Abstract
Heterogeneous composite flooding has performed well with regard to enhanced oil recovery after polymer flooding in recent years. In order to significantly increase oil recovery, the development parameters should be designed differently for each well. However, it is difficult to rapidly allocate development parameters through the lowering of computational costs. Therefore, the authors of this paper carried out research to clarify the main controlling factors of parameter allocation. Firstly, the numerical simulation domain was separated into several regions, with injection wells and production wells at the center of each region. The statistical parameters of each region were calculated. Then, the water injection rate, liquid production rate, and chemical agent concentration were allocated based on the proportion of statistical parameters in each region. A large number of development schemes were designed by combining different injection and production allocations that were calculated based on each statistical parameter. Finally, the development performance of each scheme was simulated and analyzed. The statistical parameters corresponding to the best performance scheme were regarded as the main controlling factors of heterogeneous composite flooding after polymer flooding. These results showed that the main controlling factors for the allocation of the water injection rate were pore volume and permeability variation coefficient. The main controlling factors for liquid production rate were the remaining oil saturation, formation coefficient, and reservoir pressure. The main controlling factors for chemical agent concentration were pressure and permeability variation coefficient. These findings concerning the main factors controlling development parameter allocation were validated by practical application in several well groups of an actual reservoir model. This study provides references for improving heterogeneous composite flooding performance for post-polymer flooding reservoirs in the future.
1. Introduction
Most of the oilfields in China belong to terrestrial sedimentation. These oilfields are characterized by strong reservoir inhomogeneity, and the development of water channeling layer zones leads to generally low water flooding oil recovery and the problem of unbalanced displacement. China’s Daqing, Shengli, and other major oilfields have entered the high water cut development stage. However, in the low-permeability area of the oilfield and the layer section, there is still a large amount of residual oil. Even the implementation of polymer flooding can only recover 40–50% of the original geological reserves. In other words, more than half of the crude oil remains in the formation and cannot be effectively extracted. Therefore, further exploration of effective enhanced recovery technologies and methods is becoming increasingly important for high water cut oilfields, and it is also the main way to maintain domestic oil production and ensure the steady progress of oil development.
Heterogeneous composite flooding is an enhanced oil recovery (EOR) method that has been successfully used in reservoirs after polymer flooding in recent years [1,2]. It can further expand the swept efficiency and strengthen the displacement efficiency by injecting the heterogeneous composite system with polymer, surfactant, and preformed particle gels to enhance oil recovery [3,4,5,6,7,8]. However, the heterogeneity of reservoirs becomes more serious and the distribution of the remaining oil is more complicated after polymer flooding [9,10,11]. It is difficult to obtain the ideal development performance with conventional allocations of injection and production parameters, so further research on the allocations of injection, production, and chemical agents based on the main controlling factors are required for enhanced oil recovery.
Sensitivity analysis is commonly used in the analysis of the factors that influence reservoir development performance. The principle of this method is to study the rule that governs how the objective function changes with a single variable. Ampomah et al. [12] established a multiphase flow model based on the Farnsworth Unit oilfield, and the effects of uncertain variables, such as the gas-oil ratio, the bottom hole pressure of production wells and injection wells, and the water alternating gas cycle, on oil recovery and CO2 storage were analyzed. Chen et al. [13] established a numerical simulation model based on the formation parameters and field historical data of the Bakken oilfield. Then, the relationships between different primary depletion periods, injection periods, and production periods in the CO2 huff and puff process and their effects on recovery were compared and analyzed. Wu et al. [14] established an analytical mathematical model for the prediction of nitrogen-assisted steam huff and puff production and analyzed the effects of parameters such as injection temperature and thermal fluid injection volume on oil recovery. Khishvand et al. [15] carried out an in-depth analysis of gas lift allocation optimization by establishing a gas lift nonlinear programming model to discuss development performance using different oil prices, gas compression costs, and water-oil ratios. Yang et al. [16] established mathematical and numerical models for fractured sandstone gas reservoirs in homogeneous formations and analyzed parameters, such as the fracture half-length, fracture conductivity, and skin coefficient, that affect the productivity prediction curve. Ghadami et al. [17] conducted a sensitivity analysis on parameters such as chemical agent adsorption, slug size, and injection rate in the Angsi oilfield with the objective function of cumulative oil production. de Oliveira et al. [18] used numerical simulation with the net present value as the objective function to study the factors affecting the development performance of polymer flooding, including formation parameters, such as inaccessible pore volume and crude oil viscosity, and injection parameters, such as polymer concentration and salinity. Janiga et al. [19] used sensitivity analysis to evaluate parameters affecting the economics of polymer flooding reservoirs, including oil price, injection rate, and polymer cost. Pi et al. [20] studied the factors that influence the development performance of heterogeneous systems after polymer flooding using the experimental research method.
Experimental design is a multi-factor analysis method usually used to study the effects of multiple parameters on reservoir development performance. Rajabi et al. [21] used a PB experimental design to analyze sixteen parameters affecting the development performance of the PUNQ-S3 oilfield and finally screened out seven main parameters using the objective function of net present value. Firozjaii et al. [22] conducted the numerical simulation study on factors affecting chemical flooding for enhanced oil recovery. Taking oil recovery as the objective function, the fractional factorial design was used to obtain the combinations of different factors at different levels, and comparative analysis was carried out. Bengar et al. [23] used an experimental design and analysis of variance to study the main factors affecting the development performance of polymer flooding and the interaction between different influencing factors. Kumar et al. [24] studied the effects of different surfactant concentrations, slug sizes, and injection rates on oil recovery and then evaluated the effects of different combinations of the above three parameters on oil recovery using experimental design.
According to a literature review, the effects of the injection and production parameters on development performance have been studied previously. However, the results did not consider the allocation difference for each well or the controlling factors, which consider the present reservoir status. Therefore, it is necessary to adjust the allocation of the water injection rate, liquid production rate, and chemical agent concentration according to the current geological conditions to make full use of the potential of the heterogeneous composite flooding. For this purpose, this study firstly established a reservoir simulation model, and the simulation domain was separated into several regions with one injection well or one production well located at the center. Then, the statistical indexes of each region were calculated, and based on that, the water injection rate, liquid production rate, and chemical agent concentration were allocated for each well. Finally, the enhanced oil recovery performance of each development scheme was simulated and analyzed, and the statistical indexes corresponding to the best performance were regarded as the main controlling factors that should be used to design development parameters for heterogeneous composite flooding after polymer flooding.
2. Reservoir Simulation Model and Region Separation
After polymer flooding, the contradiction of the reservoir is more prominent due to the stronger heterogeneity of the formation, and the development becomes more difficult. At the same time, the distribution of remaining oil after polymer flooding is more scattered, and the oil displacement performance varies greatly in different parts. For this purpose, the research on the main controlling factors of the development performance of heterogeneous composite flooding after polymer flooding was carried out.
In order to find out the controlling factors affecting the allocations of the injection and production parameters, a large number of development schemes were simulated and analyzed. Firstly, a reservoir numerical simulation model was established, as shown in Figure 1, in order to simulate the development performance of heterogeneous composite flooding. The model adopted an orthogonal grid system, including a total of 8427 grids, and all of them were valid grids. Among them, the number of grids in the X, Y, and Z directions were 53, 53, and 3, respectively. The area of the reservoir simulation model was 0.31 km2. The average permeability of the reservoir simulation model was 1188 × 10−3 μm2. The oil viscosity of the simulation model was 26 mPa·s. The reservoir pressure was 12.4 Mpa. The geological reserve of the simulation reservoir was 90 × 104 t. The original oil saturation was 0.70. The physical parameters of the model are summarized in Table 1. The model adopted a five-point well pattern with a total number of 13 wells, including 4 production wells and 9 injection wells.
Figure 1.
Numerical simulation of the reservoir model.
Table 1.
Physical parameters of the reservoir model.
The injection and production parameters for each well were exactly the same in the basic development scheme. To be specific, the injection and production rates were 0.1 PV/a, which were uniformly distributed to each well. Noticeably, the water injection rates for the corner wells were set as one-quarter of the center well. The water injection rates for the edge wells were set as one-half of the center well. At first, the reservoir was developed using water flooding until the water cut reached 95%. At this time, the polymer solution with a concentration of 2000 mg/L and a slug size of 0.3 PV was injected, after which the water flooding was conducted again until the water cut climbed back to 95%. Then, the reservoir development was converted to 0.4 PV of heterogeneous composite flooding, after which the subsequent water flooding was implemented and finally stopped when the water cut reached 98%. In the heterogeneous composite system, the concentrations of polymer, surfactant, and preformed particle gels were 1600 mg/L, 0.4%, and 1600 mg/L, respectively.
In order to nonuniformly allocate the development variables for each well according to the statistical parameters around the well, the simulation domain of the reservoir model was separated into several regions according to the relationship of injection wells and production wells, and the statistical parameters of each region were calculated.
The schematic diagrams of the separation results are shown in Figure 2. For the separated regions of the injection well, the production wells were first connected in sequence. Then, the production well and the midpoints of the connecting lines between its adjacent injection wells were connected to separate the model into nine regions. For the separated regions of the production well, the model was divided into four regions based on the location of the injection wells.
Figure 2.
Schematic diagram of the separated region.
After the development of polymer flooding, the sum or average value of parameters such as the remaining oil, pore volume, and permeability of all the grids in each region were calculated. For example, the sum of the pore volume was calculated, and then the average of the remaining oil saturation was calculated. Using the statistical parameters of each region, the proportions of the parameters of each region in comparison to the whole model were calculated, which provided the basis of the data for the study of the main controlling factors.
3. Main Factors Controlling Parameter Allocation
Under the condition that the total water injection, liquid production, and chemical agent concentration remain constant, the allocations of the above parameters for each well were calculated based on the proportion of each statistical index of each region in comparison to the whole model. In this paper, the controlling factors for the allocations of the development parameters were studied in two steps. First, the factors controlling the allocations of the water injection rate and the liquid production rate were studied. Second, based on the best allocations of the water injection rate and the liquid production rate obtained in the first step, the controlling factors for the allocations of the chemical agent concentration were studied.
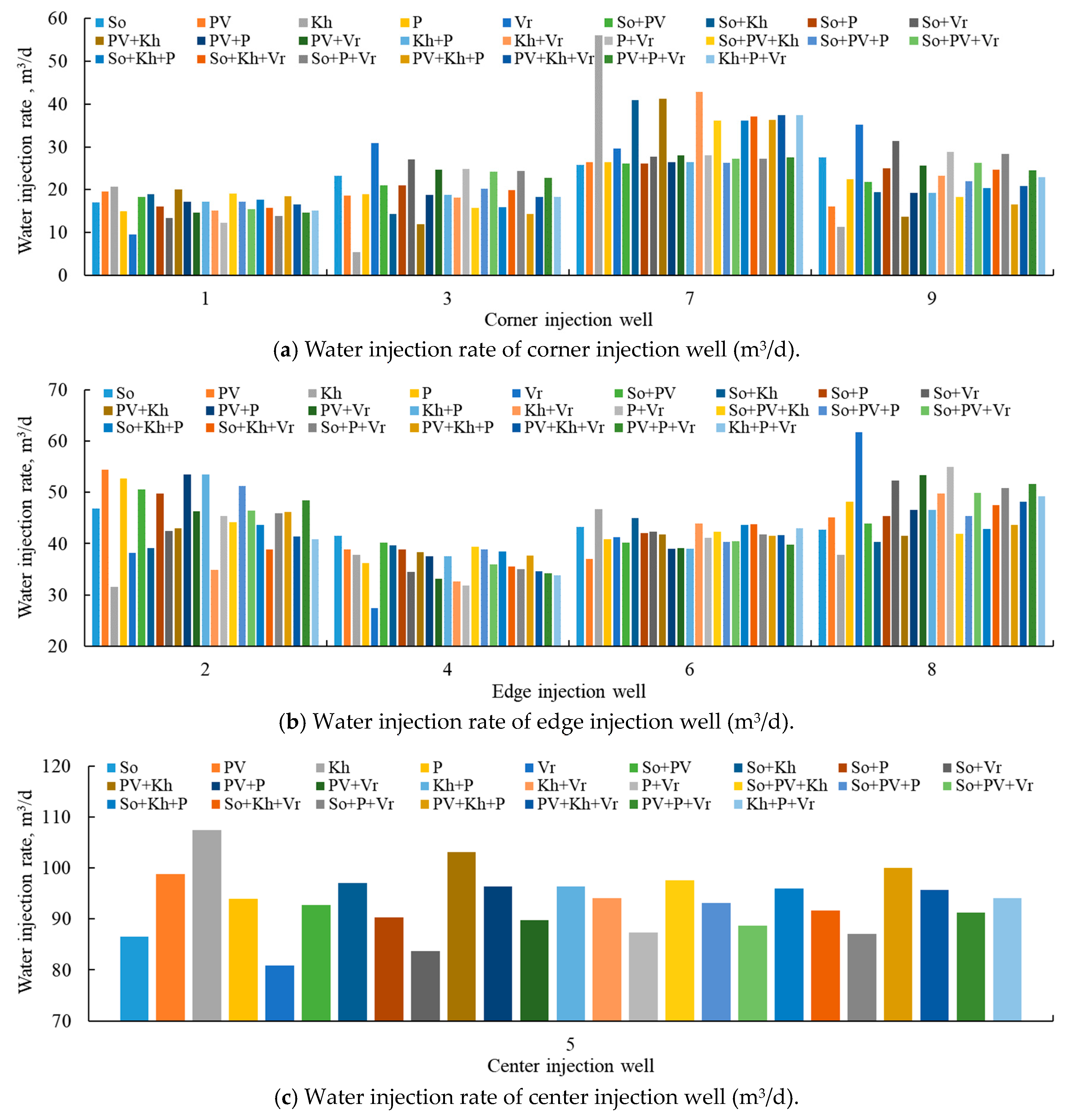
For the allocation of the water injection rate for each well, a total number of 25 statistical indexes were selected, including remaining oil saturation (So), pore volume (PV), formation coefficient (KH), pressure (P), permeability variation coefficient (Vr), the combination of remaining oil saturation and pore volume, the combination of remaining oil saturation and formation coefficient, the combination of remaining oil saturation and pressure, the combination of remaining oil saturation and permeability variation coefficient, the combination of pore volume and formation coefficient, the combination of pore volume and pressure, the combination of pore volume and permeability variation coefficient, the combination of formation coefficient and pressure, the combination of formation coefficient and permeability variation coefficient, the combination of pressure and permeability variation coefficient, the combination of remaining oil saturation and pore volume and formation coefficient, the combination of remaining oil saturation and pore volume and pressure, the combination of remaining oil saturation and pore volume and permeability variation coefficient, the combination of remaining oil saturation and formation coefficient and pressure, the combination of remaining oil saturation and formation coefficient and permeability variation coefficient, the combination of remaining oil saturation and pressure and permeability variation coefficient, the combination of pore volume and formation coefficient and pressure, the combination of pore volume and formation coefficient and permeability variation coefficient, and the combination of formation coefficient and pressure and permeability variation coefficient. Figure 3 shows the calculation results of the allocation of the water injection rate for the corner wells, edge wells, and center wells according to each statistical index.
Figure 3.
Calculation results of the allocation of water injection rate (m3/d).
It can be seen from Figure 3 that the allocations of the water injection rate obtained from the indexes related to the formation coefficient and permeability variation coefficient are quite different from those obtained from the other indexes; this is caused by planar heterogeneity and intralayer heterogeneity. Taking the allocation of the water injection rate of injection well 7 as an example, it is obvious that the values obtained from the index of formation coefficient or permeability variation coefficient are larger than the values obtained from other indexes. As can be seen from Figure 2a, the permeability is high near injection wells 6 and 7 and low near injection wells 2, 3, and 9. Therefore, based on the indexes of the formation coefficient, the allocation of the water injection rate of injection wells 6 and 7 is larger than that of wells 2, 3, and 9. As for the allocation of the water injection rate based on the permeability variation coefficient, injection wells 3, 8, and 9 are larger than injection wells 2, 4, and 5. This shows that the permeability differences in each layer near wells 3, 8, and 9 are larger than those near wells 2, 4, and 5, reflecting strong heterogeneity in the reservoir.
For the allocation of the liquid production rate of each well, a total number of 14 indexes were selected, including remaining oil saturation (So), remaining geological reserves (M), formation coefficient (KH), pressure (P), combinations of pairs of the aforementioned parameters, and combinations of triads of the aforementioned parameters. The calculation results of the allocated liquid production rates for each production well are shown in Figure 4. As can be seen from the figure, the allocations of the liquid production rate obtained by the statistical indexes related to the formation coefficient differ greatly from those of the other indexes; this is also caused by planar heterogeneity.
Figure 4.
Calculation results of the allocation of liquid production rate (m3/d).
In order to find out the allocation result corresponding to the best development performance, 350 sets of development schemes were obtained by combining the aforementioned 25 sets of water injection rate allocations and 14 sets of liquid production rate allocations. All the development schemes were simulated and the oil recovery and water cut of each scheme was obtained, as shown in Figure 5 and Figure 6. In these figures, the red curve represents the development scheme, which yields the best development performance among the 350 sets. In the optimal development scheme, the statistical index for the allocation of the water injection rate is the combination of pore volume and permeability variation coefficient. The statistical index for the liquid production rate is the combination of the remaining oil, formation coefficient, and reservoir pressure. As can be seen from these figures, the oil recovery is 50.46% and the water cut decreases to 87.16% in the optimal development scheme.
Figure 5.
Oil recovery of the development schemes.
Figure 6.
Water cut of the development schemes.
Based on the optimal development scheme above containing the water injection rate and liquid production rate, the main factors affecting the allocation of the chemical agent concentration were studied by comparing the development schemes in which the chemical agent concentration was allocated using the same 25 indexes that were used for the allocation of the water injection rate. In this study, the total chemical agent concentrations of all the wells remained constant, and the proportions of the polymer, surfactant, and preformed particle gels in each injection well, which were 1:2:1, also remained unchanged. For simplicity, only the calculation results of the polymer concentrations for each corner, edge, and center injection well obtained on the basis of each statistical index are shown in Figure 7. As a result, the concentrations of the surfactant and preformed particle gel can be calculated according to their proportions.
Figure 7.
Calculation results of the allocation of polymer concentration (kg/m3).
Figure 8 and Figure 9 compare the oil recovery and water cut of the development schemes with different chemical agent concentrations calculated based on each statistical index. In the two figures, the red curve represents the development scheme that achieved the best performance, and its chemical agent concentration is allocated according to the combination of the reservoir pressure and permeability variation coefficient, which are regarded as the controlling factors. The oil recovery of the best development scheme is 50.98%, and the water cut decreases to 87.11% at most.
Figure 8.
Oil recovery of development schemes with different chemical agent concentrations.
Figure 9.
Water cut of development schemes with different chemical agent concentrations.
In order to prove the effectiveness of the controlling factors, the optimal development scheme was designed by allocating the water injection rate based on the combination of the pore volume and permeability variation coefficient; the liquid production rate based on the combination of the remaining oil saturation, formation coefficient, and pressure; and the chemical agent concentration based on the combination of the pressure and permeability variation coefficient. Then, the EOR performance of the allocated development scheme was compared with that of the basic uniform scheme, as shown in Figure 10. Compared with the basic uniform scheme, the water cut of the scheme allocated by the controlling factors rose slowly and prolonged the development time. When the water cut reached 98%, the oil recovery of the allocated development scheme increased by 1.13% even though the same amount of chemical agent was used relative to the uniform scheme. Therefore, the main controlling factors can be used to easily design the optimal development scheme for heterogeneous composite flooding in a post-polymer flooding reservoir.
Figure 10.
Comparison of oil recovery and water cut.
4. Validation of Main Controlling Factors
According to the geological characteristics and production history of Oilfield A, a numerical simulation model with several well groups was established. The model adopted orthogonal grids and contained a total of 23,763 grids. Among them, the number of grids in the X and Y directions was 89, and the length of each grid was 10.6 m. It was divided into three layers longitudinally with an average effective thickness of 11.0 m. The area of the reservoir simulation model was 0.88 km2. The average permeability of the reservoir simulation model was 1067 × 10−3 μm2. The oil viscosity of the simulation model was 26 mPa·s. The reservoir pressure was 20.4 Mpa. The geological reserves of the simulation reservoir were 193 × 104 t. The original oil saturation was 0.65. The pore volume was 291.87 × 103 m3. The reservoir depth ranged from 1995 m to 2055 m. Figure 11 shows the schematic of the numerical simulation model. In the model, there were 15 production wells and 10 injection wells.
Figure 11.
Schematic of numerical simulation model.
Based on the research results on region separation and the main factors controlling parameter allocation for each well in heterogeneous composite flooding after polymer flooding, the water injection rates for each well were allocated based on the combination of the pore volume and permeability variation coefficient. The liquid production rates for each well were allocated based on the combination of the remaining oil saturation, formation coefficient, and pressure. The chemical agent concentrations for each well were allocated based on the combination of pressure and permeability variation coefficient.
According to the main controlling factors, a set of development programs for heterogeneous composite flooding after polymer flooding were obtained. Figure 12 details the allocation results and the field schemes for the water injection rates, liquid production rates, and chemical agent concentration. As can be seen from these graphs, the allocation trends for the allocation and field schemes were similar, although they were obviously different.
Figure 12.
Comparison of the allocation results of development parameters.
Figure 13 shows a comparison of the development performance between the two schemes. Compared with the field scheme, the allocation scheme had a higher water cut and a relatively lower oil recovery in the early stage. However, the water cut decreases more rapidly in the middle stage and rises more slowly in the late stage, and the oil recovery gradually increases. By the end of the development, the oil recovery of the allocation scheme is 1.34% higher, and the water cut funnel is 1.66% deeper.
Figure 13.
Comparison of the development performance.
5. Conclusions
In this paper, the main factors controlling the development performance of heterogeneous composite flooding in a post-polymer flooding reservoir was carried out. Firstly, the reservoir model was established, and the simulation domain was separated into several regions with one injection well or one production well located at the center. Then, the statistical indexes of each region were calculated, and on that basis, the water injection rate, liquid production rate, and chemical agent concentration were allocated for each well. Finally, the enhanced oil recovery performance of each development scheme was simulated and analyzed, and the statistical indexes corresponding to the best performance were regarded as the main controlling factors that should be used to design development parameters for heterogeneous composite flooding after polymer flooding.
The results showed that the main controlling factors for the allocation of the water injection rate were the combination of the pore volume and permeability variation coefficient. The main controlling factors for the liquid production rate were the combination of the remaining oil saturation, formation coefficient, and reservoir pressure. The main controlling factors for the chemical agent concentration were the combination of the pressure and permeability variation coefficient. When the chemical agent concentration was held constant, the development scheme with the injection and production parameters that were allocated by the main controlling factors further increased the EOR by 1.13%.
These findings concerning the main factors controlling development parameter allocation were validated using practical applications in several well groups of an actual reservoir model. Compared with the field scheme, the allocation scheme based on the main controlling factors increased the oil recovery by 1.34% and decreased the water cut funnel by 1.66%.
Author Contributions
Conceptualization, K.Z.; Methodology, F.Z.; Data curation, X.Z. All authors have read and agreed to the published version of the manuscript.
Funding
This research was funded by the Shandong Provincial Natural Science Foundation (Grant No. ZR2021ME072) and the open foundation of Hubei Key Laboratory of Theory and Application of Advanced Materials Mechanics (Wuhan University of Technology).
Data Availability Statement
Data are available on request from the corresponding author.
Conflicts of Interest
Author Fangjian Zhao was employed by the company Shengli Oilfield Company. The remaining authors declare that the research was conducted in the absence of any commercial or financial relationships that could be construed as a potential conflict of interest.
References
- Chen, X.; Feng, Q.; Liu, W.; Sepehrnoori, K. Modeling preformed particle gel surfactant combined flooding for enhanced oil recovery after polymer flooding. Fuel 2017, 194, 42–49. [Google Scholar] [CrossRef]
- Malozyomov, B.V.; Martyushev, N.V.; Kukartsev, V.V.; Tynchenko, V.S.; Bukhtoyarov, V.V.; Wu, X.; Tyncheko, Y.A.; Kukartsev, V.A. Overview of Methods for Enhanced Oil Recovery from Conventional and Unconventional Reservoirs. Energies 2023, 16, 4907. [Google Scholar] [CrossRef]
- Wu, D.; Zhou, K.; Hou, J.; An, Z.; Zhai, M.; Liu, W. Experimental study on combining heterogeneous phase composite flooding and streamline adjustment to improve oil recovery in heterogeneous reservoirs. J. Pet. Sci. Eng. 2020, 194, 107478. [Google Scholar] [CrossRef]
- Alhuraishawy, A.K.; Bai, B.; Imqam, A.; Wei, M. Experimental study of combining low salinity water flooding and preformed particle gel to enhance oil recovery for fractured carbonate reservoirs. Fuel 2018, 214, 342–350. [Google Scholar] [CrossRef]
- Wu, D.; Zhou, K.; An, Z.; Hou, J. Experimental study on the matching relationship between PPG size and reservoir heterogeneity. In Proceedings of the SPE International Heavy Oil Conference and Exhibition, Kuwait City, Kuwait, 10–12 December 2018. [Google Scholar]
- Gong, H.; Zhang, H.; Xu, L.; Li, K.; Yu, L.; San, Q.; Li, Y.; Dong, M. The synergistic effect of branched-preformed particle gel and hydrolyzed polyacrylamide on further-enhanced oil recovery after polymer flooding. Energy Fuels 2017, 31, 7904–7910. [Google Scholar] [CrossRef]
- He, H.; Fu, J.; Zhao, H.; Yuan, F.; Guo, L.; Li, Z.; Wang, X.; Peng, H. Synergistic mechanism of hydrolyzed polyacrylamide enhanced branched-preformed particle gel for enhanced oil recovery in mature oilfields. Energy Fuels 2018, 32, 11093–11104. [Google Scholar] [CrossRef]
- Zhou, K.; Hou, J.; Sun, Q.; Guo, L.; Bing, S.; Du, Q.; Yao, C. An efficient LBM-DEM simulation method for suspensions of deformable preformed particle gels. Chem. Eng. Sci. 2017, 167, 288–296. [Google Scholar] [CrossRef]
- Hou, J. Network modeling of residual oil displacement after polymer flooding. J. Pet. Sci. Eng. 2007, 59, 321–332. [Google Scholar] [CrossRef]
- Gao, C.H. Scientific research and field applications of polymer flooding in heavy oil recovery. J. Pet. Explor. Prod. Technol. 2011, 1, 65–70. [Google Scholar] [CrossRef]
- Isametova, M.E.; Nussipali, R.; Martyushev, N.V.; Malozyomov, B.V.; Efremenkov, E.A.; Isametov, A. Mathematical Modeling of the Reliability of Polymer Composite Materials. Mathematics 2022, 10, 3978. [Google Scholar] [CrossRef]
- Ampomah, W.; Balch, R.; Cather, M.; Will, R.; Gunda, D.; Dai, Z.; Soltanian, M. Optimum design of CO2 storage and oil recovery under geological uncertainty. Appl. Energy 2017, 195, 80–92. [Google Scholar] [CrossRef]
- Chen, C.; Gu, M. Investigation of cyclic CO2 huff-and-puff recovery in shale oil reservoirs using reservoir simulation and sensitivity analysis. Fuel 2017, 188, 102–111. [Google Scholar] [CrossRef]
- Wu, Z.; Liu, H.; Zhang, Z.; Wang, X. A novel model and sensitive analysis for productivity estimate of nitrogen assisted cyclic steam stimulation in a vertical well. Int. J. Heat Mass Transf. 2018, 126, 391–400. [Google Scholar] [CrossRef]
- Khishvand, M.; Khamehchi, E.; Nokandeh, N.R. A nonlinear programming approach to gas lift allocation optimization. Energy Sources Part A Recover. Util. Environ. Eff. 2015, 37, 453–461. [Google Scholar] [CrossRef]
- Yang, F.; Zhang, F.X.; Yang, X.T.; Niu, X.N.; Liu, H.T.; Wang, Y.; Lei, T. Production Prediction Model of Fractured Sandstone Gas Reservoir and Sensitivity Analysis. Adv. Mater. Res. 2012, 524–527, 1526–1531. [Google Scholar] [CrossRef]
- Ghadami, N.; Das, A.K.; Tunio, K.H.; Sabzabadi, A. Sensitivity analysis and optimization of alkaline-surfactant flooding in a thin clastic reservoir. In Proceedings of the International Petroleum Technology Conference, Doha, Qatar, 6–9 December 2015. [Google Scholar]
- De Oliveira, L.F.L.; Schiozer, D.J.; Delshad, M. Impacts of polymer properties on field indicators of reservoir development projects. J. Pet. Sci. Eng. 2016, 147, 346–355. [Google Scholar] [CrossRef]
- Janiga, D.; Czarnota, R.; Stopa, J.; Wojnarowski, P.; Kosowski, P. Performance of nature inspired optimization algorithms for polymer enhanced oil recovery process. J. Pet. Sci. Eng. 2017, 154, 354–366. [Google Scholar] [CrossRef]
- Pi, Y.; Su, Z.; Cao, R.; Li, B.; Liu, J.; Fan, X.; Zhao, M. Experimental Study on Enhanced Oil Recovery of PPG/ASP Heterogeneous System after Polymer Flooding. Gels 2023, 9, 427. [Google Scholar] [CrossRef]
- Rajabi-Kochi, M.; Khamehchi, E. Integrated production optimization of an oil field based on constructing of a proxy model using DOE methods. J. Pet. Explor. Prod. Technol. 2020, 10, 2465–2482. [Google Scholar] [CrossRef]
- Firozjaii, A.M.; Akbari, M.; Zargar, G. Sensitivity analysis and optimization on effective parameters during chemical enhanced oil recovery (CEOR) using experimental design and numerical simulation. Energy Sources Part A Recover. Util. Environ. Eff. 2019, 41, 1847–1861. [Google Scholar] [CrossRef]
- Bengar, A.; Moradi, S.; Ganjeh-Ghazvini, M.; Shokrollahi, A. Optimized polymer flooding projects via combination of experimental design and reservoir simulation. Petroleum 2017, 3, 461–469. [Google Scholar] [CrossRef]
- Kumar, A.; Mandal, A. Core-scale modelling and numerical simulation of zwitterionic surfactant flooding: Designing of chemical slug for enhanced oil recovery. J. Pet. Sci. Eng. 2020, 192, 107333. [Google Scholar] [CrossRef]
Disclaimer/Publisher’s Note: The statements, opinions and data contained in all publications are solely those of the individual author(s) and contributor(s) and not of MDPI and/or the editor(s). MDPI and/or the editor(s) disclaim responsibility for any injury to people or property resulting from any ideas, methods, instructions or products referred to in the content. |
© 2024 by the authors. Licensee MDPI, Basel, Switzerland. This article is an open access article distributed under the terms and conditions of the Creative Commons Attribution (CC BY) license (https://creativecommons.org/licenses/by/4.0/).












