Atmospheric Cold Plasma to Maintain Sea Bass Quality: An Opportunity for International Fish Trade
Abstract
1. Introduction
2. Materials and Methods
2.1. Atmospheric Cold Plasma System and Treatment
2.2. Sensory Evaluation
2.3. Microbiological Analyses
2.4. Trimethylamine Nitrogen
2.5. Thiobarbituric Acid-Reactive Substances
2.6. Moisture and Water Activity
2.7. Color Measurement
2.8. Texture Profile Analysis
2.9. Statistical Analyses
3. Results and Discussion
3.1. Sensory Evaluation
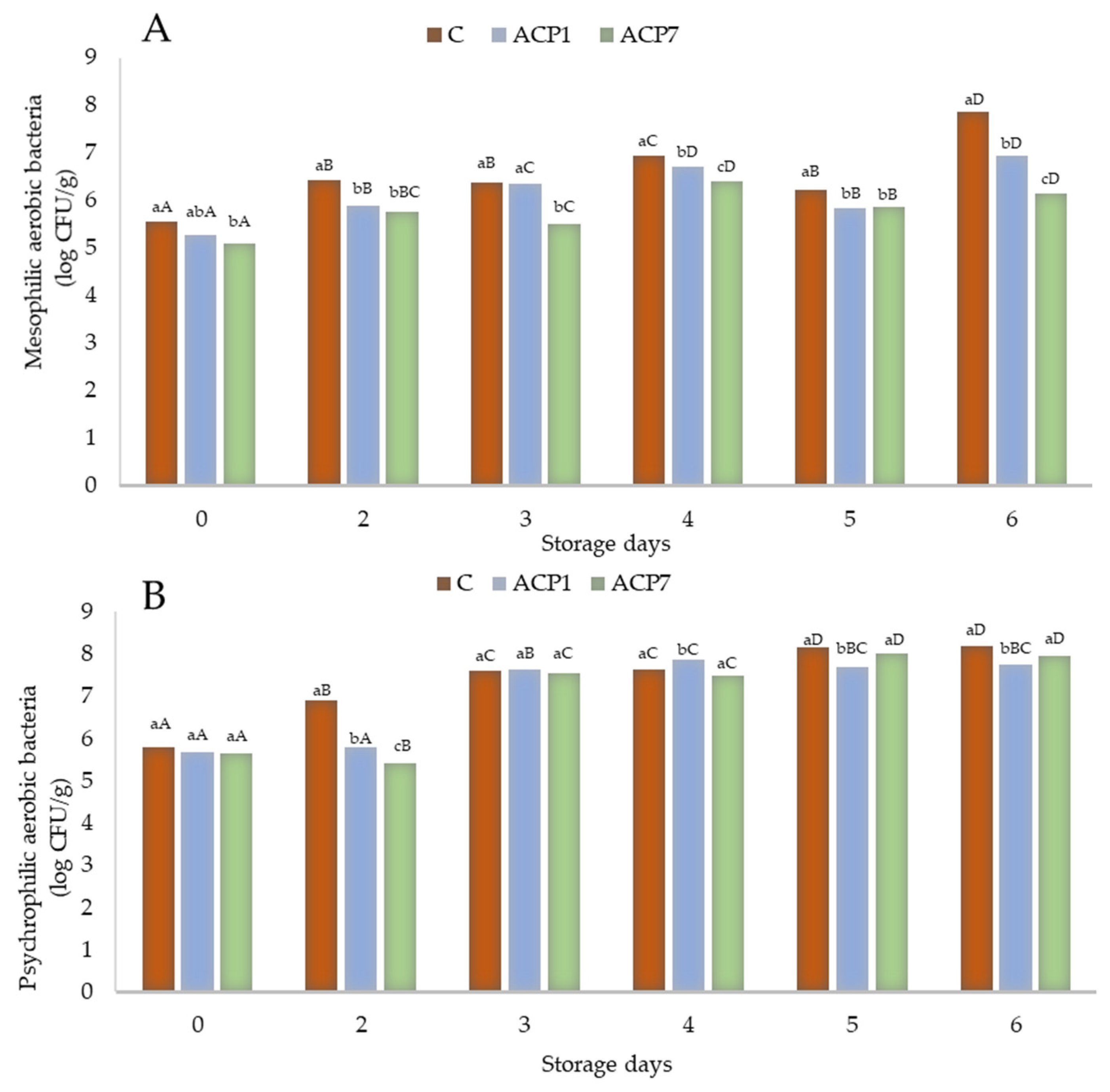
3.2. Mesophilic and Psychrophilic Aerobic Bacteria
3.3. Trimethylamine Nitrogen (TMA-N)
3.4. Thiobarbituric Acid-Reactive Substances (TBARS)
3.5. Moisture Content and Water Activity (aw)
3.6. Color Measurements
3.7. Texture Profile Analysis (TPA)
4. Conclusions
Author Contributions
Funding
Data Availability Statement
Conflicts of Interest
References
- Moutiq, R.; Misra, N.N.; Mendonça, A.; Keener, K. In-package decontamination of chicken breast using cold plasma technology: Microbial, quality and storage studies. Meat Sci. 2020, 159, 107942. [Google Scholar] [CrossRef] [PubMed]
- Giannoglou, M.; Stergiou, P.; Dimitrakellis, P.; Gogolides, E.; Stoforos, N.G.; Katsaros, G. Effect of Cold Atmospheric Plasma processing on quality and shelf-life of ready-to-eat rocket leafy salad. Innov. Food Sci. Emerg. Technol. 2020, 66, 102502. [Google Scholar] [CrossRef]
- Chen, J.; Zhe Wangi, S.; Chen, J.; Chen, D.; Deng, S.; Xu, B. Effect of cold plasma on maintaining the quality of chub mackerel (Scomber japonicus): Biochemical and sensory attributes. J. Sci. Food Agric. 2019, 99, 39–46. [Google Scholar] [CrossRef] [PubMed]
- Domonkos, M.; Tichá, P.; Trejbal, J.; Demo, P. Applications of Cold Atmospheric Pressure Plasma Technology in Medicine, Agriculture and Food Industry. Appl. Sci. 2021, 11, 4809. [Google Scholar] [CrossRef]
- Izmailov, A.; Khort, D.; Filippov, R.; Pishchalnikov, R.Y.; Simakin, A.V.; Shogenov, Y. Improvement of Winter Graft Techniques Using Cold Plasma and Plasma-Treated Solution on Cherry Cultures. Appl. Sci. 2022, 12, 4953. [Google Scholar] [CrossRef]
- Yao, C.; Chen, S.; Xu, G.; Chang, Z.; Mu, H.; Sun, A.; Zhang, G. Transition from glow-like to streamer-like discharge in atmospheric pressure dielectric barrier discharge controlled by variable dielectric surface layer permittivity. Phys. Plasmas 2019, 26, 060702. [Google Scholar] [CrossRef]
- Wang, J.; Fu, T.; Wang, Y.; Zhang, J. Effects of High-Voltage Atmospheric Cold Plasma Treatment on Microbiological and Quality Characters of Tilapia Fillets. Foods 2022, 11, 2398. [Google Scholar] [CrossRef]
- Wu, Y.; Feng, X.; Zhu, Y.; Li, S.; Hu, Y.; Yao, Y.; Zhou, N. The Effect of Atmospheric Dielectric Barrier Discharge Cold Plasma Treatment on the Nutritional and Physicochemical Characteristics of Various Legumes. Foods 2023, 12, 3260. [Google Scholar] [CrossRef]
- Tarasov, A.; Bochkova, A.; Muzyukin, I.; Chugunova, O.; Stozhko, N. The Effect of Pre-Treatment of Arabica Coffee Beans with Cold Atmospheric Plasma, Microwave Radiation, Slow and Fast Freezing on Antioxidant Activity of Aqueous Coffee Extract. Appl. Sci. 2022, 12, 5780. [Google Scholar] [CrossRef]
- Özdemir, E.; Başaran, P.; Kartal, S.; Akan, T. Cold plasma application to fresh green leafy vegetables: Impact on microbiology and product quality. Compr. Rev. Food Sci. Food Saf. 2023, 22, 4484–4515. [Google Scholar] [CrossRef]
- Olatunde, O.O.; Chantakun, K.; Benjakul, S. Microbial, chemical qualities and shelf life of blue swimming crab (Portunus armatus) lump meat as influenced by in-package high voltage cold plasma treatment. Food Biosci. 2021, 43, 101274. [Google Scholar] [CrossRef]
- Coutinho, N.M.; Silveira, M.R.; Rocha, R.S.; Freitas, M.Q.; Duarte, M.C.K.H.; Quero, R.F.; Pimentel, T.C.; Esmerino, E.A.; Silva, M.C.; Cruz, A.G. Cold Plasma. In Sustainable Food Processing and Engineering Challenges; Galanakis, C.M., Ed.; Academic Press: London, UK, 2021; pp. 109–135. [Google Scholar]
- FAO. Globefish, Information and Analysis on Markets and Trade of Fisheries and Aquaculture products. Available online: https://openknowledge.fao.org/server/api/core/bitstreams/bef22e68-af53-47f4-9433-b5c3415472d2/content (accessed on 6 September 2024).
- Albertos, I.; Martin-Diana, A.B.; Cullen, P.J.; Tiwari, B.K.; Ojha, K.S.; Bourke, P.; Álvarez, C.; Rico, D. Effects of dielectric barrier discharge (DBD) generated plasma on microbial reduction and quality parameters of fresh mackerel (Scomber scombrus) fillets. Innov. Food Sci. Emerg. Technol. 2017, 44, 117–122. [Google Scholar] [CrossRef]
- Albertos, I.; Martin-Diana, A.B.; Cullen, P.J.; Tiwari, B.K.; Ojha, K.S.; Bourke, P.; Rico, D. Shelf-life extension of herring (Clupea harengus) using in-package atmospheric plasma technology. Innov. Food Sci. Emerg. Technol. 2019, 53, 85–91. [Google Scholar] [CrossRef]
- Olatunde, O.O.; Benjakul, S.; Vongkamjan, K. High voltage cold atmospheric plasma: Antibacterial properties and its effect on quality of Asian sea bass slices. Innov. Food Sci. Emerg. Technol. 2019, 52, 305–312. [Google Scholar] [CrossRef]
- Olatunde, O.O.; Benjakul, S.; Vongkamjan, K. Microbial diversity, shelf-life and sensory properties of Asian sea bass slices with combined treatment of liposomal encapsulated ethanolic coconut husk extract and high voltage cold plasma. LWT Food Sci. Technol. 2020, 134, 110232. [Google Scholar] [CrossRef]
- Koddy, J.K.; Miao, W.; Hatab, S.; Tang, L.; Xu, H.; Nyaisaba, B.M.; Chen, M.; Deng, S. Understanding the role of atmospheric cold plasma (ACP) in maintaining the quality of hairtail (Trichiurus lepturus). Food Chem. 2021, 343, 128418. [Google Scholar] [CrossRef]
- Kogelschatz, U. Filamentary, patterned, and diffuse barrier discharges. IEEE Trans. Plasma Sci. 2002, 30, 1400–1408. [Google Scholar] [CrossRef]
- Saifutdinov, A.I.; Saifutdinova, A.A.; Timerkaev, B.A. Numerical study of the voltage waveform effect on the spatiotemporal characteristics of a dielectric barrier microdischarge in argon. Plasma Phys. Rep. 2018, 44, 359–368. [Google Scholar] [CrossRef]
- Akan, T.; Durmuş, Ç. A surface dielectric barrier discharge reactor for biological treatments. J. Electrost. 2023, 126, 103863. [Google Scholar] [CrossRef]
- Stone, H.; Sidel, J.L. Sensory Evaluation Practices; Elsevier Academic Press: Amsterdam, The Netherlands, 2004; p. 377. [Google Scholar]
- Doğruyol, H.; Ulusoy, S.; Mol, S.; Ucok Alakavuk, D. Effect of different plant extracts added to ice on sensory preference of sliced salmon. Aquat. Sci. Eng. 2021, 36, 159–165. [Google Scholar] [CrossRef]
- Baumgart, J. Lebensmittel tierischer Herkunft, Feinkosterzeugnisse, gefrorene, tiefgefrorene und getrocknete lebensmittel, Fertiggerichte, hitzekonservierte Lebensmittel, Speiseeis, Zucker, Kakao, Zuckerwaren, Rohmassen. In Mikrobiologische Untersuchung von Lebensmitteln; Baumgart, J., von Jürgen Firnhaber, u.M., Spicher, G., Eds.; Behr’s Verlag: Hamburg, Germany, 1986; Volume 207, ISBN 3-922528-91-0. [Google Scholar]
- Schormüller, J. Handbuch der Lebensmittel Chemie: Band III/2 Teil. In Tierische Lebensmittel Eier, Fleisch, Buttermilch; Springer: Berlin/Heidelberg, Germany; New York, NY, USA, 1968; pp. 1341–1397, 1561, 1578, 1584. [Google Scholar]
- Kanwate, B.W.; Karkal, S.S.; Kudre, T.G. Impact of antioxidant potential of rohu (Labeo rohita) swim bladder gelatin hydrolysate on oxidative stability, textural and sensory properties of fish sausage enriched with polyunsaturated fatty acids. J. Food Sci. Technol. 2023, 61, 1083–1093. [Google Scholar] [CrossRef] [PubMed]
- Matissek, R.; Steiner, G. Lebensmittelanalytik: Grundzüge·Methoden·Anwendungen; Springer: Berlin/Heidelberg, Germany, 2006. [Google Scholar]
- Sharma, G.; Bala, R. Digital Color Imaging Handbook; CRC Press: Boca Raton, FL, USA, 2003; ISBN 0-8493-0900-X. [Google Scholar]
- Giannoglou, M.; Dimitrakellis, P.; Efthimiadou, A.; Gogolides, E.; Katsaros, G. Comparative study on the effect of cold atmospheric plasma, ozonation, pulsed electromagnetic fields and high-pressure technologies on sea bream fillet quality indices and shelf life. Food Eng. Rev. 2021, 13, 175–184. [Google Scholar] [CrossRef]
- Olatunde, O.O.; Benjakul, S.; Vongkamjan, K. Cold plasma combined with liposomal ethanolic coconut husk extract: A potential hurdle technology for shelf-life extension of Asian sea bass slices packaged under modified atmosphere. Innov. Food Sci. Emerg. Technol. 2020, 65, 102448. [Google Scholar] [CrossRef]
- De Souza Silva, D.A.; da Silva Campelo, M.C.; de Oliveira Soares Reboucas, L.; de Oliveira Vitoriano, J.; Alves, C.; da Silva, J.B.A.; de Oliveira Lima, P. Use of cold atmospheric plasma to preserve the quality of white shrimp (Litopenaeus vannamei). J. Food Prot. 2019, 82, 1217–1223. [Google Scholar] [CrossRef] [PubMed]
- Choi, S.; Puligundla, P.; Mok, C. Microbial decontamination of dried Alaska pollock shreds using corona discharge plasma jet: Effects on physicochemical and sensory characteristics. J. Food Sci. 2016, 81, M952–M957. [Google Scholar] [CrossRef]
- Choi, S.; Puligundla, P.; Mok, C. Impact of corona discharge plasma treatment on microbial load and physicochemical and sensory characteristics of semi-dried squid (Todarodes pacificus). Food Sci. Biotechnol. 2017, 26, 1137–1144. [Google Scholar] [CrossRef]
- Puligundla, P.; Choi, S.; Mok, C. Microbial decontamination of gwamegi (Semi dried Pacific Saury) using corona discharge plasma jet, including physicochemical and sensory evaluation. J. Aquat. Food Prod. 2018, 27, 274–283. [Google Scholar] [CrossRef]
- Park, S.Y.; Ha, S. Application of cold oxygen plasma for the reduction of Cladosporium cladosporioides and Penicillium citrinum on the surface of dried filefish (Stephanolepis cirrhifer) fillets. Int. J. Food Sci. Technol. 2015, 50, 966–973. [Google Scholar] [CrossRef]
- Chen, J.; Rosenthal, A. Food texture and structure. In Woodhead Publishing Series in Food Science, Technology and Nutrition, Modifying Food Texture; Chen, J., Rosenthal, A., Eds.; Woodhead Publishing: Sawston, UK, 2015; pp. 3–24. [Google Scholar]
- Elliot, M.; Chen, J.; Chen, D.; Hu, X.; Ekaterina, N.; Deng, S. Effects of a cold plasma-assisted shrimp processing chain on biochemical and sensory quality alterations in Pacific white shrimps (Penaeus vannamei). Food Sci. Technol. Int. 2021, 28, 683–693. [Google Scholar] [CrossRef]
- Pankaj, S.K.; Wan, Z.; Keener, K.M. Effects of cold plasma on food quality: A review. Foods 2018, 7, 4. [Google Scholar] [CrossRef] [PubMed]
- ICMSF (International Commission on Microbiological Specifications for Foods). Sampling Plans for Fish and Shellfish. In Microorganisms in Foods. Sampling for Microbiological Analysis: Principles and Scientific Applications, 2nd ed.; University of Toronto Press: Toronto, ON, Canada, 1986; Volume 2, pp. 181–196. [Google Scholar]
- Mol, S.; Erkan, N.; Ucok, D.; Tosun, S.Y. Effect of psychrophilic bacteria to estimate fish quality. J. Muscle Foods 2007, 18, 120–128. [Google Scholar] [CrossRef]
- Fukui, T.; Masuno, K.; Makita, Y.; Fujiwara, S.; Shiota, G.; Imamura, Y.; Shiba, A.; Wang, P.L. Antimicrobial effects of ozone gel against periodontal bacteria. J. Hard Tissue Biol. 2014, 23, 445–448. [Google Scholar] [CrossRef][Green Version]
- Huth, K.; Quirling, M.; Lenzke, S.; Paschos, E.; Kamereck, K.; Brand, K.; Hickel, R.; Ilie, N. Effectiveness of ozone against periodontal pathogenic microorganisms. Eur. J. Oral Sci. 2011, 119, 204–210. [Google Scholar] [CrossRef]
- Zahar, I.; Yuliani, Y.; Yulianto, E.; Meliza, M.; Susan, A.I.; Sumariyah, S.; Nur, M. Determination of ozone distribution in fish cold storage dedicated plasma ozone technology. MATEC Web. Conf. 2018, 197, 02005. [Google Scholar] [CrossRef][Green Version]
- Han, L.; Patil, S.; Boehm, D.; Milosavljević, V.; Cullen, P.; Bourke, P. Mechanisms of inactivation by high-voltage atmospheric cold plasma differ for Escherichia coli and Staphylococcus aureus. Appl. Environ. Microbiol. 2016, 82, 450–458. [Google Scholar] [CrossRef]
- Bozduman, F.; Seçgin, Y.; Yilmaz, Ş.; Öner, Z.; Solmaz, H. Investigation of the effects of atmospheric pressure cold plasma on bacterial isolates. J. MTU 2023, 2, 65–69. [Google Scholar] [CrossRef]
- Pidaei, F.; Sharifan, A.; Masoud, R. The effect of cold plasma (combined argon/helium gases) on microbial contamination and physicochemical properties of minced sheep meat. J. Med. Microbiol. Infect. Dis. 2019, 7, 12–18. [Google Scholar] [CrossRef]
- Pavlovich, M.; Clark, D.; Graves, D. Quantification of air plasma chemistry for surface disinfection. Plasma Sources Sci. Technol. 2014, 23, 065036. [Google Scholar] [CrossRef]
- Jungbauer, G.; Moser, D.; Müller, S.; Pfister, W.; Sculean, A.; Eick, S. The antimicrobial effect of cold atmospheric plasma against dental pathogens—A systematic review of in-vitro studies. Antibiotics 2021, 10, 211. [Google Scholar] [CrossRef]
- Adebayo-Tayo, B.C.; Odu, N.N.; Mu, M.; Okonko, T.O. Multi-Drug Resistant (MDR) organisms isolated from seafoods in Uyo, South-Southern Nigeria. Nat. Sci. 2012, 10, 61–70. [Google Scholar]
- Kulawik, P.; Alvarez, C.; Cullen, P.J.; Aznar-Roca, R.; Mullen, A.M.; Tiwari, B. The effect of non-thermal plasma on the lipid oxidation and microbiological quality of sushi. Innov. Food Sci Emerg. Technol. 2018, 45, 412–417. [Google Scholar] [CrossRef]
- López, M.; Calvo, T.; Prieto, M.; Múgica-Vidal, R.; Muro-Fraguas, I.; Alba-Elías, F.; Alvarez-Ordóñez, A. A review on non-thermal atmospheric plasma for food preservation: Mode of action, determinants of effectiveness, and applications. Front. Microbiol. 2019, 10, 622. [Google Scholar] [CrossRef]
- Fernández, A.; Thompson, A. The inactivation of Salmonella by cold atmospheric plasma treatment. Food Res. Int. 2012, 45, 678–684. [Google Scholar] [CrossRef]
- Summers, G.; Wibisono, R.D.; Hedderley, D.I.; Fletcher, G.C. Trimethylamine oxide content and spoilage potential of New Zealand commercial fish species, New Zealand. J. Mar. Freshw. Res. 2017, 51, 393–405. [Google Scholar] [CrossRef]
- FAO (Food and Agriculture Organization). Manuals of food quality control. In Food Analysis: Quality, Adulteration and Tests of Identity; FAO: Rome, Italy, 1986; pp. 140–142. ISSN 0254-4725. [Google Scholar]
- Olatunde, O.O.; Benjakul, S.; Vongkamjan, K. Combined effects of high voltage cold atmospheric plasma and antioxidants on the qualities and shelf-life of Asian sea bass slices. Innov. Food Sci. Emerg. Technol. 2019, 54, 113–122. [Google Scholar] [CrossRef]
- Singh, A.; Benjakul, S. The combined effect of squid pen chitooligosaccharides and high voltage cold atmospheric plasma on the shelf-life extension of Asian sea bass slices stored at 4 °C. Innov. Food Sci. Emerg. Technol. 2020, 64, 102339. [Google Scholar] [CrossRef]
- Olatunde, O.O.; Benjakul, S.; Vongkamjan, K. Shelf-life of refrigerated Asian sea bass slices treated with cold plasma as affected by gas composition in packaging. Int. J. Food Microbiol. 2020, 324, 108612. [Google Scholar] [CrossRef]
- Nunes, M.L.; Cardinal, M.; Mendes, R.; Morao Campos, R.; Bandarra, N.M.; Lourenço, H.; Jerome, M. Effect of season and storage on proteins and lipids of Sardine (Sardine pilchardus) minces and surimi. In Quality Assurance in the Fish Industry; Huss, H.H., Jakobsen, M., Liston, J., Eds.; Elsevier: Amsterdam, The Netherlands, 1992; pp. 73–81. [Google Scholar]
- Ozogul, Y.; Yuvka, İ.; Ucar, Y.; Durmus, M.; Kösker, A.R.; Öz, M.; Ozogul, F. Evaluation of effects of nanoemulsion based on herb essential oils (rosemary, laurel, thyme and sage) on sensory, chemical and microbiological quality of rainbow trout (Oncorhynchus mykiss) fillets during ice storage. LWT Food Sci. Technol. 2017, 75, 677–684. [Google Scholar] [CrossRef]
- Kim, J.; Lee, E.; Cho, E.; Kim, Y. Inactivation of Campylobacter jejuni using radio frequency atmospheric pressure plasma on agar plates and chicken hams. Korean J. Food Sci. Anim. Resour. 2013, 33, 317–324. [Google Scholar] [CrossRef]
- Rathod, N.B.; Ranveer, R.C.; Bhagwat, P.K.; Ozogul, F.; Benjakul, S.; Pillai, S.; Annapure, U.S. Cold plasma for the preservation of aquatic food products: An overview. Compr. Rev. Food Sci. Food Saf. 2021, 20, 4407–4425. [Google Scholar] [CrossRef] [PubMed]
- Lin, H.M.; Zhang, S.; Zheng, R.S.; Miao, J.Y.; Deng, S.G. Effect of atmospheric cold plasma treatment on ready-to-eat wine-pickled Bullacta exarata. LWT 2020, 120, 108953. [Google Scholar] [CrossRef]
- Adekunte, A.; Tiwari, B.; Cullen, P.; Scannell, A.; O’Donnell, C. Effect of sonication on colour, ascorbic acid and yeast inactivation in tomato juice. Food Chem. 2010, 122, 500–507. [Google Scholar] [CrossRef]
- Sruthi, N.U.; Josna, K.; Pandiselvam, R.; Kothakota, A.; Gavahian, M.; Khaneghah, A.M. Impacts of cold plasma treatment on physicochemical, functional, bioactive, textural, and sensory attributes of food: A comprehensive review. Food Chem. 2022, 368, 130809. [Google Scholar] [CrossRef]
- Min, S.C.; Roh, S.H.; Niemira, B.A.; Sites, J.E.; Boyd, G.; Lacombe, A. Dielectric barrier discharge atmospheric cold plasma inhibits Escherichia coli O157:H7, Salmonella, Listeria monocytogenes, and Tulane virus in Romaine lettuce. Int. J. Food Microbiol. 2016, 237, 114–120. [Google Scholar] [CrossRef]
- Tappi, S.; Berardinelli, A.; Ragni, L.; Dalla Rosa, M.; Guarnieri, A.; Rocculi, P. Atmospheric gas plasma treatment of fresh-cut apples. Innov. Food Sci. Emerg. Technol. 2014, 21, 114–122. [Google Scholar] [CrossRef]
- Ziuzina, S.; Patil Cullen, P.J.; Keener, K.M.; Bourke, P. Atmospheric cold plasma inactivation of Escherichia coli, Salmonella enterica serovar Typhimurium and Listeria monocytogenes inoculated on fresh produce. Food Microbiol. 2014, 42, 109–116. [Google Scholar] [CrossRef]
- Mahnot, N.K.; Mahanta, C.L.; Farkas, B.E.; Keener, K.M.; Misra, N. Atmospheric cold plasma inactivation of Escherichia coli and Listeria monocytogenes in tender coconut water: Inoculation and accelerated shelf-life studies. Food Control 2019, 106, 106678. [Google Scholar] [CrossRef]
- Lee, K.H.; Kim, H.; Woo, K.S.; Jo, C.; Kim, J.; Kim, S.H.; Park, H.Y.; Oh, S.; Kim, W.H. Evaluation of cold plasma treatments for improved microbial and physicochemical qualities of brown rice. LWT 2016, 73, 442–447. [Google Scholar] [CrossRef]





| Day 0 | Day 2 | Day 3 | Day 4 | Day 5 | Day 6 | |
|---|---|---|---|---|---|---|
| C | 8.00 ± 0.00 aA | 6.76 ± 0.83 aB | 6.44 ± 0.51 aB | 5.68 ± 0.56 aC | 3.72 ± 0.46 aD | 3.00 ± 0.65 aE | 
| ACP1 | 8.00 ± 0.00 aA | 7.28 ± 0.61 bB | 7.20 ± 0.70 bB | 6.30 ± 0.72 bC | 5.00 ± 0.96 bD | 3.28 ± 0.54 aE | 
| ACP7 | 8.00 ± 0.00 aA | 8.04 ± 0.61 cA | 7.92 ± 0.28 cA | 7.00 ± 0.82 cB | 6.12 ± 0.44 cC | 4.12 ± 1.01 bD | 
| Day 0 | Day 2 | Day 3 | Day 4 | Day 5 | Day 6 | |
|---|---|---|---|---|---|---|
| Hardness | ||||||
| C | 1.13 ± 0.30 aAB | 1.25 ± 0.60 aA | 0.99 ± 0.10 aAB | 0.49 ± 0.38 aB | 0.66 ± 0.22 aB | 1.38 ± 0.39 aA | 
| ACP1 | 1.09 ± 0.53 aA | 1.1 ± 0.16 aA | 1.19 ± 0.10 bA | 1.17 ± 0.42 aA | 0.7 ± 0.23 aA | 0.84 ± 0.24 aA | 
| ACP7 | 1.03 ± 0.16 aAB | 0.74 ± 0.3 aB | 1.09 ± 0.04 cAB | 1.12 ± 0.20 aAB | 0.7 ± 0.14 aB | 1.35 ± 0.58 aA | 
| Adhesiveness | ||||||
| C | 0.01 ± 0.01 aA | 0.03 ± 0.03 aA | 0.04 ± 0.01 aAB | 0.03 ± 0.01 aA | 0.03 ± 0.01 aA | 0.07 ± 0.01 aB | 
| ACP1 | 0.02 ± 0.01 aA | 0.01 ± 0.01 aA | 0.03 ± 0.01 bA | 0.01 ± 0.00 aA | 0.05 ± 0.03 aA | 0.05 ± 0.03a A | 
| ACP7 | 0.03 ± 0.03 aAB | 0.02 ± 0.01 aAB | 0.01 ± 0.01 bB | 0.04 ± 0.00 aAB | 0.01 ± 0.01 aAB | 0.05 ± 0.01 aA | 
| Resilience | ||||||
| C | 0.29 ± 0.00 aA | 0.29 ± 0.10 aA | 0.24 ± 0.01 aA | 0.23 ± 0.04 aA | 0.31 ± 0.02 aA | 0.25 ± 0.01 aA | 
| ACP1 | 0.33 ± 0.08 aA | 0.29 ± 0.09 aA | 0.29 ± 0.01 bA | 0.33 ± 0.08 aA | 0.28 ± 0.05 aA | 0.29 ± 0.02 aA | 
| ACP7 | 0.29 ± 0.02 aAB | 0.23 ± 0.08 aB | 0.34 ± 0.01 cA | 0.28 ± 0.06 aAB | 0.31 ± 0.04 aAB | 0.23 ± 0.08 aB | 
| Disclaimer/Publisher’s Note: The statements, opinions and data contained in all publications are solely those of the individual author(s) and contributor(s) and not of MDPI and/or the editor(s). MDPI and/or the editor(s) disclaim responsibility for any injury to people or property resulting from any ideas, methods, instructions or products referred to in the content. | 
© 2024 by the authors. Licensee MDPI, Basel, Switzerland. This article is an open access article distributed under the terms and conditions of the Creative Commons Attribution (CC BY) license (https://creativecommons.org/licenses/by/4.0/).
Share and Cite
Ulusoy, Ş.; Akan, T.; Kartal, S.; Üçok, D.; Tosun, Ş.Y.; Doğruyol, H.; Coşansu, S.; Bostan, K.; Mol, S. Atmospheric Cold Plasma to Maintain Sea Bass Quality: An Opportunity for International Fish Trade. Processes 2024, 12, 2318. https://doi.org/10.3390/pr12112318
Ulusoy Ş, Akan T, Kartal S, Üçok D, Tosun ŞY, Doğruyol H, Coşansu S, Bostan K, Mol S. Atmospheric Cold Plasma to Maintain Sea Bass Quality: An Opportunity for International Fish Trade. Processes. 2024; 12(11):2318. https://doi.org/10.3390/pr12112318
Chicago/Turabian StyleUlusoy, Şafak, Tamer Akan, Sehban Kartal, Didem Üçok, Şehnaz Yasemin Tosun, Hande Doğruyol, Serap Coşansu, Kamil Bostan, and Sühendan Mol. 2024. "Atmospheric Cold Plasma to Maintain Sea Bass Quality: An Opportunity for International Fish Trade" Processes 12, no. 11: 2318. https://doi.org/10.3390/pr12112318
APA StyleUlusoy, Ş., Akan, T., Kartal, S., Üçok, D., Tosun, Ş. Y., Doğruyol, H., Coşansu, S., Bostan, K., & Mol, S. (2024). Atmospheric Cold Plasma to Maintain Sea Bass Quality: An Opportunity for International Fish Trade. Processes, 12(11), 2318. https://doi.org/10.3390/pr12112318
 
        
 
                                                


 
                         
       