Abstract
The separation and purification of molecular compounds and their functionalized derivatives is a common challenge in organic synthesis. In particular, calix[4]resorcinarenes present a high potential for chemical derivatization at their upper edge by aminomethylation reactions, and these compounds and their derivatives require appropriate analytical methodologies for their analysis, separation, and purification. In this study, C-tetra(propyl)calix[4]resorcinarene was synthesized and functionalized with maleimide groups by optimized aminomethylation reactions, obtaining a mixture of mono-, di-, tri-, and tetrasubstituted compounds. Initial separation by RP-HPLC with a core-shell column showed poorly resolved peaks, indicating a loss of separation efficiency. Therefore, a monolithic C18 column was used, which significantly improved the separation, thanks to its larger pore volume and continuous structure facilitating the diffusion of these bulky molecules, notably improving efficiency. Finally, the six compounds functionalized with maleimide groups were efficiently separated and enriched by RP-SPE by analytical method transfer, and the two peptides of six and the thirteen residues derived from LfcinB (20–25): RRWQWR were synthesized by SPPS-Fmoc/tBu and purified. These were modularly linked by the Michael thiol-maleimide addition reaction obtaining six (peptide)n-resorcinarene conjugates. The analytical method by RP-HPLC with a monolithic C18 column, the separation and purification by RP-SPE were used transversally in all the steps to obtain compounds with adequate purities and quantities. Finally, the antibacterial activities of the six conjugates were evaluated against E. coli and E. faecalis strains, and it was determined that three aminomethylated compounds and one monosubstituted conjugate showed activity against E. faecalis. Our work established a new modular conjugation strategy between calix[4]resorcinarenes and peptides by thiol-maleimide click chemistry, and a methodology of separation, purification, and enrichment for these products by RP-HPLC and RP-SPE, which permitted us to obtain quantities with purities appropriate for their characterization by NMR, LC-MS and antibacterial activity assays.
1. Introduction
The polyhydroxylated macrocyclic molecules, known as resorcinarenes or calix[n]resorcinarenes, are obtained from the condensation between resorcinol and aldehyde, generating structures of eight, six or, more commonly, four resorcinol units. This process is facilitated by the presence of phenolic hydroxyl groups, which act as electro-donating groups that promote cyclocondensation [1,2]. Calix[4]resorcinarenes are three-dimensional structures that can adopt various conformations, with the rccc-crown (C4v) being the most stable. These molecules stand out as versatile chemical building blocks, allowing the development of novel macrocyclic architectures due to their capacity to incorporate reactive functional groups at both the lower and upper edges of their structure. The most important structural modifications in calix[4]resorcinarenes are (i) functionalization at position 2 or ortho position (upper edge), (ii) functionalization at the hydroxyl groups (upper edge), and (iii) functionalization at the methylene bridge (lower edge) [2,3].
The central cavity and concave architecture of the rccc-crown conformers position calix[4]resorcinarenes as prominent candidates in supramolecular chemistry, as they can form non-covalent complexes with various molecules, acting as molecular receptors. Applications of calix[4]resorcinarene derivatives include the following: (i) ion transporter, (ii) multidentate ligands, (iii) cavitands and capsules, such as drugs administration vehicles [4], (iv) host-guest systems in molecular recognition, (v) stationary phases in HPLC or as solid-phase extraction materials [5,6], and (vi) platforms for synthesizing therapeutic conjugates. Notably, eight ibuprofen molecules have been covalently attached to the top edge of a resorcinarene scaffold to form PAMAM-resorcinarenes, through amide bond formation. This (Ibuprofen)8-Resorcinarene conjugate exhibited anticancer activity against different cancer cell lines, including breast cancer (MDA), gliobastoma (U251), and lung adenocarcinoma (SKLU-1) [7,8]. Similarly, dendrimer-resorcinarene conjugates incorporating naproxen and chlorambucil molecules have been reported [9,10]. Another example involves (peptide)4-resorcinarene conjugates synthesized via Copper(I)-catalyzed Azide-Alkyne Cycloaddition (CuAAC), starting from C-tetra(hydroxyphenyl)calix[4]resorcinarene functionalized with alkyne groups at the lower edge, and azide-functionalized peptide sequences, such as K(N3)RRWQWR or K(N3)RLLR, which exhibited antibacterial activity [11].
The Mannich-type aminomethylation reaction allows the functionalization of the upper rim of calix[4]resorcinarene at position 2. This reaction involves primary or secondary amines and a methylation agent, such as formaldehyde [12]. Under certain conditions, a second aminomethylation cycle may occur with primary amines, potentially leading to the formation of a benzoxazine, a heterocycle structure where an oxazine ring containing one oxygen and one nitrogen atom is attached to a phenolic benzene ring in the resorcinarene [13]. Molecular motifs, such as natural, unnatural amino acids [14,15] and N-methyl-D-glucamine have been introduced using this strategy [16].
The incorporation of highly reactive motifs by aminomethylation at the top edge of a calix[4]resorcinarene provides opportunities for modular conjugation using click chemistry. In this context, the Michael thiol-maleimide addition reaction is highly selective, occurs under mild conditions, and is considered one of the most versatile in organic synthesis and bioconjugation due to its fast kinetics, quantitative conversion, good yields, and no formation of side products [17].
Thin Layer Chromatography (TLC) has traditionally been employed for analyzing crude calix[4]resorcinarenes and monitoring their functionalization reactions. For the purification of these macrocycles, large silica columns or crystallization have traditionally been the preferred methods. However, new analytical tools are being introduced in this field, offering suitable alternatives to traditional methods. For example, High-Performance Liquid Chromatography (HPLC) has emerged as a powerful alternative for monitoring reaction products, particularly in complex mixtures. Furthermore, combining Solid-Phase Extraction (SPE) with HPLC has proven to be a robust approach for enriching and purifying different types of molecules [18]. For instance, the combined use of RP-HPLC and RP-SPE has been reported for the characterization and isolation of peptides, achieving moleculecular enrichment above 90% [19]. Interestingly, in the obtaining of C-tetra(methyl)calix[4]resorcinarene, RP-HPLC analysis of the reaction mixture showed the presence, not of two conformers rccc-crown and rctt-chair, as observed in TLC and previous reports, but of three conformational isomers, the most stable rccc-crown, and two isomers, rcct-chair and rctt-diamond, with distinct retention times. Subsequent separation via RP-SPE allowed their quantitative and low-cost separation, followed by characterization [20].
The conjugation of peptides with resorcinarenes represents a promising field for the development of novel antimicrobial molecules. Previous efforts have employed CuAAC click chemistry to incorporate antimicrobial peptide (AMP) sequences, typically no longer than six residues, at the lower edge. Here, a new approach for obtaining (peptide)n-calix[4]resorcinarene conjugates at the top edge was explored. This approach involved two key steps: (i) the C-tetra(propyl)calix[4]resorcinarene functionalization with maleimide groups by aminomethylation reaction, and (ii) the subsequent thiol-containing peptide conjugation, through Michael thiol-maleimide addition; in these steps, two peptides of six and thirteen residues were used. In this research, it was necessary to develop an RP-HPLC method for monitoring both reactions, the macrocycle functionalization, and the formation of the peptide calix[4]resorcinarene conjugates. Additionally, an RP-SPE protocol was established to purify the conjugates, ensuring quantities and purities suitable for further antibacterial activity assays.
2. Materials and Methods
2.1. General Information
All the reagents and solvents used in the synthesis were of analytical grade and were utilized without further purification. L-Cysteine, resorcinol, butyraldehyde, trifluoroacetic acid (TFA), acetonitrile (ACN), methanol (MeOH), and ethanol (EtOH) were purchased from Sigma-Aldrich (St. Louis, MO, USA). DMSO-d6 was obtained from Merck (Darmstadt, Germany). Fourier-transform infrared spectroscopy with attenuated total reflectance (FTIR-ATR) analysis was performed using a Thermo Nicolet iS5 FTIR equipped with ATR iD7 accessory, and the absorption spectrum was recorded in cm−1. Nuclear magnetic resonance spectra of 1H NMR and 13C NMR were performed at 400 MHz on a Bruker Avance 400 NMR spectrometer (Bruker Daltonik; Bremen, Germany), using DMSO-d6 or CD3OD as solvents. Chemical shifts (δ) are reported in ppm, relative to the residual solvent signal.
2.2. Calix[4]resorcinarene Synthesis
Resorcinol (4 mmol) was dissolved in 30 mL of ethanol, followed by the addition of 12 mL of 37% hydrochloric acid under constant stirring. Separately, butanal (4 mmol) was dissolved in 20 mL of ethanol and added dropwise to the reaction mixture. The resulting mixture was stirred under reflux for 6 h, yielding a translucent yellow solution. Upon cooling, 150 mL of Type I water was added, resulting in the formation of a yellow precipitate, which was collected by filtration, washed thrice with water, and dried under reduced pressure. The calix[4]resorcinarene was analyzed by RP-HPLC, using a linear %B gradient; the elution program was 5/5/100/100/5/5 at 0/1/11/14/14.1/17 min. The final product was characterized by RP-HPLC, 1H NMR, 13C NMR, and ATR-FTIR (see Figures S1–S3).
C-2,8,14,20-Tetra(propyl)calix[4]resorcinarene (1) was obtained as a pale orange solid in 92% yield. FTIR (ATR/cm−1): 3270 ν (O–H), 2954–2867 ν (C-H), 1200–1100 ν (C–O). 1H-NMR, DMSO-d6, δ (ppm): 0.89 (t, J = 7.3 Hz, 12H, CH3), 1.19 (h, J = 7.4 Hz, 8H, CH2), 2.08 (q, 8H, CH2), 4.22 (t, 4H, CH hydrogen methine bridge), 6.14 (s, 4H, CH aromatic), 7.24 (s, 4H, CH aromatic), 8.92 (s, 4H, OH); 13C NMR, DMSO-d6, δ (ppm): 151.4 (C of -OH), 124.8 (C position 2, aromatic), 123.0 (C position 4, aromatic), 102.1 (C position 5, aromatic), and 35.5 (C methine), 32.4, 20.5, 13.6 (carbons 6, 7, and 8 of the aliphatic propyl chain)
2.3. Calix[4]resorcinarene Functionalization via Mannich Reaction Condensation with 1-(2-Aminoethyl)maleimide Hydrochloride
C-tetra(propyl)calix[4]resorcinarene (1) (1 mmol) was dissolved in 10 mL of a mixture of ACN/MeOH (1:1), followed by the addition of 1040 μL (15 mmol) of formaldehyde. The mixture was stirred, and a solution of 1-(2-aminoethyl)maleimide hydrochloride (2) was prepared with ACN/MeOH (1:1) and combined with the reaction mixture. The pH was adjusted to 7.5 using diisopropylethylamine (DIPEA) and the reaction was stirred at room temperature for 30 h. Progress of the reaction was monitored by RP-HPLC. The resulting mixture was acidified to pH 3.0 using 12% MeOH/TFA, followed by rotary evaporation to dryness. The resulting solid was washed with water to remove the excess of 2, the water was removed and the solid was reconstituted in 500 μL of MeOH to isolate the products by column chromatography (RP-SPE) using 5 g Supelclean ENVI -18 SPE cartridges [19]. These were activated, the reaction product was loaded on the SPE column, and the elution was conducted using fractions in which the percentage of solvent B in the eluent was increased. The collected fractions were analyzed by RP-HPLC. Those containing the maleimide-calix[4]resorcinarenes, already separated, were frozen and lyophilized, obtaining the products in solid form [20]. Products 3 and 4 were characterized via RP-HPLC, using the elution program described above and LRMS ESI-TQ (see Figures S5 and S6).
C-2,8,14,20-tetra(propyl)-5-(2-methyl-1-(2-aminoethyl)maleimide)calix[4]resorcinarene (monosubstituted) (3) was obtained as a white solid in 23% yield. Low-Resolution Mass Spectrometry (LRMS) analysis showed a signal at m/z = 808.87 corresponding to the species [M+H]+ and the experimental mass (MExp.) was 807.87 u; the error in the mass determination (Δm) was 643 ppm
C-2,8,14,20-tetra(propyl)-5,11-di(2-methyl-1-(2-aminoethyl)maleimide)calix[4]resorcinarene (disubstituted) (4) was obtained as a white solid in 31% yield. LRMS analysis showed a signal at m/z = 960.46 corresponding to [M+H]+. MExp: 959.46 u, Δm: 1030 ppm.
2.4. Calix[4]resorcinarene Functionalization via Mannich Reaction Condensation with 1 N-(1,5-Diamino-1-oxopentan-2-yl)-6-maleimidohexanamide
C-tetra(propyl)calix[4]resorcinareno (1) (1 mmol) was dissolved in 16 mL of a mixture of ACN/MeOH (1:1); 1040 μL (15 mmol) of formaldehyde was added, and the mixture was stirred constantly. A total of 10 mL of a methanolic solution of N-(1,5-diamino-1-oxopentan-2-yl)-6-maleimidohexanamide (5) (6 mmol) was added. The pH of the mixture was adjusted to pH 7.5 with DIPEA and left under constant stirring at room temperature for 30 h. The progress of the reaction was monitored by RP-HPLC, where the formation of two products was observed. The resulting mixture was acidified with a 12% MeOH/TFA solution until pH 3.0, and it was concentrated in a rotary evaporator until dryness. The solid was washed with water to remove the excess compound 5, the water was removed by rotary evaporation, and the solid was reconstituted with 1000 μL of MeOH. Purification was carried out on Supelclean ENVI -18 SPE columns. The SPE columns were activated using three successive volumes of the following solvents: MeOH, 0.05% H2O-TFA, 0.05% ACN-TFA, and 0.05% H2O-TFA. The reconstituted product was loaded on the activated and equilibrated SPE column, and the elution of each of the products was carried out by increasing the percentage of solvent B in the eluent. The collected fractions were analyzed by RP-HPLC and those where each of the functionalized calix[4]rersorcinarenes were enriched were mixed, frozen, and lyophilized, obtaining the solid products [20]. The mono and disubstituted products with compound 5 were characterized by RP-HPLC, LRMS, and 1H NMR (see Figures S7–S10).
C-2,8,14,20-tetra(propyl)-5,N-(1,5-diamino-1-oxopentan-2-yl)-6-maleimidohexanamidecalix[4]resorcinarene (monosubstituted) (8) was obtained as a white solid in 55% yield. 1H NMR (400 MHz, CD3OD), δ (ppm): 8.02 (s, 4H, Ar-OH), 7.80 (d, 1H, -OC-NH-CHCO), 7.38 (s, 1H, Mal-H), 7.27 (s, 2H, CO-NH2), 7.19 (s, 2H, Ar-H), 7.18 (s, 1H, Ar-H), 6.23 (s, 1H, Ar-H), 6.22 (s, 1H, Ar-H), 6.20 (s, 1H, Ar-H), 5.47 (s, 1H, C-NH-C), 4.34, 4.34, 4.33, 4.33, 4.32, 4.31, 4.30, 4.29, 4.28, 4.27, 4.19(s, 2H, Ar-CH2-NH), 2.97, 2.95, 2.93, 2.25, 2.23, 2.21, 2.19, 2.18, 2.16, 2.14, 1.98, 1.96, 1.79, 1.66, 1.64, 1.62, 1.60, 1.59, 1.49, 1.47, 1.45, 1.43, 1.35, 1.33, 1.33, 1.31, 1.29, 1.27, 1.20, 1.18, 1.18, 1.16, 1.14, 1.02–0.97 (t, 12H, aliphatic CH3 lower edge). LRMS analysis showed a signal at m/z = 993.02, corresponding to [M+H]+. MExp: 992.02 u, Δm: 500 ppm.
C-2,8,14,20-tetra(propyl)-5,11-di(N-(1,5-diamino-1-oxopentan-2-yl)-6-maleimidohexanamide)calix[4]resorcinarene (disubstituted) (9) was obtained as a white solid in 13% yield. LRMS analysis showed a signal at m/z = 1328.77, corresponding to [M+H]+ and m/z = 665.01, corresponding to [M+2H]2+. MExp: 1327.90 u, Δm: 596 ppm
2.5. Peptide Synthesis
The peptide RRWQWRC (P1) and RRWQWRCRWQWRR (P2) were synthesized by solid phase synthesis using the Fmoc/tBu (SPPS-Fmoc/tBu) strategy [21]. Rink Amide resin (0.46 meq/g) was used as a solid support, which was pre-swollen with a DMF/DCM mixture for 2 h. The solid-phase synthesis steps were as follows: (i) Fmoc group removal: The Fmoc (9-fluorenylmethoxycarbonyl) protecting group was removed by treating the resin with 5% piperidine in DMF for 10 min at room temperature. This process was repeated three times with vigorous and constant agitation. Subsequently, the resin was washed sequentially with DMF (×3) and DCM (×3). A fraction of the resin was dried, and a Kaiser test was performed to confirm the presence of free amino groups. (ii) Coupling: The corresponding Fmoc-amino acid (1 mmol) was treated with a mixture of DCC/6-Cl-HOBt (1.0/1.0 mmol) in DMF at room temperature for 5 min to form an ester. The activated ester was added to the resin and allowed to react for 3 h with stirring. The resin was then washed with DMF (×3, 1 min) and DCM (×3, 1 min) by vigorous stirring, and the Kaiser test was performed. If the test was positive, the coupling process was repeated until complete [21]. (iii) Steps (i) and (ii) were repeated until all the amino acids corresponding to the proposed sequences were incorporated. (iv) Cleavage: The protecting groups of the peptide sequence side chains were removed, and the peptide was cleaved from the resin by treating the dried peptide-resin with a cleavage solution containing trifluoroacetic acid and scavengers (TFA/H2O/TIS/EDT: 93/2/2.5/2.5%; v/v/v/v) for 6 h at room temperature. Finally, the reaction was stopped by filtering the resin and washing it with TFA; and the peptide was precipitated by treating the filtrates with cold ethyl ether. The solid was washed with cold ethyl ether (×5). The resulting crude product was dried at room temperature and analyzed by RP-HPLC and ESI-TOF MS. (v) Peptide purification: was performed by RP-SPE according to a previously reported procedure. Using a gradient (stepwise) elution program of ACN-TFA in H2O-TFA, fractions were analyzed by RP-HPLC, and those containing the peptide were pooled, frozen, and lyophilized to obtain the pure peptide [19]. The purified peptides were characterized by RP-HPLC and HRMS (Figure S17).
2.6. Obtaining (Peptide)n-Resorcinarene Conjugates via Michael Addition Reaction
Maleimide-monosubstituted calix[4]resorcinarenes (3, 8) and maleimide-disubstituted (4, 9) were dissolved in MeOH (1 mmol), followed by the addition of peptides P1 or P2 (1–2 mmol). The pH was adjusted to 7.0 with a DIPEA solution (1 μL/mL) and the mixtures were stirred at room temperature for 12 h. Reaction progress was monitored by RP-HPLC, confirming the successful formation of the expected (peptide)n-calix[4]resorcinarene conjugates. The reaction of monosubstituted resorcinarenes 3 and 8 with the peptide RRWQWRC (P1) yielded the conjugates (P1)1-3 and (P1)1-8, while the reaction of disubstituted resorcinarenes 4 and 9 with P1 generated disubstituted conjugates (P1)2-4 and (P1)2-9. Similarly, conjugates (P2)1-3 and (P2)1-8 were obtained by reacting resorcinarenes 3 and 8 with the peptide P2. Subsequently, the solvent volume of the mixtures was reduced by evaporation under a stream of inert gas to proceed to the purification in SPE columns. Purification was carried out using 1.0 g Supelclean ENVI-18 SPE columns [19]. The crude reaction products were loaded onto the SPE columns, and elution was performed by gradually increasing the percentage of solvent B in the eluent. The collected fractions were analyzed by RP-HPLC, and those containing the enriched peptide-resorcinarene conjugates were combined, frozen, and lyophilized, yielding the conjugates in a solid state [20]. The final products were characterized by RP-HPLC and HRMS (see Figures S11–S16).
Conjugate (P1)1-3 was obtained as a white solid. High resolution mass spectrometry (HRMS) analysis showed the following signals: m/z = 949.4748 corresponding to [M+2H]2+, m/z = 633.3189 corresponding to [M+3H]3+, m/z = 475.2413 corresponding to [M+4H]4+. MExp: 1896.9532 u, Δm: 2 ppm.
Conjugate (P2)1-3 was obtained as a white solid. HRMSanalysis showed the following signals: m/z=956.1574 corresponding to [M+3H]3+, m/z = 717.3697 corresponding to [M+4H]4+, m/z = 574.0973 corresponding to [M+5H]5+, m/z = 478.5829 corresponding to [M+6H]6+. MExp: 2865.4755 u, Δm: 2 ppm.
Conjugate (P1)2-4 was obtained as a white solid. HRMSanalysis showed the following signals: m/z=628.5172 corresponding to [M+5H]5+, m/z = 523.9326 corresponding to [M+6H]6+, m/z = 449.2282 corresponding to [M+7H]7+. MExp: 3138.0810 u, Δm: 7 ppm.
Conjugate (P1)1-8 was obtained as a white solid. HRMS analysis showed the following signals: m/z = 1041.5356 corresponding to [M+2H]2+, m/z = 694.6928 corresponding to [M+3H]3+, m/z = 521.2717 corresponding to [M+4H]4+. MExp: 2081.0709 u, Δm: 2 ppm.
Conjugate (P2)1-8 was obtained as a white solid. HRMS analysis showed the following signals: m/z = 1017.5323 corresponding to [M+3H]3+, m/z = 763.4005 corresponding to [M+4H]4+, m/z = 610.9214 corresponding to [M+5H]5+, m/z = 509.2698 corresponding to [M+6H]6+. MExp: 3049.5915 u, Δm: 3 ppm.
Conjugate (P1)2-9 was obtained as a white solid. HRMSanalysis showed the following signals: m/z = 1169.6036 corresponding to [M+3H]3+, m/z = 877.4543 corresponding to [M+4H]4+, m/z = 702.1642 corresponding to [M+5H]5+, m/z = 585.3054 corresponding to [M+6H]6+, m/z = 501.8343 corresponding to [M+7H]7+, m/z = 439.2314 corresponding to [M+8H]8+, m/z = 390.5398 corresponding to [M+9H]9+. MExp: 3505.8070 u, Δm: 2 ppm.
2.7. Reverse-Phase High-Performance Liquid Chromatography (RP-HPLC) Analysis
RP-HPLC analyses were performed on a Hitachi Primaide 1410 (Hitachi High-Tech Corporation, Tokio, Japan) with a DAD detector set to 280 nm. The mobile phase was ACN-TFA 0.05% (B) in H2O-TFA 0.05% (A). The gradient elution program was 5/5/100/100/5/5% B at 0/1/11/13/13.1/15 min, 1 mL/min, with a Chromolith HighResolution RP-18e (50 × 4.6 mm) Merck KGaA and Phenomenex Kinetex C18 (2.6 μm, 100 Å).
2.8. LC-MS Methodologies
Compounds 3, 4, 8, and 9 were analyzed using LRMS, using a Waters ACQUITY ESI-TQ system (Waters Corporation, Milford, MA, EE. UU.), equipped with an electrospray ionization (ESI) source operating in positive mode. Chromatographic separation was performed using an Acclaim™ RSLC 120 C18 column (2.1 × 50 mm, 2.2 μm, 120 Å) maintained at 20 °C, with a flow rate of 0.250 mL/min. The mobile phase consisted of water (A) and acetonitrile (B), each containing 0.1% formic acid. The gradient elution program was 5/5/100/100/5/5% B in 0/1/11/14/14,1/17 min. ESI source parameters included a source temperature of 118 °C, a capillary voltage of 3.07 kV, and a desolvation temperature of 248 °C. Mass spectra were acquired in scanning mode across an m/z range of 150–2000.
(Peptide)n-calix[4]resorcinarene conjugates and peptides were analyzed by HRMS using an Impact II LC-MS (Q-TOF) (Bruker Daltonic, Bremen, Germany) equipped with an electrospray ionization (ESI) source, operating the positive mode. Chromatographic conditions were Intensity Solo C18 column (2.1 × 100 mm, 1.8 μm) (Bruker Daltonik, Bremen, Germany), temperature 40 °C, and flow rate 0.250 mL/min. The mobile phase was water (A) and acetonitrile (B), each containing 0.1% formic acid. The gradient program was 5/5/95/95/5/5% B in 0/1/11/13/13.1/15 min. ESI source conditions were endplate displacement 500 V, capillary at 4500 V, nebulizer at 1.8 bar, dry gas (nitrogen) 8.0 L/min, and dry gas temperature 220 °C. The auto MS/MS scanning mode had a mass range of 20–2000 m/z, spectral rate of 6 Hz, and a collision energy of 5.0 eV.
2.9. Antibacterial Activity Assays for (Peptide)n-Calix[4]resorcinarene Conjugates
The minimum inhibitory concentration (MIC) and minimum bactericidal concentration (MBC) were determined by microdilution plate assay, according to the Clinical and Laboratory Standards Institute (CLSI) guidelines [22]. Briefly, the bacterial strains E. coli ATCC 25922 and E. faecalis ATCC 29212 were incubated for 18 to 24 h at 37 °C in Mueller-Hinton broth (MHB) until reaching an optical density of 0.15–0.30 at 620 nm. Serial dilutions (200–6.2 μg/mL) of control peptides, mono- and disubstituted calix[4]resorcinarenes, and peptide-resorcinarene conjugates were prepared in 96-well plates, with a final volume of 100 μL per well. Bacterial inoculum (5 × 10⁶ CFU/mL) was added, and the plates were incubated at 37 °C for 24 h. Absorbance was measured at 620 nm using an Asys Expert Plus ELISA reader. For MBC determination, aliquots from wells showing no apparent bacterial growth were transferred to trypticase soy agar plates and incubated at 37 °C for 24 h. All assays were conducted in triplicate (n = 3).
3. Results and Discussion
This research was developed in two steps: (I) Synthesis of functionalized precursors: (i) the C-tetra(propyl)calix[4]resorcinarene wearing maleimide groups at the upper edge, and (ii) peptides derived from the minimal motif of LfcinB, modified to include a cysteine residue at the C-terminal end (RRWQWRC). Additionally, a longer peptide was designed as a symmetric molecule with a cysteine residue in the middle position (RRWQWRCRWQWRR). (II) Synthesis of the (peptide)n-calix[4]resorcinarene conjugates (n = 1, 2, 3, or 4). Once the functionalized molecules were obtained, the Michael thiol-maleimide addition reaction conditions were optimized to synthesize the conjugates. To guarantee the obtaining and purity of the synthesized compounds, it was essential to use robust analytical separation techniques such as RP-HPLC for the monitoring of the reactions and products and RP-SPE for the purification of the precursor compounds and final conjugates. These techniques were crucial since the molecules had to be taken to in vitro biological assays, so this methodology was implemented throughout the research.
To obtain C-tetra(propyl)calix[4]resorcinarene (1), resorcinol and butanal were used in an equimolar ratio [2,23]. Calix[4]resorcinarenes are dynamic systems and can adopt various conformations. Kinetic and thermodynamic factors, together with substituents at the upper and lower rim, and the ability of phenolic hydroxyl groups to form intramolecular hydrogen bonds during calix[4]resorcinarenes synthesis can favor one conformer over another [23]. Using conditions that favor obtaining a single majority conformer was important because these molecules were the starting point for generating the (peptide)n-calix[4]resorcinarene conjugates, thus reducing purification steps and lowering yields. The use of butanal allowed the incorporation of a three-carbon alkyl chain at the lower edge, generating the rccc-crown conformer as a major product, and reducing the conformational mobility for the next derivatization step.
The ¹H NMR spectrum showed seven distinct signals corresponding to non-equivalent hydrogens (see Figure S1): a triplet at 0.89 ppm, a sextuplet at 1.19 ppm, and a multiplet at 2.07 ppm all corresponding to the tetrapropyl substituents. The methine bridge (4.22 ppm) and singlets at 6.14 ppm (H2) and 7.24 ppm (H3) were assigned to the ortho and meta protons with respect to the phenolic hydroxyls, respectively. Due to the mesomeric donor effect of the hydroxyl groups, H2 should be more shielded, and therefore, its shift should be less than that of hydrogen at position 3 (H3). Additionally, the singlet signal at 8.92 ppm at low field corresponds to the protons of the hydroxyl groups. In the ¹³C NMR spectrum, eight signals were found corresponding to the eight chemically non-equivalent carbon atoms in each unit of 3 (Figure S2). The signal at 151.4 ppm was assigned to carbon 1 of the aromatic ring, which is bonded to the oxygen atoms. The signals of carbons 2, 3, and 4 are in the 100–125 ppm range, typical for aromatic ring carbons. The shifts of the hydrogens and aromatic carbons are explained by the electronic delocalization of the π-system in the aromatic ring of resorcinol. Therefore, NMR spectra of C-tetra(propyl)calix[4]resorcinarene (1) evidenced that the reaction conditions employed were suitable for obtaining this predominant conformer [23] with reduced number of signals indicating high symmetry, consistent with the rccc-crown (C4v) conformation structure
Compound 1 was analyzed also by RP-HPLC using two column types, monolithic and core-shell ones, via gradient elution by RP-HPLC, using a linear %B. The chromatographic profiles of 1 showed three well-separated signals, with one major peak corresponding to the predominant conformer and two minor peaks attributed to residual conformations not detected by TLC. When analyzed with the core-shell column (Figure 1c), a slight improvement in resolution (Rs > 2) was observed, indicating higher efficiency compared to the monolithic column.
Figure 1.
C-tetra(propyl)calix[4]resorcinareno (1). Structure (a), chromatographic profiles obtained in the monolithic column (b) and in the core-shell column (c).
Core-shell stationary phase is constructed with particles having a solid core and a thick, porous shell. By having a smaller pore volume, the eddy diffusion broadening (parameter B, van Deemter equation) is reduced and since the diffusion path of the analytes is smaller, the mass transfer contribution (parameter C, van Deemter equation) is also reduced, making these columns present an improved efficiency [24]. According to this result, we selected the core-shell column for analyzing the reactions of compound 1 functionalization.
The functionalization of the top edge, at position 2, of compound 1 by Mannich-type aminomethylation reaction using 1-(2-aminoethyl)maleimide hydrochloride (2) was explored. Since this reagent is in the hydrochloride form, diisopropylethylamine (DIPEA) was added as a base to adjust the pH to 7.5. DIPEA, being soluble in organic solvents and non-nucleophilic, does not participate in the aminomethylation reaction. Based on previous reports, a tetrasubstituted reaction product was expected (Figure 2) [12,14].
Figure 2.
Aminomethylation scheme between (1) and 1-(2-aminoethyl)maleimide hydrochloride (2). A single tetrasubstituted product was expected to be obtained under the conditions employed.
The functionalization reaction of compound 1 with maleimide groups was monitored using the core-shell C18 column and analyzed via gradient elution RP-HPLC with a gradient elution program of 5/5/100/100/5/5%B in 0/1/11/14/14.1/17 min (Figure 3a). The reaction chromatographic profile presented a broad peak, suggesting complete coelution of the analytes and poor separation efficiency. Even though the same analytical conditions used for compound 1 were applied, the core-shell column failed to separate the maleimide functionalized C-tetra(propyl)calix[4]resorcinarene products. The form of the peak may be attributed to steric hindrance. To improve separation, the analysis was performed using a monolithic column with a pore size of 130 Å, and the same gradient elution program was used (Figure 3b).
Figure 3.
Chromatographic analyses of aminomethylation reaction of compound 1 with maleimide-derivate 2 using: (a) core-shell column, (b) monolithic column. In (c) the monosubstituted compound 3 is shown, after being isolated by RP-SPE.
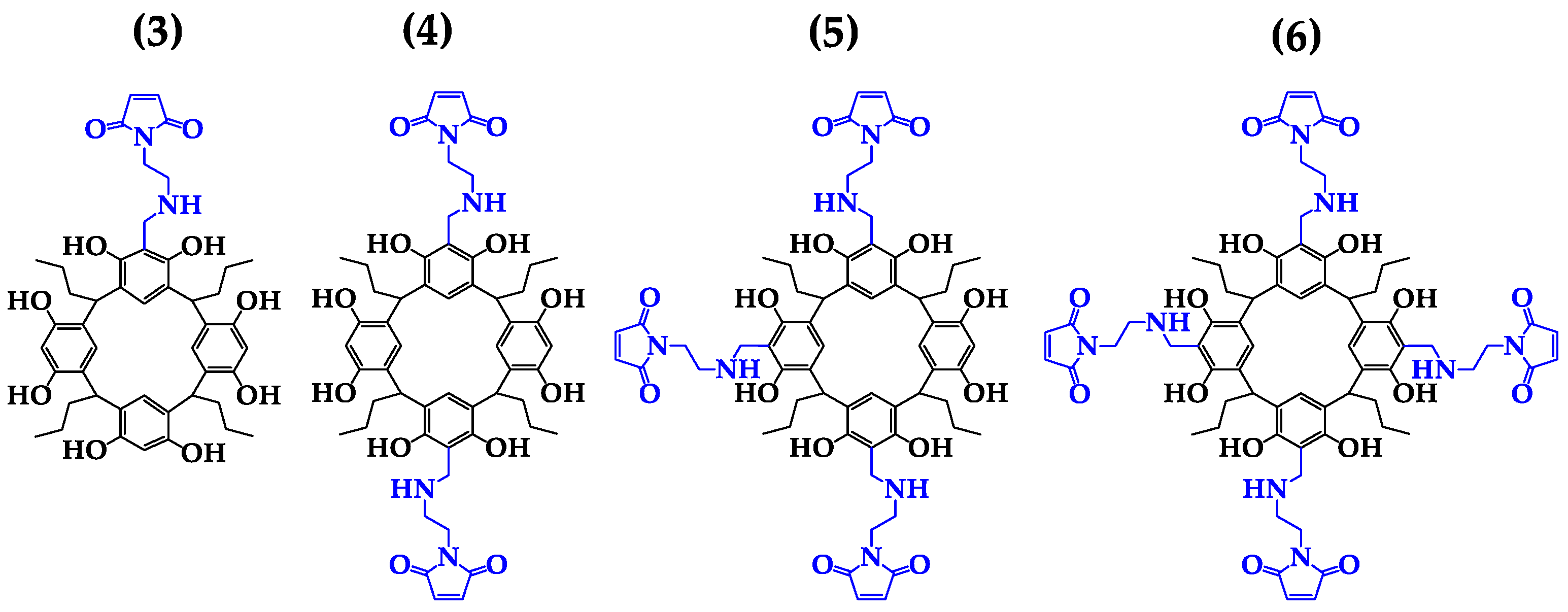
The chromatographic profile of the reaction mixture obtained with the monolithic column showed a remarkable improvement in separation and resolution. Monolithic columns, due to their macroporous and mesoporous structure in the silica skeleton, provide a larger surface area and a continuous structure that facilitates the diffusion of large molecules, improving the efficiency and separation of analyte mixtures. Therefore, these columns are recommended for the analysis of large molecules [25,26,27]. The reaction mixture of the aminomethylation of compound 1 with maleimide-derivate 2 presented several signals when analyzed using the monolithic column (as shown in Figure 3b). The precursors 1 and 2 eluted at tR values of 8.5 and 0.8 min, respectively. Using LRMS, it was determined that the mixture contained the monosubstituted (compound 3, tR = 7.8 min), disubstituted (compound 4, tR = 6.7 min), trisubstituted (compound 5, tR = 5.9 min), and tetrasubstituted (compound 6, tR = 5.4 min) products.
Mass spectrometry analysis of each aminomethylated compound suggested that benzoxazine rings were not formed; instead, the reaction resulted in the formation of an Ar-CH2-NH bond at position 2 in the aromatic ring; structures of compounds 3 to 6 are presented in Figure 4. A possible explanation for this result lies in the Mannich-type aminomethylation mechanism. The first step requires the formation of a cationic iminium intermediate, which depends on the protonation of the carbonyl group in formaldehyde. Since the reaction was conducted in an aprotic solvent, which lacks proton donors, and the medium contained DIPEA at pH 7.5 (slightly basic), only the formation of the hemiaminal intermediate of the first aminomethylation occurred, limiting the formation of the second hemiaminal intermediate. Finally, the reaction was left for 48 h, and no significant changes in the chromatographic profile were detected. The reaction medium was then acidified to neutralize the DIPEA, causing the formation of a precipitate that was washed with water acidified with TFA to remove the excess precursor 2.
Figure 4.
Structure of the (maleimide)n-C-tetra(propyl)calix[4]resorcinarene obtained in the reaction between 1 and 2: mono (3), di (4), tri (5) and tetrasubstituted (6).
To separate the products obtained in the reaction, Reverse Phase Solid-Phase Extraction (RP-SPE) was used, following the methodology reported for the purification of a C-tetra(methyl)calix[4]resorcinarene [20]. The transfer of the RP-HPLC analytical method with a monolithic column to Supelclean ENVI C-18 SPE columns was performed. According to the retention times of each analyte, delay time (tD), dead time (t0), and initial analysis time (ti), the corresponding %B elution (ACN-TFA 0.05%) was determined. Fractions at approximately the calculated %B were collected and analyzed by RP-HPLC. The most enriched and pure fractions of each compound were pooled, evaporated, and lyophilized. As an example, Figure 3c shows the profile of isolated compound 3, with a purity greater than 80% by RP-SPE methodology. Table 1 summarizes the analytical characterization of compounds 3 to 6. Thus, for calix[4]resorcinarene derivatives functionalized with maleimide groups, the RP-SPE methodology employed has performed adequately.
Table 1.
Summary of the analytical characterization of the precursors (maleimide)n-C-tetra(propyl)calix[4]resorcinareno and peptides synthesized and purified by RP-SPE.
Additionally, to compound 2, we sought to synthesize an alternative amino-maleimide compound to obtain a mono- and disubstituted derivative in greater quantities. Therefore, a linker using Fmoc-Orn(Boc) and 6-maleimidohexanoic acid was proposed. For its synthesis, solid-phase peptide synthesis (SPPS) methodology was employed. The ornithine-maleimide motif 7 was used for the functionalization of 1 by the Mannich reaction, under the same conditions established for obtaining compounds 3 to 6, yielding two products: mono- (8) and disubstituted (9) (Figure 5). These were evidenced in the chromatographic profile (see Figures S4–S7 and S9) and the analysis of the compounds by LRMS (Table 1). It was found that if the pH of the reaction mixture is not maintained in the range of 7 to 8 (neutral to slightly basic), the reaction does not progress properly, indicating that pH not only influences the substitution pattern but also the progress of the reaction.
Figure 5.
Aminomethylation scheme between (1) and ornithine-maleimide motif (7). Monosubstituted (8) and disubstituted (9) were obtained under the conditions employed.
For the reaction of thiol-maleimide, two LfcinB-derived peptides (20–25) were synthesized, purified, and characterized: RRWQWRC (P1) and the sequence RRWQWRCRWQWRR (P2), containing thiol groups within their sequences. The P2 peptide was used to evaluate if (i) the incorporation of the thiol group at a position other than the C-terminal end hindered conjugate formation, and (ii) the longer peptide length introduced a steric hindrance effect preventing modular binding. Peptides were obtained using SPPS with the Fmoc/tBu strategy, an orthogonal synthesis methodology [21]. The crude peptides were analyzed by RP-HPLC, and their purification was performed by RP-SPE methodology [19]. As summarized in Table 1, the peptides were obtained with a purity higher than 90%, and the experimental masses determined from the multiply charged species in HRMS agree with the expected masses.
Having obtained the mono- and di-functionalized calix[4]resorcinarenes 3, 4, 8, and 9 with maleimide groups and the P1 and P2 peptides purified and in sufficient quantities, we proceeded to evaluate the optimal conditions for their conjugation. Michael thiol-maleimide addition is a widely used reaction for modular conjugations due to its high selectivity and rapidity under mild conditions, being a classic example of a click chemistry reaction. Starting with a first assay at pH 5.0, RP-HPLC monitoring of the reaction between compound 3 and peptide P1 confirmed the formation of the addition product, although not quantitatively. The literature reports suggest that the most suitable pH for binding thiol and maleimide groups, especially in bioconjugation, is between pH 7 and 7.5 [17,28]. At this pH, thiol groups are partially deprotonated, forming thiolate (-S−), which acts as a nucleophile, attacking the α, β-unsaturated bond of the maleimide group and promoting the click reaction. However, at higher pH values, where a larger proportion of thiolate is present, maleimide hydrolysis can occur, reducing reaction efficiency.
Therefore, the pH was adjusted to 7.0 using DIPEA, a non-nucleophilic base. At this pH, quantitative formation of the first conjugate (peptide)n-calix[4]resorcinarene was observed, indicating how sensitive this reaction is to pH. Figure 6, panel (a), shows the reaction scheme for obtaining the monosubstituted (P1)1-3 conjugate. Using the previously established analytical conditions with the monolithic column, the starting reagents and the reaction mixture were analyzed. Figure 6 panels (b) and (c) show the chromatogram of compound 3, and peptide P1 respectively. Panel (d) presents the chromatographic profile of the reaction mixture, where the (P1)1-3 conjugate was obtained quantitatively.
Figure 6.
(a) Scheme Michael thiol-maleimide addition reaction between 3 and P1. Profiles of starting reagents: compound 3 (b), peptide P1 (c). Profile of reaction mixture, the (P1)1-3 conjugate was the product (d).
Since P1 is a cationic peptide sequence, due to the guanidinium groups contributed by the arginines which are positively charged at the pH of the mobile phase during RP-HPLC analysis, the thiol-maleimide conjugation product (P1)1-3 would be expected to be more hydrophilic compared to precursor 3 (Figure 6d and Figure 6b, respectively).
Under the previously established conjugation conditions, six (peptide)n-calix[4]resorcinarene conjugates with n = 1 and n = 2 were synthesized, and all were purified and/or enriched by RP-SPE. Table 2 summarizes the characterization by RP-HPLC and HRMS, where the masses of all conjugates show error in the mass determination (Δm) of less than 10 ppm [29] and purities exceed 90%, in most cases.
Table 2.
Summary of the analytical characterization of the six (peptide)n-calix[4]resorcinarene conjugates obtained by Michael thiol-maleimide reaction, analyzed and separated by RP-HPLC and SP-SPE.
As an example, Figure 7 shows the molecular structure of conjugate (P2)1-3 (panel a), a macromolecular, rather bulky structure, and the chromatographic profile of the solid product that was purified by RP-SPE (panel b). The retention time of this conjugate, with the thirteen-residue peptide, tR = 6.5 min is shorter than for the (P1)1-3 conjugate (Figure 6c), which is consistent given that there is a higher amount of arginine in the P2 sequence. In panel c, the mass spectrum of the purified conjugate is shown, where signals corresponding to the multicharged species [M+6H]6+, [M+5H]5+, [M+4H]4+, and [M+3H]3+ are observed. With this information, the experimental mass (MExp.) was calculated to be 2865.4755 u, compared with the theoretical mass, M: 2865.4703 u (error of 2 ppm).
Figure 7.
Conjugate (P2)1-3. (a) Molecular structure and expected theoretical mass, (b) chromatographic profile of the pure product, and (c) HRMS spectrum.
For the conjugate (P1)2-4, the expected product was observed, along with additional signals in the mass spectra corresponding to M+18 and M+36 (see Figure S13), which are attributed to the hydrolysis of the succinimide rings in the conjugate. The hydrolytic opening of maleimide rings under these conditions has been previously reported, highlighting their sensitivity to pH or extended reaction times [30,31].
Using the analytical methodologies employed and the RP-SPE purification step, six conjugates were obtained in adequate quantities and purities for use in the antibacterial activity assays (Table 3). Strains from the American Type Culture Collection (ATCC) were used for the assays. The Minimum Inhibitory Concentration (MIC) and Minimum Bactericidal Concentration (MBC) were determined against two bacterial strains—Gram-negative E. coli ATCC 25922 and a Gram-positive E. faecalis ATCC 29212—both of which are sensitive to antibiotics such as Ampicillin and Ciprofloxacin, respectively.
Table 3.
Antibacterial activity of (peptide)n-calix[4]resorcinarene conjugates.
The LfcinB peptides ((20–25) RRWQWR) antibacterial activity has been reported previously, with MIC of 203 µM against E. coli (ATCC 25922) and >203 µM against E. faecalis (ATCC 29212). In contrast, the precursor peptide P1, modified with a C-terminal cysteine, presented an improved MIC of 46 µM against E. coli under the conditions evaluated (Table 3). The palindromic peptide P2, with a cysteine incorporated in the middle of its sequence, demonstrated an even lower MIC of 24 µM against E. coli but no activity against E. faecalis, at the concentrations tested. This result contrasts with that found by Vargas et al., for a palindromic derived from LfcinB, RWQWRWQWR, did show activity against E. faecalis ATCC 29212 with MIC of 67 µM [32].
From the results summarized in Table 3, we can highlight the following: (i) Peptides P1 and P2 do not exhibit activity against E. faecalis. (ii) Three resorcinarenes functionalized with maleimide groups 3, 8, and 9 showed activity against the Gram-positive strain, with MICs of 247 μM, 101 μM, and 75 μM, respectively. The most active were those incorporating the aminomethylated compound 7, marking the first calix[4]resorcinarene derivatives to show activity against this strain. (iii) The conjugate (P1)1-3 presented activity against E. faecalis with a MIC of 53 μM, which is almost five times lower than that of the control maleimide-resorcinarene 3.
Previous studies have indicated that synthesizing molecules incorporating multiple copies of the LfcinB (20–25): RRWQWR motif, such as dimers and tetramers, increase their antibacterial activity (e.g., (RRWQWR)2K-Ahx, MIC: 91 μM and ((RRWQWR)2K-Ahx-C)2, MIC: 44 μM) [32]. The latter result shows, preliminarily, that against E. faecalis, the (P1)1-3 conjugate is probably active due to the incorporation of the non-protein motif calix[4]resorcinarene, without the need for increased polyvalency.
The results demonstrated that the Michael thiol-maleimide reaction was effective for synthesizing (peptide)n-calix[4]resorcinarene conjugates derived from LfcinB. Importantly, the incorporation of sequences between six and thirteen residues did not require modifications to the reaction conditions, confirming the synthetic viability of this approach. This work extends a previously reported strategy that employed a different click chemistry technique, Cu(I)-catalyzed Azide-Alkyne Cycloaddition (CuAAC), to incorporate up to four copies of peptides with sequences of up to six residues [11]. The comparison highlights the versatility, utility, and respective advantages and limitations of various click chemistry tools for constructing peptide-resorcinarene conjugates.
The combination of monolithic columns in RP-HPLC for the study of these macromolecules, with the transfer of the analytical method to RP-SPE to separate and enrich compounds from a complex mixture, demonstrates the ability of these analytical techniques to solve critical problems of analysis, separation, and purification. This dual approach not only allowed obtaining high-purity macromolecular products but also established an efficient and versatile model for other types of complex mixtures, proving to be a robust methodology to be implemented in different synthesis environments.
4. Conclusions
Using aminomethylation reactions, maleimide groups were successfully incorporated onto the upper edge of a C-tetra(propyl)calix[4]resorcinarene (rccc-crown). The implementation of an analytical methodology by RP-HPLC with a monolithic column for monitoring the reaction significantly enhanced the efficiency of the separation of the aminomethylated products and showed that a multisubstituted mixture of products was obtained rather than a single reaction product. The use of RP-SPE allowed us to obtain calix[4]resorcinarenes functionalized with maleimide motif, (maleimide)n-calix[4]resorcinarene, with purities appropriate for their characterization by NMR, HPLC, and MS, and for testing their antibacterial activity potential.
The (maleimide)n-calix[4]resorcinarenes were subsequently conjugated to thiol-functionalized peptides, of six and thirteen residues, via Michael thiol-maleimide addition reaction. These click reactions were quantitative, and those conjugates were also purified through RP-SPE, successfully. The aminomethylated compounds 3, 8, 9, and the conjugate (P1)1-3 show antibacterial activity against to E. Faecalis (ATCC 29212) strain. These results established a modular conjugation strategy between calix[4]resorcinarenes and peptides by thiol-maleimide click chemistry.
Supplementary Materials
The following supporting information can be downloaded at: https://www.mdpi.com/article/10.3390/pr13010222/s1, Figure S1: 1H NMR spectrum compound 1 (400 MHz, DMSO-d6, 303 K): C-2,8,14,20-tetra(propyl)calix[4]resorcinarene (rccc); Figure S2: 13C NMR spectrum compound 1 (400 MHz, DMSO-d6, 303 K): C-2,8,14,20-tetra(propyl)calix[4]resorcinarene (rccc); Figure S3: ATR-FTIR spectrum compound 1; Figure S4: RP-HPLC, LRMS for compound 3; Figure S5. 1H NMR for compound 3; Figure S6: RP-HPLC, LRMS for compound 4; Figure S7: RP-HPLC, LRMS for compound 8; Figure S8: 1H NMR for compound 8; Figure S9: RP-HPLC, LRMS for compound 9; Figure S10: 1H NMR for compound 9; Figure S11: RP-HPLC, HRMS for conjugate (P1)1-3; Figure S12: RP-HPLC, HRMS for conjugate (P2)1-3; Figure S13: RP-HPLC, HRMS for conjugate (P1)2-4; Figure S14: RP-HPLC, HRMS for conjugate (P1)1-8; Figure S15: RP-HPLC, HRMS for conjugate (P2)1-8; Figure S16: RP-HPLC, HRMS for conjugate (P1)2-9; Figure S17: Characterization of P1 (A) and P2 (B) by RP-HPLC and HRMS functionalized with the thiol group. In each case, the chromatographic profile of the crude products is shown on the left, and the mass spectra of the purified products on the right.
Author Contributions
Conceptualization, M.M. and Z.J.R.-M.; Formal analysis, V.A.N.-R., M.M., J.E.G.-C. and Z.J.R.-M.; Funding acquisition, M.M., J.E.G.-C. and Z.J.R.-M.; Investigation, V.A.N.-R., M.M., K.J.C.-A. and Z.J.R.-M.; Methodology, V.A.N.-R., M.M., K.J.C.-A. and Z.J.R.-M.; Project administration, M.M.; Resources, M.M.; Supervision, Z.J.R.-M.; Writing–original draft, V.A.N.-R., M.M., J.E.G.-C. and Z.J.R.-M.; Writing–review and editing, M.M., K.J.C.-A., J.E.G.-C. and Z.J.R.-M. All authors have read and agreed to the published version of the manuscript.
Funding
This research was funded by MINCIENCIAS, Project: “Diseño y obtención de nuevos agentes antibacterianos basados en dendrímeros péptido-resorcinareno: Una alternativa para combatir la resistencia bacteriana”, Grant number RC-846-2019 and to the Universidad Nacional de Colombia-Sede Bogotá for the doctoral scholarship “Asistente Docente”.
Data Availability Statement
The original contributions presented in this study are included in the article. Further inquiries can be directed to the corresponding author.
Conflicts of Interest
The authors declare no conflicts of interest.
References
- Jain, V.K.; Kanaiya, P.H. Chemistry of Calix[4]Resorcinarenes. Russ. Chem. Rev. 2011, 80, 75–102. [Google Scholar] [CrossRef]
- Scott, M.P.; Sherburn, M.S. Resorcinarenes and Pyrogallolarenes. In Comprehensive Supramolecular Chemistry II; Elsevier: Amsterdam, The Netherlands, 2017; pp. 337–374. [Google Scholar] [CrossRef]
- Iwanek, W.; Wzorek, A. Introduction to the Chirality of Resorcinarenes. Mini Rev. Org. Chem. 2009, 6, 398–411. [Google Scholar] [CrossRef]
- Galindres, D.M.; Cifuentes, D.; Tinoco, L.E.; Murillo-Acevedo, Y.; Rodrigo, M.M.; Ribeiro, A.C.F.; Esteso, M.A. A Review of the Application of Resorcinarenes and SBA-15 in Drug Delivery. Processes 2022, 10, 684. [Google Scholar] [CrossRef]
- Ruderisch, A.; Iwanek, W.; Pfeiffer, J.; Fischer, G.; Albert, K.; Schurig, V. Synthesis and Characterization of a Novel Resorcinarene-Based Stationary Phase Bearing Polar Headgroups for Use in Reversed-Phase High-Performance Liquid Chromatography. J. Chromatogr. A 2005, 1095, 40–49. [Google Scholar] [CrossRef]
- Sharma, C.; Patadia, R.; Thakur, B.; Pandya, V.; Agrawal, Y. Trace Detection of La (III), Ce (III), Ce (IV), Nd (III), and Gd (III) Using 2, 8, 14, 20-Tetramethyl-5, 7-Dinitro Calix [4] Resorcinarene Polyhydroxamic Acid by Solid-Phase Extraction and Separation. React. Funct. Polym. 2023, 190, 105642. [Google Scholar] [CrossRef]
- Pedro-Hernández, L.D.; Martínez-Klimova, E.; Cortez-Maya, S.; Mendoza-Cardozo, S.; Ramírez-Ápan, T.; Martínez-García, M. Synthesis, Characterization, and Nanomedical Applications of Conjugates between Resorcinarene-Dendrimers and Ibuprofen. Nanomaterials 2017, 7, 163. [Google Scholar] [CrossRef]
- Cortez-Maya, S.; Hernández-Ortega, S.; Ramírez-Apan, T.; Lijanova, I.V.; Martínez-García, M. Synthesis of 5-Aryl-1,4-Benzodiazepine Derivatives Attached in Resorcinaren-PAMAM Dendrimers and Their Anti-Cancer Activity. Bioorg. Med. Chem. 2012, 20, 415–421. [Google Scholar] [CrossRef]
- Mendoza-Cardozo, S.; Pedro-Hernández, L.D.; Organista-Mateos, U.; Allende-Alarcón, L.I.; Martínez-Klimova, E.; Ramírez-Ápan, T.; Martínez-García, M. In Vitro Activity of Resorcinarene–Chlorambucil Conjugates for Therapy in Human Chronic Myelogenous Leukemia Cells. Drug Dev. Ind. Pharm. 2019, 45, 683–688. [Google Scholar] [CrossRef]
- Daniel Pedro-Hernández, L.; Hernández-Montalbán, C.; Martínez-Klimova, E.; Ramírez-Ápan, T.; Martínez-García, M. Synthesis and Anticancer Activity of Open-Resorcinarene Conjugates. Bioorg. Med. Chem. Lett. 2020, 30, 127275. [Google Scholar] [CrossRef]
- Pineda-Castañeda, H.M.; Maldonado-Villamil, M.; Parra-Giraldo, C.M.; Leal-Castro, A.L.; Fierro-Medina, R.; Rivera-Monroy, Z.J.; García-Castañeda, J.E. Peptide-Resorcinarene Conjugates Obtained via Click Chemistry: Synthesis and Antimicrobial Activity. Antibiotics 2023, 12, 773. [Google Scholar] [CrossRef]
- Matsushita, Y.I.; Matsui, T. Synthesis of Aminomethylated Calix[4]Resorcinarenes. Tetrahedron Lett. 1993, 34, 7433–7436. [Google Scholar] [CrossRef]
- Chirachanchai, S.; Phongtamrug, S.; Laobuthee, A.; Tashiro, K. Mono-Substituted Phenol-Based Benzoxazines: Inevitable Dimerization Via Self-Termination and Its Metal Complexation. In Handbook of Benzoxazine Resins; Elsevier: Amsterdam, The Netherlands, 2011; pp. 111–126. [Google Scholar] [CrossRef]
- Kuberski, B.; Pecul, M.; Szumna, A. A Chiral “Frozen” Hydrogen Bonding in C4-Symmetric Inherently Chiral Resorcin[4]Arenes: NMR, X-Ray, Circular Dichroism, and Theoretical Study. Eur. J. Org. Chem. 2008, 18, 3069–3078. [Google Scholar] [CrossRef]
- Shatalova, N.I.; Gavrilova, E.L.; Sidorov, N.A.; Burilovb, A.R.; Pudovik, M.A.; Krasil’Nikova, E.A.; Konovalov, A.I. Calix[4]Resorcinols Functionalized with Amino Acid Residues. Russ. J. Gen. Chem. 2009, 79, 1494–1498. [Google Scholar] [CrossRef]
- Kashapov, R.R.; Razuvayeva, Y.S.; Ziganshina, A.Y.; Mukhitova, R.K.; Sapunova, A.S.; Voloshina, A.D.; Syakaev, V.V.; Latypov, S.K.; Nizameev, I.R.; Kadirov, M.K.; et al. N-Methyl-d-Glucamine–Calix[4]Resorcinarene Conjugates: Self-Assembly and Biological Properties. Molecules 2019, 24, 1939. [Google Scholar] [CrossRef] [PubMed]
- Nair, D.P.; Podgórski, M.; Chatani, S.; Gong, T.; Xi, W.; Fenoli, C.R.; Bowman, C.N. The Thiol-Michael Addition Click Reaction: A Powerful and Widely Used Tool in Materials Chemistry. Chem. Mater. 2014, 26, 724–744. [Google Scholar] [CrossRef]
- Badawy, M.E.I.; El-Nouby, M.A.M.; Kimani, P.K.; Lim, L.W.; Rabea, E.I. A Review of the Modern Principles and Applications of Solid-Phase Extraction Techniques in Chromatographic Analysis. Anal. Sci. 2022, 38, 1457–1487. [Google Scholar] [CrossRef]
- Insuasty-Cepeda, D.S.; Rodríguez-Mayor, A.V.; Pineda-Castañeda, H.M.; García-Castañeda, J.E.; Maldonado-Villamil, M.; Fierro-Medina, R.; Rivera-Monroy, Z.J. Synthetic Peptide Purification via Solid-Phase Economical, Fast, and Efficient Methodology. Molecules 2019, 24, 1215. [Google Scholar] [CrossRef]
- Pineda-Castañeda, H.M.; Maldonado, M.; Rivera-Monroy, Z.J. Efficient Separation of C-Tetramethylcalix[4]Resorcinarene Conformers by Means of Reversed-Phase Solid-Phase Extraction. ACS Omega 2023, 8, 231–237. [Google Scholar] [CrossRef]
- Rodríguez, V.; Pineda, H.; Ardila, N.; Insuasty, D.; Cárdenas, K.; Román, J.; Urrea, M.; Ramírez, D.; Fierro, R.; Rivera, Z.; et al. Efficient Fmoc Group Removal Using Diluted 4-Methylpiperidine: An Alternative for a Less-Polluting SPPS-Fmoc/TBu Protocol. Int. J. Pept. Res. Ther. 2020, 26, 585–587. [Google Scholar] [CrossRef]
- Cockerill, F.; Clinical and Laboratory Standards Institute. Methods for Dilution Antimicrobial Susceptibility Tests for Bacteria That Grow Aerobically: Approved Standard; Clinical and Laboratory Standards Institute: Malvern, PA, USA, 2015. [Google Scholar]
- Timmerman, P.; Verboom, W.; Reinhoudt, D.N. Resorcinarenes. Tetrahedron 1996, 52, 2663–2704. [Google Scholar] [CrossRef]
- Hayes, R.; Ahmed, A.; Edge, T.; Zhang, H. Core-Shell Particles: Preparation, Fundamentals and Applications in High Performance Liquid Chromatography. J. Chromatogr. A 2014, 1357, 36–52. [Google Scholar] [CrossRef] [PubMed]
- Cabrera, K. Applications of Silica-Based Monolithic HPLC Columns. J. Sep. Sci. 2004, 27, 843–852. [Google Scholar] [CrossRef] [PubMed]
- Sharma, G.; Tara, A.; Sharma, V.D. Advances in Monolithic Silica Columns for High-Performance Liquid Chromatography. J. Anal. Sci. Technol. 2017, 8, 16. [Google Scholar] [CrossRef]
- Ibrahim, A.E.; Hashem, H.; Saleh, H.; Elhenawee, M. Performance Comparison between Monolithic, Core-Shell, and Totally Porous Particulate Columns for Application in Greener and Faster Chromatography. J. AOAC Int. 2018, 101, 1985–1992. [Google Scholar] [CrossRef]
- Renault, K.; Fredy, J.W.; Renard, P.Y.; Sabot, C. Covalent Modification of Biomolecules through Maleimide-Based Labeling Strategies. Bioconjug. Chem. 2018, 29, 2497–2513. [Google Scholar] [CrossRef]
- Mojumdar, A.; Yoo, H.J.; Kim, D.H.; Park, J.; Park, S.J.; Jeon, E.; Choi, S.; Choi, J.H.; Park, M.; Bang, G.; et al. Advances in Mass Spectrometry-Based Approaches for Characterizing Monoclonal Antibodies: Resolving Structural Complexity and Analytical Challenges. J. Anal. Sci. Technol. 2024, 15, 23. [Google Scholar] [CrossRef]
- Huang, W.; Wu, X.; Gao, X.; Yu, Y.; Lei, H.; Zhu, Z.; Shi, Y.; Chen, Y.; Qin, M.; Wang, W.; et al. Maleimide–Thiol Adducts Stabilized through Stretching. Nat. Chem. 2019, 11, 310–319. [Google Scholar] [CrossRef]
- Paris, C.; Brun, O.; Pedroso, E.; Grandas, A. Exploiting Protected Maleimides to Modify Oligonucleotides, Peptides and Peptide Nucleic Acids. Molecules 2015, 20, 6389–6408. [Google Scholar] [CrossRef]
- Vargas-Casanova, Y.; Rodríguez-Mayor, A.V.; Cardenas, K.J.; Leal-Castro, A.L.; Muñoz-Molina, L.C.; Fierro-Medina, R.; Rivera-Monroy, Z.J.; García-Castañeda, J.E. Synergistic Bactericide and Antibiotic Effects of Dimeric, Tetrameric, or Palindromic Peptides Containing the RWQWR Motif against Gram-Positive and Gram-Negative Strains. RSC Adv. 2019, 9, 7239–7245. [Google Scholar] [CrossRef]
Disclaimer/Publisher’s Note: The statements, opinions and data contained in all publications are solely those of the individual author(s) and contributor(s) and not of MDPI and/or the editor(s). MDPI and/or the editor(s) disclaim responsibility for any injury to people or property resulting from any ideas, methods, instructions or products referred to in the content. |
© 2025 by the authors. Licensee MDPI, Basel, Switzerland. This article is an open access article distributed under the terms and conditions of the Creative Commons Attribution (CC BY) license (https://creativecommons.org/licenses/by/4.0/).






