Process Parameters as Tools to Intensify the Freeze-Drying Process and Modify the Sorption Properties of the Obtained Freeze-Dried Products
Abstract
1. Introduction
- working pressure,
- the flow of supplied heat (in the case of contact heating, the shelf temperature),
- safety pressure.
- changes in parameters, even slight changes, can significantly affect the kinetics of the process,
- measurement of the material temperature can be a tool for assessing the adequacy of the process,
- too high a material temperature, especially in the initial freeze-drying period, results in the presence of free water in the material, which changes the process from freeze-drying to vacuum drying.
| Material | Sample Preparation | Freeze-Drying Parameters | Ref. |
|---|---|---|---|
| Apple | slices 4 and 8 mm | T (condenser) = −48 °C IR lamp (T = lack of data), Pressure = 13.3 Pa Material T control: no | [24] |
| Apple | slices 5 mm | T shelf variable during the process: 20_45_55_50 °C, T (condenser) = −40° Pressure = 100 Pa, Time 15 h Material T control: yes | [29] |
| Apple puree gel | cylinder with d = 13.5 mm, height of 13.7 mm | T (shelf) = 20 °C Pressure = 63 Pa, Time = 24 h Material T control: no | [25] |
| Banana | cylindrical shape with a d = 20 mm and thickness from 10 to 20 mm | Temperature of IR radiator range of 50–70 °C Pressure = 0.5 Pa Time = 6 h Material T control: no | [30] |
| Blackberries | Juice with carrier agents | T = −84 °C (shelf or condenser T-not reported) Pressure: 4 Pa, Time: 48 h Material T control: no | [26] |
| Carrot | 3–4 mm slices | T (shelf) = 30 °C, T (condenser) = −60 °C Pressure = 6 Pa, Time = n/a Material T control: no | [20] |
| Carrot and horseradish | 0.5 cm slices | Primary drying: T (shelf) = −35 °C, Pressure = 50 Pa Secondary drying: Pressure = 4 Pa, T rising continually to +18 °C Material T control: no | [28] |
| Guava and papaya | 1 × 1 × 1 cm cubes | T (shelf) = 10 °C Pressure = less than 613.2 Pa, Time = 24 h Material T control: no | [31] |
| Pumpkin, green bell pepper | samples of 2 × 2 cm | T = between −47 and −50 °C (shelf or condenser T-not reported), Pressure = 0.67 Pa, Time 38 h Material T control: no | [32] |
| Model instant powder solution | model spheres (d = 2 cm) with sucrose coating | Isotherm at T = (−7) °C (12 h) Isotherm at T = (−3) °C (12 h) Isothermal drying at T = −27 °C (5 h) T ramp from −27 °C to 20 °C at 1 °C/min T ramp from −70 °C to 20 °C at 4 °C/h Isotherm at T = −60 °C for 20 h T ramp from −60 °C to 20 °C at 4 °C/h T ramp from −60 °C to −40 °C at 0.5 °C/h T ramp from −40 °C to 20 °C at 1.25 °C/h Pressure 20 Pa, Material T control: no | [19] |
| Pineapple, cherry, guava, papaya | pulp, thickness of 1 cm | T = −30 °C (shelf or condenser T-not reported), Pressure = 130 Pa, Time 12 h Material T control: yes | [21] |
| Strawberry | slices 5 or 10 mm, or whole fruits | T shelf (30, 40, 50, 60 and 70 °C) T (condenser) = −92 °C Vacuum level of less than 5 mL Time: 12 h—slices and 24 and 48 h—whole fruits Material T control: yes | [22] |
2. Materials and Methods
2.1. Materials
2.2. Freezing of Samples
2.3. Freeze-Drying of Apple Slices
2.4. Kinetics of the Freeze-Drying at Different Process Parameters
2.5. Water Sorption Kinetics
2.6. Statistical Analysis
3. Results and Discussion
3.1. Freeze-Drying Kinetics of Apple Slices under Different Processing Conditions
3.2. Effect of Changes in the Set Freeze-Drying Parameters on the Material Temperature
3.2.1. Effect of Changes in the Set Shelf Temperature
3.2.2. Effect of Changes in the Set Pressure
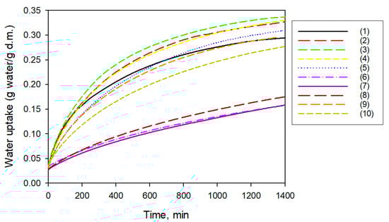
3.3. Sorption Kinetics of Freeze-Dried Apples
3.4. Critical Evaluation of Applied Parameters during Freeze-Drying
4. Conclusions
Author Contributions
Funding
Data Availability Statement
Acknowledgments
Conflicts of Interest
References
- Nowak, D.; Jakubczyk, E. The freeze-drying of foods-the characteristic of the process course and the effect of its parameters on the physical properties of food materials. Foods 2020, 9, 1488. [Google Scholar] [CrossRef] [PubMed]
- Feng, S.H.; Bi, J.F.; Laaksonen, T.; Laurén, P.; Yi, J.Y. Texture of freeze-dried intact and restructured fruits: Formation mechanisms and control technologies. Trends Food Sci. 2024, 143, 17. [Google Scholar] [CrossRef]
- Nowak, D.; Piechucka, P.; Witrowa-Rajchert, D.; Wiktor, A. Impact of material structure on the course of freezing and freeze-drying and on the properties of dried substance, as exemplified by celery. J. Food Eng. 2016, 180, 22–28. [Google Scholar] [CrossRef]
- Waghmare, R.B.; Perumal, A.B.; Moses, J.A.; Anandharamakrishnan, C. 3.05—Recent Developments in Freeze Drying of Foods: A comprehensive review. In Innovative Food Processing Technologies; Knoerzer, K., Muthukumarappan, K., Eds.; Elsevier: Amsterdam, The Netherlands, 2021; Volume 3, pp. 82–99. [Google Scholar]
- Morais, A.R.; Alencar, É.N.; Xavier Júnior, F.H.; Oliveira, C.M.; Marcelino, H.R.; Barratt, G.; Fessi, H.; Egito, E.S.T.; Elaissari, A. Freeze-drying of emulsified systems: A review. Int. J. Pharm. 2016, 503, 102–114. [Google Scholar] [CrossRef]
- Assegehegn, G.; Brito-de la Fuente, E.; Franco, J.M.; Gallegos, C. The Importance of Understanding the Freezing Step and Its Impact on Freeze-Drying Process Performance. J. Pharm. Sci. 2019, 108, 1378–1395. [Google Scholar] [CrossRef] [PubMed]
- Tang, X.L.; Pikal, M.J. Design of freeze-drying processes for pharmaceuticals: Practical advice. Pharm. Res. 2004, 21, 191–200. [Google Scholar] [CrossRef]
- Assegehegn, G.; Brito-de la Fuente, E.; Franco, J.M.; Gallegos, C. Freeze-drying: A relevant unit operation in the manufacture of foods, nutritional products, and pharmaceuticals. Adv. Food Nutr. Res. 2020, 93, 1–58. [Google Scholar] [CrossRef]
- Pikal, M.J. Lyophilization. In Encyclopedia of Pharmaceutical Technology; Swarbrick, J., Boylan, J., Eds.; Marcel Dekker: New York, NY, USA, 2002; pp. 1299–1326. [Google Scholar]
- Merivaara, A.; Zini, J.; Koivunotko, E.; Valkonen, S.; Korhonen, O.; Fernandes, F.M.; Yliperttula, M. Preservation of biomaterials and cells by freeze-drying: Change of paradigm. J. Control. Release 2021, 336, 480–498. [Google Scholar] [CrossRef]
- Mercado, J.A.; Matas, A.J.; Posé, S. Fruit and vegetable texture: Role of their cell walls. In Reference Module in Food Science; Kırtıl, E., Öztop, H.M., Eds.; Elsevier Science: Oxford, UK, 2019. [Google Scholar]
- Haseley, P.; Oetjen, G.W. Freeze-Drying; Wiley-VCH: Veinheim, Germany, 2018; p. 421. [Google Scholar]
- Genin, N.; Rene, F. Influence of freezing rate and the ripeness state of fresh courgette on the quality of freeze-dried products and freeze-drying time. J. Food Eng. 1996, 29, 201–209. [Google Scholar] [CrossRef]
- Nowak, D. The Innovative Measurement System of the Kinetic of Freeze-Drying and Sorption Properties of Dried Products as a Tool for Controlling and Assessing the Course of Freeze-Drying; Warsaw University of Life Sciences Press: Warsaw, Poland, 2017. [Google Scholar]
- Nowak, D.; Jakubczyk, E. Effect of pulsed electric field pre-treatment and the freezing methods on the kinetics of the freeze-drying process of apple and its selected physical properties. Foods 2022, 11, 2407. [Google Scholar] [CrossRef]
- Bhandari, B.R.; Howes, T. Implication of glass transition for the drying and stability of dried foods. J. Food Eng. 1999, 40, 71–79. [Google Scholar] [CrossRef]
- Tolstorebrov, I.; Eikevik, T.M.; Petrova, I.; Shokina, Y.; Bantle, M. Description of atmospheric freeze-drying process of organic apples using thermo-physical properties. In Proceedings of the 21st International Drying Symposium (IDS), Valencia, Spain, 11–14 September 2018; pp. 1703–1710. [Google Scholar]
- Hua, T.C.; Liu, B.L.; Zhang, H. Freeze-Drying of Pharmaceutical and Food Products. In Freeze-Drying of Pharmaceutical and Food Products; Woodhead Publishing Series in Food Science Technology and Nutrition; Elsevier Science Bv: Amsterdam, The Netherlands, 2010; Volume 198, pp. 1–257. [Google Scholar]
- Gianfrancesco, A.; Smarrito-Menozzi, C.; Niederreiter, G.; Palzer, S. Developing supra-molecular structures during freeze-drying of food. Dry. Technol. 2012, 30, 1160–1166. [Google Scholar] [CrossRef]
- Regier, M.; Mayer-Miebach, E.; Behsnilian, D.; Neff, E.; Schuchmann, H.P. Influences of drying and storage of lycopene-rich carrots on the carotenoid content. Dry. Technol. 2005, 23, 989–998. [Google Scholar] [CrossRef]
- Marques, L.G.; Silveira, A.M.; Freire, J.T. Freeze-drying characteristics of tropical fruits. Dry. Technol. 2006, 24, 457–463. [Google Scholar] [CrossRef]
- Shishehgarha, F.; Makhlouf, J.; Ratti, C. Freeze-drying characteristics of strawberries. Dry. Technol. 2002, 20, 131–145. [Google Scholar] [CrossRef]
- Jakubczyk, E.; Ostrowska-Ligęza, E.; Gondek, E. Moisture sorption characteristics and glass transition temperature of apple puree powder. Int. J. Food Sci. Technol. 2010, 45, 2515–2523. [Google Scholar] [CrossRef]
- Reyes, A.; Mahn, A.; Huenulaf, P. Drying of apple slices in atmospheric and vacuum freeze dryer. Dry. Technol. 2011, 29, 1076–1089. [Google Scholar] [CrossRef]
- Jakubczyk, E.; Kamińska-Dwórznicka, A.; Ostrowska-Ligęza, E.; Górska, A.; Wirkowska-Wojdyła, M.; Mańko-Jurkowska, D.; Górska, A.; Bryś, J. Application of different compositions of apple puree gels and drying methods to fabricate snacks of modified structure, storage stability and hygroscopicity. Appl. Sci. 2021, 11, 10286. [Google Scholar] [CrossRef]
- Franceschinis, L.; Salvatori, D.M.; Sosa, N.; Schebor, C. Physical and functional properties of blackberry freeze- and spray-dried powders. Dry. Technol. 2014, 32, 197–207. [Google Scholar] [CrossRef]
- Jakubczyk, E.; Jaskulska, A. The effect of freeze-drying on the properties of Polish vegetable soups. Appl. Sci. 2021, 11, 654. [Google Scholar] [CrossRef]
- Sikolya, L.; Tamás, A. Experimental study of root crops produced using hot air and freeze dehydration. Nonconv. Technol. Rev. 2014, 18, 13–17. [Google Scholar]
- Huang, L.L.; Zhang, M.; Mujumdar, A.S.; Sun, D.F.; Tan, G.W.; Tang, S. Studies on decreasing energy consumption for a freeze-drying process of apple slices. Dry. Technol. 2009, 27, 938–946. [Google Scholar] [CrossRef]
- Bera, M.; Chakraborty, R.; Bhattacharya, P. Optimization of intensification of freeze-drying rate of banana: Combined applications of IR radiation and cryogenic freezing. Sep. Sci. Technol. 2012, 48, 346–358. [Google Scholar] [CrossRef]
- Hawlader, M.N.A.; Perera, C.; Tian, M.; Yeo, K.L. Drying of guava and papaya: Impact of different drying methods. Dry. Technol. 2006, 24, 77–87. [Google Scholar] [CrossRef]
- Guiné, R.P.F.; Barroca, M.J. Effect of drying treatments on texture and color of vegetables (pumpkin and green pepper). Food Bioprod. Proc. 2012, 90, 58–63. [Google Scholar] [CrossRef]
- Midilli, A.; Kucuk, H.; Yapar, Z. A new model for single-layer drying. Dry. Technol. 2002, 20, 1503–1513. [Google Scholar] [CrossRef]
- Benlloch-Tinoco, M.; Moraga, G.; Camacho, M.D.; Martínez-Navarrete, N. Combined drying technologies for high-quality kiwifruit powder production. Food Bioproc. Technol. 2013, 6, 3544–3553. [Google Scholar] [CrossRef]
- Igual, M.; Cebadera, L.; Cámara, R.M.; Agudelo, C.; Martínez-Navarrete, N.; Cámara, M. Novel ingredients based on grapefruit freeze-dried formulations: Nutritional and bioactive value. Foods 2019, 8, 506. [Google Scholar] [CrossRef]
- Krzykowski, A.; Dziki, D.; Rudy, S.; Polak, R.; Biernacka, B.; Gawlik-Dziki, U.; Janiszewska-Turak, E. Effect of air-drying and freeze-drying temperature on the process kinetics and physicochemical characteristics of white mulberry fruits (Morus alba L.). Processes 2023, 11, 750. [Google Scholar] [CrossRef]
- Castro, L.M.M.N.; Coelho Pinheiro, M.N. A simple data processing approach for drying kinetics experiments. Chem. Eng. Commun. 2016, 203, 258–269. [Google Scholar] [CrossRef]
- Royen, M.J.; Noori, A.W.; Haydary, J. Experimental study and mathematical modeling of convective thin-layer drying of apple slices. Processes 2020, 8, 1562. [Google Scholar] [CrossRef]
- Buzrul, S. Reassessment of thin-layer drying models for foods: Acritical short communication. Processes 2022, 10, 118. [Google Scholar] [CrossRef]
- Baidhe, E.; Clementson, C.L. A review of the application of modeling and simulation to drying systems for improved grain and seed quality. Comp. Elect. Agric. 2024, 222, 109094. [Google Scholar] [CrossRef]
- Tuly, S.S.; Mahiuddin, M.; Karim, A. Mathematical modeling of nutritional, color, texture, and microbial activity changes in fruit and vegetables during drying: A critical review. Crit. Rev. Food Sci. Nutr. 2023, 63, 1877–1900. [Google Scholar] [CrossRef] [PubMed]
- Calín-Sánchez, Á.; Kharaghani, A.; Lech, K.; Figiel, A.; Carbonell-Barrachina, Á.A.; Tsotsas, E. Drying kinetics and microstructural and sensory properties of black chokeberry (Aronia melanocarpa) as affected by drying method. Food Bioproc. Technol. 2015, 8, 63–74. [Google Scholar] [CrossRef]
- Simal, S.; Femenia, A.; Garau, M.C.; Rosselló, C. Use of exponential, Page’s and diffusional models to simulate the drying kinetics of kiwi fruit. J. Food Eng. 2005, 66, 323–328. [Google Scholar] [CrossRef]
- Karathanos, V.T.; Belessiotis, V.G. Application of a thin-layer equation to drying data of fresh and semi-dried fruits. J. Agric. Eng. Res. 1999, 74, 355–361. [Google Scholar] [CrossRef]
- Carvalho, M.S.; Corrêa, P.C.; Silva, G.N.; Lopes, L.M.; SOUSA, A.H. Kinetics and mathematical modeling of the drying process of macaúba almonds. Rev. Caatinga 2022, 35, 199–205. [Google Scholar] [CrossRef]
- Azzouz, S.; Guizani, A.; Jomaa, W.; Belghith, A. Moisture diffusivity and drying kinetic equation of convective drying of grapes. J. Food Eng. 2002, 55, 323–330. [Google Scholar] [CrossRef]
- Egas-Astudillo, L.A.; Martínez-Navarrete, N.; Camacho, M.M. Impact of biopolymers added to a grapefruit puree and freeze-drying shelf temperature on process time reduction and product quality. Food Bioprod. Process 2020, 120, 143–150. [Google Scholar] [CrossRef]
- Pikal, M.J.; Shah, S.; Roy, M.L.; Putman, R. The secondary drying stage of freeze drying: Drying kinetics as a function of temperature and chamber pressure. Int. J. Pharm. 1990, 60, 203–207. [Google Scholar] [CrossRef]
- Gui, X.; Chen, W.; Li, H.; Cui, X. The effect of freeze-drying conditions on drying rate and rehydration ratio of dumplings. Adv. J. Food Sci. Technol. 2016, 11, 423–429. [Google Scholar] [CrossRef]
- Krokida, M.K.; Karathanos, V.T.; Maroulis, Z.B. Effect of freeze-drying conditions on shrinkage and porosity of dehydrated agricultural products. J. Food Eng. 1998, 35, 369–380. [Google Scholar] [CrossRef]
- Hasbullah, R.; Putra, N.S. Study on the vacuum pressure and drying time of freeze-drying method to maintain the quality of strawberry (Fragaria virginiana). J. Tek. Pertan. Lampung 2022, 11, 279–291. [Google Scholar] [CrossRef]
- Ohori, R.; Yamashita, C. Effects of temperature ramp rate during the primary drying process on the properties of amorphous-based lyophilized cake, Part 1: Cake characterization, collapse temperature and drying behavior. J. Drug Deliv. Sci. Technol. 2017, 39, 131–139. [Google Scholar] [CrossRef]
- Rahman, M.; Sablani, S. Structural characteristics of freeze-dried abalone: Porosimetry and puncture test. Food Bioprod. Proc. 2003, 81, 309–315. [Google Scholar] [CrossRef]
- Oikonomopoulou, V.P.; Krokida, M.K.; Karathanos, V.T. The influence of freeze drying conditions on microstructural changes of food products. Proc. Food Sci. 2011, 1, 647–654. [Google Scholar] [CrossRef]







| Temperature, °C | Pressure, Pa | Temperature, °C | Pressure, Pa |
|---|---|---|---|
| 0 | 611.0 | −30 | 37.0 |
| −5 | 402.0 | −35 | 22.0 |
| −10 | 256.0 | −40 | 12.0 |
| −15 | 165.0 | −45 | 7.0 |
| −20 | 103.0 | −50 | 4.0 |
| −25 | 63.0 | −55 | 2.1 |
| Variant No | Variant Code | Shelf Temperature | Pressure |
|---|---|---|---|
| 1 | T10, P63 | Isotherm at 10 °C (24 h) | Isobar at 63 Pa |
| 2 | T10/30, P63 | Ramp * from 10 °C to 30 °C; 0.2 °C/h Isotherm at 30 °C (14 h) | Isobar at 63 Pa |
| 3 | T–25/10/30A, P63 | Ramp from −25 °C to 10 °C; 8.75 °C/h Ramp from 10 °C to 30 °C; 0.2 °C/h Isotherm at 30 °C (10 h) | Isobar at 63 Pa |
| 4 | T30, P63 | Isotherm at 30 °C (24 h) | Isobar at 63 Pa |
| 5 | T–25/10/30B, P63 | Ramp from −25 °C to 10 °C; 35 °C/h Isotherm at 10 °C (5 h) Ramp from 10 °C to 30 °C; 2.5 °C/h Isotherm at 30 °C (10 h) | Isobar at 63 Pa |
| 6 | T–25/10/20/30, P63 | Ramp from −25 °C to 10 °C; 35 °C/h Ramp from 10 °C to 20 °C; 0.55 °C/h Ramp from 20 °C to 30 °C, 3.33 °C/h Isotherm at 30 °C (2 h) | Isobar at 63 Pa |
| 7 | T10/30, P63/103/37 | Ramp from 10 °C to 30 °C; 0.2 °C/h Isotherm at 30 °C (14 h) | Ramp from 63 to 103 Pa; 40 Pa/h Isobar 103 Pa (10 h) Ramp from 103 to 37 Pa, 4.72 Pa/h |
| 8 | T30, P63/103 | Isotherm at 30 °C (24 h) | Ramp from 63 to 103 Pa; 40 Pa/h Isobar 103 Pa (23 h) |
| 9 | T–25/10/30B, P63/103 | Ramp from −25 °C to 10 °C; 35 °C/h Isotherm at 10 °C (5 h) Ramp from 10 °C to 30 °C; 2.5 °C/h Isotherm at 30 °C (10 h) | Ramp from 63 to 103 Pa; 8 Pa/h Isobar 103 Pa (19 h) |
| 10 | T–25/10/30A, P63/165/103 | Ramp from −25 °C to 10 °C; 8.75 °C/h Ramp from 10 °C to 30 °C; 0.2 °C/h Isotherm at 30 °C (10 h) | Ramp from 63 to 165 Pa; 25.5 Pa/h Ramp from 165 to 103 Pa; 6.2 Pa/h; Isobar 103 Pa (10 h) |
| Variants | a | 10−5 × b | 10−3 × k | n | R2 | RMSE |
|---|---|---|---|---|---|---|
| T10, P63 (1) | 1.005 (0.002) * | −190.0 (0.9) | 1.4 (0.1) | 1.069 (0.012) | 0.9994 | 0.0043 |
| T10/30, P63 (2) | 0.996 (0.002) | −12.7 (0.7) | 0.7 (0.0) | 1.214 (0.011) | 0.9995 | 0.0044 |
| T–25/10/30A, P63 (3) | 0.984 (0.002) | −18.0 (0.9) | 0.2 (0.0) | 1.350 (0.014) | 0.9992 | 0.0042 |
| T30, P63 (4) | 1.009 (0.003) | −18.0 (1.0) | 1.6 (0.1) | 1.125 (0.013) | 0.9995 | 0.0044 |
| T–25/10/30B, P63 (5) | 1.010 (0.002) | −15.0 (0.6) | 1.3 (0.0) | 1.059 (0.010) | 0.9994 | 0.0044 |
| T–25/10/20/30, P63 (6) | 1.002 (0.001) | −5.7 (0.2) | 1.2 (0.0) | 1.080 (0.005) | 0.9991 | 0.0010 |
| T10/30, P63/103/37 (7) | 1.007 (0.002) | −19.0 (1.0) | 0.8 (0.0) | 1.160 (0.015) | 0.9997 | 0.0051 |
| T30, P63/103 (8) | 1.009 (0.003) | −19.5 (1.3) | 1.9 (0.1) | 1.089 (0.015) | 0.9991 | 0.0053 |
| T–25/10/30, P63/103 (9) | 0.998 (0.002) | −14.1 (0.7) | 0.3 (0.0) | 1.330 (0.012) | 0.9991 | 0.0045 |
| T–25/10/30, P63/165/103 (10) | 0.996 (0.001) | −9.8 (0.4) | 0.06 (0.0) | 1.560 (0.008) | 0.9993 | 0.0010 |
| Variants | Drying Time, min | Moisture Content, % |
|---|---|---|
| T10, P63 (1) | 930 ± 4 a* | 3.46 ± 0.02 a |
| T10/30, P63 (2) | 855 ± 3 b | 3.26 ± 0.06 b |
| T–25/10/30A, P63 (3) | 915 ± 3 c | 3.26 ± 0.02 b |
| T30, P63 (4) | 660 ± 2 d | 2.74 ± 0.01 c |
| T–25/10/30B, P63 (5) | 1050 ± 5 e | 3.31 ± 0.08 b |
| T–25/10/20/30, P63 (6) | 1305 ± 3 f | 3.29 ± 0.21 ab |
| T10/30, P63/103/37 (7) | 870 ± 4 g | 2.74 ± 0.03 c |
| T30, P63/103 (8) | 735 ± 3 h | 2.77 ± 0.08 c |
| T–25/10/30, P63/103 (9) | 820 ± 4 i | 3.13 ± 0.08 b |
| T–25/10/30, P63/165/103 (10) | 945 ± 3 j | 3.55 ± 0.18 a |
| Drying Time, min | Water Content, g Water/g d.m. | |||
|---|---|---|---|---|
| Variants | at −10 °C in the Centre of the Material | at −2 °C in the Centre of the Material | at −10 °C in the Centre of the Material | at −2 °C in the Centre of the Material |
| T10, P63 (1) | 756 ± 3 a,* | 812 ± 4 a | 0.195 ± 0.002 a | 0.100 ± 0.001 a |
| T10/30, P63 (2) | 620 ± 2 b | 664 ± 2 b | 0.550 ± 0.010 b | 0.394 ± 0.007 b |
| T–25/10/30A, P63 (3) | 590 ± 2 c | 670 ± 2 b | 1.101 ± 0.007 c | 0.620 ± 0.004 c |
| T30, P63 (4) | 356 ± 1 d | 458 ±1 c | 1.401 ± 0.005 d | 0.701 ± 0.003 d |
| T–25/10/30B, P63 (5) | 524 ± 2 e | 638 ± 3 d | 1.809 ± 0.044 e | 1.211 ± 0.029 e |
| T–25/10/20/30, P63 (6) | 530 ± 2 e | 744 ± 2 e | 1.661 ± 0.022 f | 0.891 ± 0.009 f |
| T10/30, P63/103/37 (7) | 420 ± 2 f | 554 ± 3 f | 1.681 ± 0.018 f | 0.874 ± 0.010 f |
| T30, P63/103 (8) | 346 ± 1 g | 404 ± 2 g | 1.428 ± 0.041 d | 0.998 ± 0.029 g |
| T–25/10/30, P63/103 (9) | 624 ± 3 b | 684 ± 3 h | 0.477 ± 0.012 b | 0.258 ± 0.007 h |
| T–25/10/30, P63/165/103 (10) | 566 ± 2 h | 696 ± 2 i | 1.232 ± 0.062 g | 0.594 ± 0.030 c |
Disclaimer/Publisher’s Note: The statements, opinions and data contained in all publications are solely those of the individual author(s) and contributor(s) and not of MDPI and/or the editor(s). MDPI and/or the editor(s) disclaim responsibility for any injury to people or property resulting from any ideas, methods, instructions or products referred to in the content. |
© 2024 by the authors. Licensee MDPI, Basel, Switzerland. This article is an open access article distributed under the terms and conditions of the Creative Commons Attribution (CC BY) license (https://creativecommons.org/licenses/by/4.0/).
Share and Cite
Jakubczyk, E.; Nowak, D. Process Parameters as Tools to Intensify the Freeze-Drying Process and Modify the Sorption Properties of the Obtained Freeze-Dried Products. Processes 2024, 12, 1932. https://doi.org/10.3390/pr12091932
Jakubczyk E, Nowak D. Process Parameters as Tools to Intensify the Freeze-Drying Process and Modify the Sorption Properties of the Obtained Freeze-Dried Products. Processes. 2024; 12(9):1932. https://doi.org/10.3390/pr12091932
Chicago/Turabian StyleJakubczyk, Ewa, and Dorota Nowak. 2024. "Process Parameters as Tools to Intensify the Freeze-Drying Process and Modify the Sorption Properties of the Obtained Freeze-Dried Products" Processes 12, no. 9: 1932. https://doi.org/10.3390/pr12091932
APA StyleJakubczyk, E., & Nowak, D. (2024). Process Parameters as Tools to Intensify the Freeze-Drying Process and Modify the Sorption Properties of the Obtained Freeze-Dried Products. Processes, 12(9), 1932. https://doi.org/10.3390/pr12091932

