Abstract
This article is devoted to the study of decision-making problems of hydrotreating process control in the production of high-quality gasoline under conditions of scarcity and fuzziness of the initial information, ultimately developing an approach to solve them. A systematic method is proposed that makes it possible to develop a package of mathematical models of a complex of interconnected units of chemical-technological systems based on available information of various types. Using the proposed system method, a package of models of the main interconnected units in which the hydrotreating process took place was developed. A decision-making problem was formulated to control the hydrotreating process in a fuzzy environment based on the developed system of models. By modifying the Pareto principle of optimality for fuzzy conditions, a heuristic method for solving the given decision-making problem was developed to control the hydrotreating process in a fuzzy environment. The novelty of the proposed heuristic method lies in the full use of the collected fuzzy information, which represents the knowledge, intuition and experience of the decision makers and experts. Accordingly, the proposed heuristic decision-making method makes it possible to achieve a high adequacy and efficiency of decisions made when solving production problems in a fuzzy environment. The results obtained were applied in practice to solve decision-making problems for hydrotreating process control at the Atyrau refinery. The results obtained show the advantages of the proposed heuristic method for solving decision-making problems of hydrotreating process control over known methods.
1. Introduction
High-quality motor gasoline is produced at refineries worldwide using hydrotreating processes in the presence of catalysts [1,2,3,4]. Currently, due to the growing demand for high-quality motor fuels that meet stringent environmental requirements, the effective management of hydrotreating processes of gasoline fractions and the production of high-quality motor gasoline have become urgent tasks for refineries. All Kazakhstani refineries use process catalytic reforming and cracking installations for thermocatalytic processes, which were studied in [5].
Catalytic reforming installations are designed to reform straight-run gasoline fractions from primary oil-refining units with the purpose of producing high-quality gasoline and aromatic hydrocarbons in the presence of hydrogen and a catalyst [6,7]. Catalytic cracking installations are designed to decompose heavy low-value petroleum products (fuel oil, tar sands, solar oil, etc.) into more valuable products (petrol, gasoline, raw materials for petrochemicals, etc.) in the presence of a catalyst. In these installations, at high temperatures, the heavy hydrocarbon molecules are split and broken down into light molecules as they pass through the catalyst. Catalytic cracking processes, in which the destructive transformation of various petroleum fractions into motor fuels and raw materials for petrochemicals takes place, have been studied in [8,9].
In the processes of refining oil and petroleum products, which contain sulfur-, oxygen- and nitrogen-containing compounds that negatively affect the further stages of processing, hydrotreating processes designed to purify raw materials from sulfur and other harmful organic compounds in the presence of a catalyst play an important role. Gasoline fractions are hydrotreated to remove hetero-organic compounds of sulfur, nitrogen, oxygen, arsenic, halogens, metals and hydrogenations of alkenes, which allows for improvement in the performance and quality of motor fuels. Thus, the hydrotreating process allows for a reduction in the corrosiveness of motor fuels and their tendency to form sediments, ensuring compliance with environmental requirements for fuels by reducing the amount of toxic gas emissions into the environment.
The chemistry and technology of fuel hydrotreatment are investigated in [10]. The authors of [11] are devoted to the study of hydrotreating processes of straight-run gasoline fractions with alumino–nickel–molybdenum ball catalysts. Since the hydrotreating process is one of the most important and widespread processes in refineries, special attention is paid to the issue of controlling the operating modes of hydrotreatment units based on their models. Such problems are often efficiently and promptly solved in practice on the basis of decision-making methods that search for and determine the optimal parameters of the hydrotreating process. Optimal parameters, in turn, ensure effective operating modes of units in which hydrotreating processes take place when maximum volumes of target products are obtained and the quality thereof is improved.
A large number of research works are devoted to the problems of chemical technological process (CTP) and system (CTS) control. Various approaches to the control of technological processes and objects under deterministic conditions on the basis of traditional control methods have been proposed [12,13,14,15,16,17]. An effective hydraulic and thermal model of a complex system was proposed by the authors of [18]. But, regarding the problems of decision making and CTS operating mode control under conditions of multi-criteria, the inconsistency and fuzziness of CTS models have not been thoroughly considered yet in research works. Under these conditions, there are known approaches based on transforming the original fuzzy problem to a set of crisp problems by means of the α level set [19,20,21]. However, in this case, all fuzzy information is lost, which is the knowledge, experience and intuition of the decision makers (DMs) and experts that are not in the α slices. In fact, this approach considers fuzzy information only on some points obtained by α slices, whereas the rest of the information is not considered, which, in turn, reduces the adequacy of the solution.
To effectively solve and obtain a more adequate solution to fuzzy decision-making problems of technological process control, a systematic approach based on the mathematical apparatus of fuzzy mathematics should be applied [22,23,24]. The systematic approach using fuzzy information allows for the development of a package of interrelated CTS models, on the basis of which it is possible to make an adequate decision on the control of technological processes occurring in fuzzy-described CTSs. Such decision-making methods for fuzzy control allow one to take into account experience, knowledge and intuitions, i.e., intelligence of DMs, subject matter experts, which is expressed in verbal form (judgments, conclusions in natural language).
When formalizing and solving the problems of the fuzzy control of technological processes, it is necessary to use the collected and available fuzzy information to the maximum extent possible, i.e., it is necessary to apply a heuristic approach based on the creative ability of DM experts. In this regard, the proposed work dedicated to the development of a package of models of hydrotreating blocks and an effective decision-making method for hydrotreating process control in a fuzzy environment is an urgent scientific and practical task of oil-refining production.
The purpose of the research work is to develop models of a hydrotreating block combined into a single package and a heuristic decision-making method for fuzzy control of the hydrotreating process in conditions of scarcity and fuzziness of the initial information.
The novelty of this work, in contrast to already published works, lies in the fact that, based on a modification of the Pareto principle of optimality, a heuristic method is developed that allows us to formalize fuzziness and effectively solve a fuzzy decision-making problem. At the same time, the efficiency of solving the decision-making problem in a fuzzy environment for hydrotreating process control is achieved by using the capabilities and advantages of both the computer and the human—the DM. In addition, in the proposed approach to solving a fuzzy problem, unlike other approaches, fuzzy information (knowledge, experience, intuition of the DM) is used entirely due to its formalization and the participation of the DM in solving the fuzzy problem.
In order to achieve the formulated goal the following research objectives are set and solved:
- -
- To investigate the influence of the main technological parameters of the hydrotreating block on the hydrotreating process;
- -
- To develop a package, i.e., a system of interconnected models of units of the hydrotreating block of the LG-35-11/300-95 installation at the Atyrau refinery based on available information of various types;
- -
- To formulate a mathematical formulation of the fuzzy decision-making problem for hydrotreating process control based on the developed hydrotreating unit and develop a heuristic method for solving it.
2. Materials and Methods
2.1. Object and Materials of the Research
The object under study is a hydrotreating block in which the hydrotreating process of gasoline fractions takes place. The technological diagram of the research object is presented in Figure 1.
Figure 1.
Technological diagram of the research object—the hydrotreating block LG-35-11/300-95 of the Atyrau refinery.
The raw material of the hydrotreating unit is gasoline directly distilled from a primary oil-refining process unit. The hydrotreating process takes place in the hydrogen-containing gas (HCG) environment and is referred to catalytic processes. In the process of hydrotreating, the organic compounds of sulfur, oxygen and nitrogen, which are poison for the catalyst, are removed from the composition of straight-run gasoline.
Raw materials from the tank are supplied for mixing by the pump A16 along with the HCG. The mixture of raw materials and HCG is fed to HE-1/1-3 heat exchangers connected in series, where it is heated up to 260 °C. The heated raw materials from these heat exchangers are then fed into the F-101 hydrotreating tube furnace. Next, from the hydrotreating furnace, a mixture of raw materials and gas, heated to 300–343 °C, enters the R-1 reactor, where the hydrotreating process takes place in the presence of an S-12T catalyst. The heat of the mixture of unstable hydrogenate at the outlet of R-1, circulating gas and the reforming reaction with a temperature of 340–420 °C are used to heat the mixture of raw materials and gas, first in the heat exchanger N-3 of the stripping column C-1, then in the heat exchangers HE-1/1-3 [25].
The product in the form of gas after cooling to the temperature of 35 °C in the RR-101 and RF-1 refrigerators enters the S-1 separator. In S-1, the HCG is separated from the liquid and is fed to the C-2 absorber for purification from hydrogen. Gas from the outlet of the C-2 absorber and after passing through the separator S-4 is separated into two streams:
- (1)
- Circulating gas, after compression in compressors, is fed back to the feedstock hydrotreating system;
- (2)
- Excess HCG from the plant outlet, as the liquid phase of the S-1 separator passes through the H-2 heat exchanger; here, it is heated up to the temperature of 150 °C and floats on 7, 9, 23 plates of the C-1 evaporating column, where sulfur, hydrogen and water are evaporated from hydrogenate at a temperature up to 270 °C and pressure up to 1,519,875 Pa; in addition, light hydrocarbons are removed from the top of the column.
After C-1, the total composition of sulfur compounds in the hydrogenate should not exceed 0.0005% wt. Gases in the vapor state from the top of the column C-1 leave with the temperature of 135 °C, pass through the condensers RR-101 and RF-1 and with the temperature 35–40 °C are fed to the separator S-2. From S-2, the liquid phase is returned to the column C-1. The precipitated water in the separator S-2 is discharged into the sewer. Hydrocarbon gas from the separator S-2 for hydrogen sulfide purification goes to the absorber C-3.
2.2. Formulation of the Decision-Making Problem in the Fuzzy Environment and Heuristic Method for Solution Thereof
Let —a vector of normalized local criteria whose values vary in [0, 1] or their membership functions that evaluate the quality of the object’s performance; —a vector of input, mode parameters, by means of which the modes of operation of CTS are controlled; —fuzzy constraints in the form of fuzzy instructions, with membership functions. . The dependence of criteria and constraints on is described by means of the CTS model system. Let us assume that vectors of weight coefficients и are defined reflecting the weights of criteria and constraints.
Then, the formalized decision-making problem for CTS operating mode control with fuzzy constraints based on the modification of the Pareto optimality (PO) principle [26] to fuzzy constraints can be written in the following form:
where —logical “and”, which requires the truth of all expressions related through them; —weight coefficients reflecting the mutual importance of fuzzy constraints. Other notations are described above in the formalization of the problem. The block diagram of the proposed heuristic method for solving the decision-making problem in the fuzzy environment (1)–(2) is shown in Figure 2.
Figure 2.
Block diagram of the PO+PO heuristic method.
Let us consider the description of the main blocks of the proposed heuristic method.
In Block 2, the input data are entered: —vector of input, mode parameters; —vector of weight coefficients for local criteria.
In Blocks 3, 4 and 5, depending on the fuzziness of the criteria and their weight coefficients (Block 3), the term-multiplicity and their membership functions are determined (Block 4) and/or the term set and membership functions of the fuzzy constraints are constructed (Block 4) as (fuzzification). Whereas, based on the experience of constructing the membership functions, the following analytical formula is recommended: , where и are coefficients of fast and slow adjustment of the membership function to its graph constructed with the help of experts; is the term number; and are the values of the fuzzy parameter and the maximum corresponding numerical values.
In Blocks 6 and 7, the DM specifies a vector of of weight coefficients for the fuzzy constraints. Then, based on the developed CTS models, the problem of maximizing the vector of criteria (1) is solved on the permissible set X, defined by Expression (2). The current solutions are determined: which provides current values of the criteria and the degrees of fulfillment of the fuzzy constraints (Block 7).
The obtained current solutions are provided to the DM for analyzing and selecting the final solution. If the obtained current solutions satisfy the DM (Block 8), he selects the best solutions and moves to Block 10. Otherwise, i.e., if the DM is not satisfied with the current results, then in order to improve the solution he corrects and/or and the cycle of solution improvement is repeated starting from Block 7.
Block 10 outputs the best solutions selected by the DM: —values of the vector of input, mode parameters of the CTS, which provide the best values of the criteria and the maximum degrees of fulfillment of the fuzzy constraints ,…,
This work also uses the following:
- -
- Methods of system analysis for recognizing situations that have developed in systems described in [27];
- -
- Methods of modeling, optimization and decision-making for technological objects’ control, including in a fuzzy environment, studied in the works of [19,20,21,22,23,24,28];
- -
- Methods of expert assessments for collecting expert, fuzzy information about the operating modes of the hydrotreating unit described in the work of [29];
- -
- Methods of fuzzy set theories for formalization and the use of fuzzy information [21,22,23,24,25,30,31];
- -
- Hybrid modeling and optimization methods for constructing models and optimization based on various initial information and methods [22,32],
- -
- Methods for planning experiments and processing their results as described in the works of [33,34] used to collect the necessary information about the operating modes of the hydrotreating unit.
3. Results
3.1. Influence of Main Process Parameters of Hydrotreating Unit on Hydrotreating Process
The main parameters of the hydrotreating block which affect the hydrotreating process of gasoline fractions, in addition to the volume of raw material, include temperature; pressure; volumetric rate of raw material supply; and HCG circulation rate; as well as the catalytic properties of catalysts used in the hydrotreating process. Let us consider the results of the study to assess the influence of the above parameters on the hydrotreating process.
(1) The hydrotreating process temperature affects the depth of gasoline fractions’ purification from sulfur compounds and from other harmful impurities. Increasing the temperature of the hydrotreating process allows us to increase the intensity of hydrotreating reactions and enhance the hydrogenation of unsaturated hydrocarbons. However, the temperature increase also negatively affects the hydrotreating process by accelerating the hydrocracking reactions of hydrocarbons and coke formation, which lead to a decrease in the yield of liquid petroleum products and an increase in the deposit of coke on the catalyst. This, in turn, reduces the interregeneration period of catalyst operation. In this regard, the determination of the optimum value of the process temperature is one of the relevant tasks of hydrotreating process optimization.
Selection and determination of the optimum value of the hydrotreating process temperature is made depending on the composition of petroleum products. More optimal values of temperature in the hydrotreating of gasoline fractions are usually within the range of 300–360 °C. To select more optimal values of the hydrotreating process temperature, it is recommended to set the minimum temperature in the initial stage of the operating cycle, which provides for the necessary depth of gasoline fraction purification. Further, if the reduction in catalyst activity does not lead to the achievement of the specified depth of purification, then it is necessary to increase the temperature values. At the same time, it should be taken into account that a strong increase in the temperature of the hydrotreating process leads to acceleration of the process of catalyst coking, and the depth of hydrotreating is not particularly increased.
(2) System pressure. Increasing the system pressure value increases the depth of hydrotreating and also increases the interregeneration period of the catalyst, which increases its service life. Increasing the pressure value leads to an increase in the concentration of reactants in a volume unit, which increases the number of effective collisions of molecules, i.e., the rate of hydrotreating process increases. Increasing the value of the total pressure of the hydrotreating process leads to an increase in the partial pressure of hydrogen, which increases the depth of hydrotreating. The optimum pressure value, depending on the mode of operation of the hydrotreating unit, should be determined within the range of 1,961,330–3,922,660 Pa.
(3) Volumetric feed rate of hydrotreating feedstock, i.e., the ratio of feedstock volume fed to the hydrotreating reactor per hour to the catalyst volume. Increasing the volumetric feed rate of gasoline fractions leads to a decrease in their abidance time in the hydrotreating reactor. This means that a high volumetric rate reduces the contact time of feedstock with the catalyst, respectively, reducing the depth of hydrotreating of gasoline fractions. If you reduce the volumetric feed rate, the depth of hydrotreating increases, but at the same time it leads to a decrease in the productivity of the hydrotreating unit. Selection of more optimal values of the raw material supply rate is recommended depending on the chemical composition and fraction of hydrotreated gasoline within the range of 2–7 h−1 [35].
(4) HCG circulation ratio. Straight-run gasoline from primary oil-refining units is subjected to the hydrotreating process using hydrogen under a pressure less than the pressure of 20 MPa. In this case, the amount of hydrogen used should be expressed by the molar ratio of hydrogen and straight-run gasoline at the inlet to the hydrotreating reactor. If the molar ratio is greater than the hydrotreating depth increases insignificantly. This is due to the fact that in this case, the contact time between the vapors of the raw material and the hydrotreating catalyst decreases due to the significant volumes of gas that pass through the reactor.
If the hydrogen/raw material molar ratio is lower than the degree of hydrotreating of gasoline fractions may deteriorate. In the hydrotreating of gasoline fractions, the desired hydrotreating depth is usually provided in the case of 230 nm3 of HCG per 1 m3 of gasoline. In this case, the hydrogen concentration should not exceed 65% of the volume.
(5) Influence of catalyst properties on hydrotreating process. In practice, alumo–cobalt–molybdenum (ACM) and alumo–nickel–molybdenum (ANM) catalysts produced in oxide form are mainly used for hydrotreating processes [11,36]. Nickel-phosphide-based catalysts can also be used in oil refining [37].
The ACM catalyst is characterized by a very high selectivity, and reactions of saturation of aromatic rings, i.e., carbon–sulfur bond breaking C-C, almost do not occur when using it. This catalyst is characterized by a high activity in the reactions of carbon–sulfur bond breaking C-S and it has a good thermal stability, which provides for a long catalyst lifetime. The ACM catalyst is also characterized by sufficient activity in reactions of saturation of unsaturated compounds, at bond breaking and .
The ANM catalyst is less active in saturation reactions of unsaturated compounds but has a high activity, more up to 50% compared to ACM in saturation reactions of aromatic hydrocarbons. In the hydrogenation of nitrogenous compounds, the activity of ANM is 10–18% higher than that of the ACM catalyst. But the ANM catalyst is characterized by a rapid loss of its initial high activity.
3.2. Development of a Package of Models of the Main Units of the Hydrotreating Unit of the Catalytic Reforming Unit LG-35-11/300-95
To control the hydrotreating process, it is necessary to develop mathematical models of the main interrelated units (reactor R-1, columns C-1,C-2,C-3 and furnace F-101) of the hydrotreating block and combine them into a single package [38]. When developing mathematical models of the listed main units of the hydrotreating block, there were problems associated with the probability and fuzziness of the initial information. In these cases, it is necessary to apply the system approach, the hybrid method [32], which allows us to develop mathematical models of objects on the basis of available information of a probable and fuzzy nature.
Let be a set of available input and mode parameters of the object, which are random and fuzzy . The values are determined by instruments but are characterized by randomness. The values are assessed by the DM experts on the basis of their knowledge, experience and intuitions in natural language and are fuzzy.
On the basis of such initial information of different natures, it is necessary to identify the structure and parameters of the models of the main units of the hydrotreating block. For this purpose, it is necessary to use methods of probability theory, statistical methods of model development and modified for work in a fuzzy environment, the method of sequential inclusion of regressors (MSIR) [39] and the least squares method (MLS) [40], as well as a hybrid method of model development [22,32].
Experimental-statistical data characterized by probability and expert information of a fuzzy nature are used for the development of mathematical models of the hydrotreating reactor R-1, allowing us to determine the volume of hydrogenate from its output. For structural identification of R-1 hydrotreating reactor models, the idea of MSIR is used and the identification of model parameters is carried out on the basis of modified MLS.
As a result of the conducted research, it was found that to determine the volume of hydrogenate from the reactor R-1 on the basis of experimental, statistical data, a statistical model must be developed in the form of a nonlinear regression equation, which allows us to estimate the values of of the input regime parameters
where —model parameters to be identified; —input, mode parameters of the hydrotreating reactor R-1, respectively, —feedstock volume, i.e., straight-run gasoline (45–80 m3 /hour); —pressure (20–35 kg/cm2) and R-1 temperature (300–343 ); —volumetric feed rate (0.5–5 h−1 ); —HCG circulation rate (200–500 nm3).
After identifying the unknown parameters’ regression coefficients of Model (3), based on experimental and statistical data using the least squares method, the model , which determines the volume of hydrogenation product from the output R-1, is presented in Column 2 below Table 1.
Table 1.
Matrices of regression coefficients of the developed models of the Atyrau refinery hydrotreating block.
For the convenience of the results of parametric identification and reduction in records of this and other models of the hydrotreating unit, they are presented in a general form as a second-order polynomial with interactions (4):
where —intercept term and regression coefficients of the identified models in the form of a second-order polynomial with interactions; —output parameters of the main units of the hydrotreating block, volumes and quality indicators of the products produced in them.
Table 1 below shows the coefficients of the developed models of the main units of the hydrotreating block.
Identification of the regression coefficients of Model (3), based on experimental and statistical data, was carried out using MLS. As a result, models were obtained that evaluate the quality of the hydrogenated product: —the proportion of unsaturated hydrocarbons, and —sulfur, as well as —water-soluble acids and alkalis in the composition of the hydrogenated product, depending on the input operating parameters . The regression coefficients of the resulting models and are given in Columns 3–5 of Table 1 above.
Based on the processing of statistical data, expert information and the method of building fuzzy models [5,41], the structural identification of models describing the quality of hydrogenate depending on the input, mode parameters was carried out in the form of the following fuzzy multiple regression equations:
where —unsaturated hydrocarbons in the composition of hydrogenate, should be less than i.e., characterized by fuzziness; —sulfur content in the composition of the hydrogenate, —water-soluble acids and alkalis in the products, approximately —input, mode parameters of the hydrotreating reactor described above; —fuzzy parameters to be identified (regression coefficients).
To identify the values of fuzzy regression coefficients of Model (5), the —membership functions describing the qualities of the hydrogenate are represented on an α level set, where . Since in our case, we use a Gaussian-type membership function, which has a bell-shaped form, the values of fuzzy parameters at 5 points are obtained (left points); 1 and (right points).
Further, on the basis of experiments and the assessment the values of the input, the mode and output parameters are determined for each selected level. Then, we obtain a set of models describing the qualities of the hydrogenate with R-1 in the form of multiple regression for the selected levels:
The problem of the identification of unknown coefficients was approached by successive application of MLS for each level using the REGRESS program package [42]. This package of programs based on modified MLS allows us to identify regression coefficients of nonlinear models with a random number of input, mode parameters
Then, for computer modeling and control of the hydrotreating process, the set of identified parameters are combined according to the following formula, known in the theory of fuzzy sets [31]:
After combining the values of the regression coefficients of the set of models in (6) using Formula (7), models for assessing the quality of the hydrogenated product are obtained, which are used to control the hydrotreating process using a computer control system, taking into account the quality of the hydrogenated product.
Regression coefficients of the parametrically identified models, estimating the content of unsaturated hydrocarbons ( the proportion of sulfur ( and water-soluble acids and alkalis in the composition of the hydrogenate depending on the input, operating parameters are given above in Table 1.
Mathematical models of Columns C-1, C-2 and C-3 of the hydrotreating block. As a result of research of the operating modes of the C-1, C-2, C-3 columns and data analysis, as well as taking into account additional fuzzy information received from experts for the development of mathematical models of these columns, a hybrid method of model development is used, which allows us to develop models based on information of different natures through the integrated application of different methods.
The following input, mode parameters were selected as the main parameters describing the operating modes of the columns C-1, C-2 and C-3: —volume of raw materials supplied to the input of the columns; —column temperature; —column pressure; —irrigation flow rate in evaporation column C-1; —volume of hydrogenate from the evaporator column C-1. The output parameters of columns are parameters characterizing the volume and quality of products: —volume of HCG from the outlet of the absorber column C-2; —volume of hydrocarbon containing gas from the absorber column C-3; —fraction of sulfur compounds of products from the column C-1; —composition of HCG from the column C-2; —fraction of hydrocarbon containing gas from the column C-3.
The column input, mode parameters and column output parameters are determined by instruments, i.e., they are crisp. And quality parameters of products produced in the columns C-1, C-2 and C-3: are not measured, they are characterized by fuzziness. Therefore, these fuzzy quality indicators are evaluated by DM experts, formalized and processed on the basis of methods of fuzzy set theories.
The structures of mathematical models of the evaporator column C-1 and absorbers C-2, C-3 of the hydrotreating block are identified on the basis of the hybrid method and modifying MSIR in the form of the following crisp (8) and fuzzy (9) regression models:
The identification of unknown parameters of regression models (8) was carried out on the basis of the least squares method using the REGRESS program package with the use of statistical data on the operation of the corresponding columns. As a result, parametrically identified models were obtained that determine the volumes of products from the C-1 column (); hydrogen-containing gas from the C-2 outlet (); hydrocarbon-containing gas obtained in C-3 (). The regression coefficients of these models and are given in Columns 6–8 of Table 1 above.
To identify the fuzzy regression coefficients of of the fuzzy regression models in (12) on the slices, the fuzzy equations are represented as equivalent fuzzy models. Then, similarly to the procedure of identification of the fuzzy R-1 models in (5) based on the REGRESS V.3 software package, the coefficients for different levels of α set are identified. After that, by combining the set of coefficients at levels by Formula (7), the models convenient for computer modeling are obtained.
Models of hydrotreating furnace F-101. According to the results of the study for synthesizing the models of the hydrotreating furnace F-101, the following input, mode parameters that affect its operation and hydrotreating process were selected: —volume of feedstock fed into the furnace, m3/hour; —temperature at the furnace inlet F-101, and —pressure in F-101, Pa.
As a result of system analysis and research of the F-101 furnace operating modes, the experimental-statistical method was chosen to develop its models [34]. The optimal furnace operating mode can be determined on the basis of a mathematical model describing the influence of input variables on output parameters, i.e., allowing us to obtain information about the thermal operation of the furnace.
To calculate the output parameters of the F-101 hydrotreating furnace on the basis of experimental and statistical data, the regression models of the following structure are identified:
where —the volume of the gas and raw material flow and the temperature of the outlet flow from the furnace, respectively; —described above, the input, mode parameters of the furnace; —identifiable parameters.
As a result of parametric identification of models (10), i.e., and based on statistical data and the REGRESS program, regression coefficients were determined, entered in Columns 9, 10 of the above matrix of regression coefficients (Table 1).
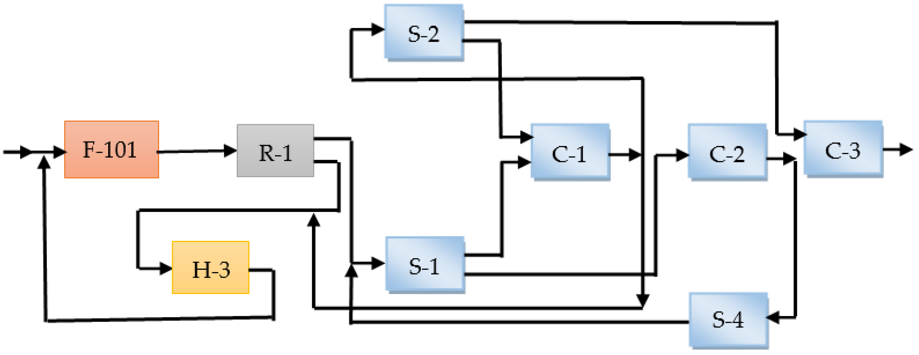
The above-developed models of the main units of the hydrotreating block (reactor R-1, furnace F-101, columns C-1, C-2, C-3) for system modeling of the block operation and hydrotreating process control are combined into a single package in accordance with the flow of the technological process according to the scheme shown in Figure 3, whereas known models built by means of analytical and statistical methods [2,3,34,42,43] were used as models of secondary units of the hydrotreating block (heat exchanger H-3 and separators S-1, S-2).
Figure 3.
Scheme for combining models of hydrotreating unit units into a single package.
As it can be seen from the given scheme (Figure 3), the results of modeling of one unit, for example, R-1, in the modeling package are the initial data for models of other ones (H-3, S-1). And the results of calculation of these models are the input data for models of the hydrotreating furnace F-101 and columns C-1, C-2, etc.
If the values of both input and output parameters of a hydrotreating block are described by linguistic variables, then its linguistic models are synthesized using logical rules of conditional inference [44].
3.3. Solving the Problem of Fuzzy Decision Making to Control the Hydrotreating Process Based on the Proposed Heuristic Method
Based on the decision-making problem for CTS operating mode control with fuzzy constraints (1)–(2), obtained in Section 2, the control problem of the hydrotreating process in R-1 on the basis of its models developed above is as follows:
where —the normalized criterion that determines the volume of target production (hydrogenate) with R-1; —input, mode parameters of the hydrotreating reactor R-1 described in 3.2 above; —weight coefficients reflecting the mutual importance of fuzzy constraints. Other notations are described above in Section 2.2 when formulating the general decision making problem: where —lower and upper limits of parameters variation The qualitative parameters of the hydrogenate are described by fuzzy instructions of the type “not more than”, “about” the threshold value given by the standard: which are described by membership functions .
The solution of the obtained problem (11)–(12) is a vector of input, mode parameters providing the maximum volume of hydrogenate at maximum values of the membership function estimating the degrees of fulfillment of fuzzy constraints on the qualitative parameters of hydrogenate taking into account the DM preferences.
The following are the main steps and results of application of the heuristic method proposed in Section 2 based on the modification of the Pareto optimality principle for fuzzy constraints of the hydrotreating process control problem (11)–(12) based on the R-1 reforming reactor models (, (, , ) developed above.
- The solvable control problem of hydrotreating process (11)–(12) is reduced to a single-criterion problem, to maximize of hydrogenate volume. Therefore, the weight coefficient of the criterion is taken as 1 (Block 2);
- Since the normalized criterion for estimation of the hydrogenate volume in the solved fuzzy control problem is crisp and is determined on the basis of Model (4) and term-multiplicity and membership function are not constructed (Blocks 3, 4) for it;
- DM experts have defined the terms of the term set that describe the fuzzy constraints. The fuzzy constraints on the quality parameters of the hydrogenate with consideration of the requirements of the standards are described by the fuzzy terms: “not more than, »; «about, ». For example, the content of unsaturated hydrocarbons in the hydrogenate , sulfur in the hydrogenate —, water-soluble acids and alkalies in the hydrogenate composition 0. For these fuzzy instructions, the membership functions were constructed (Block 5) with participation of DM experts:where the meanings of numerical values of coefficients and parameters are explained in Section 2, when describing Blocks 3, 4 and 5; —values of hydrogenate quality indicators, which are obtained on the basis of models (, (, , ).
- The DM determined the following values of the weight coefficients of the vector , which reflect the mutual importance of fuzzy constraints, i.e., (Block 6).
- Based on the developed models of the hydrotreating reactor () (, , ), the problem of maximizing the criterion estimating the volume of hydrogenation product on the admissible set X, determined by the Pareto optimality principle (12) was solved [45]. The solutions were found, which depend on providing current values of the criterion and the degree of fulfillment of fuzzy constraints (Block 7).
- The obtained results are presented to DM for analysis and final decision making. If the obtained current solutions do not satisfy the DM (Block 8), he corrects the values of the vector (Block 9) to improve the solution and the cycle of searching for the best solution is repeated starting from Point 5 (Block 7). In the first four solution cycles, the current solutions were not satisfactory to the DM, to the requirements of the standards for quality indicators and the DM adjusted the values of the weight vector and searched for the best solution starting from Point 5. After the fifth solution cycle with the values of results satisfying the DM and standards requirements were obtained, and control was transferred to the next point (Block 10).
- The best solutions selected by the DM are derived: the vector of input, mode parameters which provides the maximum value of the criterion (volume of hydrogenate) and the maximum degrees of fulfillment of fuzzy constraints to its qualitative parameters where The obtained best solutions are recorded into Table 2.
Table 2. Results of solving decision-making problems related to hydrotreating process control on the basis of known deterministic models, proposed fuzzy approach and production-experimental data.
4. Discussion of Results
Since the initial information for assessing the quality of the produced hydrogenation product is characterized by model fuzziness, estimating the quality of the hydrogenation product has been developed using fuzzy information based on the application of a systematic approach, expert assessments and fuzzy set theories. For this purpose, an expert assessment of the influence of input, mode parameters on the qualitative indicators of hydrogenate was performed. Then, the processed expert information was applied with the help of fuzzy set theory apparatus for the identification of fuzzy models describing hydrogenate quality in the form of fuzzy multiple regression in Equation (5). Parametrically identified models of the hydrotreating reactor R-1 () and (, , ) on the basis of the proposed heuristic algorithm allow the DM to make decisions on effective hydrotreating process control in a fuzzy environment. The developed models of the main units of the hydrotreating block (R-1, F-101, C-1, C-2 and C-3), which are combined into a single package according to the scheme shown in Figure 3, allow us to optimize their operating modes based on system modeling of their operation.
The identification of hydrotreating block models was carried out using modified MPVR and MLS and had the structure of nonlinear regression equations. At the same time, models that determine production volumes from units depending on input and operating parameters are identified in the form of multiple regression in Equation (3). And the structure of models that evaluate the quality indicators of manufactured target products is identified in the form of (5), which are fuzzy multiple regression equations.
The mathematical formulation of the decision-making problem for fuzzy control of the hydrotreating process based on the models of the hydrotreating reactor R-1 and the heuristic method of solving it are based on the modification of the Pareto optimality principle to fuzzy constraints. Known methods for solving a fuzzy problem are based on transforming the original fuzzy problem α slices into a set of clear problems, which will lead to the loss of a significant part of the original fuzzy information and a decrease in the adequacy of the solution [7,19]. The proposed fuzzy approach in contrast to the known methods of solving fuzzy problems allows us to set and solve the problem in a fuzzy environment without transforming it to crisp problems. This allows us to maximize the use of collected fuzzy information (experience, knowledge, intuition of the DM) and to increase the adequacy of the decision in a fuzzy environment.
Analysis of the results of comparison given in Table 1 of the proposed fuzzy approach to solving a decision-making problem and the well-known deterministic approach allows us to draw a conclusion about the advantages of the proposed heuristic method.
On the basis of analyzing and comparing the data in Table 1, the following can be noted:
- -
- The proposed heuristic method of solving the decision-making problem of hydrotreating process control is more effective than the deterministic method because its results are more consistent with real data;
- -
- The results of solving decision-making problems of hydrotreating process control in a fuzzy environment using the proposed heuristic method allow us to improve the adequacy of the decision. Improving the adequacy of the resulting solution is ensured by taking into account the experience, knowledge and considerations of experts, DMs, which allows a more complete and meaningful description of the real situation without idealizing it;
- -
- The proposed fuzzy approach to the decision-making problem of hydrotreating process control in a fuzzy environment allows us to determine the degree of fulfillment of fuzzy constraints, which are not determined in known methods.
5. Conclusions
This work investigated and solved decision-making problems for hydrotreating process control in a fuzzy environment in oil refineries. A systematic approach to the development of models is proposed, which makes it possible to develop a package of models of interconnected units of the hydrotreating block, making maximum use of available information of various types. The developed heuristic method for solving decision-making problems based on the developed package of models makes it possible to effectively control the hydrotreating process in a fuzzy environment.
The main results obtained in the research process include the following:
- -
- The influence of the main technological parameters of the hydrotreating block on the hydrotreating process was determined. These results were taken into account in the development of a package of hydrotreating block models used in optimizing the hydrotreating process;
- -
- A package of models of the main units of the hydrotreating block (reactor R-1 and furnace F-101 of hydrotreating, columns C-1, C-2, C-3) of the catalytic reforming unit LG-35-11/300-95 of the Atyrau refinery has been developed. The structure of models for determining the production volume is identified as nonlinear regression models. The structure of fuzzy models that evaluate the quality indicators of the hydrogenation product is identified as fuzzy regression equations;
- -
- A mathematical formulation of the decision-making problem for hydrotreating process control in a fuzzy environment on the basis of hydrotreating reactor models and a heuristic method of its solution were formulated. The formulation of the decision-making problem for hydrotreating process control in a fuzzy environment and the heuristic method of solving thereof are based on the modification of the Pareto optimality principle with application of the mathematical apparatus of fuzzy set theories.
The novelty of the results obtained lies in the development of a package of interconnected mathematical models of the main units of the hydrotreating block with fuzziness of some parameters, which makes it possible to systematically model and effectively control the hydrotreating process. To effectively control the hydrotreating process based on the developed package of models by modifying the Pareto principle of optimality, a heuristic method has been developed. The novelty of the proposed method is that it allows us to formalize fuzziness and effectively solve the fuzzy decision-making problem of hydrotreating process control through the maximum use of experience, knowledge and intuition of DMs and expert specialists.
Author Contributions
B.O., A.T. and K.O.: conceptualization; B.O., K.O. and M.B.: formal analysis; K.O., A.T. and L.K.: resources; B.O., A.T., K.O. and S.K.: writing—original draft preparation; B.O., K.O. and V.M.: writing—review and editing. All authors have read and agreed to the published version of the manuscript.
Funding
This research received no external funding.
Data Availability Statement
Data are contained within the article.
Conflicts of Interest
The authors declare no conflicts of interest.
References
- Takman, M.; Svahn, O.; Paul, C.; Cimbritz, M.; Struckmann, P.J.; Lund, N.J.; Davidsson, Å. Assessing the potential of a membrane bioreactor and granular activated carbon process for wastewater reuse—A full-scale WWTP operated over one year in Scania, Sweden. Sci. Total Environ. 2023, 895, 165–185. [Google Scholar] [CrossRef]
- Palos, R.; Gutiérrez, A.; Fernández, M.L.; Trueba, D.; Bilbao, J.; Arandes, J.M. Upgrading of heavy coker naphtha by means of catalytic cracking in refinery FCC unit. Fuel Process. Technol. 2020, 205, 45–57. [Google Scholar] [CrossRef]
- Deng, Y.; Zhao, R. Advanced Oxidation Processes (AOPs) in Wastewater Treatment. Curr. Pollut. Rep. 2022, 1, 167–176. [Google Scholar] [CrossRef]
- Jones, E.R.; Vliet, M.T.H.; Qadir, M.; Bierkens, M.F.P. Country-level and gridded estimates of wastewater production, collection, treatment and reuse. Earth Syst. Sci. Data 2021, 13, 237–254. [Google Scholar] [CrossRef]
- Orazbayev, B.; Zhumadillayeva, A.; Orazbayeva, K.; Iskakova, S.; Utenova, B.; Gazizov, F.; Ilyashenko, S.; Afanaseva, O. The System of Models and Optimization of Operating Modes of a Catalytic Reforming Unit Using Initial Fuzzy Information. Energies 2022, 15, 1573. [Google Scholar] [CrossRef]
- Estevam Lau Bomfim, J.Á.; Filho, J.F.S.C.; Bezerra, T.D.; Rangel, F.C.; Simões, T.A.; Romano, P.N. Catalysts for syngas production by dry reforming of methane. In Heterogeneous Catalysis; Materials and Applications; Elsevier: Amsterdam, The Netherlands, 2022; pp. 175–206. [Google Scholar] [CrossRef]
- James, G. Speight, Introduction to refining processes. In The Refinery of the Future, 2nd ed.; Springer: Berlin/Heidelberg, Germany, 2020; p. 644. [Google Scholar]
- Lapinski, M.P.; Metro, S.; Pujadó, P.R.; Moser, M. Catalytic Reforming in Petroleum Processing. In Handbook of Petroleum Processing; Treese, S., Jones, D., Pujado, P., Eds.; Springer: Cham, Switzerland, 2020; p. 123. [Google Scholar]
- Gong, J.H.; Wu, L.; Ma, Q.Q.; Zhang, Z.G.; Wei, X.L.; Chang, X.L.; Zhang, J.S. Commercial application of novel deep catalytic cracking technology for resid to chemicals. Pet. Process. Petrochem. 2021, 8, 157–175. [Google Scholar]
- Thorson, M.R.; Santosa, D.M.; Hallen, R.T.; Kutnyakov, I.; Olarte, M.V.; Flake, M.; Neuenschwander, G.; Middleton-Smith, L.; Zacher, A.H.; Hart, T.R.; et al. Scaleable Hydrotreating of HTL Biocrude to Produce Fuel Blendstocks. Energy Fuels 2021, 35, 11346–11352. [Google Scholar] [CrossRef]
- Erychev, M.A. Hydrotreating of oil fractions and process catalysts. Innov. Technol. 2020, 3, 94–97. (In Russian) [Google Scholar]
- Besekerskii, V.A.; Popov, E.P. The Theory of Automatic Control Systems, 3rd ed.; Nauka Publishing House: Moscow, Russia, 2020; p. 307. (In Russian) [Google Scholar]
- Pospelov, D.A. Situational Management: Theory and Practice, 4th ed.; Nauka: Moscow, Russia, 2022; p. 305. (In Russian) [Google Scholar]
- Isidori, A. Control Theory for Automation: Fundamentals. In Springer Handbook of Automation; Nof, S., Ed.; Springer: Berlin/Heidelberg, Germany, 2020; p. 278. ISBN 978-3-540-78830-0. [Google Scholar]
- Kaipbergenov, A.T.; Utemisov, A.O.; Yuldashova, H.B. Stability of Automatic Control Systems. Acad. Res. Field Eng. Sci. 2022, 3, 918–921. [Google Scholar]
- Golnaraghi, F.; Kuo, B.C. Automatic Control Systems, 3rd ed.; Wiley: Hoboken, NJ, USA, 2020; p. 797. [Google Scholar]
- Sikorsky, I. Fundamentals of the Automatic Control Theory; Kyiv Polytechnic Institute: Kyiv, Ukraine, 2020; 45p. [Google Scholar]
- Xue, W.; Wang, Y.; Liang, Y.; Wang, T.; Ren, B. Efficient hydraulic and thermal simulation model of the multi-phase natural gas production system with variable speed compressors. Appl. Therm. Eng. 2024, 242, 122411. [Google Scholar] [CrossRef]
- Baaj, I. On the handling of inconsistent systems of max-min fuzzy relational equations. Fuzzy Sets Syst. 2024, 482, 108912. [Google Scholar] [CrossRef]
- Wen, C.F.; Wu, Y.K.; Li, Z. Algebraic formulae for solving systems of max-min inverse fuzzy relational equations. Inf. Sci. 2023, 622, 1162–1183. [Google Scholar] [CrossRef]
- Aliev, R.A.; Tserkovny, A.E.; Mamedova, G.A. Production Management with Fuzzy Initial Information, 3rd ed.; Energoatomizdat, Publication: Moscow, Russia, 2022; p. 258. [Google Scholar]
- Suleimenov, B.A. Intelligent and Hybrid Process Control Systems, 2nd ed.; Evero: Almaty, Kazakhstan, 2023; p. 317. [Google Scholar]
- Fayaz, M.; Ahmad, S.; Ullah, I.; Kim, D. A blended risk index modeling and visualization based on hierarchical fuzzy logic for water supply pipelines assessment and management. Processes 2018, 6, 61. [Google Scholar] [CrossRef]
- Wu, Y.K.; Lur, Y.Y.; Wen, C.F.; Lee, S.J. Analytical method for solving max-min inverse fuzzy relation. Fuzzy Sets Syst. 2022, 440, 21–41. [Google Scholar] [CrossRef]
- Technological Regulations for the Catalytic Reforming Installation LG-35-11/300-95; Atyrau Oil Refinery: Atyrau, Kazakhstan, 2021; p. 130.
- Bommier, A.; Zuber, S. The Pareto Principle of Optimal Inequality; Touloyse Schcool of Economics: Toulouse, France, 2022; p. 32. [Google Scholar]
- Opanasenko, V.M.; Fazilov, S.; Radjabov, S.S. Multilevel Face Recognition System. Cybern. Syst. Anal. 2024, 60, 146–151. [Google Scholar] [CrossRef]
- Evsina, E.V. Expert Assessment Method in Training Lecturers for Work in International Groups of Students. Bull. South. Ural. State Univ. 2020, 12, 83–89. [Google Scholar] [CrossRef]
- Ibrahim, D.; Jobson, M.; Li, J.; Guillen-Gosalbez, G. Optimization-based design of crude oil distillation units using surrogate column models and a support vector machine. Chem. Eng. Res. Des. 2020, 134, 212–225. [Google Scholar] [CrossRef]
- Natraj, P.; Sandhiya, S.; Selvakumari, K. Fuzzy Sets and its Application in Decision Making Problems by Comparing three Methods. Palarch’s J. Archaeol. Egypt/Egyptol. 2020, 17, 4841–4848. [Google Scholar]
- Zimmermann, H.-J. Fuzzy Set Theory—And Its Applications, 5th ed.; Springer Science+Business Media, LLC.: Berlin/Heidelberg, Germany, 2018; p. 525. ISBN 978-94-010-3870-6. [Google Scholar] [CrossRef]
- Zhang, L.; Qi Kang, Q.; Deng, Q.; Xu, L.; Wu, Q. A Line Complex-Based Evolutionary Algorithm for Many-Objective Optimization. IEEE/CAA J. Autom. Sin. 2023, 10, 1150–1167. [Google Scholar] [CrossRef]
- Farooq, M.A.; Nóvoa, H.; Araújo, A.; Tavares, S.M.O. An innovative approach for planning and execution of pre-experimental runs for Design of Experiments. Eur. Res. Manag. Bus. Econ. 2021, 22, 155–161. [Google Scholar] [CrossRef]
- Spirin, N.A.; Lavrov, V.V.; Zainullin, L.A.; Bondin, A.R.; Burykin, A.A. Methods for Planning and Processing the Results of an Engineering Experiment, 2nd ed.; LLC “UINC”: Ekaterinburg, Russia, 2022; p. 290. [Google Scholar]
- Hussain, N. Hydrotreating Process in Oil Refinery. 2020. Available online: https://thepetrosolutions.com/hydrotreating-process-oil-refinery/ (accessed on 10 December 2023).
- Li, M.; Ihli, J.; Verheijen, M.A.; Holler, M.; Guizar-Sicairos, M.; Bokhoven, J.A.; Hensen, E.J.M.; Weber, T. Alumina-Supported NiMo Hydrotreating Catalysts─Aspects of 3D Structure, Synthesis, and Activity. J. Phys. Chem. 2022, 126, 18536–18549. [Google Scholar] [CrossRef] [PubMed]
- Zhu, C.-T.; Zhang, L.-Q.; Zhou, M.-L.; Wang, X.-W.; Yang, Z.-D.; Lin, R.-Y.; Yang, D.-W. Study on the mechanism of hydrodesulfurization of tetrahydrothiophene catalyzed by nickel phosphide. Pet. Sci. 2022, 19, 1390–1400. [Google Scholar] [CrossRef]
- Tanirbergenova, A.; Orazbayev, B.; Ospanov, Y.; Omarova, S.; Kurmashev, I. Hydrotreating unit models based on statistical and fuzzy information. Period. Eng. Nat. Sci. 2021, 9, 242–258. [Google Scholar] [CrossRef]
- Valeev, S.G. Regression Modeling in the Processing of Observations, 4th ed.; Nauka: Moscow, Russia, 2022; p. 277. (In Russian) [Google Scholar]
- Yakovis, L.M.; Strongin, P.Y. Adaptive Identification of Control Objects in Systems with Standard Controllers. J. Phys. Conf. Ser. 2020, 1864, 012110. [Google Scholar] [CrossRef]
- Zhou, T.; Sundmacher, K. Multiscale process systems engineering—Analysis and design of chemical and energy systems from molecular design up to process optimization. Front. Chem. Sci. Eng. 2022, 16, 137–140. [Google Scholar] [CrossRef]
- Rykov, A.C. REGRESS Software Package; Moscow State University Publishing House: Moscow, Russia, 2021; p. 177. [Google Scholar]
- Najah, M. Al-Mhanna. Simulation of High-Pressure Separator Used in Crude Oil Processing. Processes 2018, 6, 219. [Google Scholar] [CrossRef]
- Orazbayev, B.; Zhumadillayeva, A.; Orazbayeva, K.; Umarov, T.; Dyussekeyev, K.; Kurmangaziyeva, L. Development of a linguistic model of a reforming unit of a catalytic reforming plant. IOP Publ. J. Phys. Conf. Ser. 2021, 1988, 012025. [Google Scholar] [CrossRef]
- Lovison, A.; Cardin, F. A Pareto–Pontryagin Maximum Principle for Optimal Control. Symmetry 2022, 14, 1169. [Google Scholar] [CrossRef]
- Shumsky, V.M.; Zyryanova, L.A. Engineering Tasks in Oil Refining and Petrochemistry, 2nd ed.; MPC Publication: Moscow, Russia, 2023; p. 475. [Google Scholar]
Disclaimer/Publisher’s Note: The statements, opinions and data contained in all publications are solely those of the individual author(s) and contributor(s) and not of MDPI and/or the editor(s). MDPI and/or the editor(s) disclaim responsibility for any injury to people or property resulting from any ideas, methods, instructions or products referred to in the content. |
© 2024 by the authors. Licensee MDPI, Basel, Switzerland. This article is an open access article distributed under the terms and conditions of the Creative Commons Attribution (CC BY) license (https://creativecommons.org/licenses/by/4.0/).


