Abstract
Coal structures are commonly found in coal rock formations. Understanding the evolutionary laws of mechanics, deformation, and permeability of gas-bearing coal rock during the failure process at different bedding angles is crucial for studying the prevention and control techniques of coal and rock gas dynamic disaster mitigation. In this study, a mechanical seepage test of gas-bearing coal under various bedding angles was conducted using the fluid–solid coupling triaxial servo test system. The results indicate the following corrections: ① Both axial peak strain (ε1) and radial peak strain (ε3) initially increase and then decrease, reaching their maximum values at 45°, indicating that the specimen eventually slips along the bedding plane and fails. ② As the bedding angle increases, the peak stress of the coal body shows a “V”-shaped distribution, with the peak strength of the gas-bearing coal sample being the lowest at 60°. ③ The minimum permeability of the coal sample increases with the rise in the bedding angle. The bedding direction of the coal samples at 90° and 75° aligns with the axial direction, leading to more seepage channels. ④ At a bedding angle of 60°, the minimum dissipated energy (Ud) is required for sample failure, indicating that the sample is highly prone to failure.
1. Introduction
Coal is an important energy source for industrial development worldwide, accounting for a significant portion of global primary energy consumption. In China, coal accounts for a staggering 56% of the energy consumption [1,2]. With the development of the economy, the demand and output of coal increase year by year, leading to the gradual depletion of shallow coal resources [3]. In eastern China, the annual growth rate of coal mining depth can reach 10–25 m. In deep mining environments, the stress conditions surrounding coal formations are significantly different from those during shallow mining periods. The mining conditions deteriorate, and the occurrence of gas-bearing coal becomes more complex. As a result, the frequency and intensity of coal and gas outburst disasters gradually increase [4,5].
Understanding the mechanical and deformation evolution patterns of gas-bearing coal formations under mining-induced stress disturbances is crucial for studying coal and gas dynamic disaster prevention and control techniques [6,7,8]. A large number of scholars have used the triaxial test to analyze the damage and failure forms of coal and rock masses under various stress states. Shen et al. [9] hold that the mechanical peak strength and strain of coal samples gradually decrease as a whole with the increase in axial prestress σ1. Based on the damage and degradation caused by multiple impacts, according to Liu et al. [10], the dynamic peak stress and Young’s modulus of the specimen decrease with an increasing number of impacts.
Du et al. [11] analyzed the changes in total input energy and elastic strain energy by establishing a three-dimensional microstructure reconstruction model of coal and rock formations, considering the variations in confining pressure and gas pressure. Yin et al. [12] used PFC software to study and find that the existence of cracks in coal will lead to a reduction in compressive strength and crack initiation stress, and promote the occurrence of AE. Similarly, the permeability evolution law is also an important means to characterize the damage degree of coal and rock masses [13,14]. Li et al. [15] conducted measurements of permeability and adsorption characteristics using the pulse transient method. The results indicate that for adsorbed gas, permeability initially decreases due to expansion with increasing gas pressure. Li et al. [16] pointed out that gas flow rates increase with increasing pore pressure, causing the coal matrix to undergo expansion deformation due to gas adsorption. Zhu et al. [17], Xu et al. [18], and Wang et al. [19] discussed the damage–permeability aging characteristics of mined coal and the influence of mechanical paths on the permeability characteristics, based on the experimental results of the deformation and gas flow state of highly gassy coal rock formations under mining-induced stress and gas pressure.
The physical and mechanical properties of a coal and rock mass are the internal causes of dynamic coal mine disasters [20,21]. Coal, as a sedimentary rock, undergoes long-term geological processes that result in the development of numerous fractures and bedding planes [22]. The CT scanning of stratified coal shows that most of the original fractures in the coal body develop along parallel stratification directions; bedding planes are one of the primary structures of coal seams and are considered to be the dominant factor influencing the strength, deformation, and failure modes of layered rocks [23,24]. In view of the anisotropy of the mechanical behavior of coal under different bedding conditions, many scholars have carried out corresponding research. Mu et al. [25] conducted experimental research on the influence of different bedding angles on the acoustic emission and mechanical characteristics of coal. Song et al. [26,27] conducted uniaxial compression tests on coal samples with different bedding angles and studied the anisotropic mechanical behavior of coal from aspects such as acoustic characteristics, strength characteristics, and deformation characteristics. They proposed an anisotropic strength model for coal. Hao et al. [28] discussed the effects of bedding angle and confining pressure on the mechanical behavior of shale on the basis of conventional triaxial compression tests. Liu et al. [29] studied the mechanical properties and fracture characteristics of fractured rock masses with bedding plane defects by establishing a pre-fracture model with different bedding plane attributes (strength degradation factor, bedding plane angle, and bedding plane spacing). Yang et al. [30] simulated the fracture mode of bedding rocks and observed that there were five kinds of bedding plane fracture rotation during the fracture process. Zuo et al. [31] analyzed the influence of bedding on shale fracture propagation by using a three-point bending test, and found that when the fracture propagation direction deviates from the bedding inclination angle by 0°~90°, the fracture toughness, energy, and fracture path complexity increase significantly. The development of pore and fracture networks in coal is crucial to the storage space and migration path of coalbed methane, which means that the bedding structure also affects the permeability of coal [32,33,34].
Bedding coal is common in nature, and the bedding plane angle is diversified due to geological movement. It is generally believed that bedding is the stress release surface of coal seams, and its angle difference has an important effect on the strength and failure of coal. However, there are few studies on the influence of bedding plane angle on the failure process of coal under triaxial loading conditions. In view of this, this paper uses the fluid–solid coupling triaxial servo test system for gas-bearing coal to carry out mechanical seepage tests of gas-bearing coal under different bedding angles. The influence of bedding angle on the stress–strain, strength, permeability, and energy characteristics of coal is analyzed, and the research results can provide a reference for the stability analysis of gas-bearing coal in deep environments and the prediction and prevention of instability disasters.
2. Test Equipment and Scheme
2.1. Sample Preparation
The specimens used in this experiment are standard samples with dimensions of 50 mm × 100 mm, and the long-flame coal from the Baliancheng Mine (Group) Co., Ltd., Hunchun, Jilin province, China was selected as the research object. The Baliancheng mine field is located to the west of Hunchun coalfield. It has developed coal-bearing deposits from the Paleogene and Eocene to the Oligocene, with many faults and obvious rules. And it is a high-capacity gas mine; the maximum measured gas content is 6.3 m3/t, the absolute gas emission amount is 58.77 m3/min, and the relative gas emission amount is 10.62 m3/t.
In accordance with the requirements of the “Standard Test Method for Engineering Rock Masses” (GB/T50266-2013 [35]), large coal blocks with significant structural bedding were transported to the laboratory for cutting and grinding to produce standard coal samples with a diameter of 50 mm and a height of 100 mm. It was ensured that the non-parallelism between the two end faces of the coal sample was less than 0.05 mm, with the end faces perpendicular to the axis of the coal sample and a maximum deviation not exceeding 0.25°. Coal samples were taken at angles of 0°, 15°, 30°, 45°, 60°, and 90° between the bedding planes and the horizontal direction, as shown in Figure 1.
Figure 1.
Sampling location of coal samples.
After the processed samples were dried, 3 coal samples were taken from each angle for P-wave velocity measurement. The coal samples without abnormal wave velocity, that were intact, and apparently without cracks and defects, were selected for experimental research. Table 1 shows the wave velocity statistics of the coal samples used in the experiment.
Table 1.
Wave velocity statistics of coal samples with different bedding angles.
Figure 2 shows the change in coal axial wave velocity with the increase in bedding angle. As the bedding angle increases, the wave velocity of the sandstone samples increases nearly linearly. The average wave velocity increases from 1542 m/s at θ = 0° to 2286 m/s at θ = 90°, with an increase of 744 m/s. This is because as the bedding dip angle increases, the number of bedding planes that the transmitted wave passes through decreases, reducing the travel time and thus increasing the wave velocity. This indicates that the propagation of sound waves in layered coal bodies exhibits significant anisotropy.
Figure 2.
Variation curve of P-wave velocity with bedding angle.
2.2. Test Equipment
The experiment was conducted on a gas-bearing coal thermal fluid–solid coupled triaxial servo test system, which consists of four main parts: an axial loading unit, a permeability control unit, a gas injection and vacuum unit, and a data acquisition and real-time monitoring unit. The structural composition of the experimental system is shown in Figure 3.
Figure 3.
Gas-bearing coal thermal fluid–solid coupled triaxial servo test system.
2.3. Test Scheme
To avoid interference from moisture, all specimens were dried in a drying oven at a temperature of 105 °C for 6 h. To prevent delamination during the experiment and to ensure effective gas permeation, a layer of 704 silicone gel was uniformly applied to the surface of the specimens prior to the test. After allowing the gel-coated specimens to stand for 24 h, they were fixed together using heat shrink tubing.
According to previous research [5], the adsorption, desorption, and permeation behaviors of CO2 and CH4 in coal are similar. Therefore, CO2 can be used as a substitute for CH4 in physical simulation experiments. For safety reasons, this study conducted the experiments using CO2 with a concentration of 99.9%. In the following sections, the term “gas” refers to CO2.
The steps for conducting gas-bearing coal mechanical permeability tests under triaxial loading conditions are as follows: (1) Close the air outlet valve and open the vacuum pump to vacuum the coal sample chamber for 6 h; (2) Apply hydrostatic pressure σ1 = σ3 to 8 MPa (where σ1 is the axial stress and σ3 is the confining pressure), and the stress balance is 3 h; (3) 1.5 MPa CO2 was injected into the coal sample chamber and adsorbed for 24 h. When the strain was less than 1%, the sample was considered to have reached adsorption equilibrium. (4) Open the stress–strain collection device and gas flow collection device and load the axial stress at a rate of 0.1 mm/min until it is damaged. The loading path is shown in Figure 4, and the coal sample size and experimental steps are shown in Table 2.
Figure 4.
Load path diagram.
Table 2.
Specimen size parameters and test scheme.
3. Test Results and Analysis
3.1. Stress–Strain Characteristics
Figure 5 displays the stress–strain curve of gas-bearing coal under triaxial compression testing at 8 MPa. It can be observed that the stress–strain variations in the specimens exhibit a similar trend overall. The difference in principal stresses initially increases and then decreases with the increase in axial strain. Taking Figure 5a as an example for pattern analysis, the stress–strain curve can be divided into four stages: the elastic deformation stage, the stable crack propagation stage, the unstable crack propagation stage, and the post-peak instability and failure stage. In the elastic stage, the low level of axial stress does not cause internal damage in the specimen, and the deformation and stress exhibit a linear increasing trend. In the stable crack propagation stage, the increase in axial stress leads to the formation of new cracks inside the specimen, causing the deformation curve to deviate from linearity. In the unstable crack propagation stage, the growth rate of internal cracks intensifies with increasing stress, resulting in a transition of overall deformation from compression-dominated to expansion-dominated. In the post-peak instability and failure stage, the internal cracks intersect, causing the stress in the specimen to drop until failure occurs.

Figure 5.
Stress–strain of gas-bearing coal under triaxial loading test at different bedding angles.
The deformation of gas-bearing coal is influenced by the angle of bedding, as shown in Figure 6. The variation in bedding angle affects the deformation capacity of gas-bearing coal samples. As the bedding angle increases, both the axial peak strain ε1 and the radial peak strain ε3 of the specimen show a trend of initially increasing and then decreasing. At an angle of 0°, when reaching the stress peak, the axial peak strain ε1 and the radial peak strain ε3 of the specimen are 2.03 and 1.18, respectively. At a bedding angle of 30°, ε1 and ε3 are 4.89 and 2.98, respectively. When the bedding angle increases to 45°, ε1 and ε3 are 6.90 and 4.91, respectively, reaching their maximum values. As the bedding angle gradually increases to 60°, 75°, and 90°, ε1 decreases to 5.31, 2.03, and 1.51, respectively, while ε3 decreases to 2.35, 1.25, and 1.35, respectively. This is because at a bedding angle of 45°, the failure of the gas-bearing coal sample is significantly influenced by the bedding angle; once the shear force along the bedding plane exceeds the cementation strength between the bedding planes, this eventually results in unstable failure along the bedding plane due to sliding.
Figure 6.
Variation law of peak strain of coal samples.
3.2. Mechanical Strength Characteristics
In order to gain a better understanding of the influence of bedding angle on the peak strength of gas-bearing coal samples, the experimental results were organized and analyzed, as shown in Table 3 and Figure 7, revealing the anisotropic characteristics of different bedded coal formations.
Table 3.
Mechanical properties of coal samples with different bedding angles.
Figure 7.
Influence of bedding angle on peak strength of coal samples.
With the increase in bedding angle, the peak deviator stress, elastic modulus, and peak strain of the coal exhibit strong anisotropy. The peak deviator stress of the coal forms a “V”-shaped distribution. The peak strength of the gas-bearing coal samples is lowest at a bedding angle of 60° and highest at a bedding angle of 90°, indicating the strongest load-bearing capacity. The peak strength of the gas-bearing coal samples initially increases and then decreases with increasing bedding angle, exhibiting a characteristic of increasing again at the end. The elastic modulus reflects the ability of coal to resist deformation during loading. The trend of the elastic modulus of the coal samples generally decreases with the change in the bedding angle θ, reaching a minimum value at 60° and gradually increasing thereafter.
According to the characteristics of coal samples at different bedding angles, the differences in the mechanical properties of coal samples can be analyzed as follows. For a coal sample with a bedding angle of 0°, the bedding planes are perpendicular to the loading direction. The load-bearing capacity of the coal sample mainly depends on the support of the coal matrix and the bond strength between the bedding planes. In the case of a coal sample with a bedding angle of 60°, shear slip failure occurs, and the compressive strength mainly depends on the bond strength between the weak bedding planes, resulting in the lowest peak deviator stress. In contrast, for a coal sample with bedding angle of 90°, the load-bearing capacity is more inclined towards the material itself, resulting in the maximum load-bearing capacity.
The coal sample with bedding angle of 0° was significantly affected by the cutting action of the cleavage planes, resulting in the most significant increase. In the case of a coal sample with a bedding angle of 60°, the compressive strength mainly depends on the bond strength between the weak bedding planes, and the radial constraint and bedding planes are at a 60° angle. As a result, the increase in peak deviator stress is less prominent, leading to a “V”-shaped distribution of the increase with increasing bedding angle.
3.3. Seepage Change Characteristics
In this study, the seepage of gas in coal is believed to obey Darcy’s law, and the permeability calculation formula is
where k represents permeability in m2, Q represents the gas flow rate in m3/s, μ represents the absolute viscosity of the gas, L represents the length of the specimen in meters, A represents the effective area of permeability in m2, p0’ represents the standard atmospheric pressure in MPa, p1 represents the inlet pressure in MPa, and p2 represents the outlet pressure in MPa.
The permeability of the specimen represents the strength of gas permeability. By observing the permeability variation curve shown in Figure 8, it can be observed that as stress is applied, the permeability initially decreases and then increases. This is because during the initial stage of the experiment, as external stress is applied, the inherent pores and cracks inside the specimen are compressed, leading to a narrowing of gas flow channels and a decrease in permeability. Subsequently, cracks in the specimen start to develop, leading to damage expansion, which increases the gas flow channels and thus increases the permeability. As stress continues to increase, internal cracks start to connect, resulting in the unstable failure of the specimen, opening up the gas flow channels, and causing a rapid increase in permeability.
Figure 8.
Variation trend of permeability.
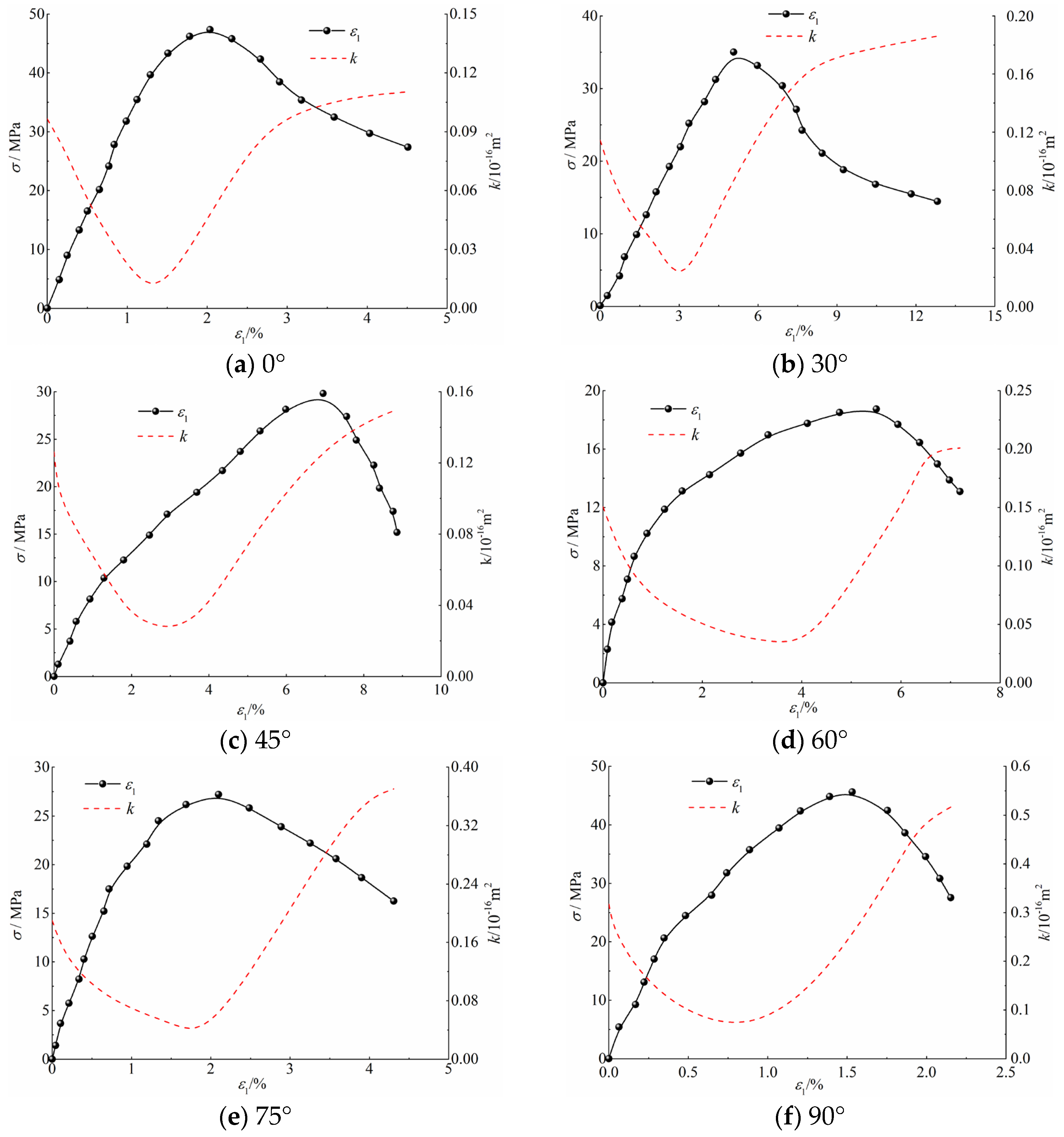
As shown in Figure 9, overall, the minimum permeability of the coal sample increases with the increasing bedding angle during the loading and failure process of the specimen.
Figure 9.
Influence of bedding angle on permeability of coal sample.
Coal samples with bedding angles of 90° and 75° have bedding orientations consistent with the axial direction, resulting in well-developed bedding fractures and more flow channels. As a result, these samples exhibit higher initial permeability compared to coal samples with other bedding angles.
Coal samples with bedding angles less than 75° have a certain angle with the flow direction due to their bedding orientation, which prevents gas from flowing solely along the bedding fractures. Instead, gas flow also needs to traverse the cleavage fractures across the bedding planes. As the bedding angle increases, the area requiring cross-bedded flow increases. However, the number of cross-bedded cleavages is smaller and their development is limited. This results in fewer and more tortuous flow channels, leading to significantly increased flow resistance. Therefore, the initial permeability of these samples is much lower than that of nearly parallel bedded coal samples, and it decreases with increasing bedding angle. Coal samples with larger bedding angles have limited space for primary fractures along the axial direction, and their permeable pathways have less compressibility.
3.4. Energy Evolution Characteristics
The loading failure of gas-bearing coal involves the transfer and exchange of energy between the coal and its surroundings. During the stress loading of the specimen, external forces perform work on it, resulting in energy absorption by the specimen. The total input energy (U) absorbed during the specimen’s failure process is transformed into elastic strain energy (Ue) and dissipated energy (Ud) [34,36], as shown in Figure 10, where
Figure 10.
Energy evolution diagram of the failure process of gas-bearing coal.
In the presence of gas pressure during the permeability testing, the influence of gas pressure on the test should be taken into account when calculating the work performed on gas-bearing coal under external forces. Specifically, the work applied to the coal should be the effective principal stress, and it can be calculated using the following formula [37]:
So, we have:
Ue can be calculated as:
According to a generalized Hook’s law:
Then, we have:
For the true triaxial test:
In this study:
where α is the Biot coefficient, which is approximately 1; U0 is the total energy absorbed by the specimen in the hydrostatic stage, kJ/m3; B is the ratio of minimum principal strain to maximum principal strain; E is the elastic modulus of the specimen, MPa; and υ is the Poisson’s ratio of the specimen. The elastic modulus and Poisson’s ratio are generally those of the specimen in the elastic stage.
The energy indexes of samples with different bedding angles during peak stress and sample failure are shown in Figure 11. The main energy triggering coal sample failure is the stored elastic strain energy inside the specimen. When the stress reaches its peak, the coal sample reaches its energy storage limit, and a larger elastic strain energy indicates the sample is less likely to fail. The evolution of strain energy in coal samples with different bedding planes exhibits strong isotropy, as shown in Figure 11a. At the peak stress stage, with the increase in the bedding angle, the total strain energy U and elastic strain energy Ue first decrease and then increase in a V-shaped trend. Both are highly sensitive to bedding and show obvious anisotropy. When the bedding angle is 0°, the total strain energy U and elastic strain energy Ue of the coal sample reach their maximum values. When the bedding angle is increased to 60°, the total strain energy U and elastic strain energy Ue reach their minimum values. The variation trend in dissipated energy Ud is close to the horizontal, the sensitivity to the bedding angle is low, and there is no obvious anisotropy.
Figure 11.
Variation in energy with different coal bedding angle.
During the failure phase, almost all Ue stored in the coal sample before the peak is converted to Ud for rapid crack propagation and penetration. With the increase in the bedding angle, the curves of total strain energy U and dissipated energy Ud basically coincide, showing a V-shaped trend, and the anisotropy is significant. When the bedding angle is 0°, the dissipation energy required for sample failure is at its largest. When the bedding angle is 60°, the dissipation energy required for sample failure is at its minimum, and the sample is most prone to failure. This is directly related to the failure mode of the sample. The sample at 60° showed shear slide failure along the plane, and the energy loss was minimal. On the other hand, the 0° specimen underwent composite failure, penetrating both the matrix and the bedding plane, resulting in greater energy loss. Therefore, specimen failure is the most difficult to occur.
The effects of layer -rated inclination angle on the strain, strength, penetration rate and energy evolution of gas-bearing coal. Studies have found that when the layers of inclination angle are 45°, 60°, and 75°, the intensity of the test parts is low, and the strain varies when the test parts are damaged. In addition, with the increase in the coal seam inclination angle, the energy storage limit of the sample decreases, and the coal seam is more likely to lose stability. When the inclination angle is 60°, the proportion of the strain can be converted into decentralized energy, and the risk of coal, rock, and gas disasters is high; protective measures should be taken. At the same time, the mining angle and mining process of the working surface can also be adjusted according to the coal seam inclination angle. In addition, in the process of natural gas mining, the diamond angle and natural gas coal seam inclination can be adjusted. When the angle is 60°, the penetration behavior of the gas is more convenient.
4. Discussion
In order to further understand the relationship between coal bedding angle and the form of failure, the failure mechanism of the coal body is further analyzed with the Moore–Coulomb criterion. For intact rocks, according to the M-C strength criterion [5], when shear failure occurs along a certain interface, the shear strength is shown in Equation (14):
where τd is shear strength, MPa; σ′n is normal stress, MPa; c is the cohesive force inside the coal, MPa; φ is the internal friction angle, (°).
As shown in Figure 12a, according to the M-C stress circle theory, the relationship between normal stress and shear stress on the failure shear plane is shown in formulas (15) and (16):
Figure 12.
Rock failure surface and M-C strength criterion.
As shown in Figure 12b, if the failure of the intact rock complies with the M-C strength criterion, the conditions for rock failure along the shear plane can be obtained by substituting Equation (17), as shown in the following equation,
where α is the angle between the failure surface and the minimum principal stress, (°).
For coal rock with a weak bedding plane, shear slip failure may occur along the weak bedding plane, on the one hand, and shear failure may occur across the bedding plane, on the other hand, with a change in bedding direction when loading the coal sample.
As shown in Figure 13, according to the Moore–Coulomb strength criterion, when the molar circle is located below the failure envelope of the structural plane, that is, when 2α < 2α1 or 2α > 2α2, the coal body does not fail along the bedding plane, but shear failure occurs across the bedding plane.
Figure 13.
Shear failure criterion of coal.
When the mole circle is located above the structure line, that is, when α1≤ 2α ≤ 2α2, the coal body will be destroyed along the weak plane of bedding, and the α = 45° coal sample will conform to this failure form. When coal shear slip failure occurs along a weak bedding plane, the relationship between shear failure strength and normal stress on weak the bedding plane is shown in Equation (18):
By substituting formula (18) into formula (15) and (16), it can be obtained that the failure condition of a coal body along the weak plane of bedding is shown in Formula (19),
where τL is the shear failure strength of the weak plane of bedding, MPa; σ′L is the normal stress on the weak surface of bedding, MPa; φL is the internal friction angle of the weak plane of bedding, °; and cL is the cohesion between the weak planes of the bedding, MPa.
As shown in Figure 13, the angle between the minimum principal stress and the bedding surface is α1. The conditions for coal sample failure along the structural plane are shown in Equation (20),
After simplification, the calculation formula of the critical angle α1 can be obtained, as shown in Equation (21),
Similarly, the formula for calculating the critical angle α2 can be obtained.
As can be seen from formula (19), when 2α → 0°, 2α → 180° or 2α → φL, σ′1-σ′3 → ∞, the coal will inevitably not be damaged along the weak plane of bedding, but will tend to be damaged by the material itself, reflecting the strength characteristics of the material itself. In the process of coal rock failure from structural plane failure to complete rock failure, the coal body surface comes to be in a composite failure form, with shear failure accompanied by tensile failure [38].
Through the relationship between α and the failure mode, the change in failure mode of a coal sample with the angle of bedding can be deduced. According to the concrete test results, shear slip failure occurs when coal is loaded along a certain range of bedding angles, and the failure form of 0°, 45°, 60° coal sample conforms to this situation. At θ = 90°, the loading direction of the coal is parallel to the bedding direction, and the coal will be adjusted to the radial direction during the loading process, and the cutting action of the cutting makes the integrity of the coal poor, resulting in the tensile failure of the coal, resulting in the failure of the intact rock. The failure mode of the coal sample with θ = 0° is shear failure across the bedding plane, and the loading direction is perpendicular to the bedding plane. Under the action of confining pressure, the coal sample is more inclined to the shear failure of intact coal.
The relationship between α and the failure mode can be used to deduce the change in failure mode of the coal sample with the angle of bedding. According to the concrete test results, the shear slip failure occurs when the coal and rock are loaded along a certain range of bedding angles, and the failure form of the 30°, 45°, and 60° coal samples conforms to this situation.
When the loading direction of the θ = 90° coal sample is parallel to the bedding direction, the coal body will adjust to the radial direction during the loading process, and the cutting action of the cutting makes the integrity of the coal body poor, resulting in the tensile failure of the coal body, resulting in the failure of the intact rock. When the θ = 0° coal sample undergoes shear failure across the bedding plane, and the loading direction is perpendicular to the bedding plane, under the action of confining pressure, the coal sample is more inclined to the shear failure of intact rock. When the 90° coal sample is loaded, the existence of cleavage cracks weakens the integrity of the coal body. The carrying capacity of the coal sample mainly reflects the bonding strength between the coal particles and the bonding strength between the bedding planes, and the cohesion is also smaller than that of the 90° coal.
This paper studies the mechanical–exudation–energy evolution process of gas-containing coal under different levels of rational angle at different levels of rational angles, and analyzes the theoretical analysis of the mechanism of damage to the coal body. A preliminarily mechanism for the loss of stability and destruction of gas-containing coal under different levels of rational angle was obtained. It is inspired by the prevention and control of disasters in coal mining. The mining method of coal seams at different angles and the need for pressure removal, soaring, and supporting measures requires specific means, such as the main timely decay of the mining of vertical inclination coal seams. Measures to prevent accidents and, when the coal seam dumping angle and mining angle presents as 45°, 60°, and 75°, the smoothness of the coal seam can be considered. However, due to the complex geological conditions of a coal mine, the surrounding air fields, temperature fields, and stress fields are intertwined. The test results and the actual situation at the scene can differ. According to the above conclusions, the author intends to find a typical coal seam layout stress monitoring device at the coal mine of Xunchun Mining Group to conduct on-site monitoring of the coal seam deformation to guide the safety and efficient production of working faces.
5. Conclusions
This study conducted a triaxial stress–permeability test on gas-bearing coal under different bedding angles. It analyzed the impact of bedding angle on strain, strength, permeability, and the energy evolution characteristics of gas-bearing coal. The following conclusions were drawn:
- (1)
- The change in bedding angle affects the deformation ability of coal samples containing gas. ε1 and ε3 both first increase and then decrease. When the bedding angle is 45°, the failure of the coal sample containing gas is greatly affected by the bedding angle, and instability failure occurs along the bedding plane.
- (2)
- With the change in bedding angle, the coal exhibits strong anisotropy in terms of peak stress, elastic modulus, peak strain, and other characteristics. The minimum permeability of the sample increases with the increase in bedding angle. The bedding direction of the 90°and 75° coal samples is consistent with the axial direction, the bedding fractures are well developed, and the seepage channels are greater.
- (3)
- At the peak stress stage, the total strain energy U and the elastic strain energy Ue first decrease and then increase with the increase in the bedding angle. During the failure stage of the specimen, the curve of the total strain energy U and the dissipated energy Ud almost overlap, exhibiting a V-shaped trend. At an angle of 60°, the minimum dissipated energy Ud is required for specimen failure, indicating that the sample is more prone to failure.
Author Contributions
X.T.: conceptualization, data curation, and writing—original draft. F.X.: data curation and formal analysis. Y.B.: formal analysis. R.B.: funding acquisition and methodology. Y.G.: formal analysis and visualization. N.H.: formal analysis and visualization. All authors have read and agreed to the published version of the manuscript.
Funding
This research was funded by the National Natural Science Foundation of China (52404223, 52204212), the China Postdoctoral Science Foundation (2024M751711), the S&T Program of Hebei (22375401D), and the Fundamental Research Funds for the Central Universities (3142020003).
Data Availability Statement
The data used to support the findings of this study are available from the corresponding author upon request.
Conflicts of Interest
Author Xiaojun Tang was employed by the company Hunchun Mining Group Co., Ltd. The remaining authors declare that the research was conducted in the absence of any commercial or financial relationships that could be construed as a potential conflict of interest.
References
- Liu, C.; Zhang, R.; Wang, Z.; Zhang, X. Research on the fire extinguishing performance of new gel foam for preventing and controlling the spontaneous combustion of coal gangue. Environ. Sci. Pollut. Res. 2023, 30, 88548–88562. [Google Scholar] [CrossRef]
- Guo, Y.; Liu, X.; Li, W.; Du, F.; Ma, J.; Qian, R.; Huo, N. Research on abutment stress distribution of roof-cutting coalface: Numerical simulation and field measurement. Geomech. Geophys. Geo-Energ. Geo-Resour. 2024, 10, 86. [Google Scholar]
- Li, W.; Guo, Y.; Liu, X.; Du, F.; Li, G.; Ma, Q. Failure mechanisms and reinforcement support of roadway in deep coal seam: A case study. Eng. Fail. Anal. 2024, 165, 108745. [Google Scholar] [CrossRef]
- Zhang, X.; Wang, Z.; Chen, W. Optimisation of synergistic ventilation between dust and gas in a gas tunnel. Sci. Rep. 2024, 14, 27582. [Google Scholar] [CrossRef]
- Guo, Y.; Wang, K.; Du, F.; Guo, H.; Li, K.; Wang, Y. Mechanical-permeability characteristics of composite coal rock under different gas pressures and damage prediction model. Phys. Fluids 2024, 36, 036615. [Google Scholar] [CrossRef]
- Wang, K.; Zhao, E.; Guo, Y.; Du, F.; Ding, K. Effect of loading rate on the mechanical and seepage characteristics of gas-bearing coal–rock and its mechanical constitutive model. Phys. Fluids 2024, 36, 026606. [Google Scholar] [CrossRef]
- Renani, H.R.; Martin, C.D. Slope stability analysis using equivalent Mohr–Coulomb and Hoek-Brown criteria. Rock Mech. Rock Eng. 2020, 53, 13–21. [Google Scholar] [CrossRef]
- Abbas, H.A.; Mohamed, Z.; Kudus, S.A. Deformation behaviour, crack initiation and crack damage of weathered composite sandstone-shale by using the ultrasonic wave and the acoustic emission under uniaxial compressive stress. Int. J. Rock Mech. Min. 2023, 170, 105497. [Google Scholar] [CrossRef]
- Shen, R.; Gu, Z.; Wang, E.; Liu, Z.; Liu, W.; Wang, X. Experimental study on impact dynamics and failure characteristics of coal specimen under true triaxial conditions. J. China Coal Soc. 2023, 48, 2168–2178. [Google Scholar]
- Liu, K.; Zhao, J. Progressive damage behaviors of triaxially confined rocks under multiple dynamic loads. Rock. Mech. Rock. Eng. 2021, 54, 3327–3358. [Google Scholar] [CrossRef]
- Du, F.; Wang, K.; Dong, X.; Wei, J. Numerical simulation of damage and failure of coal-rock combination based on CT three-dimensional reconstruction. J. China Coal Soc. 2021, 46, 253–262. [Google Scholar]
- Yin, D.; Chen, S.; Liu, X.; Ma, H. Effect of joint angle in coal on failure mechanical behavior of roof rock-coal combined body. Q. J. Eng. Geol. Hydrogeol. 2018, 51, 202–209. [Google Scholar] [CrossRef]
- Miao, X.; Qian, M. Research on Green Mining of Coal Resources in China: Current Status and Future Prospects. J. Min. Saf. Eng. 2009, 26, 1–14. [Google Scholar]
- Liu, T.; Liu, S.; Lin, B.; Fu, X.; Zhu, C.; Yang, W.; Zhao, Y. Stress response during in-situ gas depletion and its impact on permeability and stability of CBM reservoir. Fuel 2020, 266, 117083. [Google Scholar] [CrossRef]
- Li, X.; Feng, Z.; Han, G.; Elsworth, D.; Marone, C.; Saffer, D.; Cheon, D.-S. Permeability Evolution of Propped Artificial Fractures in Green River Shale. Rock Mech. Rock Eng. 2017, 50, 1473–1485. [Google Scholar] [CrossRef]
- Li, B.; Li, J.; Yang, K.; Ren, C.; Xu, J.; Zhang, M. Deformation and permeability model of coal and rock considering moisture content. J. China Coal Soc. 2019, 44, 1076–1083. [Google Scholar]
- Zhu, J.; Wang, Q.; Tang, J.; Chen, Q.; Jiang, Y.; Tang, D.; Lan, T. Evolution characteristics of strain and permeability of coal samples under loading and unloading conditions. J. China Coal Soc. 2021, 46, 1203–1210. [Google Scholar]
- Xu, C.; Fu, Q.; Wang, K.; Yuan, L.; Zhang, X.; Wang, S. Effects of the loading methods on the damage-permeability aging characteristics of deep mining coal. J. China Univ. Min. Technol. 2018, 47, 197–205. [Google Scholar]
- Wang, K.; Guo, Y.; Xu, H.; Dong, H.; Du, F.; Huang, Q. Deformation and permeability evolution of coal during axial stress cyclic loading and unloading: An experimental study. Geomech. Eng. 2021, 24, 519–529. [Google Scholar]
- Åkesson, U.; Stigh, J.; Lindqvist, J.E.; Göransson, M. The influence of foliation on the fragility of granitic rocks, image analysis and quantitative microscopy. Eng. Geol. 2003, 68, 275–288. [Google Scholar] [CrossRef]
- Kuila, U.; Dewhurst, D.; Siggins, A.; Raven, M.D. Stress anisotropy and velocity anisotropy in low porosity shale. Tectonophysics 2011, 503, 34–44. [Google Scholar] [CrossRef]
- Huang, L.; Li, B.; Wang, B.; Zhang, J. Effects of coal bedding dip angle on hydraulic fracturing crack propagation. Geomech. Geophys. Geo-Energ. Geo-Resour. 2023, 9, 30. [Google Scholar] [CrossRef]
- Yuan, T.; Wei, Y.; Chen, S.; Liu, W.; Zhao, L.; Zhang, X. Study on Mechanical Properties and Crack Propagation of Raw Coal with Different Bedding Angles based on CT Scanning. ACS OMEGA 2022, 7, 27185–27195. [Google Scholar] [CrossRef] [PubMed]
- Song, H.; Zhao, Y.; Jiang, Y.D.; Zhang, X. Influence of heterogeneity on the failure characteristics of coal under uniaxial compression condition. J. China Coal Soc. 2017, 42, 3125–3132. [Google Scholar]
- Mu, H.; He, X.; Song, D.; Li, Z.; Qiu, L.; Su, D.; Yin, S. Response characteristics and influence mechanism of uniaxial com pression mechanics and AE of coal with different joint an gles. J. China Coal Soc. 2020, 45, 1726–1732. [Google Scholar]
- Song, H.; Zhao, Y.; Elsworth, D.; Jiang, Y.; Wang, J. Anisotropy of acoustic emission in coal under the uniaxial loading condition. Chaos Solitons Fractals 2020, 130, 109465. [Google Scholar] [CrossRef]
- Song, H.; Zhao, Y.; Wang, J.; Jiang, Y.; Wang, X. Loading rates de pendency of strength anisotropy in coal: Based on the three-dimensional reconstruction modeling technology. Energy Sci. Eng. 2021, 9, 855–864. [Google Scholar] [CrossRef]
- Hao, X.; Wang, S.; Xu, Q.; Yang, D.; Zhang, Q.; Jin, D.; Wei, Y. Influences of confining pressure and bedding angles on the deformation, fracture and mechanical characteristics of slate. Constr. Build. Mater. 2020, 243, 118255. [Google Scholar] [CrossRef]
- Liu, L.; Li, H.; Chen, S.; Shao, Z.; Zhou, C.; Fu, S. Effects of bedding planes on mechanical characteristics and crack evolution of rocks containing a single pre-existing flaw. Eng Geol. 2021, 293, 106325. [Google Scholar] [CrossRef]
- Yang, X.-W.; Zhang, X.-P.; Zhang, Q.; Li, C.-D.; Wang, D.-J. Study on the mechanisms of crack turning in bedded rock. Eng. Fract. Mech. 2021, 247, 107630. [Google Scholar] [CrossRef]
- Zuo, J.; Lu, J.; Ghandriz, R.; Wang, J.; Li, Y.; Zhang, X.; Li, J.; Li, H. Mesoscale fracture behavior of Longmaxi outcrop shale with different bedding angles: Experimental and numerical investigations. J. Rock Mech. Geotech. 2020, 12, 297–309. [Google Scholar] [CrossRef]
- Liu, C.; Yin, G.; Li, M.; Shang, D.; Deng, B.; Song, Z. Deformation and permeability evolution of coals considering the effect of beddings. Int. J. Rock. Mech. Min. 2019, 117, 49–62. [Google Scholar] [CrossRef]
- Yin, G.; Shang, D.; Li, M.; Huang, J.; Gong, T.; Song, Z.; Deng, B.; Liu, C.; Xie, Z. Permeability evolution and mesoscopic cracking behaviors of liquid nitrogen cryogenic freeze fracturing in low permeable and heterogeneous coal. Powder Technol. 2018, 325, 234–246. [Google Scholar] [CrossRef]
- Kang, X.T.; Yin, G.Z.; Huang, G.; Li, X.; Shang, D.L.; Li, W.P. Experiment research on gas seepage anisotropy in low-permeability coal. Chin. J. Eng. 2015, 37, 971–975. [Google Scholar]
- GB/T50266-2013; Standard for Test Methods of Engineering Rock Mass. China Planning Press: Beijing, China.
- Lu, J.; Yin, G.; Deng, B.; Zhang, W.; Li, M.; Chai, X.; Liu, C.; Liu, Y. Permeability characteristics of layered composite coal-rock under true triaxial stress conditions. J. Nat. Gas Sci. Eng. 2019, 66, 60–76. [Google Scholar] [CrossRef]
- Du, F.; Wang, K.; Wang, G.; Huang, Y.; Yi, L. The mechanism of damage in gas-bearing coal-rock combination bodies and gas seepage in coals. Energy Sources Part A Recovery Util. Environ. Eff. 2021, 43, 1181–1201. [Google Scholar] [CrossRef]
- Zhou, Y.; Li, C.; Wang, W.; Zhou, X. Microscopic study on mechanical properties of coal and rock containing bedding under uniaxial compression conditions. J. Cent. South Univ. 2022, 53, 4036–4047. [Google Scholar]
Disclaimer/Publisher’s Note: The statements, opinions and data contained in all publications are solely those of the individual author(s) and contributor(s) and not of MDPI and/or the editor(s). MDPI and/or the editor(s) disclaim responsibility for any injury to people or property resulting from any ideas, methods, instructions or products referred to in the content. |
© 2025 by the authors. Licensee MDPI, Basel, Switzerland. This article is an open access article distributed under the terms and conditions of the Creative Commons Attribution (CC BY) license (https://creativecommons.org/licenses/by/4.0/).













