You are currently viewing a new version of our website. To view the old version click .
Processes
  • Article
  • Open Access

6 January 2025

Characteristics and Paleoenvironment of Stromatolites in the Southern North China Craton and Their Implications for Mesoproterozoic Gas Exploration

,
,
,
,
,
,
,
,
and
1
School of Earth Sciences and Resources, Chang’an University, Xi’an 710064, China
2
Key Laboratory of Western China’s Mineral Resources and Geological Engineering, Ministry of Education, Chang’an University, Xi’an 710054, China
3
Shaanxi Coal Geology Oil & Gas Drilling Co., Ltd., Xi’an 710048, China
4
Shaanxi Coal Geology Group Co., Ltd., Key Laboratory of Coal Resources Exploration and Comprehensive Utilization, Ministry of Natural Resources, Xi’an 710021, China
This article belongs to the Special Issue The Exploration and Development of Unconventional Hydrocarbon Resources, 2nd Edition

Abstract

Stromatolites, distinctive fossil records within Precambrian strata, are essential for investigating the depositional environments of early Earth and the geological settings conducive to hydrocarbon formation. The Luonan area is located in Shaanxi Province, China, where a large number of stromatolites have been discovered within the Mesoproterozoic Erathem, providing new perspectives on paleoenvironment and reservoir spaces. This study analyzes the morphology of stromatolites, associated microorganisms, mineralogy, and cathodoluminescence from the carbonate rocks of the Jixian System. Carbon and oxygen isotope analyses help reconstruct paleosalinity and climate, enhancing understanding of their petroleum geological significance. Combining carbon and oxygen isotope analysis with the fine observation and description of stromatolite can better reconstruct the paleoenvironmental features of the Mesoproterozoic Era. The results indicated a narrow range of carbon isotope values (δ13C: −5.81‰ to −2.43‰; mean: −4.03‰) and oxygen isotope values (δ18O: −9.06‰ to −5.64‰). The Longjiayuan Formation is characterized by high CaO and MgO content, with low SiO2 and minimal terrigenous input, in contrast with the Fengjiawan Formation, which exhibits elevated SiO2 and greater terrigenous material. The Luonan stromatolites display prominent rhythmic laminations, primarily composed of dolomite, indicating a potential for hydrocarbon source rocks. Stromatolite morphologies, including layered, columnar, and wavy forms, reflect varied depositional microfacies. The alternating bright and dark laminae, rich in CaO and CO2 but differing in Ca2+ and Mg2+ concentrations, signify seasonal growth cycles. These Mesoproterozoic stromatolites developed in a warm, humid, and stable climatic regime, within a marine anoxic-to-suboxic setting, typically in intertidal or supratidal zones with low hydrodynamic energy. In the southern margin of the North China Craton, stromatolites from the Mesoproterozoic Era are extensively developed and exhibit distinct characteristics. Due to the biogenic alteration of stromatolites, the porosity of the rock increased. These stromatolites have altered the physical properties of the host rocks to some extent, suggesting the possibility of becoming effective hydrocarbon reservoirs. This has significant implications for deep oil and gas exploration, providing valuable guidance for future prospecting efforts.

1. Introduction

Stromatolites, formed via periodic mineral precipitation, sediment trapping, and cementation induced by the life activities of cyanobacteria, eukaryotic algae, and other microorganisms, are a unique type of biogenic sedimentary structure [1]. Their internal structure is profoundly influenced by biological communities [2], while their external morphology is constrained by the surrounding environmental conditions, making them effective indicators of the depositional environment and conditions during their period of growth [3]. Consequently, stromatolites are regarded as optimal indicators for studying paleoenvironments and paleoclimates. Present in various Precambrian strata, stromatolites provide valuable clues for understanding ancient environments and their changes, possessing significant scientific value.
Previous studies on the paleoenvironment of the North China Craton have focused on microfossil analysis, atmospheric CO2 reconstruction, and isotopic analysis. Li Dongdong et al. (2023) [4] established a carbon isotope chemostratigraphic framework for the Shenongjia Group, while Song Haonan (2019) [5] constructed carbon and oxygen isotope curves for Proterozoic carbonates in Qishan, Shaanxi. Organic and inorganic carbon isotope records provide key evidence for the global carbon cycle and its relationships with biota, oceans, and the atmosphere. Xu Fan (2019) [6] used trace elements in Dengying Formation stromatolitic dolostones to infer a high-salinity, relatively reducing environment. Xiao Lizhi (2022) [3] further divided the tidal flat facies of the Luoyukou Formation into supratidal, intertidal, and subtidal microfacies, with different stromatolite types reflecting these environments.
Studies on Mesoproterozoic stromatolites in East Asia are scattered, with limited focus on the Luonan Group along the North China Craton’s southern margin. Research and paleoenvironmental reconstruction in this area remain underexplored. The Jixian Series here contains abundant stromatolites and paleobotanical fossils, featuring significant sedimentary thickness and well-developed sections. In the Luonan region, outcrops are well preserved, continuous, and demonstrate clear boundaries and minimal metamorphism. Dominated by marine carbonates and clastic sandstones, these strata reflect a complex evolutionary history. They encapsulate critical information about Mesoproterozoic depositional environments, offering insights into ancient climate and biological conditions.
Wang et al. (2019) [7] conducted geochemical analyses on five sets of source rock formations, including the Chuanlinggou, Gaoyuzhuang, Hongshuizhuang, Tieling, and Xiaomaling Formations, concluding that the western Liaoxi depression has good potential for oil and gas exploration. Gu et al. (2014) [8] suggested that Proterozoic extensional tectonics played a critical role in the distribution of source rocks, favorable sedimentary facies, reservoir development, and natural gas accumulation in the central Sichuan block. Niu (2013) [9] identified favorable areas for oil and gas in the mudstone and shale reservoirs of the Hongshuizhuang Formation in the Pingquan area of the northern Hebei depression, the Shisanling area of Beijing, and the Jing 101 well area of the central Hebei depression. For the Xiaomaling Formation, the Shisanling area of Beijing was also highlighted. Given the existing discoveries of oil and gas reservoirs within the North China Craton, and the correlation of the Gaoyuzhuang, Hongshuizhuang, Tieling, and Xiaomaling formations with the stratigraphic levels in the Luonan area, it can be inferred that the Mesoproterozoic Luonan area holds potential for deep oil and gas exploration.
Bioreefs serve as significant hydrocarbon reservoirs [10,11,12,13,14,15,16], with approximately half of the world’s hydrocarbon reserves stored in bioreefs and related carbonate rocks, making them highly important for oil and gas exploration. Bioreef deposits record essential information about paleoenvironmental, paleodepositional, and paleobiological conditions during their formation. Similarly, stromatolites can also act as effective hydrocarbon reservoirs. By studying the individual morphology and microscopic characteristics of stromatolites, one can analyze the hydrodynamic conditions and depositional environment, aiding in the understanding of the depositional evolution process.
Biogenic disturbances significantly impact the later modification of carbonate storage, with microbial dolomite being a product of such modifications. As characteristic microbialites of the Mesoproterozoic, stromatolites exhibit clear porosity. Through geochemical analysis, this study investigates the sedimentary environment and evolutionary processes of the strata. The findings enhance our understanding of biogenic carbonates, providing valuable insights into their formation and environmental implications, and are of great significance for the study of carbonate sedimentary environments and oil and gas exploration in the Luonan area at the southern margin of the North China Craton. In-depth analyses of their mineralogical characteristics and other aspects clarify the features of Mesoproterozoic stromatolites and the paleoenvironment during their formation.

2. Geological Background and Sample Collection

Geological Overview

The study area is located in the Luonan region, south of the North China Craton and north of the Qinling Mountains (Figure 1), with higher elevation in the northwest and lower in the southeast, and steeper northern slopes compared to the gentler southern slopes. The southern margin of the North China Craton hosts a thick sequence of Mesoproterozoic Jixian System carbonates, possibly including Neoproterozoic carbonates. Since ~1.8 Ga, the Yanliao Rift has developed estuarine and epicontinental sea depositional environments, culminating in the contraction of the epicontinental sea and the deposition of a complete Mesoproterozoic stratigraphy. The Xiong’er Rift, situated at the southern margin of the North China Craton, features exceptionally thick sedimentary strata, recording significant Mesoproterozoic tectonic events. The Jixian System (1.6–1.4 Ga) in the Xiong’er Rift is characterized by stable cratonic conditions and extensive thick marine deposits. The Luonan Group, representative of the southern margin, consists mainly of tidal flat, siliceous, and stromatolitic dolostones, marking the peak of stromatolite development. Since the Mesoproterozoic, the North China Craton has been a stable sedimentary area [17].
Figure 1. Simplified geological structure of the study region. (A) Tectonic division of China: I. North China Platform, II. Yangtze Platform, III. Junggar–Inner Mongolia–Xing’anling Fold Belt, IV. Qinghai–Tibet–Western Yunnan Fold Belt, V. Tarim Platform, VI. Qilian Mountain Fold System, VII. Qaidam Block, VIII. Kunlun–Qinling Fold System, IX. South China Fold Belt, X. Gangdise–Nyainqentanglha Fold System, XI. Himalayan Fold System. Locations: (1) Beijing, (2) Tianjin, (3) Hebei Province, (4) Henan Province. (B) Southern margin of the North China Craton. (1) Quaternary System, (2) Magmatite, (3) Proterozoic Eonothem, and (4) Cambrian System. (C) China National Digital Geological Map (No. I-49-15 with Public Version at 1:200,000 Scale and Coordinate Range: 110.0000, 34.6667 to 111.0000, 34.0000 (From 110°0′0″ E, 34°40′0″ N to 111°0′0″ E, 34°0′0″ N) URL: https://geocloud.cgs.gov.cn/common-search/search/detail?globalId=cpgl_dzcp_a6da1f8ac1e6415199e23783a2296e78&networkType=extranet&table_name=cpgl_dzcp&isAccurate=false&keyword=%E6%B4%9B%E5%8D%97%E5%8C%BA%E5%9F%9F%E5%9B%BE, accessed on 12 November 2024).
The Mesoproterozoic in north China is primarily characterized by the presence of the Baiyunebo Graben, Yanliao Graben, and the southern margins of the Xiong’er Graben and Xuhuai Graben [17]. The study area falls within the Xiong’er Fault. The Jixian Series at the southern margin of the North China Craton mainly consists of shallow marine carbonate sedimentation, with a significant development of stromatolites, which are generally attributed to intertidal deposits [5,18]. The Geological and Mineral Resources Bureau of Shaanxi Province has further subdivided this stratigraphic sequence into the Longjiayuan Formation, Xunjiansi Formation, Duguan Formation, and Fengjiawan Formation, collectively referred to as the Luonan Group.
The Jixian System strata were deposited in a shallow-water, tidal-flat carbonate environment. At the base of the Longjiayuan Formation, the strata consist of flesh-colored dolostones, transitioning upwards to grayish-white dolostones with chert bands and well-developed stromatolites (Figure 2). The Xunjiansi Formation is dominated by dolostones with significantly increased bed thickness and well-developed chert bands, indicating deeper water, and more frequent chert bands, with microscopically bright dolostones [19]. The Duguan Formation is characterized by thin-bedded dolostones, while the overlying Fengjiawan Formation at the top of the Jixian System consists of thick, light-yellow dolostones interbedded with gray dolomites.
Figure 2. Field sampling of stromatolites from the Longjiayuan Formation. (AD) show the stromatolite sampling locations in the field, respectively.
The Xunjiansi Formation consists of thick, dark gray dolostones with well-developed chert bands, locally interbedded with conglomeratic and stromatolitic dolostones, showing more chert bands than the Longjiayuan Formation. The Duguan Formation comprises thick, gray-brown dolostones with black chert bands and gray, thick, sandy, intraclastic dolostones with wave ripples, underlain by brown-gray, thick, massive chert breccias. The Fengjiawan Formation is composed of light gray, thick, massive, intraclastic, and oolitic dolostones, interbedded with light gray, thick, massive, intraclastic, and muddy stromatolitic dolostones, with increasing terrigenous clastic content upwards.

3. Sampling and Analytical Methods

3.1. Sample Collection

Samples were collected from Mesoproterozoic carbonate and sandstone outcrops in Shimen Town, at the southern margin of the North China Craton (Figure 1C). Twenty samples were analyzed for carbon and oxygen isotopes, selecting fresh surfaces with minimal recrystallization. Twenty-six thin sections and seven probe samples were prepared. This study examines stromatolites and associated microorganisms’ morphology through electron microprobe and cathodoluminescence analyses. The research elucidates the macroscopic and microscopic structures of stromatolitic reefs and provides isotopic geochemical insights into paleoenvironmental conditions. Oxygen isotopes can be utilized to determine the temperature of ancient seawater [20,21], while carbon isotope compositions document the global carbon cycle and its interactions with the atmosphere and oceans [22,23]. Stromatolite fossils, recording diurnal and seasonal variations, provide excellent evidence of depositional facies during the Mesoproterozoic Era, offering valuable conditions for the study of paleoclimate environments [24,25].

3.2. Sample Testing and Analysis

3.2.1. Carbon and Oxygen Isotope Analysis

Prior to isotope analysis, surface contaminants and unavoidable quartz veins from field sampling were removed. The fresh portions of the samples were ground to 200 mesh (74 µm), minimizing contamination. The evolved CO2 was purified and analyzed using a MAT 253 mass spectrometer (Thermo Fisher Scientific, Bremen, Germany) to determine carbon and oxygen isotope compositions. This experiment was completed at Wuhan Xinshengji Co., Ltd. (Wuhan, China).

3.2.2. Major and Trace Element Analysis

Major elements (Ca, Mg) and trace elements (Sr, Mn, Ba, Cu) in the Luonan Group samples were analyzed using an Agilent 7700e ICP-MS (Agilent Technologies, Santa Clara, CA, USA).

3.2.3. Total Organic Carbon Analysis

Total organic carbon (TOC) was measured using a Leco CS844 Carbon-Sulfur Analyzer (LECO Corporation, St. Joseph, MI, USA), following the standard GB/T 19145-2022 [26] for TOC determination in sedimentary rocks.

3.2.4. Electron Probe Microanalysis

Electron probe microanalysis was conducted at Chang’an University using a JXA-8230 electron probe microanalyzer (JEOL Ltd., Tokyo, Japan). Electron probe microanalysis (EPMA) was primarily used to determine the distributions of major elements within carbonate rock samples, as well as the laminated structure and elemental composition of stromatolite fossils. The samples for analysis were cut into small pieces ~1 cm in size, and their surfaces were polished and carbon-coated before analysis [27]. The elements tested included the oxides of Na, Si, Mg, K, Ca, P, S, Al, Mn, Fe, Cr, Ti, and C.

3.2.5. Cathodoluminescence

Cathodoluminescence analysis was performed at Wuhan Xinshengji Technology Co., Ltd. (Wuhan, China), using a CLMK5 cathodoluminescence instrument (Beijing Zhongke Yantai Technology Co., Ltd., Beijing, China), following the SY/T 5916-2013 standard [28] for cathodoluminescence analysis of rock minerals.

4. Results and Interpretation

The formation characteristics and environment play a crucial role in the exploration and evaluation of deep oil and gas. Stromatolitic reefs were discovered in the lower parts of the Xunjiansi and Longjiayuan Formations, primarily composed of dolomite, with identifiable wavy, layered, and columnar stromatolite rhythms. After multiple field surveys, a significant discovery of newly exposed stromatolites was made for the first time in the Luonan Group at the southern margin of the North China Craton, marking a major find in the region’s carbonate rock studies.

4.1. Characteristics of Stromatolites

4.1.1. Macroscopic Features

Stromatolites are widely recognized as laminated, early lithified, biogenic structures that develop in freshwater, marine, and evaporative environments, growing at the interface between sediments and water bodies [29]. According to a review by Tian Youping et al. (2000) [30], the lamination and morphology of stromatolites may be related to the genera and species of cyanobacteria as well as the growth environments of the stromatolites. The growth of stromatolites is influenced by multiple factors, including sedimentary environments and microbial activity; hence, stromatolites record extensive information about Earth’s climate, environment, and the evolution of early life. The objective was to infer the environmental features of the study area during the Mesoproterozoic Era by observing stromatolites in the field [31].
The stromatolites in the study area exhibit a diverse range of classifications, which can be categorized into laminated stromatolites, columnar stromatolites, wavy stromatolites, and others (Figure 3). It is noteworthy that this morphological classification is best identified macroscopically in the field, as under microscopic examination, the same types of stromatolites may present various appearances due to differences in the sectioning plane. In the figure below, the dashed lines trace the dark laminae of the stromatolites, offering a more intuitive visualization of the streaks’ extension trends. This allows for a better evaluation of the stromatolite morphology.
Figure 3. Field photographs and fossil morphology of stromatolites. (A) Columnar stromatolites; (B) wavy stromatolites; (C) wavy stromatolites; (D) laminated stromatolites; (E) columnar stromatolites; (F) laminated stromatolites; (G) bryophyte fossils; (H) fern fossils; (I) laminated stromatolites.
In the Mesoproterozoic, microbialite growth occurred in shallow, photic waters suitable for cyanobacteria [32,33]. Surface sediments, including microbial mats, were influenced by shallow waves or currents, leading to local deformation and wrinkling in intertidal settings [31,34]. Such deformations create distinct stromatolite laminae, and different stromatolite morphologies reflect varying hydrodynamic conditions (Table 1).
Table 1. Comparison of different types of stromatolites in the study area.
Stromatolites are often associated with microbial mats. Those without wavy structures are considered to be laminated [35], while those with wavy structures are stromatolitic; these terms are not absolute and can represent different parts of the same microbial mat, and thus collectively they are referred to as laminated–stromatolitic structures [34]. These structures are primarily controlled by cyanobacterial activity, resulting in undulating and sometimes discontinuous layers. In the study area, wavy, columnar, and laminated stromatolites are well developed. The alternating light and dark laminae are controlled by microbial growth, with the dark layers being organic-rich due to microbial growth and mineralization, and the light layers formed by carbonate grains bound or trapped by microbes [33]. Different depositional environments yield different stromatolite morphologies: wavy stromatolites dominate the intertidal zone, while laminated stromatolites are more common in the lower supratidal zone (Figure 4).
Figure 4. Marine transgression and regression and stromatolite morphology. The upper intertidal zone is characterized by laminated stromatolites, the intertidal zone by wavy stromatolites, and the subtidal zone by columnar stromatolites.

4.1.2. Microscopic Characteristics

From polished longitudinal sections, the stromatolites are observed to consist of alternating light and dark laminae. The polished samples show clear rhythmic laminae growth with gentle domal shapes, indicating the growth direction through their convex orientation. The rock is composed mainly of laminated, muddy dolostone. The primary mineral is dolomite, with minor components including clay, calcite, and anhydrite. Dolomite is predominantly composed of micrite, with minor amounts of microspar. The rock is mainly composed of dolomite, with lesser amounts of clay minerals and calcite. The dolomite crystals are primarily fine to microcrystalline, with subordinate micrite and medium crystalline grains. The grains exhibit an interlocking texture, mostly in semi-idiomorphic to idiomorphic rhombohedral forms. Locally, dolomite is replaced by calcite. Clay minerals are cryptocrystalline and enriched in laminae (Figure 5).
Figure 5. Alternating light and dark laminae in longitudinal sections of stromatolites from the Longjiayuan Formation.

4.2. Electron Probe Microanalysis (EPMA)

The thin sections T-22, T-23, and T-24 were selected from top and bottom stromatolites for their well-developed, continuous laminae with clear boundaries. Under a biological microscope, five points each on the light and dark laminae were marked, totaling 30 points. Table 2 shows that both lamina types have high CaO and CO2 levels. Trace element analysis revealed slightly higher Ca2+ and Mg2+ in microbially enriched dark laminae compared to light ones, with Fe2+ also being more abundant, indicating formation under micro-reducing conditions. Stromatolite growth patterns reflect seasonal cycles (Figure 6).
Table 2. Quantitative elemental analysis of stromatolites from the Longjiayuan Formation by electron probe microanalysis.
Figure 6. Electron probe analysis of light and dark bands in stromatolites.

4.3. Comparison of Light and Dark Bands in Stromatolitic and Laminated Structures

4.3.1. Stromatolitic Structure

Under cathodoluminescence (Figure 7D), local recrystallization was observed, with minor dark orange-red calcite replacing dolomite. Anhydrite does not luminesce and was locally enriched, occurring in clumps and streaks. Clay minerals do not luminesce, and minor indigo kaolinite was dispersed throughout. Minor blue feldspar was present, distributed in a spotted pattern. The pores did not luminesce. The dark laminae emitted red light, while the light laminae either did not luminesce or emitted a dull red light, indicating syn-sedimentary to early diagenetic dolomitization, which emitted red or orange-red light under cathodoluminescence. Microbial micritization occurred at the edges of clotted structures, microbial fabrics, and grain margins, forming dark micritic rims (Figure 7C).
Figure 7. Microscopic characteristics of laminated and stromatolitic structures. (A) Plane-polarized light image of laminated structure; (B) cathodoluminescence characteristics of laminated structure; (C) plane-polarized light image of stromatolitic structure; (D) cathodoluminescence characteristics of stromatolitic structure.

4.3.2. Laminated Structure

The horizontal laminated stromatolites exhibited continuous, nearly horizontal laminae with minor undulations (Figure 7A); the laminae are evenly spaced and thin. Alternating light and dark laminae have an overall gray-black appearance, and the stromatolites are thick, likely due to stable hydrodynamic conditions. Siliceous bands were observed within the laminated stromatolites. The samples were primarily composed of dolomite with some quartz. The bright dolomite grains are similar in size and composition to those in the stromatolitic structure. Under cathodoluminescence, dolomite primarily emitted a rose-red color (Figure 7B), with some non-luminescent areas. Clay and minor indigo kaolinite were non-luminescent and were dispersed. Microfractures were filled with non-luminescent anhydrite, rose-red dolomite, and orange-red calcite. Similar cathodoluminescence colors in the stromatolitic and laminated structures suggest a common microbial origin, but differences in the bright layers indicate distinct formation processes.

4.4. Originality Testing of Carbon and Oxygen Isotope Data

4.4.1. Petrography

Before interpreting carbon isotopes, diagenetic alteration should be considered. Most of the Jixian System samples show little evidence of post-depositional recrystallization. The fine-grained crystalline nature and lack of coarser crystals suggest the occurrence of diagenesis in quasi-syngenetic fluids. The other main microfacies include intraclastic micrite and stromatolites (Figure 8).
Figure 8. Microscopic morphology of Luonan stromatolites. The dark bands represent organic matter, and the light bands are grainy carbonate layers formed by microbial binding and trapping. (A,B,F) are stromatolites, while (CE) are laminated structures.

4.4.2. Geochemical Discrimination

Oxygen isotopes are often used to assess diagenetic alteration in carbonates [36,37,38]. Generally, δ18O values between −5‰ and −10‰ (Table 3) indicate slight diagenetic alteration, but the impact on carbon isotopes is minimal [5,17]. However, δ18O values < −10‰ indicate that the original carbon isotope composition may be significantly altered, rendering the data unreliable. If the δ13C and δ18O values show no significant correlation, this indicates that the marine carbonates have retained their original carbon and oxygen isotope compositions. As the Mesoproterozoic Era was characterized by a low-grade metamorphic environment [39], the δ18O values of the Luonan Group samples analyzed in this paper, which range from −5‰ to −10‰, indicate that the obtained carbon isotope data effectively represent the paleo-seawater carbon isotope composition during the deposition period of the Jixian System of the Luonan Group.
Table 3. Carbon and oxygen isotope results for the Luonan Group.
Diagenesis in marine carbonates is indicated by elevated Mn and depleted Sr values. When Mn/Sr < 10, limestones or dolostones typically retain near-primary δ13C abundances, enabling carbon isotope values to reflect the original paleoenvironment. When Mn/Sr < 3, the samples have well-preserved original carbon and oxygen isotope compositions, and Sr isotope data can be used for paleoenvironmental analysis. In the Jixian System of this area, most of the Mn/Sr ratios range from 0.201 to 2.050 (Table 4), meeting the criteria for effective preservation, indicating that the samples have retained the original paleo-seawater information.
Table 4. Mn/Sr data analysis.
If δ13C and δ18O are uncorrelated, then the isotope data are deemed reliable, and previous studies show that this phenomenon is effective for assessing the occurrence of primary isotopic signals. Carbon isotopes are more stable than oxygen isotopes, and diagenetic fluids do not necessarily alter their original composition. Carbonate rocks serve as a major carbon reservoir, making δ13C values less susceptible to change. If carbon isotopes are affected by subsurface fluids, δ13C values become more negative. Post-depositional fluid interactions that alter isotope characteristics would result in a correlation between δ13C and δ18O, as both would be influenced by fluid–rock interactions [39]. A scatter plot of the carbon and oxygen isotope results (Figure 9) shows no significant correlation, with the correlation coefficient of 0.24. This suggests that the marine carbonates in the study area have largely retained their original carbon and oxygen isotope compositions. Therefore, the samples from this region have been minimally affected by later diagenesis and can effectively represent the initial paleo-seawater isotope characteristics of the Luonan Group.
Figure 9. Correlation between δ18O and δ13C in carbonates from the Luonan Group.
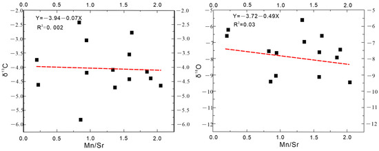
There is almost no correlation between Mn/Sr and δ13C or δ18O. The negative correlation between Mn/Sr and δ13C (R2 = 0.002) and between Mn/Sr and δ18O (R2 = 0.03) suggests that the section has been influenced by atmospheric precipitation. However, the Mn/Sr values < 10 indicate that the impact of atmospheric precipitation on δ13C is minimal (Figure 10).
Figure 10. Correlation between Mn/Sr and δ18O and between Mn/Sr and δ13C.
The Mg/Ca ratio in sediments is often used to evaluate the dolomitization of samples. During the dolomitization process, δ18O values typically increase by ~2.4‰. If the Mg/Ca ratio is not considered, the increase in δ18O could lead to an underestimation of diagenetic effects. In the studied section, the overall content of MgO and CaO is relatively high, with MgO ranging from 20.04‰ to 23.9‰, averaging 22.48‰. The Mg/Ca ratios are all > 1, and there is a correlation between the Mg/Ca ratio and both the δ13C and δ18O values, indicating that the samples are slightly affected by dolomitization.
Table 3 and Table 4 present the carbon and oxygen isotope data for carbonate samples from the Luonan Group. After validity assessment, the samples show low Mn/Sr values and discrete δ13C and δ18O distributions, with no δ18O values < −10‰, indicating that the isotope data represent the original paleo-seawater composition with minimal diagenetic alteration [39]. The carbon and oxygen isotope characteristics of 14 representative samples are shown in Figure 11. The sequential plot of these data more intuitively reflects the isotopic composition and variations in paleo-seawater conditions. The data cover the complete and continuous stratigraphy of the Mesoproterozoic Luonan Group, providing a comprehensive δ13C and δ18O curve for the Jixian Section.
Figure 11. Carbon and oxygen isotope curves of the mesoproterozoic Luonan Group.

4.5. Carbon and Oxygen Isotope Compositions

4.5.1. Carbon Isotope Characteristics

Overall, the δ13C values of the dolomites in the Luonan Group range from −5.81‰ to −2.43‰, with significant fluctuations, and an average of −4.03‰. Most of the data points are above the average, clustered mainly between −4.70‰ and −3.05‰. The data can be roughly divided into three parts. In the Longjiayuan Formation, the δ13C values fall between −5.81‰ and −3.73‰, showing a significant negative excursion as seen in the curve in Figure 11. Layered and columnar stromatolites are well developed in this formation. During the same period, the δ13C values of the Longjiayuan Formation in Qishan range from −1.619‰ to 1.144‰ [17], with an average of −0.357‰. In the Xunjiansi Formation, there is a gradual increase, reaching the maximum value, with δ13C values ranging from −3.53‰ to −2.43‰. The δ13C values are all negative and generally stable, followed by low-amplitude fluctuations around the average in the Duguan and Fengjiawan Formations. During the same period, the δ13C values in Qishan gradually increase, resulting in a positive bias in the middle, after which the values remain positive before rapidly decreasing to negative values, with a larger range of fluctuation compared to Luonan.

4.5.2. Oxygen Isotope Characteristics

The δ18O values of the Luonan section range from −9.06‰ to −5.64‰, with an average of −7.60‰. Most of the data points are above the average. Overall, there are two notable negative excursions. In the lower part of the Longjiayuan Formation, there are three significantly negative values, while the rest of the δ18O values fall between −7.92‰ and −5.64‰. The δ18O values in the Longjiayuan Formation range from −9.06‰ to −5.64‰, showing low-amplitude, high-frequency oscillations, with the highest value of −5.64‰ near the top of the formation. In the Xunjiansi Formation, there is a second major negative excursion, with more frequent sawtooth oscillations, ranging from −9.11‰ to −6.57‰, and with a greater amplitude of fluctuation. In the middle of the Xunjiansi Formation, the δ18O values show a downward trend, followed by a gradual oscillatory recovery, and they then stabilize in the Duguan and Fengjiawan Formations. During the same period, the oxygen isotopes in Qishan show frequent low-amplitude oscillations with strong variability and a chaotic pattern.
The carbon isotope (δ13C) values of the dolostone samples from the Yangzhuang Formation in the Jixian Section, Tianjin, on the northern margin of the North China Craton, are all negative, ranging from −1.28‰ to −0.05‰ [39]. The δ13C values gradually increase and then decrease, followed by a more stable interval. The oxygen isotope (δ18O) values are also negative, ranging from −3.58‰ to −0.71‰, showing a gradual decrease to a stable phase, followed by oscillations and then another return to stability. In central Hebei Province, in the Kuan Cheng area, on the eastern margin of the North China Craton, the δ13C values of the carbonates of the Guyuzhuang Formation range from −5.03‰ to 0.07‰ [40]. Initially the δ13C values show a positive shift, followed by a negative shift, before stabilizing with oscillations around the mean. The δ18O values range from −9.92‰ to −4.12‰, showing a significant negative shift, followed by positive shifts and frequent oscillations. For the Tuanshanzi–Jingeryu Formations in the Jixian Section, Tianjin, the δ13C values are stable at ~0‰ with fluctuations generally less than ±1‰ [41], and stable δ18O values of ~−5‰. In the Ertangou section, Qishan County, Shaanxi, on the southern margin of the North China Craton, the δ13C values range from −1.747‰ to 1.144‰ [17], showing overall stability, while the δ18O values range from −8.662‰ to −2.540‰, with low-amplitude, high-frequency oscillations and a clear cyclical pattern in δ13C. In the Wumishan Formation, Beijing, on the northern margin of the North China Craton, the δ13C values range from −1.5‰ to 1.5‰ [42], and the δ18O values range from −4‰ to −5‰, with cyclical variations. δ13C shows a positive shift to 1.5‰ and then a negative shift to −1.5‰, with higher δ18O values (~−4.0‰) in the δ13C intervals with a negative shift. In the Longjiayuan Formation, western Henan, on the southern margin of the North China Craton, the δ13C values range from −0.91‰ to 1.14‰, and the δ18O values range from −7.20‰ to −3.99‰, with no significant correlation [43]. The δ13C values show a predominantly negative shift followed by a positive shift.

4.6. Organic and Inorganic Carbon Isotope Composition

4.6.1. Inorganic Carbon Isotope Data Analysis

Negative fluctuations are more pronounced throughout the study area. The δ13Ccarb values in the Longjiayuan Formation show a significant negative shift, with an average close to −0.55‰. Up-section, the δ13Ccarb values in the Xunjiansi, Duguan, and Fengjiawan Formations show a gradual positive shift. The maximum positive value of 1.097‰ is reached in the Xunjiansi Formation, followed by a gradual decrease, becoming negative at the top of the Duguan Formation, followed by an abrupt increase, and returning to positive values in the Fengjiawan Formation (Table 5).
Table 5. Inorganic carbon isotope data of the Luonan Group.

4.6.2. Organic Carbon Isotope Data Analysis

The organic carbon isotope composition and evolutionary characteristics of the stratigraphic sequence of the Luonan Group are distinctly different from those of the inorganic carbon isotopes. The δ13Corg values are generally negative, ranging from −7.22‰ to 2.23‰, with an average of −4.45‰. The difference between organic and inorganic carbon isotopic compositions results in an average marine ΔC value of ~4.17‰ for this stratigraphic sequence, reaching 6.91‰ in the Xunjiansi Formation.
Since seawater is mostly in an oxidized state, the formation of marine organic carbon is primarily achieved via primary producers. The variations in δ13Corg composition are mainly due to differences in carbon fractionation (ΔC = δ13Corg − δ13Ccarb) during algal photosynthesis under different pCO2 conditions [44,45]. Therefore, the carbon isotope fractionation value ΔC can serve as an indicator of atmospheric pCO2 fluctuations. Under stable conditions, if the substantial burial of organic carbon causes a positive shift in δ13Ccarb, δ13Corg typically shows a synchronous positive shift. This process, which increases the efficiency of light carbon burial, leads to a decrease in atmospheric CO2 concentration and an increase in O2 content.

4.7. TOC Analysis

Seventeen carbonate rock samples from the Mesoproterozoic section of the Luonan section were analyzed for total organic carbon (TOC). The classification criteria for highly thermally evolved Paleozoic and underlying source rocks are as follows: the TOC boundary for marine mudstone source rocks and non-source rocks is 0.5%, and for carbonate rocks, it is 0.2% [46]. The results of this study show that the Longjiayuan Formation has the highest TOC content, ranging from 0.123% to 1.17%, indicating a certain hydrocarbon generation potential (Table 6).
Table 6. TOC data for carbonate rock samples from the Luonan Group.
The carbonate source is likely to be continental tholeiitic basalt with hydrothermal input, rich in Mg and Fe and supporting high productivity. Hydrocarbon-generating organisms are mainly microspherical planktonic algae and some benthic algae. Post-mortem, they are well preserved in anoxic–sulfidic waters, with a high source potential [19]. However, in the mineralization zone, sulfate reduction (BSR) degrades the organic matter, resulting in a low present-day TOC content.

5. Discussion: Stromatolite Characteristics and Paleoenvironment

5.1. Stromatolite Characteristics

Stromatolites, as a special type of laminated biogenic sedimentary structure, record changes in marine and atmospheric circulation through the interaction of microbial activity and carbonate precipitation [31].
The Longjiayuan Formation is dominated by wavy and columnar stromatolites. Wavy stromatolites are commonly associated with thick, gray to gray-black, fine-to-medium-crystalline siliceous dolostones with intercalated silica bands (Figure 3B,C). Variations in the direction and intensity of hydrodynamic forces can cause changes in laminae growth directions. The wavy stromatolites exhibit distinct and uniform color banding. Although both types share similar microscopic features and microbial compositions, light and dark micritic laminae can be distinguished, the former representing periods of low sedimentation with calcite precipitation. Wavy stromatolites are primarily found in the upper part of the Longjiayuan Formation, indicating that they formed under relatively weak hydrodynamic conditions, characteristic of mid-intertidal depositional environments. The development of stromatolites is easily influenced by factors such as paleoenvironment, climate, and water conditions, and sea-level changes are closely related to stromatolite morphology. The stromatolites developed in the Longjiayuan Formation of the study area are columnar, indicating their formation in an environment with strong hydrodynamic conditions. The thickness of the stromatolites reflects the duration of these conditions. The stromatolites in the study area are thinner at the top and bottom and thicker in the middle, with alternating development of branched and unbranched columnar stromatolites, suggesting that they formed in a gradually rising sea-level environment with continuously changing hydrodynamic conditions [10]. The poor porosity of the stromatolites provides excellent conditions for hydrocarbon entrapment, making them a good source rock and offering a favorable setting for hydrocarbon accumulation. The discovery of stromatolites in the study area not only provides practical evidence for the study of stromatolite reefs but is also of significant importance for oil and gas exploration in the region.
Columnar stromatolites are often associated with siliceous-banded dolostones and thick, fine-to-medium crystalline dolostones (Figure 3A,E). They grow in deeper marine settings, with a varying silica content due to sea-level changes, suggesting climate-related silicification. The lower parts have finer particles, while the upper parts have larger grains and detritus, indicating slower deposition and less disturbance in deeper, lower-energy water.
The Xunjiansi Formation contains laminated stromatolites, with horizontal laminated stromatolites occurring in gray, thick-bedded, fine-to-microcrystalline dolostones (Figure 3D,F,I). The stromatolite laminae are dense, with alternating light and dark layers; the thickness between laminae is small, with clear light and dark bands. However, the overall thickness of the stromatolites is large, suggesting that the laminae grew with minimal or no disturbance, under calm water conditions and in a shallow depositional environment. This indicates that horizontal laminated stromatolites typically grew in environments with low hydrodynamics and minimal water turbulence, possibly in supratidal settings with weak currents.

Mechanism of Stromatolite Formation

Mei et al. (2016) hypothesized that the alternating light and dark laminae in stromatolites are related to the phototaxis of cyanobacteria. During daylight, cyanobacteria grow upwards towards the light, secreting slime that binds mineral particles, forming the light laminae. At night, with dim light, cyanobacteria lie flat and cease accumulation, forming the dark laminae. These laminae record daily and seasonal cycles, enabling inferences to be made about past changes in these cycles. Studies of stromatolites indicate that, ~1.3 billion years ago, the year length was ~546–588 days, or 13–14 months, consistent with astronomical calculations [47,48,49,50].

5.2. Paleoenvironment

Wang [50] and Zhang [51] measured the U-Pb zircon ages of volcanic rocks at the base of the Longjiayuan Formation in the Luonan–Luanchuan, and the age was 1598 ± 9 Ma, suggesting that the basal boundary of the Longjiayuan Formation is ~1.6 Ga.

5.2.1. Paleosalinity

Both δ13C and δ18O are related to ancient ocean salinity. Ning et al. suggest that Sr/Ba values < 0.5 indicate a freshwater environment, values of 0.5–1.0 indicate a brackish water environment, and values > 1 indicate a marine environment [52]. The average Sr/Ba ratio in this area is 1.88, with all Longjiayuan Formation samples having Sr/Ba > 1, indicating a marine setting. Stable δ13C values suggest gradually increasing temperatures and decreasing salinity, favorable for algal growth and stromatolite formation. Combined with previous sedimentary facies studies, this suggests a shallow marine, tidal flat environment.

5.2.2. Paleotemperature

Several researchers have proposed a method to reconstruct the diagenetic temperature of carbonate rocks using oxygen isotope values [53]:
T = 13.85 − 4.54δ18OPDB + 0.04(δ18OPDB)2
However, this method tends to overestimate the temperature. Although the Jixian System has undergone shallow burial, the impact of diagenesis is minimal. To provide a more accurate estimate of the depositional temperature, we employed a correction method for the age effect on δ18OPDB. The formula used was:
T = 16.9 − 4.2 × (δ18Ocorrected value + 0.22) + 0.13(δ18Ocorrected value + 0.22)2
The results are presented in Table 7, which shows that the average temperature during the deposition of the Jixian System carbonate rocks in the study area was 19.3 °C. This indicates that the Mesoproterozoic Luonan Group in the study area experienced a warm climatic environment.
Table 7. Paleotemperature data for the Jixian System, Luonan Group.
Carbon isotope variations are often attributed to global events like glaciation or mechanisms affecting inorganic and organic carbon reservoirs. The narrow range of Mesoproterozoic δ13C values typically indicates a stable ecosystem with slow biological evolution. The wider δ13C range in this study area suggests significant ecological changes, possibly due to a dramatic increase in oxygen and the proliferation of prokaryotic algae [54]. During the Mesoproterozoic, Earth experienced a major tectonic event, the breakup of the Columbia supercontinent, which triggered global tectonic activity, altering the climate, marine environment, and sea levels, and impacting biogeochemical and carbon cycles, leading to changes in seawater δ13C.
Following the Xiong’er volcanic event in the early Mesoproterozoic, the southern North China Craton developed a terrestrial clastic–carbonate sedimentary system. Abundant detrital zircons from the late Mesoproterozoic to early Neoproterozoic were extracted from the Baizhigou and Hejiashai Formations, with the peak ages clustering between 1800 and 1000 Ma [54]. Despite the presence of mafic magmatic rocks from the late Mesoproterozoic to early Neoproterozoic, felsic magmatic activity was absent during this period [55,56].
The Longjiayuan Formation shows a wide range of Al and Ca percentages, with MgO content between 4.16% and 24.89% (mean 21.51%) and CaO content between 17.9% and 32.80% (mean 29.06%), indicating a low terrigenous detrital content. The Fengjiawan Formation exhibits a significant increase in terrigenous detritus. Cu, Ni, Mo, V, and U contents gradually increase with some fluctuations, suggesting alternating oxic and anoxic conditions. Low and stable Al values indicate reduced river input and a favorable climate [57,58]. Stable Ca values suggest less climatic variability or a deeper, more open marine environment less sensitive to small-scale climatic changes. Enrichment in Cu, Ni, Mo, V, and U likely reflects anoxic conditions.
The Longjiayuan and Xunjiansi Formations in the Luonan Mesoproterozoic carbonates have low SiO2, P2O5, Al2O3, K2O, and TiO2 contents, with MgO ranging from 4.16% to 24.89% (mean 21.51%) and CaO from 17.9% to 32.80% (mean 29.06%). High CaO and MgO, and low SiO2, indicate minimal clay mineral input. Caxito et al. showed that Mg/Ca ratios reflect dolomitization. Similar Mg/Ca ratios in the Longjiayuan and Xunjiansi samples suggest the dolomitization was not a significant post-depositional process [59].

5.3. Paleoclimate

Oxygen isotope values in carbonates are strongly influenced by temperature, enabling δ18O to reflect paleotemperature changes [60]. Chen noted that higher δ18O values indicate lower temperatures [61]. In the study area, δ18O values range from −9.06‰ to −5.64‰. Cyanobacteria in carbonates require favorable photosynthetic conditions, with higher temperatures leading to higher CaO/MgO ratios. The low CaO/MgO ratios in the Luonan Group suggest a warm and humid climate.
Sr/Cu ratios between 1 and 10 indicate a warm and humid climate, while Sr/Cu > 10 indicates a hot and dry climate. The Sr/Cu ratios in the study area range from 0.14 to 8.21, suggesting a warm and humid climate during the Mesoproterozoic, Table 8.
Table 8. Correlation between Sr/Cu ratio and climatic conditions.

Paleoredox Conditions

Redox conditions are a critical control on organic matter preservation, with anoxic conditions favoring increased preservation [62]. Elements like V and Ni tend to accumulate in reducing environments. The V/(V + Ni) ratio is a reliable indicator of paleoredox conditions, with higher values indicating stronger reducing conditions. Anoxic conditions are indicated by V/(V + Ni) > 0.84, suboxic conditions by ratios of 0.60–0.84, and oxic conditions by values < 0.60. In this study area, the V/(V + Ni) values range from 0.06 to 0.49, with a mean of 0.43, suggesting a weakly oxic environment for the Jixian System.
This study aims to investigate the stromatolites of the Jixian Formation and compare their development across different periods and regions to achieve paleoenvironmental reconstruction. The research methods employed for stromatolite analysis in this study area are applicable to other regions as well. In the Furong Formation of western Shandong, large columnar stromatolites have been discovered within Cambrian strata. These stromatolites exhibit vertically oriented, closely packed columns and microstructures composed of dark micrite and slightly brighter microspar, containing microclots, dolomite, bioclasts, and abundant calcified microbial fossils [63]. Studies on Cambrian stromatolites in western Henan reveal an evolutionary process from solitary thrombolites to trace fossil-dominated structures, reflecting a transition from microbial communities to metazoan communities. The Cambrian stromatolites in western Henan preserve numerous cyanobacterial fossils that not only display diverse assemblage characteristics but also reveal various modes of stromatolite formation [64]. The late Proterozoic stromatolite assemblages in the southern Liaodong Peninsula preserve a wide variety of stromatolitic morphologies. Based on the stratigraphic distribution of these stromatolites, researchers speculate that the lower part of the late Proterozoic strata in this region may correlate with the Qingbaikou Formation in the Yan Mountains, while the middle-upper parts could be of a later age [65]. Modern stromatolites in the eastern Yichang Gorge exhibit complex morphological features critical for understanding ancient stromatolite formation mechanisms and environmental conditions, although specific causative factors require further investigation [66]. Stromatolites from the Dongchagou Kesuer Formation in Huangzhong County, Qinghai Province, show strong similarities to stromatolite assemblages from the late Mesoproterozoic to early Neoproterozoic in other regions of China, suggesting that the Kesuer Formation dates roughly to the late Mesoproterozoic [67]. The Lahetian lacustrine mound stromatolites from the Liwa Gorge Member of the Lower Cretaceous Liu Pan Shan Group in the Liu Pan Shan region predominantly developed within tranquil, low-energy aquatic environments. These stromatolites exemplify microbial mat structures that accumulated in stable, protected settings, reflecting a detailed record of microbially influenced sedimentation and environmental conditions during the Early Cretaceous period [68]. Through the analysis of stromatolite characteristics and geochemical composition, researchers can infer the depositional environment and better understand sediment capture mechanisms. Similar methodologies used in this study for paleoenvironmental reconstruction via stromatolites were applied in the Dom Feliciano Belt’s Passo Feio Complex in southern Brazil [69].
The methodological framework established in this study for stromatolite research can be equally applied to other regions globally. In the St. George Group (Lower Ordovician) of western Newfoundland, investigations into dolomitized stromatolites through cathodoluminescence and other petrographic analyses have revealed a spectrum of diagenetic features, from syndepositional dolomites formed in intertidal environments to those influenced by late-stage hydrothermal activity [70]. In the Cambrian Allentown Formation of New Jersey, USA, microbial signatures associated with early diagenetic transformations are observed within dolomitized laminated stones and microbialites. Through mineral sorting within stromatolites and utilizing X-ray diffraction (XRD) and electron probe microanalysis (EPMA), it has been demonstrated that organic carbon from diverse source pools is distributed within microcrystalline dolomite, indicating that these organics share a thermal metamorphic history with Cambrian carbonate rocks [71]. Murphy (2021) also examined the characteristics of biomarkers preserved following secondary dolomitization using electron probe analysis, specifically addressing how this geological process impacts the preservation of microbial biosignatures. The findings offer novel perspectives on the preservation conditions of ancient microbial biosignatures subsequent to geological transformations [72]. Shiraishi (2019) analyzed the morphology, composition, and U-Pb age (616 ± 32 Ma) of columnar phosphate stromatolites in the Neoproterozoic Salitre Formation of Brazil. These studies reveal that such stromatolites formed in an evaporitic ramp environment post-Marinoan glaciation, suggesting that microbial photosynthesis might have facilitated phosphate mineral precipitation under high phosphorus concentrations, thereby providing evidence for global oceanic phosphorus enrichment [73].

6. Conclusions

The strata of the Mesoproterozoic Jixian System along the southern margin of the North China Craton were deposited in a near-surface environment. There is no significant correlation between the carbon and oxygen isotopes, and the carbon and oxygen isotope compositions have been minimally altered by post-depositional fluid flow and related diagenetic processes, largely preserving their original geochemical characteristics. Our major findings are as follows.
  • Columnar stromatolites require high-energy conditions, suggesting formation in lower intertidal to subtidal high-energy zones. Wavy stromatolites indicate moderate intertidal settings with weaker water energy, while laminated stromatolites reflect supratidal environments. Stromatolites can alter the physical properties of the host rocks to some extent, presenting the potential to become hydrocarbon-rich reservoirs and exhibiting certain hydrocarbon-generating potential.
  • The Xunjiansi Formation features laminated stromatolites, indicating a low-energy environment with minimal water fluctuation, typical of supratidal settings. The Longjiayuan Formation is dominated by wavy and columnar stromatolites, with wavy stromatolites prevalent in the upper part, suggesting their formation under relatively weak hydrodynamic conditions in an intertidal environment.
  • The alternation of dark and light laminae in stromatolites is controlled by microbial growth. Under cathodoluminescence, dark laminae emitted red light, while light laminae did not luminesce or emitted a dull red light, indicating a higher organic matter content in the darker bands.
  • The average temperature during the deposition of the carbonate rocks in the Luonan Group along the southern margin of the North China Craton was 19.29 °C, and the low CaO/MgO ratios indicate a warm Mesoproterozoic environment. A paleosalinity indicator, Sr/Cu, ranges from 0.14 to 8.21, indicating a warm and humid climate in the study area during the Mesoproterozoic. In an oxic environment, the V/(V + Ni) ratio is <0.60. The V/(V + Ni) ratio of the samples in the study area ranges from 0.06 to 0.49, with an average of 0.43, indicating that the Jixian System in the study area formed in a weakly oxic environment.

Author Contributions

Methodology, Q.Y. (Qiang Yu); Software, R.Y.; Investigation, Q.Y. (Qike Yang), L.H. and T.W.; Writing—original draft, R.Y.; Writing—review & editing, R.Y.; Visualization, W.C.; Supervision, Z.R., R.L. and B.W.; Project administration, T.T.; Funding acquisition, Q.Y. (Qiang Yu) and T.T. All authors have read and agreed to the published version of the manuscript.

Funding

This research was funded by the following grants: Study on the tectono-sedimentary environment, reservoir-forming conditions, and favorable exploration zones of deep strata in the Ordos Basin (Grant No.: 2024D1JC06). Construction and Analysis of a Three-Dimensional Geological Model for Shale Gas Reservoirs in the Zhenba Area (Project No.: YQZC-FW-2023-050). Key Science and Technology Special Project of Shaanxi Coalfield Geology Group Co., Ltd. for 2024 (Project No.: SMDZ-ZD2024-1-01).

Data Availability Statement

Data is contained within the article.

Acknowledgments

We wish to thank the two anonymous reviewers for their constructive comments that were instrumental in revising the manuscript. We are also grateful for the guidance provided by the editor throughout the process. The experimental data and figures presented in this paper were jointly completed by Qike Yang and myself. My sincere thanks go to all of them.

Conflicts of Interest

Author Tao Tian was employed by the company Shaanxi Coal Geology Oil & Gas Drilling Co., Ltd. and Shaanxi Coal Geology Group Co., Ltd. Author Wei Chang was employed by the company Shaanxi Coal Geology Oil & Gas Drilling Co., Ltd. The remaining authors declare that the research was conducted in the absence of any commercial or financial relationships that could be construed as a potential conflict of interest. The authors declare that this study received funding from Shaanxi Coalfield Geology Group Co., Ltd. The funder had the following involvement with the study: Project administration, Funding acquisition, Visualization.

References

  1. Zeng, D.Y. Characteristics and Paleoenvironmental Significance of Lake Stromatolites in the Kekexili Region During the Miocene. Master’s Thesis, Chengdu University of Technology, Chengdu, China, 2011. [Google Scholar]
  2. An, Y.G. Study on Stromatolite Cyanobacteria Fossils and Algal Mat Morphology in the Tieling Formation of the Mesoproterozoic in Tianjin Jixian. Master’s Thesis, China University of Geosciences, Beijing, China, 2016. [Google Scholar] [CrossRef]
  3. Xiao, L.Z. Characteristics and Sedimentary Environment Analysis of Stromatolites in the Luoyukou Formation of the Mesoproterozoic in Western Henan. Master’s Thesis, Henan Polytechnic University, Jiaozuo, China, 2022. [Google Scholar] [CrossRef]
  4. Li, D.D.; Luo, G.M.; Yang, H.; Yu, Z.; Pang, K. Microfossil assemblages and thermal evolution stages of the Tai zi Group in the middle Mesoproterozoic Shennongjia Group. Acta Palaeontol. Sin. 2023, 62, 207–230. [Google Scholar] [CrossRef]
  5. Song, H.N. Carbon and Oxygen Isotope Characteristics of the Jixian Formation in Shaanxi Qishan and Their Geological Significance. Master’s Thesis, China University of Geosciences, Beijing, China, 2019. [Google Scholar] [CrossRef]
  6. Xu, F. Petrological and Geochemical Characteristics of the Dengying Formation in Southeastern Sichuan. Master’s Thesis, China University of Geosciences, Beijing, China, 2019. [Google Scholar] [CrossRef]
  7. Wang, H.; Ren, S.M.; Zhou, Z.; Li, J.; Zhang, Y.; Liu, X.; Chen, W.; Zhao, L.; Sun, Q.; Gao, F. Exploration potential of oil and gas resources in the Middle to Neoproterozoic strata in the North China Yan Mountains area. Geol. Bull. China 2019, 38, 404–413. [Google Scholar]
  8. Gu, Z.D.; Wang, Z.C. Discovery of Neoproterozoic extensional structures in the central Sichuan block of the Sichuan Basin and their significance for natural gas exploration. Sci. China Earth Sci. 2014, 44, 2210–2220. [Google Scholar] [CrossRef]
  9. Niu, L. Characteristics and Oil and Gas Potential of Mudstone-Shale Reservoirs in the Beijing-Tianjin-Hebei Region During the Sinian and Neoproterozoic. Master’s Thesis, China University of Geosciences, Beijing, China, 2013. [Google Scholar]
  10. Lv, Q.Q.; Zhang, L.; Wang, L.; Sun, X.H.; Zhang, J.K. Characteristics and depositional environment of the Xuzhuang Formation stromatolite reefs in the Hejin section of the Ordos Basin. Daqing Oilfield Geol. Dev. 2024, 1–11. [Google Scholar] [CrossRef]
  11. Huang, J.Y.; Liang, K.; Wang, Y.J.; Qie, W.K. Evolution of Devonian reefs and its influencing factors. Journal of Stratigraphy 2019, 43, 198–209. [Google Scholar]
  12. Shen, A.J.; Chen, Z.; Shou, J.F. Influence of relative sea level changes on Permian biotic reef hydrocarbon reservoirs in South China. Acta Sedimentol. Sin. 1999, 17, 7. [Google Scholar]
  13. Yang, W.; Zhu, Z.D.; Liu, B.L.; Li, X.M.; Xiao, C.T. Early Ordovician biotic reef formation model in northwestern Hunan. Mar. Pet. Geol. 2003, 8, 30–34. [Google Scholar]
  14. Bashir, Y.; Faisal, M.A.; Biswas, A.; Babasafari, A.A.; Ali, S.H.; Imran, Q.S.; Siddiqui, N.A.; Ehsan, M. Seismic expression of Miocene carbonate platform and reservoir characterization through geophysical approach: Application in central Luconia, offshore Malaysia. J. Pet. Explor. Prod. 2021, 11, 1533–1544. [Google Scholar] [CrossRef]
  15. Martyushev, D.A.; Chalova, P.O.; Davoodi, S.; Ashraf, U. Evaluation of facies heterogeneity in reef carbonate reservoirs: A case study from the oil field, Perm Krai, Central-Eastern Russia. Geoenergy Sci. Eng. 2023, 227, 211814. [Google Scholar] [CrossRef]
  16. Colman, J.G.; Gordon, D.M.; Lane, A.P.; Forde, M.J.; Fitzpatrick, J.J. Carbonate mounds off Mauritania, Northwest Africa: Status of deep-water corals and implications for management of fishing and oil exploration activities. In Cold-Water Corals and Ecosystems; Springer: Berlin/Heidelberg, Germany, 2005; pp. 417–441. [Google Scholar] [CrossRef]
  17. Song, H.N.; Lu, Y.Z.; Tan, C.; Li, X.; Wang Xl Fan, R.; Ma, X.Y.; Guan, S.W.; Deng, S.H. Characteristics of carbon and oxygen isotopes in the Jixian Formation of Shaanxi Qishan and their paleoenvironmental significance. Acta Geol. Sin. 2019, 93, 2068–2080. [Google Scholar]
  18. Yang, J.D.; Zhao, F.H.; Qin, S.F.; Zou, Y.; Song, C.G.; Sun, Y.X. Geochemical characteristics of carbonate rocks in the Yangzhuang Formation of the Mesoproterozoic in the northern margin of the North China Craton and their geological significance. Nat. Gas Geosci. 2020, 31, 268–281. [Google Scholar]
  19. Pan, X. Source Environment and Organic Matter Enrichment Mechanisms in the Middle to Neoproterozoic at the Southern Margin of the Ordos Basin. Dissertation, Northwestern University, Evanston, IL, USA, 2021. [Google Scholar] [CrossRef]
  20. Emiliani, C. Mineralogical and chemical composition of the tests of certain pelagic foraminifera. Micropaleontology 1955, 1, 377–380. [Google Scholar] [CrossRef]
  21. Kennett, J.P.; Shackleton, N.J. Laurentide ice sheet meltwater recorded in Gulf of Mexico deep-sea cores. Science 1975, 188, 147–150. [Google Scholar] [CrossRef]
  22. Broecker, W.S. Tracers in the Sea. In Lamont–Doherty Geological Observatory; Columbia University: New York, NY, USA, 1982. [Google Scholar]
  23. Schrag, D.P.; Higgins, J.A.; Macdonald, F.A.; Johnston, D.T. Authigenic carbonate and the history of the global carbon cycle. Science 2013, 339, 540–543. [Google Scholar] [CrossRef] [PubMed]
  24. Grotzinger, J.P. Facies and evolution of Precambrian carbonate depositional systems: Emergence of the modern platform archetype. In Sedimentary Depositional Systems; SEPM Society for Sedimentary Geology: Tulsa, OK, USA, 1989; Volume 42, pp. 237–268. [Google Scholar] [CrossRef]
  25. Han, X.Q.; Wang, H.Q.; Fang, Y.X.; Jin, X.L.; Yang, S.F. Spectral Analysis of Stromatolite Laminae Periodic Signals in Manganese Nodules from the Eastern Pacific Ocean and Its Significance. Acta Geol. Sin. 2001, 4, 548–553. [Google Scholar]
  26. GB/T 19145-2022; Determination of Total Organic Carbon in Sedimentary Rocks. Standardization Administration of China: Beijing, China, 2022.
  27. Li, F. Characteristics and Spatiotemporal Distribution of Ooids During the Permian-Triassic Boundary and Their Implications for Paleoceanographic Environments. Ph.D. Thesis, China University of Geosciences, Wuhan, China, 2016. [Google Scholar]
  28. SY/T 5916-2013; Cathodoluminescence Analysis of Rock Minerals. Petroleum Industry Press: Beijing, China, 2013.
  29. Mei, M.X.; Meng, Q.F. Modern stromatolites’ diverse composition: Key to understanding ancient stromatolite formation. J. Palaeogeogr. 2016, 18, 127–146. [Google Scholar]
  30. Tian, Y.; He, F. Discovery of modern freshwater stromatolites and algal mats in the surface travertine of Sichuan-Guizhou region. Geol. Rev. 2000, 5, 549–555. [Google Scholar] [CrossRef]
  31. Li, Q. Characteristics and Sedimentary Environment Analysis of Stromatolites in the Second Member of Longjiayuan Formation in the Middle Proterozoic in Western Henan. Master’s Thesis, Henan Polytechnic University, Jiaozuo, China, 2022. [Google Scholar] [CrossRef]
  32. Kaufman, A.J.; Jacobsen, S.R.; Knoll, A.H. The Vendian record of C and Sr isotopic variations in seawater: Implications for tectonics and paleoclimate. Earth Planet. Sci. Lett. 1993, 120, 409–430. [Google Scholar] [CrossRef]
  33. Kaufman, A.J.; Knoll, A.H. Neoproterozoic variations in the C-isotopic composition of seawater: Stratigraphic and biogeochemical implications. Precambrian Res. 1995, 73, 27–49. [Google Scholar] [CrossRef] [PubMed]
  34. Zhao, C. Reservoir Characteristics of Microbial Carbonates in the Leikoupo Formation in Western Sichuan. Dissertation, Chengdu University of Technology, Chengdu, China, 2019. [Google Scholar] [CrossRef]
  35. Deery, L.A.; Brasier, M.D.; Corfield, R.M.; Rozanov, A.Y.; Zhuravlev, A.Y. Strontium and carbon isotopes in Lower Cambrian carbonates from the Siberian craton: A paleoenvironmental record during the Cambrian explosion. Earth Planet. Sci. Lett. 1994, 128, 671–681. [Google Scholar] [CrossRef]
  36. Veizer, J.; Prokoph, A. Geological perspective on climate change and the Phanerozoic δ18O record. Clim. Past 2015, 11, 495–510. [Google Scholar] [CrossRef]
  37. Kroon, D.; Mosquera, M.E.; Miller, K.G. Diagenesis and paleoclimate: Implications for stable isotope studies in marine carbonates. Chem. Geol. 1995, 122, 179–194. [Google Scholar]
  38. Björkland, H.; Andersson, P. Carbonate diagenesis: An overview. Mar. Pet. Geol. 2007, 24, 749–767. [Google Scholar]
  39. Yin, X. Geochemical Characteristics of Carbonate Rocks in the Yangzhuang Formation of the Mesoproterozoic in Tianjin’s Jixian County. Master’s Thesis, China University of Petroleum (East China), Qingdao, China, 2021. [Google Scholar] [CrossRef]
  40. Luo, S.; Wang, K. Carbon and oxygen isotopic characteristics of carbonate rocks in the Mesoproterozoic Gao Yuzhuang Formation in Hebei’s Kuancheng area. Acta Geol. Sin. 2010, 84, 492–499. [Google Scholar] [CrossRef]
  41. Tian, H.; Li, H.; Xiang, Z.; Fan, C.; Zhang, J.; Liu, H.; Zhong, Y. Carbon and oxygen isotope evolution characteristics of the Tuan Shanzigou-Jingeryugou formations in the middle to new Proterozoic section of Jixian and their sedimentary environment and tectonic significance. North China Geol. 2021, 44, 4–13. [Google Scholar] [CrossRef]
  42. Li, R.; Chen, J.; Zhang, S. Carbon and oxygen isotopic composition of carbonate rocks in the Mesoproterozoic Wumishan Formation and sea-level changes. Chin. Sci. Bull. 1999, 16, 1697–1702. [Google Scholar]
  43. Li, Q.; Zheng, D.; Sun, F.; Wang, X. Origin and environmental response of siliceous rocks in the first member of Longjiayuan Formation in the Mesoproterozoic in western Henan. Geoscience 2024, 1–25. [Google Scholar] [CrossRef]
  44. Guo, H. Sedimentology of the Mesoproterozoic Jixian Group and Carbon-Sulfur Cycles in North China’s Margin. Ph.D. Thesis, China University of Geosciences, Beijing, China, 2013. [Google Scholar]
  45. Liu, G. Carbon Isotope Geochemistry and Paleoenvironmental Changes in the Mesoproterozoic of the North China Platform. Master’s Thesis, China University of Petroleum, Beijing, China, 2017. [Google Scholar]
  46. Teng, G.; Liu, W.; Xu, Y.; Chen, J.; Hu, K.; Gao, C. Correlation study between inorganic parameters and source rock development environments in marine strata: A case study of Ordos Basin. Pet. Explor. Dev. 2005, 4, 411–421. [Google Scholar]
  47. Cao, R.; Yuan, X. Searching for astronomical information recorded in stromatolites. Biol. Evol. 2014, 4, 42–48. [Google Scholar]
  48. Mei, M.; Meng, Q. Modern Stromatolite Diversity as a Key and Window to Understanding Ancient Stromatolite Formation. J. Palaeogeogr. 2016. Available online: http://www.gdlxb.cn/CN/volumn/current.shtml (accessed on 12 November 2024).
  49. Guo, L.; Liu, Z.; Xie, N. Geochemical characteristics and genesis interpretation of laminated mud-shale in the third member of the Hetangguoyuan Formation in the Biyang Sag, Nanxiang Basin. Geoscience 2018, 32, 133. [Google Scholar]
  50. Wang, J.; Zhang, D.; Yang, S.; Li, X.; Shi, Y.; Cui, J.; Zhang, P.; Wang, Y.; Yi, D.; Chang, H. Sedimentary characteristics and genesis of the salt lake with the upper member of the Lower Ganchaigou Formation from Yingxi sag, Qaidam basin. Mar. Pet. Geol. 2020, 111, 135–155. [Google Scholar] [CrossRef]
  51. Zhang, Y.; Zhang, D.; Liu, K.; Mo, X.; Wang, S.; Zhao, Z.; He, X.; Yu, T. Geological significance of Neoproterozoic intrusive rocks in the south section of the Ailaoshan orogenic belt, SW China: Insights from petrology, geochemistry, and geochronology. Minerals 2023, 13, 349. [Google Scholar] [CrossRef]
  52. Ning, F.; Wang, X.; Hao, X.; Yang, W.; Ding, J. Lithofacies combination characteristics of fine-grained sedimentary rocks in the Dongying Sag. J. Southwest Pet. Univ. 2020, 42, 55–65. [Google Scholar]
  53. Ren, Z.; Zhao, Z.; Zhang, J.; Yu, Z. Paleo-geothermal studies in the Ordos Basin. Acta Sedimentol. Sin. 1994, 1, 56–65. [Google Scholar]
  54. Zuo, P.; Li, Y.; Liu, S.; Zheng, D. Middle to new Proterozoic sedimentary evolution on the southern margin of the North China Craton: A case study of the Huanglianduo and Dongjia formations in western Henan. Acta Petrol. Sin. 2019, 35, 2545–2572. [Google Scholar]
  55. Guan, B.; Geng, W.; Rong, Z. Middle to Upper Proterozoic in Eastern Qinling Mountains, Northern Slope; Henan Science and Technology Press: Zhengzhou, China, 1988; pp. 1–210. [Google Scholar]
  56. Liu, X.; Zuo, P.; Wang, Q.; Bagas, L.; He, Y.; Zheng, D. Initial accretion of the North Qinling Terrane to the North China Craton before the Grenville Orogeny: Constraints from detrital zircons. Int. Geol. Rev. 2019, 61, 109–128. [Google Scholar] [CrossRef]
  57. Calvert, S.E.; Pedersen, T.F. Geochemistry of recent oxic and anoxic marine sediments: Implications for the geological record. Mar. Geol. 1993, 113, 67–88. [Google Scholar] [CrossRef]
  58. Liu, X.; Zuo, P.; Wang, Q.; Bagas, L.; He, Y.; Zheng, D. The distribution of Mo, U, and Cd in relation to major redox species in muddy sediments of the Bay of Biscay. Mar. Chem. 2002, 80, 41–59. [Google Scholar] [CrossRef]
  59. Fougerouse, D.; Reddy, S.M.; Saxey, D.W.; Erickson, T.M.; Kirkland, C.L.; Rickard, W.D.A.; Seydoux-Guillaume, A.-M.; Clark, C.; Buick, I.S. Multiproxy geochemical and isotope stratigraphy records of a Neoproterozoic Oxygenation Event in the Ediacaran Sete Lagoas cap carbonate, Bambuí Group, Brazil. Chem. Geol. 2018, 481, 119–132. [Google Scholar] [CrossRef]
  60. Xu, X. Study on Controlling Factors of Microbial Carbonates in the Lower Ordovician Nanjingguan Formation in Songzi Area, Hubei Province. Master’s Thesis, Yangtze University, Jingzhou, China, 2020. [Google Scholar] [CrossRef]
  61. Chen, H.; Gong, E.; Guan, C.; Sun, B.; Zhang, Y. Application of C, O, Sr isotope and trace element composition in the study of reef environment. World Geol. 2008, 2, 130–136. [Google Scholar]
  62. Jones, B.; Manning, A.C. Comparison of geochemical indices used for the interpretation of paleoredox conditions in ancient mudstones. Chem. Geol. 1994, 111, 111–129. [Google Scholar] [CrossRef]
  63. Xin, H. Study on Large Columnar Stromatolites in the Furong Formation of Western Shandong. Master’s Thesis, China University of Geosciences, Beijing, China, 2020. [Google Scholar] [CrossRef]
  64. Wu, P. Characteristics and Sedimentary Environment Analysis of Stromatolites in the Ediacaran Hongling Formation in Western Henan. Master’s Thesis, Henan Polytechnic University, Jiaozuo, China, 2023. [Google Scholar] [CrossRef]
  65. Duan, J.; Zhang, H.; Bu, D. Studies on Late Proterozoic Stromatolites in the Southern Liaodong Peninsula; Collection of Papers; Shenyang Institute of Geology and Mineral Resources, Chinese Academy of Geological Sciences: Shenyang, China, 1982; p. 17. [Google Scholar]
  66. Wang, Z.; Quan, Q. Modern stromatolites in the eastern Yichang Xialiang area. Geol. Sci. 1982, 4, 403–407+449–450. [Google Scholar]
  67. Dan, H.; Bao, G.P.; Dong, L.; Qin, S. Classification and stratigraphic comparison of stromatolites in the Dongchagou Kesuer Formation in Huangzhong County, Qinghai Province. Acta Geol. Sin. 2023, 97, 3198–3212. [Google Scholar] [CrossRef]
  68. Zhong, F.; Zhong, J.; Yu, W.; Border s Wang, J.; Wang, D.; Meng, W.; Aihemaitijiang, A. Characteristics and causative environments of stromatolites in the Liwaxia Formation of the Lower Cretaceous Liupanshan Group in the Liupanshan area. J. Stratigr. 2014, 38, 65–70. [Google Scholar] [CrossRef]
  69. Oliveira, O.E.; Edinei, K.; Cristine, P.C.; Triboli, V.D.; Chaves, R.R.; Sampaio, M.A.; Karina, S.A.; Everton M, B.; Abreu, M.A.; Andrades, B.V.; et al. Paleoenvironmental reconstruction of the Neoproterozoic Mudador Marble, Passo Feio Complex, Dom Feliciano Belt, southern Brazil. J. South Am. Earth Sci. 2025, 152, 105288. [Google Scholar] [CrossRef]
  70. Haywick, D.W. Dolomite Within the St. George Group (Lower Ordovician), Western Newfoundland. Ph.D. Thesis, Memorial University of Newfoundland, St. John’s, Canada, 1984. [Google Scholar]
  71. Murphy, A.E.; Wieman, S.T.; Gross, J.; Stern, J.C.; Steele, A.; Glamoclija, M. Preservation of organic carbon in dolomitized Cambrian stromatolites and implications for microbial biosignatures in diagenetically replaced carbonate rock. Sediment. Geol. 2020, 410, 105777. [Google Scholar] [CrossRef]
  72. Murphy, A.E. Characterization of Stromatolitic Biosignatures After Secondary Dolomitization. Ph.D. Thesis, Rutgers University, New Brunswick, NJ, USA, 2021. [Google Scholar]
  73. Shiraishi, F.; Ohnishi, S.; Hayasaka, Y.; Hanzawa, Y.; Takashima, C.; Okumura, T.; Kano, A. Potential photosynthetic impact on phosphate stromatolite formation after the Marinoan glaciation: Paleoceanographic implications. Sediment. Geol. 2019, 380, 65–82. [Google Scholar] [CrossRef]
Disclaimer/Publisher’s Note: The statements, opinions and data contained in all publications are solely those of the individual author(s) and contributor(s) and not of MDPI and/or the editor(s). MDPI and/or the editor(s) disclaim responsibility for any injury to people or property resulting from any ideas, methods, instructions or products referred to in the content.

Article Metrics

Citations

Article Access Statistics

Multiple requests from the same IP address are counted as one view.