Hydrothermal Co-Liquefaction of Sugarcane Bagasse and Residual Cooking Soybean Oil for Bio-Crude Production
Abstract
1. Introduction
2. Materials and Methods
2.1. Materials
2.2. Experimental Procedures
2.3. Bio-Crude and Bio-Char Yield Calculation
2.4. Severity Index
2.5. Bio-Crude and Bio-Char Characterization
2.6. GC-FID Analysis
2.7. Phase Envelope of the Mixture (Water + Ethanol)
3. Results and Discussion
3.1. Bio-Crude and Bio-Char Yields
3.2. Effect of SCB to RSO Mass Ratio
3.3. Effect of Temperature on Bio-Crude Yield
3.4. Effect of Severity Index in Bio-Crude Yield
3.5. TGA Analysis of Bio-Crude and Bio-Char
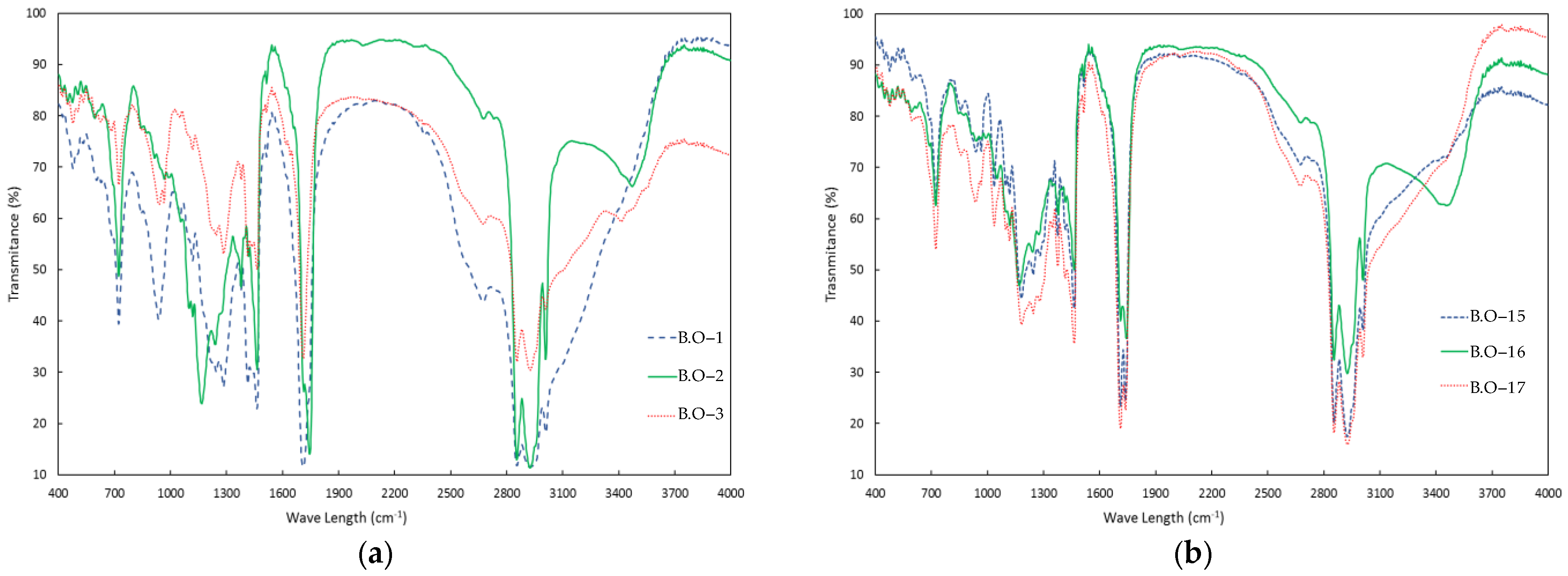
3.6. FTIR Analysis of Bio-Crude and Bio-Char
3.7. HHV Analysis of Bio-Crude and Bio-Char Samples
3.8. Analysis of the Reaction Projection in the Phase Envelope of the Mixture (Water + Ethanol)
3.9. Prospects of Bio-Crude Production Processes
4. Conclusions
Supplementary Materials
Author Contributions
Funding
Data Availability Statement
Acknowledgments
Conflicts of Interest
References
- Baloch, H.A.; Nizamuddin, S.; Siddiqui, M.T.H.; Mubarak, N.M.; Dumbre, D.K.; Srinivasan, M.P.; Griffin, G.J. Sub-Supercritical Liquefaction of Sugarcane Bagasse for Production of Bio-Oil and Char: Effect of Two Solvents. J. Environ. Chem. Eng. 2018, 6, 6589–6601. [Google Scholar] [CrossRef]
- Forero, J.A.J.; Tran, T.H.T.; Tana, T.; Baker, A.; Beltramini, J.; Doherty, W.O.S.; Moghaddam, L. Hydrothermal Liquefaction of Sugarcane Bagasse to Bio-Oils: Effect of Liquefaction Solvents on Bio-Oil Stability. Fuel 2022, 312, 122793. [Google Scholar] [CrossRef]
- Almeida, L.; Corazza, M.L.; Sassaki, G.L.; Voll, F.A.P. Experimental Study and Kinetic Modeling of Waste Frying Soybean Oil Hydrolysis in Subcritical Water. React. Kinet. Mech. Catal. 2017, 121, 439–452. [Google Scholar] [CrossRef]
- Irsyad, M.; Amrizal; Harmen; Amrul; Susila Es, M.D.; Diva Putra, A.R. Experimental Study of the Thermal Properties of Waste Cooking Oil Applied as Thermal Energy Storage. Results Eng. 2023, 18, 101080. [Google Scholar] [CrossRef]
- Pedersen, T.H.; Jasiunas, L.; Casamassima, L.; Singh, S.; Jensen, T.; Rosendahl, L.A. Synergetic Hydrothermal Co-Liquefaction of Crude Glycerol and Aspen Wood. Energy Convers. Manag. 2015, 106, 886–891. [Google Scholar] [CrossRef]
- He, S.; Wang, J.; Cheng, Z.; Dong, H.; Yan, B.; Chen, G. Synergetic Effect and Primary Reaction Network of Corn Cob and Cattle Manure in Single and Mixed Hydrothermal Liquefaction. J. Anal. Appl. Pyrolysis 2021, 155, 105076. [Google Scholar] [CrossRef]
- Ranganathan, P.; Savithri, S. Techno-Economic Analysis of Microalgae-Based Liquid Fuels Production from Wastewater via Hydrothermal Liquefaction and Hydroprocessing. Bioresour. Technol. 2019, 284, 256–265. [Google Scholar] [CrossRef] [PubMed]
- Mishra, R.K.; Kumar, V.; Kumar, P.; Mohanty, K. Hydrothermal Liquefaction of Biomass for Bio-Crude Production: A Review on Feedstocks, Chemical Compositions, Operating Parameters, Reaction Kinetics, Techno-Economic Study, and Life Cycle Assessment. Fuel 2022, 316, 123377. [Google Scholar] [CrossRef]
- Zhang, C.; Han, L.; Yan, M.; Xia, J.; Rong, N.; Baloch, H.A.; Guo, H.; Wu, P.; Xu, G.; Ma, K. Hydrothermal Co-Liquefaction of Rice Straw and Waste Cooking-Oil Model Compound for Bio-Crude Production. J. Anal. Appl. Pyrolysis 2021, 160, 105360. [Google Scholar] [CrossRef]
- Vardon, D.R.; Sharma, B.K.; Scott, J.; Yu, G.; Wang, Z.; Schideman, L.; Zhang, Y.; Strathmann, T.J. Chemical Properties of Biocrude Oil from the Hydrothermal Liquefaction of Spirulina Algae, Swine Manure, and Digested Anaerobic Sludge. Bioresour. Technol. 2011, 102, 8295–8303. [Google Scholar] [CrossRef]
- Cheng, F.; Cui, Z.; Chen, L.; Jarvis, J.; Paz, N.; Schaub, T.; Nirmalakhandan, N.; Brewer, C.E. Hydrothermal Liquefaction of High- and Low-Lipid Algae: Bio-Crude Oil Chemistry. Appl. Energy 2017, 206, 278–292. [Google Scholar] [CrossRef]
- Lavanya, M.; Meenakshisundaram, A.; Renganathan, S.; Chinnasamy, S.; Lewis, D.M.; Nallasivam, J.; Bhaskar, S. Hydrothermal Liquefaction of Freshwater and Marine Algal Biomass: A Novel Approach to Produce Distillate Fuel Fractions through Blending and Co-Processing of Biocrude with Petrocrude. Bioresour. Technol. 2016, 203, 228–235. [Google Scholar] [CrossRef] [PubMed]
- López Barreiro, D.; Riede, S.; Hornung, U.; Kruse, A.; Prins, W. Hydrothermal Liquefaction of Microalgae: Effect on the Product Yields of the Addition of an Organic Solvent to Separate the Aqueous Phase and the Biocrude Oil. Algal Res. 2015, 12, 206–212. [Google Scholar] [CrossRef]
- Yan, L.; Wang, Y.; Li, J.; Zhang, Y.; Ma, L.; Fu, F.; Chen, B.; Liu, H. Hydrothermal Liquefaction of Ulva Prolifera Macroalgae and the Influence of Base Catalysts on Products. Bioresour. Technol. 2019, 292, 121286. [Google Scholar] [CrossRef] [PubMed]
- Caporgno, M.P.; Pruvost, J.; Legrand, J.; Lepine, O.; Tazerout, M.; Bengoa, C. Hydrothermal Liquefaction of Nannochloropsis Oceanica in Different Solvents. Bioresour. Technol. 2016, 214, 404–410. [Google Scholar] [CrossRef] [PubMed]
- Kaur, R.; Gera, P.; Jha, M.K.; Bhaskar, T. Reaction Parameters Effect on Hydrothermal Liquefaction of Castor (Ricinus Communis) Residue for Energy and Valuable Hydrocarbons Recovery. Renew. Energy 2019, 141, 1026–1041. [Google Scholar] [CrossRef]
- Valdez, P.J.; Nelson, M.C.; Wang, H.Y.; Lin, X.N.; Savage, P.E. Hydrothermal Liquefaction of Nannochloropsis Sp.: Systematic Study of Process Variables and Analysis of the Product Fractions. Biomass Bioenergy 2012, 46, 317–331. [Google Scholar] [CrossRef]
- Anastasakis, K.; Ross, A.B. Hydrothermal Liquefaction of Four Brown Macro-Algae Commonly Found on the UK Coasts: An Energetic Analysis of the Process and Comparison with Bio-Chemical Conversion Methods. Fuel 2015, 139, 546–553. [Google Scholar] [CrossRef]
- Anastasakis, K.; Biller, P.; Madsen, R.B.; Glasius, M.; Johannsen, I. Continuous Hydrothermal Liquefaction of Biomass in a Novel Pilot Plant with Heat Recovery and Hydraulic Oscillation. Energies 2018, 11, 2695. [Google Scholar] [CrossRef]
- Ma, C.; Geng, J.; Zhang, D.; Ning, X. Hydrothermal Liquefaction of Macroalgae: Influence of Zeolites Based Catalyst on Products. J. Energy Inst. 2020, 93, 581–590. [Google Scholar] [CrossRef]
- Zhang, B.; Feng, H.; He, Z.; Wang, S.; Chen, H. Bio-Oil Production from Hydrothermal Liquefaction of Ultrasonic Pre-Treated Spirulina Platensis. Energy Convers. Manag. 2018, 159, 204–212. [Google Scholar] [CrossRef]
- Han, Y.; Hoekman, S.K.; Cui, Z.; Jena, U.; Das, P. Hydrothermal Liquefaction of Marine Microalgae Biomass Using Co-Solvents. Algal Res. 2019, 38, 101421. [Google Scholar] [CrossRef]
- Tekin, K. Hydrothermal Conversion of Russian Olive Seeds into Crude Bio-Oil Using a CaO Catalyst Derived from Waste Mussel Shells. Energy Fuels 2015, 29, 4382–4392. [Google Scholar] [CrossRef]
- Vlaskin, M.S.; Grigorenko, A.V.; Kostyukevich, Y.I.; Nikolaev, E.N.; Vladimirov, G.N.; Chernova, N.I.; Kiseleva, S.V.; Popel, O.S.; Zhuk, A.Z. Influence of Solvent on the Yield and Chemical Composition of Liquid Products of Hydrothermal Liquefaction of Arthrospira Platensis as Revealed by Fourier Transform Ion Cyclotron Resonance Mass Spectrometry. Eur. J. Mass. Spectrom. 2018, 24, 363–374. [Google Scholar] [CrossRef] [PubMed]
- Hu, Y.; Wang, S.; Li, J.; Wang, Q.; He, Z.; Feng, Y.; Abomohra, A.E.F.; Afonaa-Mensah, S.; Hui, C. Co-Pyrolysis and Co-Hydrothermal Liquefaction of Seaweeds and Rice Husk: Comparative Study towards Enhanced Biofuel Production. J. Anal. Appl. Pyrolysis 2018, 129, 162–170. [Google Scholar] [CrossRef]
- Posmanik, R.; Cantero, D.A.; Malkani, A.; Sills, D.L.; Tester, J.W. Biomass Conversion to Bio-Oil Using Sub-Critical Water: Study of Model Compounds for Food Processing Waste. J. Supercrit. Fluids 2017, 119, 26–35. [Google Scholar] [CrossRef]
- Baloch, H.A.; Siddiqui, M.T.H.; Nizamuddin, S.; Mubarak, N.M.; Khalid, M.; Srinivasan, M.P.; Griffin, G.J. Catalytic Co-Liquefaction of Sugarcane Bagasse and Polyethylene for Bio-Oil Production under Supercritical Conditions: Effect of Catalysts. J. Anal. Appl. Pyrolysis 2021, 153, 104944. [Google Scholar] [CrossRef]
- Teri, G.; Luo, L.; Savage, P.E. Hydrothermal Treatment of Protein, Polysaccharide, and Lipids Alone and in Mixtures. Energy Fuels 2014, 28, 7501–7509. [Google Scholar] [CrossRef]
- Leng, L.; Li, J.; Yuan, X.; Li, J.; Han, P.; Hong, Y.; Wei, F.; Zhou, W. Beneficial Synergistic Effect on Bio-Oil Production from Co-Liquefaction of Sewage Sludge and Lignocellulosic Biomass. Bioresour. Technol. 2018, 251, 49–56. [Google Scholar] [CrossRef] [PubMed]
- Carrasco, F.; Chornet, E.; Overend, R.P.; Heitz, M. Fractionnement de Deux Bois Tropicaux (Eucalyptus et Wapa) Par Traitement Thermomécanique En Phase Aqueuse. Partie I: Conversion et Profils de Solubilisation. Can. J. Chem. Eng. 1986, 64, 986–993. [Google Scholar] [CrossRef]
- Bouchard, J.; Léger, S.; Chornet, E.; Overend, R.P. Quantification of Residual Polymeric Families Present in Thermo-Mechanical and Chemically Pretreated Lignocellulosics via Thermal Analysis. Biomass 1986, 9, 161–171. [Google Scholar] [CrossRef]
- Heitz, M.; Carrasco, F.; Rubio, M.; Chauvette, G.; Chornet, E.; Jaulin, L.; Overend, R.P. Generalized Correlations for the Aqueous Liquefaction of Lignocellulosics. Can. J. Chem. Eng. 1986, 64, 647–650. [Google Scholar] [CrossRef]
- Rogalinski, T.; Liu, K.; Albrecht, T.; Brunner, G. Hydrolysis Kinetics of Biopolymers in Subcritical Water. J. Supercrit. Fluids 2008, 46, 335–341. [Google Scholar] [CrossRef]
- ASTM D5468-02; Standard Test Method for Gross Calorific Ash Value of Waste Materials. ASTM International: West Conshohocken, PA, USA, 2002.
- Melfi, D.T.; Lenzi, M.K.; Ramos, L.P.; Corazza, M.L. Kinetic Modeling of ScCO2-Assisted Levulinic Acid Esterification with Ethanol Using Amberlyst-15 as a Catalyst in a Batch Reactor. Energy Fuels 2021, 35, 14770–14779. [Google Scholar] [CrossRef]
- Michelsen, M.L.; Mollerup, J.M. Thermodynamic Models: Fundamentals & Computational Aspects, 2nd ed.; Tie-Line Publications: Holte, Denmark, 2007; ISBN 978-8798996118. [Google Scholar]
- Tavares, M.V.L.; Giacomin-Junior, W.R.; Vandenberghe, L.P.D.S.; Chapman, W.G.; Corazza, M.L. Phase-Equilibrium Measurements and Thermodynamic Modeling of CO2 + Geraniol, CO2 + Geraniol + Acetic Acid, and CO2 + Geraniol + Ethyl Acetate. J. Chem. Eng. Data 2020, 65, 1721–1729. [Google Scholar] [CrossRef]
- Ramirez, J.A.; Brown, R.J.; Rainey, T.J. A Review of Hydrothermal Liquefaction Bio-Crude Properties and Prospects for Upgrading to Transportation Fuels. Energies 2015, 8, 6765–6794. [Google Scholar] [CrossRef]
- Heidari, M.; Dutta, A.; Acharya, B.; Mahmud, S. A Review of the Current Knowledge and Challenges of Hydrothermal Carbonization for Biomass Conversion. J. Energy Inst. 2019, 92, 1779–1799. [Google Scholar] [CrossRef]
- Niu, S.; Zhou, Y.; Yu, H.; Lu, C.; Han, K. Investigation on Thermal Degradation Properties of Oleic Acid and Its Methyl and Ethyl Esters through TG-FTIR. Energy Convers. Manag. 2017, 149, 495–504. [Google Scholar] [CrossRef]
- Peters, M.A.; Alves, C.T.; Wang, J.; Onwudili, J.A. Subcritical Water Hydrolysis of Fresh and Waste Cooking Oils to Fatty Acids Followed by Esterification to Fatty Acid Methyl Esters: Detailed Characterization of Feedstocks and Products. ACS Omega 2022, 7, 46870–46883. [Google Scholar] [CrossRef]
- Chand, P.; Reddy, C.V.; Venkat, J.G.; Wang, T.; Grewell, D. Thermogravimetric Quantification of Biodiesel Produced via Alkali Catalyzed Transesterification of Soybean Oil. Energy Fuels 2009, 23, 989–992. [Google Scholar] [CrossRef]
- Chen, W.T.; Zhang, Y.; Zhang, J.; Schideman, L.; Yu, G.; Zhang, P.; Minarick, M. Co-Liquefaction of Swine Manure and Mixed-Culture Algal Biomass from a Wastewater Treatment System to Produce Bio-Crude Oil. Appl. Energy 2014, 128, 209–216. [Google Scholar] [CrossRef]
- Wang, M.; Leitch, M.; Xu, C.C. Synthesis of Phenolic Resol Resins Using Cornstalk-Derived Bio-Oil Produced by Direct Liquefaction in Hot-Compressed Phenol-Water. J. Ind. Eng. Chem. 2009, 15, 870–875. [Google Scholar] [CrossRef]
- Kumar, A.; Negi, Y.S.; Choudhary, V.; Bhardwaj, N.K. Characterization of Cellulose Nanocrystals Produced by Acid-Hydrolysis from Sugarcane Bagasse as Agro-Waste. J. Mater. Phys. Chem. 2014, 2, 1–8. [Google Scholar] [CrossRef]
- Mahamuni, N.N.; Adewuyi, Y.G. Fourier Transform Infrared Spectroscopy (FTIR) Method to Monitor Soy Biodiesel and Soybean Oil in Transesterification Reactions, Petrodiesel- Biodiesel Blends, and Blend Adulteration with Soy Oil. Energy Fuels 2009, 23, 3773–3782. [Google Scholar] [CrossRef]








| Reference | Feedstock | Temperature (°C) | Pressure (MPa) | Bio-Crude Yield (%) | Bio-Crude HHV (MJ/Kg) |
|---|---|---|---|---|---|
| Pedersen et al. [5] | Poplar | 380–400 | - | 38.05–52.26 | - |
| He et al. [6] | Corn cob Cattle manure | 300–360 300–360 | 10–20 10–20 | 22.2 19.3 | 32.6 35.5 |
| Zhang et al. [9] | Rice straw | 250–350 | - | 88.77 | 39.07 |
| Vardon et al. [10] | Spirulina sp. | 300 | 10–12 | 32.6 | 33.2 |
| Swine manure | 300 | 10–12 | 30.2 | 34.7 | |
| Sludge | 300 | 10–12 | 9.4 | 32 | |
| Cheng et al. [11] | Nannochloropsis salina (CCMP1776) | 310–350 | - | 18.1–27.5 | 27 |
| Lavanya et al. [12] | Galdieria sulphuraria | 310–350 | - | 40–54.30 | 20.5 |
| Arthrospira platensis | 250–350 | 18 | 30 | 38.65 | |
| Tetraselmis sp. | 250–350 | 18 | 29 | 35.58 | |
| López Barreiro et al. [13] | Almeriansis sp. | - | - | 42.6 | - |
| Gaditana sp. | - | - | 50.8 | - | |
| Yan et al. [14] | Ulva prolifera macroalgae | 270, 290 and 310 | 4.3–7.0 | 26.7 | - |
| Caporgno et al. [15] | Nannochloropsis oceana | 240–300 | 3.2–8.9 | 54.2 | 37.7 |
| Kaur et al. [16] | Castor beans | 260, 280, and 300 | - | 15.8 | 14.43 |
| Valdez et al. [17] | Nannochloropsis sp. | 250–400 | - | 46 | - |
| Anastasakis et al. [18] | L. digitata | 350 | - | 17.6 | 32 |
| L. hyperbore | 350 | - | 9.8 | 33 | |
| L. saccharina | 350 | - | 13 | 33.9 | |
| A. esculenta | 350 | - | 17.8 | 33.8 | |
| Anastasakis et al. [19] | Miscanthus sp. | 50–350 | - | 26 | 17.1 |
| Spirulina sp. | 50–350 | - | 33 | 23.3 | |
| Ma et al. [20] | Ulva prolifera macroalgae | 260–300 | 4.3–7.0 | 32.2–34.8 | |
| Zhang et al. [21] | Spirulina platensis | 400 | 40 | 22 | 17.26 |
| Han et al. [22] | Tetraselmis sp. | 280–350 | 5–21 | 26–31 | 15.33 |
| Tekin [23] | Olive seeds | 240–340 | 3.2–15 | 46.8 | 15.72 |
| Vlaskin et al. [24] | Arthrospira platensis | 300 | 8.6 | 39.65–44.07 | - |
| Hu et al. [25] | Rice husk | 400 | 40 | 35.18 | 30.41–33.65 |
| Posmanik et al. [26] | Food waste | 200–350 | 5–20 | 67 | 38 |
| Baloch et al. [27] | Sugarcane bagasse | 280 | - | 62.3 | 24.7 |
| Reaction ID | SCB:RSO Ratio | W:EtOH Ratio | TSP (°C) | tSP (min) | SO | Ybo (%) | FAEE (wt.%) | FFA (wt.%) | TAG (wt.%) | Ybc (%) |
|---|---|---|---|---|---|---|---|---|---|---|
| 1 | 1:3 | 1:0 | 275 | 10 | 6.55 ± 0.19 | 72.6 ± 1.6 | NC | 64.18 | NC | 0.4 |
| 2 | 1:3 | 1:0 | 250 | 10 | 5.86 ± 0.09 | 76.1 ± 0.6 | NC | 13.33 | 52.33 | 3.0 ± 1.1 |
| 3 | 1:3 | 1:0 | 300 | 10 | 7.59 ±0.06 | 66.6 ± 1.5 | NC | 60.72 | NC | 0.4 ± 0.2 |
| 4 | 1:3 | 1:1 | 250 | 10 | 5.94 ± 0.11 | 81.1 ± 4.5 | NC | 7.34 | 60.58 | 2.5 ± 2.1 |
| 5 | 1:3 | 1:1 | 275 | 10 | 6.61 ± 0.23 | 84.5 ± 3.5 | 10.60 | 31.65 | 14.53 | 2.8 ± 1.5 |
| 6 | 1:2 | 1:0 | 250 | 10 | 5.69 ± 0.23 | 76.0 ± 0.0 | NC | 9.21 | 55.24 | 4.3 ± 1.0 |
| 7 | 1:2 | 1:0 | 275 | 10 | 6.54 ± 0.04 | 71.0 ± 4.8 | 2.74 | 37.68 | NC | 0.9 ± 0.1 |
| 8 | 1:1 | 1:0 | 275 | 10 | 6.48 ± 0.01 | 58.1 ± 2.7 | 2.17 | 39.03 | NC | 2.6 ± 0.8 |
| 9 | 1:2 | 1:1 | 275 | 10 | 6.67 ± 0.17 | 73.9 ± 5.4 | 5.63 | 21.93 | 21.63 | 3.5 ± 2.5 |
| 10 | 1:1 | 1:1 | 275 | 10 | 6.78 ± 0.03 | 66.6 ± 2.1 | 13.57 | 36.51 | NC | 2.6 ± 1.8 |
| 11 | 1:0 | 1:0 | 275 | 10 | 6.50 ± 0.02 | 21.3 ± 0.3 | NA | NA | NA | 16.6 ± 3.2 |
| 12 | 1:0 | 1:1 | 275 | 10 | 6.60 ± 0.13 | 30.5 ± 6.0 | NA | NA | NA | 11.6 ± 3.5 |
| 13 | 1:2 | 1:0 | 300 | 10 | 7.33 ± 0.01 | 70.7 ± 7.2 | NC | 54.82 | NC | 0.4 ± 0.2 |
| 14 | 1:3 | 1:1 | 280 | 10 | 7.24 ± 0.20 | 91.5 ± 1.0 | 39.83 | 32.35 | NC | 0.4 ± 0.1 |
| 15 | 1:3 | 1:1 | 300 | 50 | 7.75 | 95.1 | 35.36 | 34.95 | NC | 0.0 |
| 16 | 1:3 | 1:1 | 250 | 60 | 6.28 | 88.8 | 7.75 | 4.85 | NC | 3.2 |
| 17 | 1:3 | 1:1 | 275 | 60 | 7.11 | 95.0 | 27.02 | 15.74 | NC | 0.4 |
| 18 | 1:1 | 1:1 | 290 | 120 | 7.87 | 80.2 | 38.82 | 30.69 | NC | 0.9 |
| 19 | 1:2 | 1:1 | 300 | 120 | 8.08 | 89.0 | 43.98 | 34.26 | NC | 0.0 |
| 20 | 1:3 | 1:1 | 200 | 10 | 2 | 0.0 | NC | NC | 55.52 | 0.0 |
| Sample | HHV (MJ/kg) |
|---|---|
| B.O–2 | 38.81 |
| B.O–15 | 38.41 |
| B.O–16 | 37.78 |
| B.O–17 | 37.82 |
| B.O–18 | 38.14 |
| B.O–19 | 38.46 |
| B.C–14 | 8.30 |
| B.C–16 | 16.04 |
| SCB | 10.38 |
| RSO | 39.34 |
Disclaimer/Publisher’s Note: The statements, opinions and data contained in all publications are solely those of the individual author(s) and contributor(s) and not of MDPI and/or the editor(s). MDPI and/or the editor(s) disclaim responsibility for any injury to people or property resulting from any ideas, methods, instructions or products referred to in the content. |
© 2024 by the authors. Licensee MDPI, Basel, Switzerland. This article is an open access article distributed under the terms and conditions of the Creative Commons Attribution (CC BY) license (https://creativecommons.org/licenses/by/4.0/).
Share and Cite
Oliveira, M.V.d.; Pelisson, M.; Hamerski, F.; Kanda, L.R.S.; Voll, F.A.P.; Ramos, L.P.; Corazza, M.L. Hydrothermal Co-Liquefaction of Sugarcane Bagasse and Residual Cooking Soybean Oil for Bio-Crude Production. Processes 2024, 12, 1371. https://doi.org/10.3390/pr12071371
Oliveira MVd, Pelisson M, Hamerski F, Kanda LRS, Voll FAP, Ramos LP, Corazza ML. Hydrothermal Co-Liquefaction of Sugarcane Bagasse and Residual Cooking Soybean Oil for Bio-Crude Production. Processes. 2024; 12(7):1371. https://doi.org/10.3390/pr12071371
Chicago/Turabian StyleOliveira, Matheus Venâncio de, Maria Pelisson, Fabiane Hamerski, Luís Ricardo Shigueyuki Kanda, Fernando A. P. Voll, Luiz Pereira Ramos, and Marcos Lúcio Corazza. 2024. "Hydrothermal Co-Liquefaction of Sugarcane Bagasse and Residual Cooking Soybean Oil for Bio-Crude Production" Processes 12, no. 7: 1371. https://doi.org/10.3390/pr12071371
APA StyleOliveira, M. V. d., Pelisson, M., Hamerski, F., Kanda, L. R. S., Voll, F. A. P., Ramos, L. P., & Corazza, M. L. (2024). Hydrothermal Co-Liquefaction of Sugarcane Bagasse and Residual Cooking Soybean Oil for Bio-Crude Production. Processes, 12(7), 1371. https://doi.org/10.3390/pr12071371

