Numerical Simulation and Experimental Research on Cutting Force of Milling Deicing Robot Milling Cutter
Abstract
1. Introduction
2. Analysis of Deicing Milling Cutter Structure
3. Numerical Simulation of Cutting Forces in Deicing Milling Cutter
3.1. Fundamentals of Dynamic Finite Element Analysis
3.2. The Constitutive Equation of the Structure
3.3. Fracture Model of Ice Accretion
3.4. Model Building and Parameter Setting
4. Deicing Experiment Design of Deicing Milling Cutter
4.1. Artificial Ice Covering
4.2. Deicing Experiment Platform
5. Analysis of Simulation Results and Experimental Verification of Deicing Milling Cutter
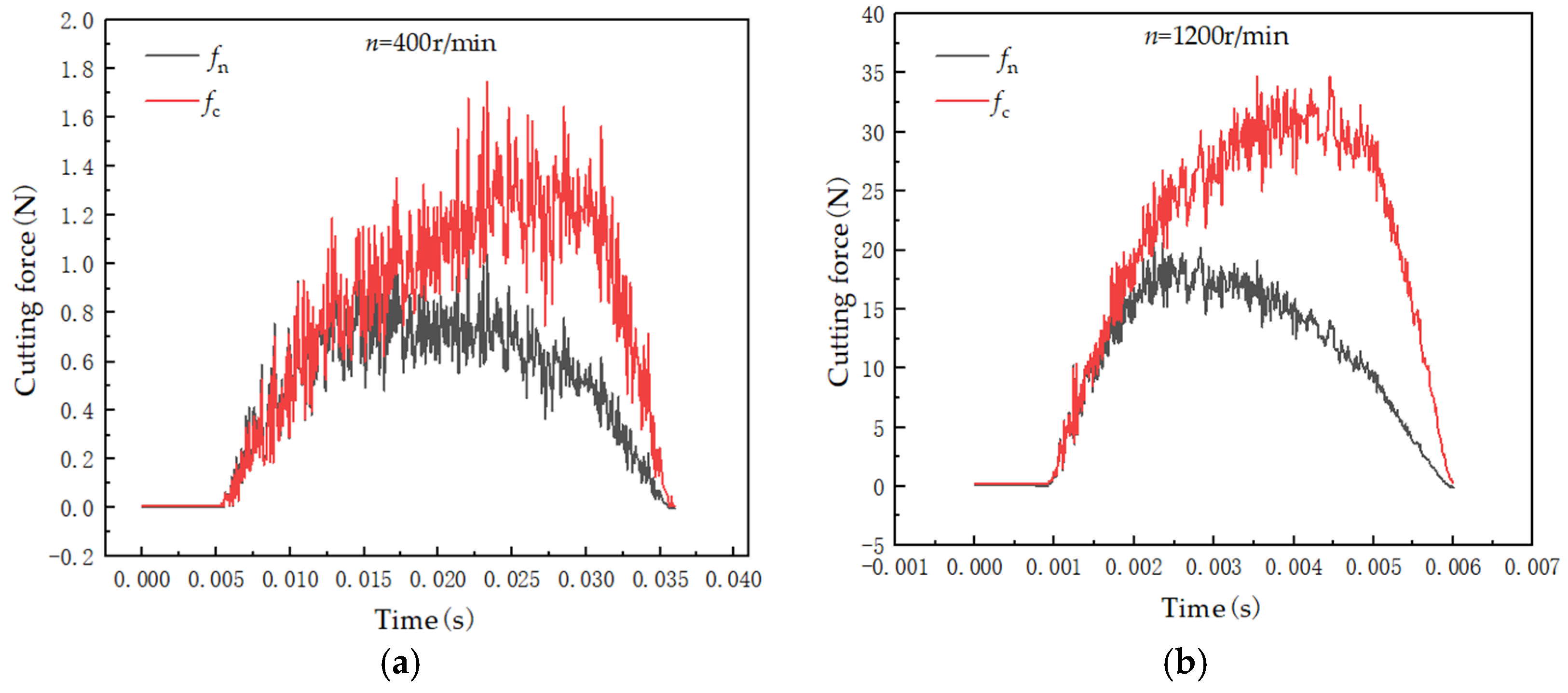
5.1. Effects of Milling Cutter Face Shape and Milling Speed on Cutting Forces
5.2. Effect of Feed Speed on Cutting Force
6. Conclusions
- (1)
- Influence of tool surface angle: Under identical milling conditions, among the three types of deicing cutters, the straight-cut deicing milling cutter exhibited the lowest cutting force. Compared with the traditional flat-type cutter, it reduced the cutting force by 16% to 33%.
- (2)
- Effect of milling speed: The cutting force increased with milling speed under the same milling conditions. Moreover, a higher milling speed intensified cutting force fluctuations. Through deicing experiments, it was found that the optimal milling speed range for an ice thickness of 10 mm was between 200 and 400 r/min. Within this range, the cutting force remained relatively low and stable, and the vibrations during deicing operations were effectively controlled, significantly improving the overall stability of the deicing process.
- (3)
- Effect of feed speed: The cutting force increased with increasing feed speed under the same milling conditions. However, at lower milling speeds, the impact of feed speed on cutting force was relatively small. The increase in feed speed, on the other hand, significantly enhanced deicing efficiency. Therefore, considering all factors, the optimal feed speed was selected as 300 mm/s.
Author Contributions
Funding
Data Availability Statement
Conflicts of Interest
References
- Hu, Q.; Yu, H.J.; Li, Y.; Shu, L.; Jiang, X.; Liang, J. Numerical and experimental study of accreted ice on bundle conductor. High Volt. Eng. 2017, 43, 900–908. [Google Scholar]
- Farzaneh, M. Ice accretions on high voltage conductors and insulators and related phenomena. Philos. Trans. R. Soc. Lond. Ser. A Math. Phys. Eng. Sci. 2000, 358, 2971–3005. [Google Scholar] [CrossRef]
- Farzaneh, M. Atmospheric Icing of Power Networks; Springer: Berlin/Heidelberg, Germany, 2008. [Google Scholar]
- Wang, S.H. Analysis of typical ice accidents of transmission lines and preventing techniques. High Volt. Appar. 2010, 46, 85–89. [Google Scholar]
- Chao, Y.F.; Yue, Y.S.; Wang, C. De-icing techniques for ice-covered transmission lines: A review. High Volt. Appar. 2016, 52, 1–9. [Google Scholar]
- Zhang, Z.; Zhang, H.; Yue, S.; Zeng, W. A Review of icing and anti-icing technology for transmission lines. Energies 2023, 16, 601. [Google Scholar] [CrossRef]
- Wang, Z.J. Recent progress on ultrasonic de-icing technique used for wind power generation, high-voltage transmission line and aircraft. Energy Build. 2017, 140, 42–49. [Google Scholar] [CrossRef]
- Montambault, S.; Pouliot, N. The HQ Line-Rover: Contributing to innovation in transmission line maintenance. In Proceeding of the 2003 IEEE 10th International Conference on Transmission and Distribution Construction, Operation and Live-Line Maintenance, Orlando, FL, USA, 6–10 April 2003; pp. 33–40. [Google Scholar]
- Cao, L.; Guo, R.; Zhang, F. Mechanical structure research of deicing robot for high voltage. Mach. Des. Manuf. 2013, 266, 147–149. [Google Scholar]
- Wei, S.N.; Wang, Y.N.; Yin, F.; Yang, Y. Design of de-icing mechanism of de-icing robot for high voltage power transmission line. China Mech. Eng. 2012, 23, 771–776. [Google Scholar]
- Xian, H.X.; Qiao, G.; Wang, L.L.; Chen, T.C.; Wu, H.Y. Structural design and simulation analysis of intelligent de-icing robots for high voltage transmission lines based on TRIZ theory. J. Mach. Des. 2023, 1–8. [Google Scholar]
- Yu, F.H. Design and Analysis of the Anti-Icing and Deicing Robot System Fortransmission Lines. Master’s Thesis, Southwest Jiaotong University, Chengdu, China, 2022. [Google Scholar]
- Yi, Q.Z. Research on Active Anti-Icing/De-Icing Robot Control System for Power Transmission Lines. Master’s Thesis, Southwest Jiaotong University, Chengdu, China, 2021. [Google Scholar]
- Cao, W.M. Research on Visual Control Methods for High Voltage Transmission Line Deicing Robot. Ph.D. Thesis, Hunan University, Hunan, China, 2014. [Google Scholar]
- Liu, J.W.; Huang, Z.Q.; Liao, Y.J.; Ning, L.; ET Center. Design of robot on anti-icing and de-icing of high voltage wire. Mach. Tool Hydraul. 2014, 42, 42–45. [Google Scholar]
- Yang, H.; Jiang, F.; Wu, X.; Zhao, G.; Shi, X.; Liu, G.; Wang, M. Optimizing the cutting-edge geometry of micro drill based on the entropy weight method. Int. J. Adv. Manuf. Technol. 2023, 125, 2673–2689. [Google Scholar] [CrossRef]
- Zhang, W.; Hua, B.; Zhang, L.; Si, B. Modeling and simulation of surface topography in secondary milling with ellipsoid end milling cutter. Int. J. Interact Des. Manuf. 2024, 18, 5043–5056. [Google Scholar] [CrossRef]
- Maity, K.; Pradhan, S. Investigation of FEM simulation of machining of titanium alloy using microgroove cutting insert. Silicon 2018, 10, 1949–1959. [Google Scholar] [CrossRef]
- Wu, Z.; Buck, D.; Zhang, F.; Yu, Y.; Guo, X.; Cao, P.; Zhu, Z. Finite element method and its application to cutting processes of stone–plastic composite. Int. J. Adv. Manuf. Technol. 2023, 129, 4491–4508. [Google Scholar] [CrossRef]
- Wang, L.; Yue, C.; Liu, X.; Li, M.; Xu, Y.; Liang, S.Y. Conventional and micro scale finite element modeling for metal cutting process: A review. Chin. J. Aeronaut. 2024, 37, 199–232. [Google Scholar] [CrossRef]
- Oguzhan, D.; Muhammed, O.; Gokhan, B. Optimization of cutting parameters in manufacturing of polymeric materials for flexible two-phase thermal management systems. Mater. Test. 2024, 66, 1700–1719. [Google Scholar]
- Elsheikh, A.H.; Deng, W.; Showaib, E.A. Improving laser cutting quality of polymethylmethacrylate sheet: Experimental investigation and optimization. J. Mater. Res. Technol. 2020, 9, 1325–1339. [Google Scholar] [CrossRef]
- Du, S.M. Fundamentals of Machinery Manufacturing; China Machine Press: Beijing, China, 2022. [Google Scholar]
- GB 51302-2018; Design Standard for Overhead Insulated Distribution Lines. China Electricity Council: Beijing, China, 2018.
- Ma, J.J. Methodology Research on the Numerical Simulation of the Bending Failure of Sea Ice. Master’s Thesis, Tianjin University, Tianjin, China, 2013. [Google Scholar]
- Li, Q.; Ou, Z.C.; Chen, Y.H. Advanced Fracture Mechanics; Science Press: Beijing, China, 2017. [Google Scholar]
- Yang, X.H. Study on Mechanism and Criterion for Brittle/Ductile Fracture and Theory of Crack-Tip Deformation. Ph.D. Thesis, Dalian University of Technology, Dalian, China, 2005. [Google Scholar]
- Lou, W.J.; Bai, H. Study on wind load increase coefficient of conductors with various ice coating shapes. High Volt. Appar. 2022, 58, 8–15. [Google Scholar]
- Jiang, X.L.; Shu, L.H.; Sun, C.X. Pollution and Ice Insulation in Power System; China Electric Power Press: Beijing, China, 2009. [Google Scholar]
- Gupta, V.; Bergstrom, J.S. A progressive damage model for failure by shear faulting in polycrystalline ice under biaxial compression. Int. J. Plast. 2002, 18, 507–530. [Google Scholar] [CrossRef]
- Dong, W.; Ding, J.; Zhou, Z.X. Experimental study on the ice freezing adhesive characteristics of metal surfaces. J. Aircr. 2014, 51, 719–726. [Google Scholar] [CrossRef]
- Zhang, H.B.; Wu, H.T.; Hu, Q.; Su, L.C.; He, G.H. Influence of dc electric field intensity on conductor glaze icing and its corona loss. High Volt. Appar. 2022, 58, 275–279. [Google Scholar]
- Huang, W.; Yu, D.; Zhang, M.; Cao, Q.; Yao, J. Predictive cutting force model for ductile-regime machining of brittle materials. Int. J. Adv. Des. Manuf. Technol. 2018, 98, 781–790. [Google Scholar] [CrossRef]











| Name of the Material | Name of Parameter | Parameter Values | Unit |
|---|---|---|---|
| Ice accretion (glaze) | Elasticity modulus Poisson’s ratio Density Breaking strength Fracture displacement | 2 | GPa |
| 0.3 | / | ||
| 9.17 × 10−9 0.27 1 × 10−5 | t/mm3 MPa mm | ||
| Milling cutter (aluminum alloy) | Elasticity modulus Poisson’s ratio Density | 960 | GPa |
| 0.2 | / | ||
| 3.5 × 10−9 | t/mm3 | ||
| Wire (aluminum alloy) | Elasticity modulus Poisson’s ratio Density | 93 0.33 5.91 × 10−9 | GPa / t/mm3 |
| Deicing Milling Cutter | Feed Rates | Cutting Force Component | 200 r/min | 400 r/min | 600 r/min | 800 r/min | 1000 r/min | 1200 r/min |
|---|---|---|---|---|---|---|---|---|
| Straight-cut deicing milling cutter | 100 mm/s | fn | 0.7 | 2.1 | 4.2 | 7.5 | 11.9 | 15.6 |
| fc | 1.1 | 3.3 | 6.9 | 12.8 | 17.6 | 29.7 | ||
| 200 mm/s | fn | 1.2 | 2.7 | 5.6 | 9 | 14.2 | 18.3 | |
| fc | 1.9 | 5 | 10.3 | 16.7 | 22.5 | 38.7 | ||
| 300 mm/s | fn | 1.3 | 3.1 | 5.8 | 9.2 | 14.5 | 18.6 | |
| fc | 2.1 | 5.3 | 10.8 | 17.1 | 25.3 | 41.2 | ||
| Oblique deicing milling cutter | 100 mm/s | fn | 0.8 | 2.5 | 4.8 | 7.7 | 12.2 | 16.8 |
| fc | 1.3 | 3.9 | 8.1 | 13.2 | 22.5 | 32.8 | ||
| 200 mm/s | fn | 1.4 | 3 | 6.1 | 8.7 | 14.9 | 22.1 | |
| fc | 2.1 | 5.2 | 9.8 | 17.5 | 26.2 | 42.8 | ||
| 300 mm/s | fn | 1.7 | 3.7 | 6.8 | 11.2 | 15.3 | 23.2 | |
| fc | 2.2 | 5.9 | 12.2 | 18.3 | 25.9 | 45.8 | ||
| Straight-plate deicing milling cutter | 100 mm/s | fn | 1 | 2.3 | 5.2 | 8.2 | 13.2 | 17.5 |
| fc | 1.4 | 4.4 | 8.9 | 15 | 23.1 | 33.2 | ||
| 200 mm/s | fn | 1.8 | 2.5 | 6.4 | 10.9 | 15.6 | 22.4 | |
| fc | 2.3 | 6.6 | 12.2 | 18 | 27 | 46.5 | ||
| 300 mm/s | fn | 1.8 | 4.2 | 6.9 | 11.7 | 16.9 | 24.1 | |
| fc | 2.5 | 7.1 | 12.8 | 18.3 | 28 | 48 |
Disclaimer/Publisher’s Note: The statements, opinions and data contained in all publications are solely those of the individual author(s) and contributor(s) and not of MDPI and/or the editor(s). MDPI and/or the editor(s) disclaim responsibility for any injury to people or property resulting from any ideas, methods, instructions or products referred to in the content. |
© 2025 by the authors. Licensee MDPI, Basel, Switzerland. This article is an open access article distributed under the terms and conditions of the Creative Commons Attribution (CC BY) license (https://creativecommons.org/licenses/by/4.0/).
Share and Cite
Zhou, J.; Tang, C.; Zhu, M.; Chen, W.; Yang, H.; Wei, D.; He, G. Numerical Simulation and Experimental Research on Cutting Force of Milling Deicing Robot Milling Cutter. Processes 2025, 13, 140. https://doi.org/10.3390/pr13010140
Zhou J, Tang C, Zhu M, Chen W, Yang H, Wei D, He G. Numerical Simulation and Experimental Research on Cutting Force of Milling Deicing Robot Milling Cutter. Processes. 2025; 13(1):140. https://doi.org/10.3390/pr13010140
Chicago/Turabian StyleZhou, Junlong, Chao Tang, Maolin Zhu, Wenchao Chen, Hongchun Yang, Donghong Wei, and Gaohui He. 2025. "Numerical Simulation and Experimental Research on Cutting Force of Milling Deicing Robot Milling Cutter" Processes 13, no. 1: 140. https://doi.org/10.3390/pr13010140
APA StyleZhou, J., Tang, C., Zhu, M., Chen, W., Yang, H., Wei, D., & He, G. (2025). Numerical Simulation and Experimental Research on Cutting Force of Milling Deicing Robot Milling Cutter. Processes, 13(1), 140. https://doi.org/10.3390/pr13010140
