRef] [PubMed]
- Sun, Y.M.; Hu, X.L.; Luo, W.; Xia, F.F.; Huang, Y.H. Developments in molybdenum oxides as anode materials in lithium-ion batteries. Chin. Sci. Bull. 2013, 58, 3254. [Google Scholar]
- Yang, Z.; Sheng, H.; Guo, Z.; Zhang, R.; Wu, Q.; Weng, H.; Fang, Z.; Wang, Z. Superconductivity in unconventional metals. NPJ Comput. Mater. 2024, 10, 25. [Google Scholar] [CrossRef]
- Laad, M.S.; Craco, L.; Müller-Hartmann, E. Metal-insulator transition in rutile-based VO2. Phys. Rev. B 2006, 73, 195120. [Google Scholar] [CrossRef]
- Liebsch, A.; Ishida, H.; Bihlmayer, G. Coulomb correlations and orbital polarization in the metal-insulator transition of VO2. Phys. Rev. B 2005, 71, 085109. [Google Scholar] [CrossRef]
- Tomczak, J.M.; Biermann, S. Effective band structure of correlated materials: The case of VO2. J. Phys. Condens. Matter 2007, 19, 365206. [Google Scholar] [CrossRef]
- Tomczak, J.M.; Aryasetiawan, F.; Biermann, S. Effective bandstructure in the insulating phase versus strong dynamical correlations in metallic VO2. Phys. Rev. B 2008, 78, 115103. [Google Scholar] [CrossRef]
- Mlkvik, P.; Merkel, M.E.; Spaldin, N.A.; Ederer, C. Single-site DFT+DMFT for vanadium dioxide using bond-centered orbitals. Phys. Rev. Res. 2024, 6, 033122. [Google Scholar]
- Belozerov, A.S.; Korotin, M.A.; Anisimov, V.I.; Poteryaev, A.I. Monoclinic M1 phase of VO2: Mott-Hubbard versus band insulator. Phys. Rev. B 2012, 85, 045109. [Google Scholar] [CrossRef]
- Gatti, M.; Bruneval, F.; Olevano, V.; Reining, L. Understanding correlations in vanadium dioxide from first principles. Phys. Rev. Lett. 2007, 99, 266402. [Google Scholar] [CrossRef] [PubMed]
- Weber, C.; Acharya, S.; Cunningham, B.; Grüning, M.; Zhang, L.; Zhao, H.; Tan, Y.; Zhang, Y.; Zhang, C.; Liu, K.; et al. Role of the lattice in the light-induced insulator-to-metal transition in vanadium dioxide. Phys. Rev. Res. 2020, 2, 023076. [Google Scholar] [CrossRef]
- Craco, L. Orbital-selective electronic localization in dimerized NbO2: From Peierls to Mott. Phys. Rev. B 2024, 109, 235136. [Google Scholar] [CrossRef]
- Liu, T.-c.; Gaines, D., II; Kim, H.; Salgado-Casanova, A.; Torrisi, S.B.; Chris Wolverton, C. Anomalous reversal of stability in Mo-containing oxides: A difficult case exhibiting sensitivity to DFT+U and distortion. arXiv 2025, arXiv:2501.04434. [Google Scholar]
- Scanlon, D.O.; Watson, G.W.; Payne, D.J.; Atkinson, G.R.; Egdell, R.G.; Law, D.S.L. Theoretical and experimental study of the electronic structures of MoO3 and MoO2. J. Phys. Chem. C 2010, 114, 4636. [Google Scholar] [CrossRef]
- Solovyev, I.V. Effects of crystal structure and on-site Coulomb interactions on the electronic and magnetic structure of A2Mo2O7 (A = Y, Gd, and Nd) pyrochlores. Phys. Rev. B 2003, 67, 174406. [Google Scholar] [CrossRef]
- Coquet, D.; Willock, D. The (010) surface of α-MoO3, a DFT+U study. Phys. Chem. Chem. Phys. 2005, 7, 3819–3828. [Google Scholar] [CrossRef] [PubMed]
- Wang, F.; Pang, Z.; Lin, L.; Fang, S.; Dai, Y.; Han, S. Origin of magnetism in undoped MoO2 studied by first-principles calculations. Phys. Rev. B 2010, 81, 134407. [Google Scholar] [CrossRef]
- Wadati, H.; Yoshimatsu, K.; Kumigashira, H.; Oshima, M.; Sugiyama, T.; Ikenaga, E.; Fujimori, A.; Mravlje, J.; Georges, A.; Radetinac, A.; et al. Photoemission and DMFT study of electronic correlations in SrMoO3: Effects of Hund’s rule coupling and possible plasmonic sideband. Phys. Rev. B 2014, 90, 205131. [Google Scholar] [CrossRef]
- Chadov, S.; Qi, X.; Kübler, J.; Fecher, G.H.; Felser, C.; Zhang, S.C. Tunable multifunctional topological insulators in ternary Heusler compounds. Nat. Mater. 2010, 9, 541–545. [Google Scholar] [CrossRef] [PubMed]
- Wentzcovich, R.; Schulz, W.; Allen, P.B. VO2: Peierls or Mott-Hubbard? A view from band theory. Phys. Rev. Lett. 1994, 72, 3389. [Google Scholar] [CrossRef]
- Wentzcovich, R.; Schulz, W.; Allen, P.B. Resistivity of the high-temperature metallic phase of VO2. Phys. Rev. B 1993, 48, 4359. [Google Scholar]
- Craco, L. Quantum orbital entanglement: A view from the extended periodic Anderson model. Phys. Rev. B 2008, 77, 125122. [Google Scholar] [CrossRef]
- Dasari, N.; Mondal, W.R.; Zhang, P.; Moreno, J.; Jarrell, M.; Vidhyadhiraja, N.S. A multi-orbital iterated perturbation theory for model Hamiltonians and real material-specific calculations of correlated systems. Eur. Phys. J. B 2016, 89, 202. [Google Scholar] [CrossRef]
- Abrahams, A.; Si, Q. Quantum criticality in the iron pnictides and chalcogenides. J. Phys. Condens. Matter. 2011, 23, 223201. [Google Scholar] [CrossRef]
- Irfan, M.; Sattar, A.; Bashir, A.I.; Mustafa, H.; Khan, S.N.; Latif, H.; Pang, W.; Qin, S. A potential candidate material for quantum anomalous Hall effect: Heterostructures of ferromagnetic insulator and graphene. Phys. B Condensed Matter 2024, 673, 415439. [Google Scholar] [CrossRef]
- Craco, L.; Leoni, S. Orbital-selective nature of the 3d electronic structure of the ThFeAsN superconductor. Phys. Rev. B 2011, 103, 075110. [Google Scholar] [CrossRef]
- Varma, C.M.; Littlewood, P.B.; Schmitt-Rink, S.; Abrahams, E.; Ruckenstein, A.E. Phenomenology of the normal state of Cu-O high-temperature superconductors. Phys. Rev. Lett. 1989, 63, 1996. [Google Scholar] [CrossRef] [PubMed]
- Neilson, J.R.; Llobet, A.; Stier, A.V.; Wu, L.; Wen, J.; Tao, J.; Zhu, Y.; Tesanovic, Z.B.; Armitage, N.P.; McQueen, T.M. Mixed-valence-driven heavy-fermion behavior and superconductivity in KNi2Se2. Phys. Rev. B 2012, 86, 054512. [Google Scholar] [CrossRef]
- Bardeen, J. Two-fluid model of superconductivity. Phys. Rev. Lett. 1958, 1, 399. [Google Scholar] [CrossRef]
- Grenzebach, C.; Anders, F.A.; Czycholl, G. Transport properties of heavy-fermion systems. Phys. Rev. B 2006, 74, 195119. [Google Scholar] [CrossRef]
- Urasaki, K.; Saso, T. Correlation effects on optical conductivity of FeSi. J. Phys. Soc. Jpn. 1999, 68, 3477–3480. [Google Scholar] [CrossRef]
- Saso, T. Calculation of optical Conductivity of YbB12 using realistic tight-binding model. J. Phys. Soc. Jpn. 2004, 73, 2894–2899. [Google Scholar] [CrossRef]
- Baldassarre, L.; Perucchi, A.; Nicoletti, D.; Toschi, A.; Sangiovanni, G.; Held, K.; Capone, M.; Ortolani, M.; Malavasi, L.; Marsi, M.; et al. Quasiparticle evolution and pseudogap formation in V2O3: An infrared spectroscopy study. Phys. Rev. B 2008, 77, 113107. [Google Scholar] [CrossRef]
- Holman, K.L.; McQueen, T.M.; Williams, A.J.; Klimczuk, T.; Stephens, P.W.; Zandbergen, H.W.; Xu, Q.; Ronning, F.; Cava, R.J. Insulator to correlated metal transition in V1−xMoxO2. Phys. Rev. B 2009, 79, 245114. [Google Scholar] [CrossRef]






Disclaimer/Publisher’s Note: The statements, opinions and data contained in all publications are solely those of the individual author(s) and contributor(s) and not of MDPI and/or the editor(s). MDPI and/or the editor(s) disclaim responsibility for any injury to people or property resulting from any ideas, methods, instructions or products referred to in the content. |
© 2025 by the author. Licensee MDPI, Basel, Switzerland. This article is an open access article distributed under the terms and conditions of the Creative Commons Attribution (CC BY) license (https://creativecommons.org/licenses/by/4.0/).
Share and Cite
Craco, L. Orbital Selectivity in Pure and Electron-Doped MoO2 Superconductor. Processes 2025, 13, 565. https://doi.org/10.3390/pr13020565
Craco L. Orbital Selectivity in Pure and Electron-Doped MoO2 Superconductor. Processes. 2025; 13(2):565. https://doi.org/10.3390/pr13020565
Chicago/Turabian StyleCraco, Luis. 2025. "Orbital Selectivity in Pure and Electron-Doped MoO2 Superconductor" Processes 13, no. 2: 565. https://doi.org/10.3390/pr13020565
APA StyleCraco, L. (2025). Orbital Selectivity in Pure and Electron-Doped MoO2 Superconductor. Processes, 13(2), 565. https://doi.org/10.3390/pr13020565
