Zero-Net Liquid Flow Simulation Experiment and Flow Law in Casing Annulus Gas-Venting Wells
Abstract
1. Introduction
2. Experimental Device and Method for Simulating ZNLF in Annulus
2.1. Experimental Apparatus
2.2. Experimental Method and Procedure
- (1)
- Set up the annular experimental apparatus, check the air tightness of the apparatus, and connect the power supply.
- (2)
- Close the CPRV at the wellhead.
- (3)
- Start the air compressor to charge air into the air tank and then turn off the air compressor.
- (4)
- Open the liquid inlet valve and inject water into the annulus from the bottom of the pipe using a water pump until the water level reaches the specified initial height and then close the water pump.
- (5)
- Open the gas inlet valve and inject air into the annulus from the bottom of the pipe. Record the pressure of the CPRV in real time, i.e., the casing pressure. When the casing pressure reaches the specified value, open the CPRV to stabilize the casing pressure near the specified value. Observe the experimental phenomena in the annulus through the transparent pipe.
- (6)
- Capture corresponding photos and videos, record the flow patterns and the height of the dynamic liquid level in the annulus, and read the readings of the pressure transmitters at the wellhead and bottom of the well through the PC.
- (7)
- Repeat the experiment according to steps (2) to (6) by changing the casing pressure, initial liquid column height, and gas injection rate.
- (8)
- Process the obtained data to reveal the flow characteristics of ZNLF under different casing pressures, initial liquid column heights, and gas injection rates.
- (9)
- After the experiment, exhaust the water from the pipe, turn off the air compressor and water pump, and disconnect the experimental power supply.
2.3. Experimental Phenomenon
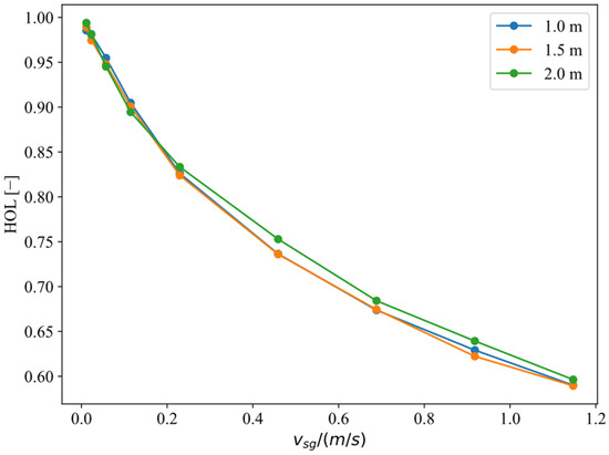
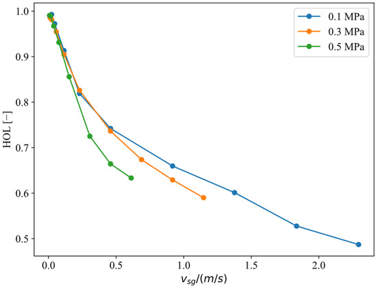
2.4. Experimental Results and Analysis
- (1)
- Measurement Instrument Errors: Inaccuracies in the instruments used for measuring pressure, gas velocity, and liquid height can affect the precision of data.
- (2)
- Temperature Effects: Experiments did not account for temperature variations, which could influence fluid properties and flow dynamics.
- (3)
- Random Errors: Inherent variability in experimental conditions and measurements may introduce random errors.
3. Theoretical Model of ZNLF in Annulus
3.1. Pressure Drop Gradient
3.1.1. Bubble Flow
3.1.2. Churn Flow
3.2. Flow Pattern Transitions
4. Model Verification
5. Conclusions
- (1)
- The experimental results show that the main flow patterns of ZNLF in the annulus are bubble flow and churn flow. At low gas flow rates, bubble flow dominates, while at high gas flow rates, churn flow prevails. Additionally, due to liquid-phase retention in the annulus, slip loss and holdup are more pronounced.
- (2)
- The experiments indicate that at low gas flow rates, the frictional pressure drop is negative. This is because the frictional force exerted by the downward-moving liquid film in contact with the rising bubbles is greater than the frictional force exerted on the upward-moving bubbles.
- (3)
- Understanding how casing pressure affects the liquid level in the annulus helps to better control wellbore pressure, prevent blowouts, and ensure operational safety and efficiency. When the wellhead casing pressure increases, the dynamic liquid level in the annulus rises. This is mainly due to the increased casing pressure compressing the gas, requiring a higher liquid column to balance the pressure difference.
- (4)
- The ZNLF model proposed in this study shows a small error compared to the test data. The flow patterns derived from this model can be used to guide the design of casing pressure and submergence settings for wells with constant pressure gas venting in the annulus.
Author Contributions
Funding
Data Availability Statement
Conflicts of Interest
Nomenclature
| cross-sectional area, m2 | |
| the area of the liquid phase flow channel, m2 | |
| the area of the gas phase flow channel, m2 | |
| the flow coefficient, dimensionless | |
| the resistance coefficient, dimensionless | |
| the bubble diameter, m | |
| the outer diameter of the tubing, m | |
| the inner diameter of the casing, m | |
| the equivalent diameter of the annulus, m | |
| the relative deviation of liquid holdup, % | |
| the relative deviation of pressure drop gradient, % | |
| coefficient of friction, dimensionless | |
| the void fraction, dimensionless | |
| the buoyancy force of the bubble, N | |
| the resistance of the bubble flow process, N | |
| the acceleration of gravity, m/s2 | |
| the bubble gravity, N | |
| the depth of the wellbore, m | |
| dynamic liquid-level height, m | |
| initial liquid-level height, m | |
| the holdup in the liquid film region, dimensionless | |
| the holdup in the liquid slug region, dimensionless | |
| holdup, dimensionless | |
| the coefficient of slip velocity, dimensionless | |
| the length of liquid film region, m | |
| the length of the liquid slug zone, m | |
| pipe length, m | |
| the bubble mass, kg | |
| pressure, Pa | |
| the bottomhole pressure, Pa | |
| the wellhead pressure, Pa | |
| the casing pressure, Pa | |
| ΔP | pressure drop, Pa |
| friction pressure drop, Pa | |
| the gas injection rate, m3/s | |
| the liquid-phase flow rate, m3/s | |
| the wet circumference of liquid phase, m | |
| the wet circumference of gas phase, m | |
| the wet circumference of the gas–liquid contact surface, m | |
| time, s | |
| Superficial gas velocity, m/s | |
| Superficial liquid velocity, m/s | |
| the velocity of the gas–liquid mixture, m/s | |
| the average liquid-phase velocity, m/s | |
| the average gas-phase velocity, m/s | |
| the liquid-phase velocity of liquid film region, m/s | |
| the gas-phase velocity of liquid film region, m/s | |
| the average velocity of the liquid slug zone, m/s | |
| the floating velocity of the bubble, m/s | |
| the rising velocity of Taylor bubbles, m/s | |
| the terminal velocity of Taylor bubbles rising, m/s | |
| the local slip velocity of the small bubble, m/s | |
| the viscosity of the liquid phase, Pa.s | |
| the shear stress between the liquid slug and the wall, Pa | |
| the shear stress between the liquid film and the wall, Pa | |
| the shear stress between the Taylor bubble and the wall, Pa | |
| the shear stress at the gas–liquid two-phase interface, Pa | |
| the density of the gas–liquid mixture, kg/m3 | |
| the liquid density, kg/m3 | |
| the gas density, kg/m3 | |
| the surface tension, N/m |
References
- Hasan, A.; Kabir, C. Determining Bottomhole Pressures in Pumping Wells. Soc. Pet. Eng. J. 1985, 25, 902–908. [Google Scholar] [CrossRef]
- Orkiszewski, J. Predicting Two-Phase Pressure Drops in Vertical Pipe. J. Pet. Technol. 1967, 19, 829–838. [Google Scholar] [CrossRef]
- Aziz, K.; Govier, G. Pressure Drop in Wells Producing Oil and Gas. J. Can. Pet. Technol. 1972, 11, PETSOC-72-03-04. [Google Scholar] [CrossRef]
- Beggs, D.; Brill, J. An Experimental Study of Two-Phase Flow in Inclined Pipes. J. Pet. Technol. 1973, 25, 607–617. [Google Scholar] [CrossRef]
- Taitel, Y.; Dukler, A. A Model for Predicting Flow Regime Transitions in Horizontal and near Horizontal Gas-Liquid Flow. AIChE J. 1976, 22, 47–55. [Google Scholar] [CrossRef]
- Luo, C.; Cao, Y.; Liu, Y.; Zhong, S.; Zhao, S.; Liu, Z.; Liu, Y.; Zheng, D. Experimental and Modeling Investigation on Gas-Liquid Two-Phase Flow in Horizontal Gas Wells. J. Energy Resour. Technol. 2022, 145, 013102. [Google Scholar] [CrossRef]
- Alqahtani, B.; Alqahtani, M.; Alqahtani, A. Electric Submersible Pump Setting Depth Optimization—A Field Case Study. In Proceedings of the SPE Middle East Artificial Lift Conference and Exhibition, Manama, Bahrain, 25–26 October 2022; OnePetro: Richardson, TX, USA, 2022. [Google Scholar] [CrossRef]
- Goliatt, L.; Mohammad, R.; Abba, S.; Yaseen, Z. Development of Hybrid Computational Data-Intelligence Model for Flowing Bottom-Hole Pressure of Oil Wells: New Strategy for Oil Reservoir Management and Monitoring. Fuel 2023, 350, 128623. [Google Scholar] [CrossRef]
- Heinemann, N.; Scafidi, J.; Pickup, G.; Thaysen, E.; Hassanpouryouzband, A.; Wilkinson, M.; Satterley, A.; Booth, M.; Edlmann, K.; Haszeldine, R. Hydrogen Storage in Saline Aquifers: The Role of Cushion Gas for Injection and Production. Int. J. Hydrog. Energy 2021, 46, 39284–39296. [Google Scholar] [CrossRef]
- Sadatomi, M.; Sato, Y.; Saruwatari, S. Two-Phase Flow in Vertical Noncircular Channels. Int. J. Multiph. Flow 1982, 8, 641–655. [Google Scholar] [CrossRef]
- Kelessidis, V.C.; Dukler, A.E. Modeling Flow Pattern Transitions for Upward Gas-Liquid Flow in Vertical Concentric and Eccentric Annuli. Int. J. Multiph. Flow 1989, 15, 173–191. [Google Scholar] [CrossRef]
- Zhu, L.; Ooi, Z.; Zhang, T.; Brooks, C.; Pan, L. Identification of Flow Regimes in Boiling Flow with Clustering Algorithms: An Interpretable Machine-Learning Perspective. Appl. Therm. Eng. 2023, 228, 120493. [Google Scholar] [CrossRef]
- Caetano, E.; Shoham, O.; Brill, J. Upward Vertical Two-Phase Flow Through an Annulus—Part I: Single-Phase Friction Factor, Taylor Bubble Rise Velocity, and Flow Pattern Prediction. J. Energy Resour. Technol. 1992, 114, 1–13. [Google Scholar] [CrossRef]
- Salhi, A.; Rey, C.; Rosant, J. Pressure Drop in Single-Phase and Two-Phase Couette-Poiseuille Flow. J. Fluids Eng. 1992, 114, 80–84. [Google Scholar] [CrossRef]
- Lu, X.; Andrés, L.; Yang, J. A Nonhomogeneous Bulk Flow Model for Gas in Liquid Flow Annular Seals: An Effort to Produce Engineering Results. J. Tribol. 2021, 144, 062302. [Google Scholar] [CrossRef]
- Liu, A.; Guo, P.; Li, Y.; Liu, H.; Tang, S.; Yang, M.; Zhao, X. Wellbore zero liquid flow study. Oil Drill. Prod. Technol. 2009, 31, 75–78. [Google Scholar]
- Hasan, A.; Kabir, C. Two-Phase Flow in Vertical and Inclined Annuli. Int. J. Multiph. Flow 1992, 18, 279–293. [Google Scholar] [CrossRef]
- Liu, L.; Zhou, F. Holdup and pressure drop in tow-phase zero net-liquid flow. J. Eng. Thermophys. 2002, 23, 365–368. [Google Scholar]
- Liu, L. The Phenomenon of Negative Frictional Pressure Drop in Vertical Two-Phase Flow. Int. J. Heat Fluid Flow 2014, 45, 72–80. [Google Scholar] [CrossRef]
- Guan, C.; Zhao, G.; Zhang, Y.; Tao, J.; Zhu, L. Calculation method of multi-phase flow and optimization sub-mergence depth of electric pump in casing annulus gas-venting wells. Acta Pet. Sin. 2010, 31, 152–156. [Google Scholar]
- Wei, N.; Meng, Y.; Liu, Y.; Li, G.; Liu, A. Zero-flow airlift simulation experiment and drawdown law study on under-balanced drilling. Chin. J. Appl. Mech. 2010, 27, 549–552+646. [Google Scholar]
- Daraboina, N.; Chi, Y.; Sarica, C.; Pereyra, E.; Scott, S. Effects of High Pressure on the Performance of Existing Two-Phase Flow Models in Wellbores. In Proceedings of the SPE Annual Technical Conference and Exhibition, Dallas, TX, USA, 24–26 September 2018; OnePetro: Richardson, TX, USA, 2018. [Google Scholar] [CrossRef]
- Hasan, A.; Kabir, C.; Rahman, R. Predicting Liquid Gradient in a Pumping-Well Annulus. SPE Prod. Eng. 1988, 3, 113–120. [Google Scholar] [CrossRef]
- Sun, T.; Zhang, X.; Liu, S.; Cao, Y.; Xie, R. Annular Pressure Buildup Calculation When Annulus Contains Gas. Chem. Technol. Fuels Oils 2018, 54, 484–492. [Google Scholar] [CrossRef]
- Godbey, J.; Dimon, C. The Automatic Liquid Level Monitor for Pumping Wells. J. Pet. Technol. 1977, 29, 1019–1024. [Google Scholar] [CrossRef]
- Ding, L.; Yang, X.; Chen, W.; Li, S.; Zhang, Q. Prediction of Annulus Liquid Level Depth in High-Temperature and High-Pressure Gas Wells Based on Sustained Casing Pressure. Measurement 2022, 193, 110991. [Google Scholar] [CrossRef]
- Arpandi, I.; Joshi, A.; Shoham, O.; Shirazi, S.; Kouba, G. Hydrodynamics of Two-Phase Flow in Gas-Liquid Cylindrical Cyclone Separators. SPE J. 1996, 1, 427–436. [Google Scholar] [CrossRef]
- Xue, J.; Luo, W.; Liu, Z.; Wu, Z.; Wang, J.; Liao, R. A Criterion of Negative Frictional Pressure Drop in Vertical Two-Phase Flow. Chem. Eng. Trans. 2018, 66, 415–420. [Google Scholar] [CrossRef]
- Harmathy, T. Velocity of Large Drops and Bubbles in Media of Infinite or Restricted Extent. AIChE J. 1960, 6, 281–288. [Google Scholar] [CrossRef]
- Jasim, A.; Sultan, A.; Al-Dahhan, M. Influence of Heat-Exchanging Tubes Diameter on the Gas Holdup and Bubble Dynamics in a Bubble Column. Fuel 2019, 236, 1191–1203. [Google Scholar] [CrossRef]
- Wang, X.; Liu, X.; Zhou, C.; He, H.; Zhang, R. Gas-Liquid Separation Mechanism of Downhole Pump under High Gas Content Condition and Its System Design Method. China Pet. Mach. 2020, 48, 75–80. [Google Scholar] [CrossRef]
- Zuber, N.; Findlay, J. Average Volumetric Concentration in Two-Phase Flow Systems. J. Heat Transf. 1965, 87, 453–468. [Google Scholar] [CrossRef]
- Gregory, G.; Scott, D. Correlation of Liquid Slug Velocity and Frequency in Horizontal Cocurrent Gas-Liquid Slug Flow. AIChE J. 1969, 15, 933–935. [Google Scholar] [CrossRef]
- Wang, W.; Cui, G.; Chen, J.; Xiao, Y. Experiments and Modelling for Predicting Critical Gas Velocity with Zero Net Liquid Flow in Slightly Inclined Pipes. J. Eng. Thermophys. 2020, 41, 3068–3076. [Google Scholar]
- An, H.; Langlinais, J.; Scott, S. Effects of Density and Viscosity in Vertical Zero Net Liquid Flow. J. Energy Resour. Technol. 2000, 122, 49–55. [Google Scholar] [CrossRef]












| Experimental Measuring Instruments | Manufacturer | Type | Measurement Range | Accuracy |
|---|---|---|---|---|
| Gas Flow Meter | Beijing Qixing Huachuang Flowmeter Co., Ltd., Beijing, China | D07-60B | (0–1000) L/min | ±2% |
| Liquid Flow Meter | ShanDong ShiYi Science and Technology Co., Ltd. of U.P.C, Dongying, China | LWGY-15(FL)/C3/05/W/S/E/N | (0.4–8) m3/h | ±0.5% |
| Pressure Transmitter | Guangzhou Xisen Automation Control Equipment Co., Ltd., Guangzhou, China | BST6600-20BBIII1.0MPa0T0DNA938 | (0–1.0) MPa | 0.5 class |
| Constant Pressure Release Valve | Yancheng Haixuan Valve Co., Ltd., Yancheng, China | ZTP611-DKG-50 | (0–0.6) MPa | ±2% |
| vsg (m/s) | 0.011 | 0.023 | 0.057 | 0.115 | 0.229 | 0.459 | 0.688 | 0.918 | 1.147 |
|---|---|---|---|---|---|---|---|---|---|
| dPf/dh (KPa/m) (0.5 m) | −0.483 | −0.425 | 0.088 | 0.974 | 1.164 | 1.999 | 1.958 | 2.143 | 2.373 |
| dPf/dh (KPa/m) (1.0 m) | −0.371 | −0.113 | −0.108 | 0.075 | 0.184 | 0.740 | 0.809 | 0.977 | 1.033 |
| dPf/dh (KPa/m) (1.5 m) | −0.269 | −0.085 | −0.159 | 0.207 | 0.202 | 0.483 | 0.548 | 0.620 | 0.647 |
| dPf/dh (KPa/m) (2.0 m) | −0.393 | −0.369 | −0.219 | 0.003 | 0.105 | 0.298 | 0.311 | 0.422 | 0.430 |
| vsg (m/s) | 0.011 | 0.023 | 0.057 | 0.115 | 0.229 | 0.459 | 0.688 | 0.918 | 1.147 |
|---|---|---|---|---|---|---|---|---|---|
| HOL (Experiment) | 0.994 | 0.981 | 0.945 | 0.894 | 0.833 | 0.753 | 0.684 | 0.639 | 0.596 |
| HOL (Model) | 0.991 | 0.982 | 0.957 | 0.919 | 0.855 | 0.760 | 0.691 | 0.639 | 0.597 |
| errHOL (%) | −0.286 | 0.141 | 1.266 | 2.765 | 2.614 | 0.890 | 1.004 | −0.083 | 0.127 |
| vsg (m/s) | 0.011 | 0.023 | 0.057 | 0.115 | 0.229 | 0.459 | 0.688 | 0.918 | 1.147 |
|---|---|---|---|---|---|---|---|---|---|
| dP/dh (KPa/m) (Experiment) | 9.622 | 9.660 | 9.318 | 9.213 | 8.440 | 7.844 | 7.292 | 6.843 | 6.541 |
| dP/dh (KPa/m) (Model) | 9.454 | 9.552 | 9.233 | 9.098 | 8.598 | 7.869 | 7.308 | 6.841 | 6.425 |
| errΔp (%) | −1.749 | −1.115 | −0.912 | −1.245 | 1.865 | 0.329 | 0.218 | −0.038 | −1.773 |
Disclaimer/Publisher’s Note: The statements, opinions and data contained in all publications are solely those of the individual author(s) and contributor(s) and not of MDPI and/or the editor(s). MDPI and/or the editor(s) disclaim responsibility for any injury to people or property resulting from any ideas, methods, instructions or products referred to in the content. |
© 2024 by the authors. Licensee MDPI, Basel, Switzerland. This article is an open access article distributed under the terms and conditions of the Creative Commons Attribution (CC BY) license (https://creativecommons.org/licenses/by/4.0/).
Share and Cite
Yu, J.; Du, X.; Cao, Y.; Zhu, W.; Han, G.; Wu, Q.; Yang, D. Zero-Net Liquid Flow Simulation Experiment and Flow Law in Casing Annulus Gas-Venting Wells. Processes 2024, 12, 1311. https://doi.org/10.3390/pr12071311
Yu J, Du X, Cao Y, Zhu W, Han G, Wu Q, Yang D. Zero-Net Liquid Flow Simulation Experiment and Flow Law in Casing Annulus Gas-Venting Wells. Processes. 2024; 12(7):1311. https://doi.org/10.3390/pr12071311
Chicago/Turabian StyleYu, Jifei, Xiaoyou Du, Yanfeng Cao, Weitao Zhu, Guoqing Han, Qingxia Wu, and Dingding Yang. 2024. "Zero-Net Liquid Flow Simulation Experiment and Flow Law in Casing Annulus Gas-Venting Wells" Processes 12, no. 7: 1311. https://doi.org/10.3390/pr12071311
APA StyleYu, J., Du, X., Cao, Y., Zhu, W., Han, G., Wu, Q., & Yang, D. (2024). Zero-Net Liquid Flow Simulation Experiment and Flow Law in Casing Annulus Gas-Venting Wells. Processes, 12(7), 1311. https://doi.org/10.3390/pr12071311

