Research on Modifying the Development Plan to Enhanced Oil Recovery in the Middle and Late Stages of Water Flooding in Deep Clastic Rock Reservoirs
Abstract
1. Introduction
2. Research Method
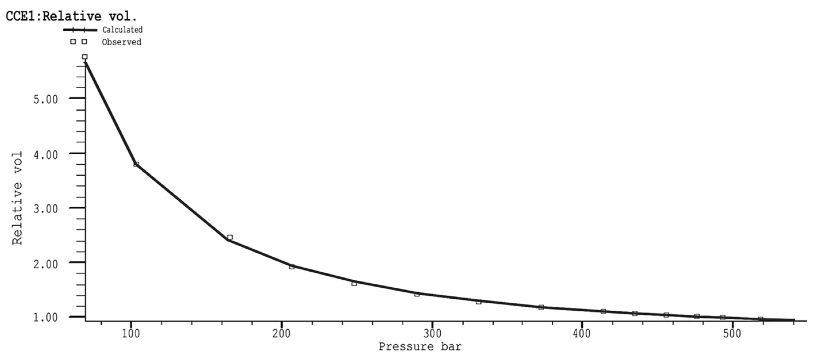
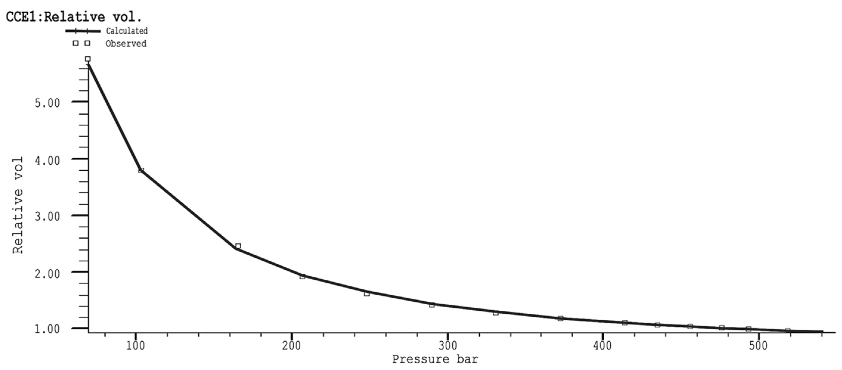
2.1. PVT Fitting
2.2. Mathematical Model
2.3. Model Grid Partitioning and Physical Property Parameters
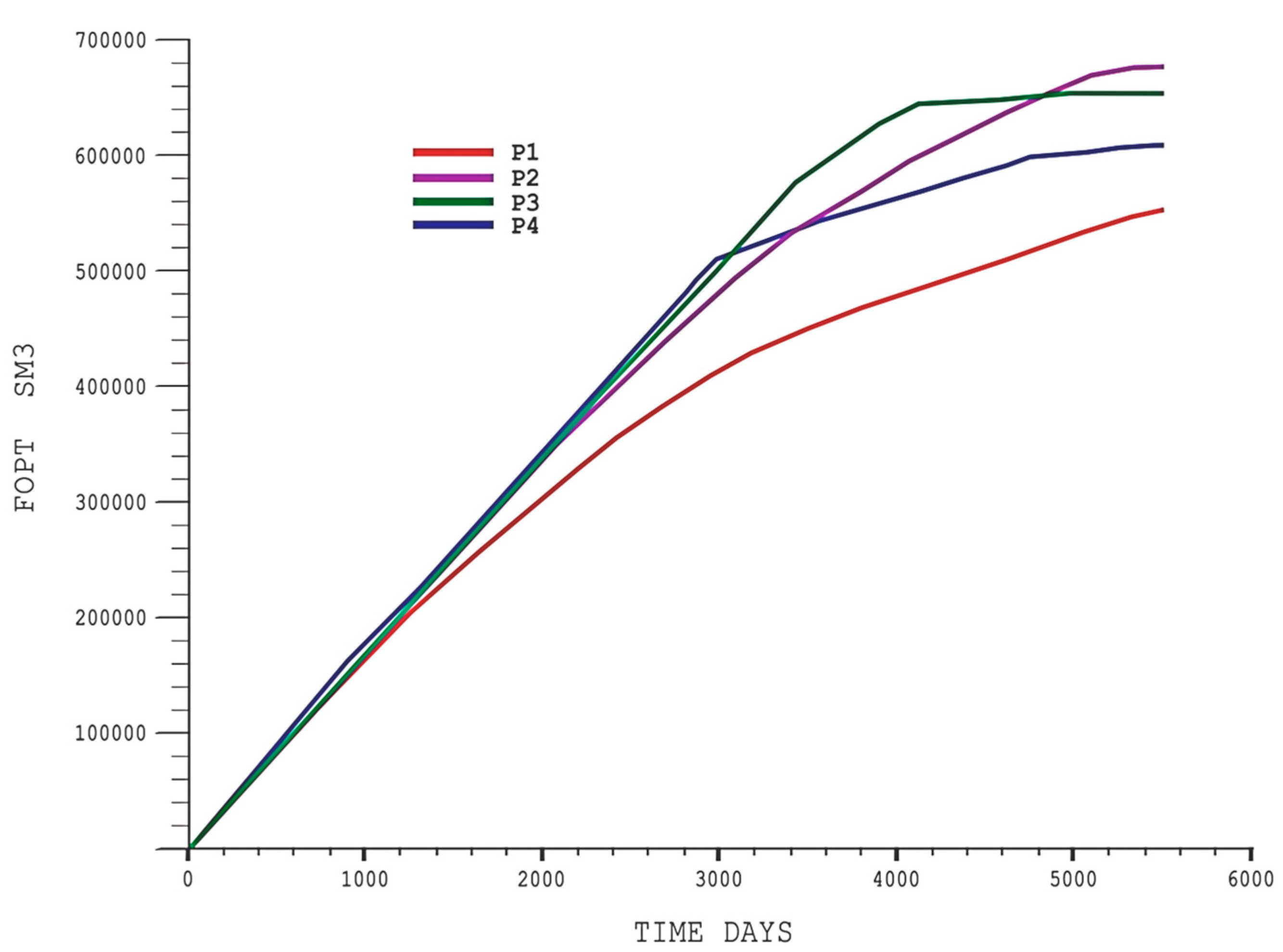
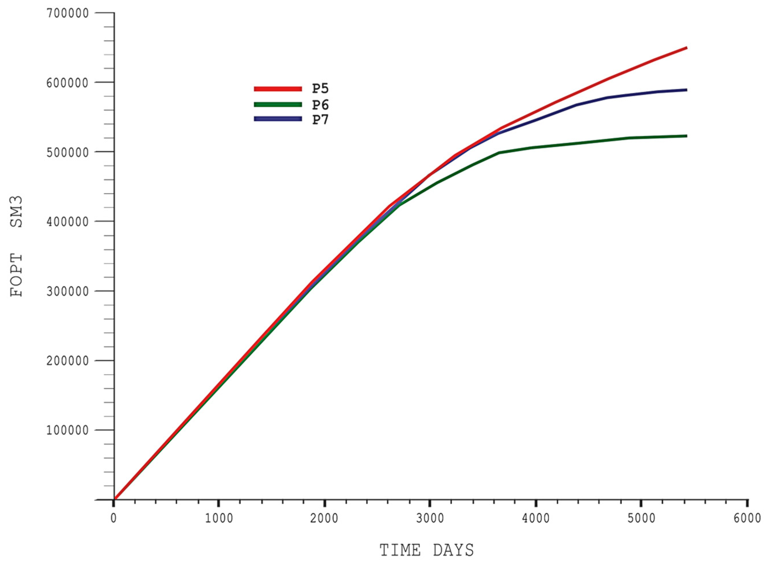
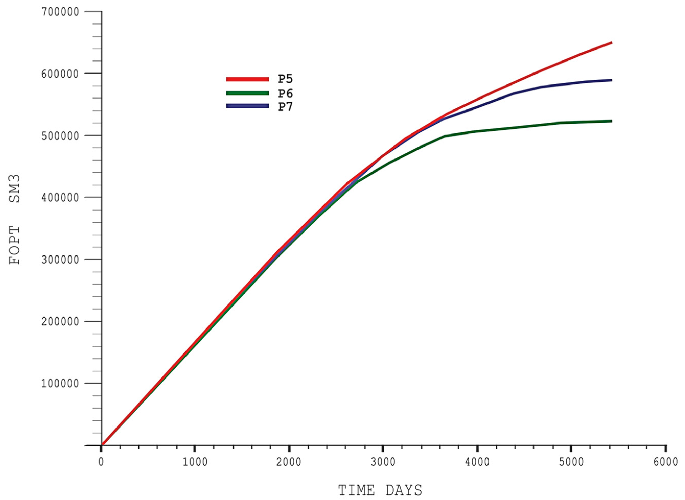
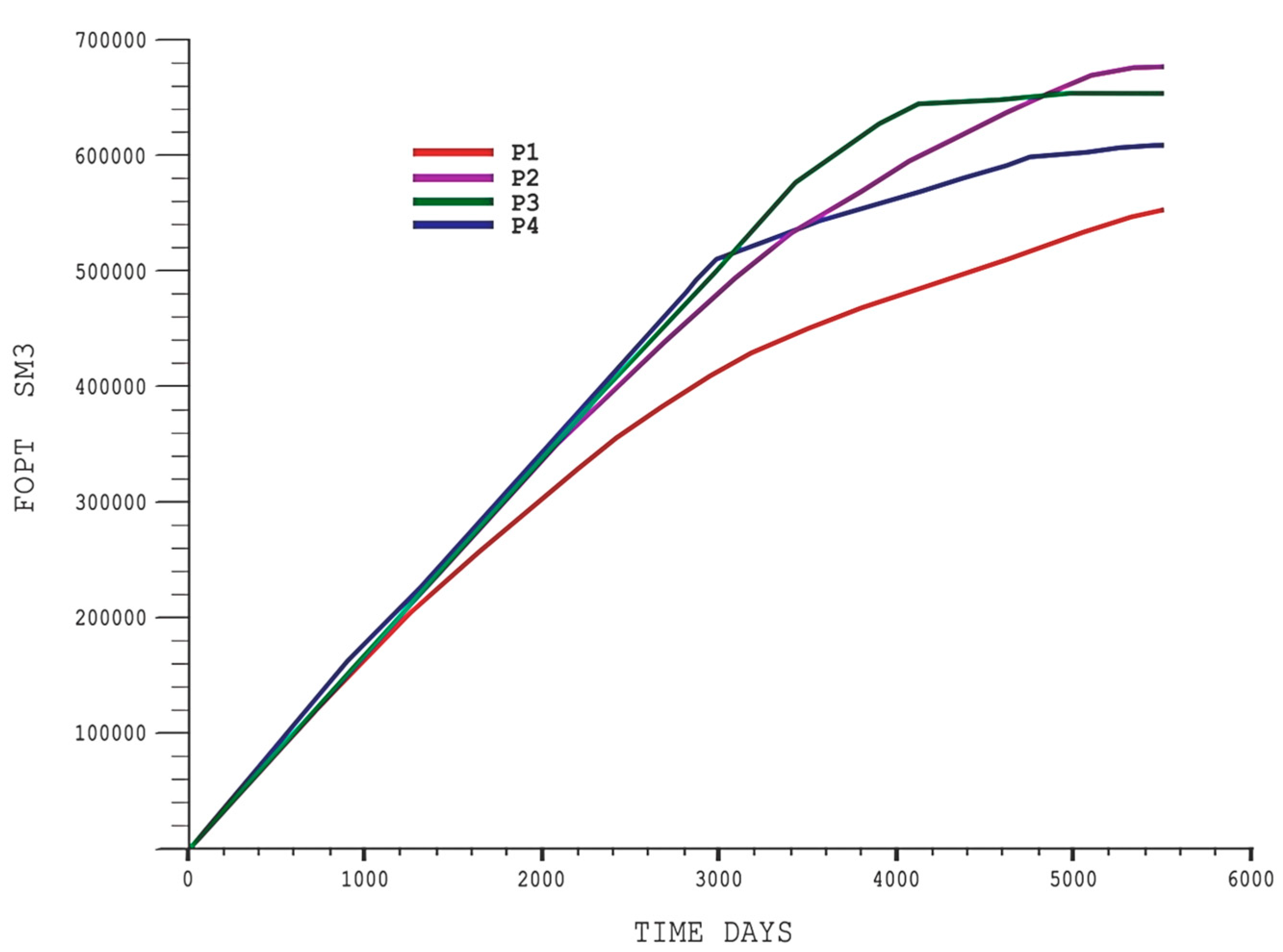
2.4. Production History Fitting
- (1)
- Geological reserve fitting
- (2)
- Development indicator fitting
3. Research Results and Discussion
3.1. Research on the Remaining Oil Distribution
3.2. Development Parameter Optimization
- (1)
- Original well network mining forecast for 15 years
- (2)
- Optimization plan for natural gas injection speed in this reservoir
- (3)
- Optimization plan for natural gas water alternating injection in this reservoir
- (4)
- Optimization plan for transfer timing of this reservoir
- (5)
- Injection natural gas optimization
4. Conclusions
- (1)
- In the context of clastic rock reservoirs, alternating natural gas and water injection demonstrates a favorable production effect and achieves a higher degree of oil recovery improvement.
- (2)
- Alternating injection of natural gas and water constitutes an effective strategy to prevent gas channeling during production processes.
- (3)
- The natural gas flooding with a 90-day natural gas-water alternation development plan can increase the recovery rate by 12% (compared to the existing production regulations) for the deep clastic rock reservoirs located in Block L of a specific oilfield in the Tarim Basin.
Author Contributions
Funding
Data Availability Statement
Conflicts of Interest
References
- Shi, Y.; Liu, Z.; Wang, S.; Wu, J.; Liu, X.; Hu, Y.; Chen, S.; Feng, G.; Wang, B.; Wang, H. Genetic mechanism and main controlling factors of high-quality clastic rock reservoirs in deep and ultra-deep layers: A case study of Oligocene Linhe Formation in Linhe Depression, Hetao Basin, NW China. Pet. Explor. Dev. 2024, 51, 478–489. [Google Scholar]
- Wu, X.; Shi, Y.; Chen, S.; Wu, H.; Cai, J.; Dan, W.; Liu, X.; Wang, X.; Zhang, X.; Zhang, J. Exploration breakthrough and factors for enrichment and high-yield of hydrocarbons in ultra-deep clastic rocks in Linhe Depression, Hetao Basin, NW China. Pet. Explor. Dev. 2024, 51, 962–971. [Google Scholar] [CrossRef]
- Hu, Z.; Qi, Y.; Zhang, F.; Shun, Z. The formation mechanisms of effective reservoir of ultra deep clastic rocks The formation mechanisms of effective reservoir of ultra deep clastic rocks. Acta Geol. Sin. 2025, 1–18. [Google Scholar]
- Yang, C.; Chen, X.; Shi, Q. Research on Countermeasures to Improve the Quality of Well Cementing in Clastic Rocks of Tarim Oilfield. West-China Explor. Eng. 2023, 35, 38–42. [Google Scholar]
- Feng, J. Practical Dictionary of Land and Resources; China University of Geosciences Press: Wuhan, China, 2011. [Google Scholar]
- Sun, J.; Guo, X.; You, X. Characteristics and effective reservoir genesis of deep to ultra-deeptight Characteristics and effective reservoir genesis of deep to ultra-deeptight. Acta Geol. Sin. 2022, 1–16. [Google Scholar] [CrossRef]
- Cao, Y.; Yuan, G.; Yang, H.; Wang, Y.; Liu, K.; Zan, N. Current situation of oil and gas exploration and research progress of the origin of high-quality reservoirs in deep-ultra-deep clastic reservoirs of petroliferous basins. Acta Pet. Sin. 2022, 43, 112–140. [Google Scholar]
- Ma, X.; Ma, N.; Lu, Z. Research on Enhanced Recovery Methods for Weak Energy Channel Reservoir in Clastic Rocks of Tahe Oilfield. Inn. Mong. Petrochem. Ind. 2023, 49, 81–86. [Google Scholar]
- Liang, C. Research and Effect of Comprehensive Adjustment Technology for clastic rock reservoirs. Inn. Mong. Petrochem. Ind. 2021, 47, 104–105. [Google Scholar]
- Fan, J.; Tao, Z.; Wang, Y. Key technology for enhancing oil recovery by gravity assisted miscible flooding in Donghe Oilfield. In Proceedings of the 2020 International Conference on Oil and Gas Field Exploration and Development (IFEDC2020), Chengdu, China, 23–25 September 2020; pp. 1–9. [Google Scholar]
- Xu, Y.; Wang, R.; Chang, J. Research and application on EOR by gas injection in deep clastic reservoir in Tarim Basin. In Proceedings of the 2021 International Conference on Oil and Gas Field Exploration and Development, Chongqing, China, 12–14 November 2021; Volume 2. [Google Scholar]
- Cui, M.; Wang, R.; Lv, C.; Lun, Z.; Zhao, S.; Tang, Y. Microscopic oil displacement mechanism of natural gas reinjection in high-pressure and low-permeability reservoirs. Oil Gas Geol. Recovery Rate 2020, 27, 62–68. [Google Scholar]
- He, X.; Huang, Z.; Lian, L. Key technologies for improving the recovery rate of condensate gas reservoirs through coordinated natural gas injection and storage. Nat. Gas Ind. 2023, 43, 86–95. [Google Scholar]
- Wang, J.; Yang, H. Experimental study of the influence of gas injection pressure on oil displacement efficiency in gas flooding. Complex Oil Gas Reserv. 2012, 5, 59–61. [Google Scholar]
- Diwu, P.; Liu, T.; You, Z.; Hou, G.; Qiao, R.; Zhao, L. Study on pulse characteristic of produced crude composition in CO2 flooding pilot test. Geofluids 2018, 2008, 2968629. [Google Scholar] [CrossRef]
- Nassabeh, M.; You, Z.; Keshavarz, A.; Iglauer, S. Hybrid EOR performance optimization through flue gas−Water Alternating Gas (WAG) injection: Investigating the synergistic effects of water salinity and flue gas incorporation. Energy Fuels 2024, 38, 13956–13973. [Google Scholar] [CrossRef]
- Wang, Y. Study on Enhanced Oil Recovery by Gas Flooding in Tight Reservoirs. Master’s Thesis, China University of Petroleum, Beijing, China, 2022. [Google Scholar]
- Qin, Z.; Luo, P.; Liu, X. Indoor experimental study on gas water alternation flooding to enhance oil recovery. J. High. Educ. Petrochem. Ind. 2019, 32, 52–56. [Google Scholar]
- Pan, J.; Yan, J.; Ji, B. Progress in Water Gas Alternating Oil Recovery Technology. Prog. Fine Petrochem. Ind. 2024, 25, 15–22. [Google Scholar]
- Zhang, J.; Wu, S.; Dong, Y. Experimental study on natural gas drive characteristics of tight conglomerate reservoirs in Mahu Baikouquan Formation. Sci. Technol. Eng. 2022, 22, 13738–13745. [Google Scholar]
- Wei, F.; Li, Y.; Ma, S. Experimental study on natural gas water controlled gas breakthrough in Weizhou 12-1 oilfield. J. Chongqing Univ. Sci. Technol. (Nat. Sci. Ed.) 2021, 23, 12–15. [Google Scholar]
- Song, H.; Yang, E.; Li, T. Indoor experiment and numerical simulation study on gas water alternating flooding after water flooding in offshore oil fields. Contemp. Chem. Eng. 2021, 50, 1171–1175. [Google Scholar]
- Lin, X. Reservoir Numerical Simulation; Petroleum Industry Press: Beijing, China, 2015; pp. 120–121. [Google Scholar]
- Wang, Y.; Li, J.; Guo, J.; Tian, J.; Wang, X.; Li, J.; Cui, H. Distribution, accumulation characteristics and new genetic classification of condensate oil in China. Nat. Gas Geosci. 2024, 35, 1950–1960. [Google Scholar]
- Dumitrache, L.; Roy, A.; Bird, A.; Goktas, B.; Sorgi, C.; Stanley, R.; De Gennaro, V.; Eswein, E.; Jonathan, A. A Multidisciplinary Approach to Production Optimization through Hydraulic Fracturing Stimulation and Geomechanical Modelling in Clair Field. In Proceedings of the Presented at the International Petroleum Technology Conference, Riyadh, Saudi Arabia, 21–23 February 2022. [Google Scholar]










| Component | CO2 | N2 | C1 | C2 | C3 | C4 | C5 | C6 | C7+ |
|---|---|---|---|---|---|---|---|---|---|
| Mol (%) | 0.73 | 5.89 | 73.71 | 7.39 | 3.82 | 2.11 | 1.29 | 1.09 | 3.97 |
| Title 1 | Parameter | Value |
|---|---|---|
| Physical properties of crude oil | Ground density (g/cm3) | 0.85 |
| Original underground viscosity (mPa s) | 2.12 | |
| Original volume coefficient | 1.1814 | |
| Compressibility factor (1/MPa) | 16.47 × 10−4 | |
| Physical properties of formation water | Viscosity (mPa s) | 0.32 |
| Density (g/cm3) | 1.085 | |
| Compressibility factor (1/MPa) | 1 × 10−4 |
| Well Name | L-10 | L-H1 | L-H2 | L-5H | L-H6 | L-1 | L-2 | L-H3 | L-4 | L-7H |
|---|---|---|---|---|---|---|---|---|---|---|
| Attribute | PRD | PRD | PRD | PRD | PRD | INJ | INJ | INJ | INJ | INJ |
| Production/ Injection Settings (m3/day) | 0.8 | 2.3 | 33.5 | 35.1 | 52.0 | 100.7 | 52.1 | 104.3 | 84.7 | 86.9 |
| Producers/Injectors | Liquid Production (104 m3) | Oil Production (104 m3) | Water Injection (104 m3) | Average Annual Production Per Well (104 m3) | Average Annual Water Injection Per Well (104 m3) | Recovery Rate (%) |
|---|---|---|---|---|---|---|
| 5/5 | 93.29 | 13.37 | 185.51 | 0.14 | 2.47 | 22.2 |
| Composition | C1 | C2 | C3 | iC4 | nC4 | iC5 | nC5 | C6 | C7 | N2 | CO2 |
|---|---|---|---|---|---|---|---|---|---|---|---|
| content% | 88.32 | 3.43 | 1.30 | 0.30 | 0.49 | 0.15 | 0.12 | 0.06 | 0.01 | 4.31 | 1.37 |
| Plan | Number of Injection Wells | Natural GAS Injection Speed (104 m3/day) | Oil Production (104 m3) | Degree of Reserve Recovery (%) | Improve the Degree of Recovery (%) |
|---|---|---|---|---|---|
| 1 | 5 | 1.0 | 55.55 | 32.04 | 9.84 |
| 2 | 5 | 1.5 | 65.41 | 34.23 | 12.03 |
| 3 | 5 | 2.0 | 62.36 | 33.56 | 11.36 |
| 4 | 5 | 3.0 | 61.15 | 33.29 | 11.09 |
| Plan | Injection Control Natural (The Proportion of Gas to Water) (m3/day) | WAG Cycle (The Proportion of Gas to Water) | Oil Production (104 m3) | Degree of Extraction (%) | Improve the Degree of Recovery (%) |
|---|---|---|---|---|---|
| 5 | 15,000:60 | 90:90 | 65.47 | 34.25 | 12.05 |
| 6 | 15,000:60 | 135:135 | 52.78 | 31.43 | 9.23 |
| 7 | 15,000:60 | 180:180 | 58.24 | 32.64 | 10.44 |
| Plan | Oil Well | Inject Well | Delay Time (year) | Oil Production (104 m3) | Degree of Extraction (%) | Improve the Degree of Recovery (%) |
|---|---|---|---|---|---|---|
| 8 | 5 | 5 | 0 | 65.29 | 34.21 | 12.01 |
| 9 | 5 | 5 | 1 | 62.18 | 33.51 | 11.31 |
| 10 | 5 | 5 | 2 | 61.09 | 33.27 | 11.07 |
| 11 | 5 | 5 | 3 | 61.07 | 33.27 | 11.07 |
Disclaimer/Publisher’s Note: The statements, opinions and data contained in all publications are solely those of the individual author(s) and contributor(s) and not of MDPI and/or the editor(s). MDPI and/or the editor(s) disclaim responsibility for any injury to people or property resulting from any ideas, methods, instructions or products referred to in the content. |
© 2025 by the authors. Licensee MDPI, Basel, Switzerland. This article is an open access article distributed under the terms and conditions of the Creative Commons Attribution (CC BY) license (https://creativecommons.org/licenses/by/4.0/).
Share and Cite
Song, F.; Tian, L.; Li, H. Research on Modifying the Development Plan to Enhanced Oil Recovery in the Middle and Late Stages of Water Flooding in Deep Clastic Rock Reservoirs. Processes 2025, 13, 177. https://doi.org/10.3390/pr13010177
Song F, Tian L, Li H. Research on Modifying the Development Plan to Enhanced Oil Recovery in the Middle and Late Stages of Water Flooding in Deep Clastic Rock Reservoirs. Processes. 2025; 13(1):177. https://doi.org/10.3390/pr13010177
Chicago/Turabian StyleSong, Fuquan, Lu Tian, and Hui Li. 2025. "Research on Modifying the Development Plan to Enhanced Oil Recovery in the Middle and Late Stages of Water Flooding in Deep Clastic Rock Reservoirs" Processes 13, no. 1: 177. https://doi.org/10.3390/pr13010177
APA StyleSong, F., Tian, L., & Li, H. (2025). Research on Modifying the Development Plan to Enhanced Oil Recovery in the Middle and Late Stages of Water Flooding in Deep Clastic Rock Reservoirs. Processes, 13(1), 177. https://doi.org/10.3390/pr13010177

