Next Article in Journal
Piperazine-Based Mixed Solvents for CO2 Capture in Bubble-Column Scrubbers and Regeneration Heat
Previous Article in Journal
Cardiovascular Drugs as Water Contaminants and Analytical Challenges in the Evaluation of Their Degradation
 
 
Font Type:
Arial Georgia Verdana
Font Size:
Aa Aa Aa
Line Spacing:
Column Width:
Background:
Article

Fault Location Method of Distribution Network Based on VGAE-GraphSAGE

by
Min Fan
1,*,
Jialu Xia
1,
Huanjiao Zhang
1 and
Xi Zhang
2
1
College of Automation, Chongqing University, No. 55, University City South Road, Chongqing 401331, China
2
Chongqing Shinan Power Supply Company, No. 13, Changdian Road, Chongqing 400060, China
*
Author to whom correspondence should be addressed.
Processes 2024, 12(10), 2179; https://doi.org/10.3390/pr12102179
Submission received: 9 September 2024 / Revised: 1 October 2024 / Accepted: 3 October 2024 / Published: 7 October 2024
(This article belongs to the Section Automation Control Systems)

Abstract

The distribution network is the main component of the power system, which undertakes the important function of power transmission and distribution. Fast and accurate distribution network fault location is one of the important means to ensure the safe and stable operation of the power system and is helpful in guiding troubleshooting, shortening the power outage time, reducing the workload of manual inspection, and reducing the social and economic losses caused by faults. Due to the development of the new distribution network, the comprehensive influence of many factors has put forward new challenges to the traditional distribution network fault location methods. In this paper, a distribution network fault location method based on the graph neural network is proposed. Firstly, the distribution network is treated as non-Euclidean graph data; secondly, variational graph auto-encoders (VGAE) are used to mine the underlying information of nodes and improve the overall anti-noise performance of the fault location method. Then the GraphSAGE model is used to aggregate the neighbor information of nodes, fully consider the influence of the surrounding lines on the target lines, and improve the output of the model to locate the distribution network line where the fault occurred. The experimental example analysis based on OpenDSS simulation software (version 9.8) proves that the proposed method has high accuracy and anti-interference, and the accuracy reached 97.81%. Moreover, the positioning result is still good in the new intelligent distribution network scenario with distributed power access, with an accuracy of 95.07% in the hybrid power generation scenario.

1. Introduction

The electric power system is closely connected with people’s production and life and is an important infrastructure supporting the normal and orderly operation of modern society. In the power system, the power distribution network faces the users directly and undertakes the important function of power transmission and distribution. The continuous improvement and innovation of fault location technology in a distribution network is an important basis for the safe and reliable operation of the distribution network. The fast and accurate location of the fault is helpful in guiding troubleshooting, shortening the power outage time, reducing the workload of manual inspection, and reducing the fault loss, so as to ensure the safe and stable operation of the power system. However, due to the increasingly complex structure of the distribution network and various operating states, the actual fault causes and fault conditions are complex and changeable. At the same time, a large number of distributed power sources are connected to the grid, increasing the randomness and uncertainty of the distribution network system. Therefore, the comprehensive influence of multiple factors poses new challenges to the traditional distribution network fault location methods.

1.1. Problem Statement

At present, the fault location technology of distribution networks is mainly divided into traditional fault location methods and automatic fault location methods. Traditional methods include the impedance method, signal injection method, and traveling wave method. These methods have their own advantages and disadvantages but often face issues such as complex distribution lines, which lead to challenges in fault location efficiency and accuracy.
The impedance method is proportional to the impedance in the circuit and the unit impedance of the line when the fault occurs. It determines the distance from the measuring point to the fault by mathematical calculation. However, the premise is that the lines are idealized models, which is rarely the case in real-world scenarios. For example, Reference [1] proposes a single-ended fault location algorithm based on the improved impedance method by using fault voltage, fault current, and line parameters. Reference [2] combines the impedance method with a correction factor to eliminate pseudo-fault points. References [3,4] further improve the method using compressed sensing theory and phasor analysis, respectively. Despite its simplicity and low cost, the impedance method’s effectiveness is limited by the complexity and non-ideal nature of actual distribution network lines. The traveling wave method is based on detecting traveling wave signals at both ends of the line when a fault occurs. References [5,6] propose improvements to the double-ended traveling wave method, such as reducing dependence on the accuracy of line electrical parameters and eliminating the influence of wave speed. This method is mature and widely used, but the accuracy of fault location can be affected due to uncertainties in wave speed, clock asynchronism, and the complex topology of distribution networks. The signal injection method can locate the fault point online by injecting a signal into the low-voltage side of the potential transformer (PT) manually and detecting it along the line. References [7,8] describe methods that inject specific signals to detect faults based on electromagnetic induction and non-power frequency characteristic currents, respectively. While these methods allow real-time monitoring, they involve high operation and maintenance costs. Meanwhile, the core focus of the above studies is to improve the accuracy and performance of fault location algorithms, without considering the impact of the relationship between distribution equipment on the accuracy of fault location.
On the other hand, automatic fault location methods leverage modern computational techniques such as matrix algorithms, genetic algorithms, and artificial neural networks. The matrix algorithm uses fault information collected by the feeder terminal unit (FTU) to construct fault and network description matrices. Reference [9] introduces an improved branch-node association matrix algorithm considering fault current direction, and Reference [10] uses multi-terminal traveling wave information to construct a fault distance matrix. Although matrix algorithms offer high detection speed and accuracy, they suffer from poor fault tolerance and adaptability when dealing with distorted signals. Genetic algorithms are random search optimization algorithms with global search capabilities. Reference [11] applies genetic algorithms to locate single-phase grounding faults in distribution network cable lines, while Reference [12] improves ant colony genetic algorithms to monitor and locate faults in transmission and transformation lines. Despite their advantages, genetic algorithms require careful adjustment of hyperparameters, and their computational cost can be high with large population sizes. Artificial neural network algorithms attempt to simulate the complex information processing mechanism of the human brain. Reference [13] proposes a fault location method for transmission lines combining genetic algorithms and neural networks to enhance accuracy. Reference [14] introduces a new feature selection method based on mutual information, and Reference [15] applies transfer learning to handle small sample training tasks in fault location. However, traditional neural network algorithms often struggle to fully leverage the topological structure of distribution networks, impacting their effectiveness. With the development of the neural network, especially the rise of the graph neural network (GNN), this method has been deeply involved in various research fields [16]. With its powerful nodal representation learning and information dissemination functions, the graph neural network can effectively capture and utilize complex relationships in graph structured data [17].
Therefore, developing a new fault location method that is efficient and accurate and has good adaptability and anti-interference capability is an important research direction in the field of distribution networks. A summary of relevant works is shown in Table 1.

1.2. Main Contributions

With the gradual expansion of the distribution network system and the integration of distributed power sources, the randomness and volatility of the system increases, making its operation more complex and dynamic. In this paper, a fault location model VGAE-GraphSAGE based on the graph neural network is proposed. Firstly, the distribution network is treated as non-Euclidean graph data. The nodes and edges in the graph represent the bus and feeder branches, respectively. The variational graph auto-encoders (VGAE) model is used to map the node-level features into independent Gaussian distributions, and the abstract feature representation of each node in the graph is obtained through sampling operations. While reducing the feature dimension of nodes, it is conducive to mining the hidden essential information of nodes and improving the overall anti-noise performance of the fault location method. According to the coding results, the GraphSAGE model was used to aggregate the neighbor information of nodes, and the influence of the surrounding lines on the target lines was fully considered. The output of the GraphSAGE model was improved, the output node features were passed through the fully connected layer network, and the classification result of nodes was finally obtained, that is, the distribution network lines with faults were located. In this paper, OpenDSS simulation software is used to analyze experimental examples, and the experimental results show that the proposed method is superior to the traditional method in terms of fault location accuracy and anti-interference and still has a good positioning effect in the new intelligent distribution network scenario with distributed power access.

1.3. Paper Organization

The chapters of this paper are arranged as follows: Section 1 introduces the distribution network fault location technology, including the traditional distribution network fault location method and the automatic distribution network fault location method. Section 2 introduces the overall flow structure of the distribution network fault line location method. Section 3 introduces the selection of data input features of the distribution network diagram. Section 4 introduces the principle of extracting the hidden features of graph nodes based on VGAE. Section 5 introduces how to locate the fault lines of the distribution network based on GraphSAGE and elaborates the sampling and aggregation process of GraphSAGE. In Section 6, some examples are introduced to verify the effect of the VGAE-GraphSAGE fault location model. Section 7 is the final conclusion of this paper and the prospect for the future.

2. The Overall Process of the Distribution Network Fault Location Method

The overall flowchart of the distribution network fault location model VGAE-GraphSAGE proposed in this paper is shown in Figure 1. First, it abstracts the distribution network into a directionless unweighted isomorphic graph, in which nodes and edges represent bus and feeder branches, respectively. The structure information (adjacency matrix) A of the graph and the attribute feature X of the node are taken as the input of the model. Firstly, the VGAE model based on GCN is used to map the node features to an independent Gaussian distribution N μ i , σ i 2 , and the low-dimensional abstract features of each node in the graph are obtained by sampling. In this way, the output result of the encoder can contain more useful deep abstract features, and the ability of anti-noise interference is increased. In addition, in order to solve the problem that the sampling operation cannot participate in gradient descent, it also uses the re-parameterization. Then, according to the coding result Z of the distribution network diagram, node information is updated based on the sampling and aggregation process of the GraphSAGE model, and the influence of surrounding lines on the target lines is fully considered. At the same time, the output of the GraphSAGE model is improved, and the output node features are passed through the fully connected layer network to finally obtain the edge classification result. In other words, the faulty distribution network line is located.

3. Selection of Data Input Features of VGAE

In traditional distribution network fault location research, the mutual influence of distribution network equipment is usually not considered, and the research object is analyzed separately. However, in the actual distribution network condition, because the distribution network is typical graph data with an obvious topological structure, the lines and key equipment in the distribution network will have different degrees of mutual influence based on direct or indirect connections. Therefore, this influence is taken into account in the study of distribution network fault location in this paper.
According to the definition of the graph, the distribution network system is abstracted as the graph data G = V , E , and the nodes in the graph represent the bus. In general, the bus is divided into two types: the system bus and the load bus. The load bus has the directly connected load. The edge of the connecting vertices represents the feeder branch, and the edge in the graph is set as a directionless unweighted edge. When building the graph neural network model, its input components are divided into two parts: one part is to store the information of the topology of the distribution network, which is mainly expressed by the way of the adjacency matrix. If graph A has N nodes, the dimension of the adjacency matrix A is N × N , and its definition is shown in (1). The other part is to store the state characteristic information of each node in the distribution network. Since the distribution network is abstracted as the same graph in this paper, the dimensions of the state characteristics of all nodes in the graph are required to be consistent. In order to ensure the adequacy and completeness of node information, the features selected in this paper include the amplitude and phase angle of three-phase voltage ( V 1 , θ 1 V , V 2 , θ 2 V , V 3 , θ 3 V ), the amplitude and phase angle of three-phase current ( I 1 , θ 1 I , I 2 , θ 2 I , I 3 , θ 3 I ), and active power ( P ) and reactive power ( Q ) detected by the distribution automation terminal. The four central characteristics [18] of the node calculated based on graph theory are degree centrality ( DC ), eigenvector centrality ( EC ), intermediate centrality ( BC ), and proximity centrality ( CC ). The characteristics of the node are expressed as V 1 , θ 1 V , V 2 , θ 2 V , V 3 , θ 3 V , I 1 , θ 1 I , I 2 , θ 2 I , I 3 , θ 3 I , P , Q , DC , EC , BC , CC R 18 . A data sample in the distribution network can be expressed as X R N × 18 .
A i j = 1 ,   i f v i , v j   i s   e g d e   i n   E G 0 ,   i f v i , v j   i s   n o t   e d g e   i n   E G

4. Extract the Hidden Features of Graph Nodes Based on VGAE

The model structure of VGAE is shown in Figure 2. After abstracting the distribution network as graph data G = V , E , the number of nodes is expressed as N = V . The adjacency matrix of G is defined as A. The matrix D is used to represent the degree matrix of the graph G. The node input eigenmatrix is X, and its dimension is N × D . We further introduce hidden variables z i . The matrix Z consisting of the hidden representation of each node has dimension N × F , where F represents the feature dimension of the hidden representation of the node.
The encoder is a two-layer graph convolutional neural network, which is represented as
q Z | X , A = i = 1 N q z i | X , A
where q z i | X , A = N z i | μ i , diag σ i 2 is the mean represented by the hidden layer of the node μ = GCN μ X , A , is the variance represented by the hidden layer of the node log σ = GCN σ X , A .
The decoder reconstructs the plot by calculating the probability that an edge exists between any two points in the sample variable: z i , z j .
p A ^ | Z = i = 1 N i = 1 N p A i j | z i , z j
where
p A ^ i j = 1 | z i , z j = s i g m o i d z i T z j
Similar to the VAE model, the loss function of the VGAE model includes the distance measure between the remap and the original graph and the KL divergence [19] between the distribution represented by the node hidden layer vector and the standard normal distribution.
L = E q Z | X , A l o g p A ^ | Z K L q Z | X , A | | p Z
where p Z is the standard normal distribution, expressed as:
p Z = i p z i = i N z i | 0 , 1
In this paper, some improvements are made to the original VGAE model, and the matrix inner product in the original decoder is changed to a one-layer fully connected network in order to simplify the computational complexity of the model and improve the training speed of the model. The adjacency matrix of the reconfiguration is obtained by passing the encoding result through the decoder. The calculation formula is as follows:
A ^ = σ W × Z + B
The parameters of the VGAE model are updated by using the optimizer Mini-batch Gradient Descent, and the data set is divided into multiple batch_sizes, with a batch of data being input for training each time. According to the average value of the loss function calculated from a sample of batch_size, the model parameters are updated through gradient descent, and the data in the entire training set are passed through as an epoch.
After the training is complete, he VGAE model parameters are saved. Through the encoder of the VGAE model, the abstract feature representation of each node in the distribution network can be obtained, which is used as the input of the downstream task (distribution network fault location). The calculation process of the coding operation using VGAE model is described in Algorithm 1:
Algorithm 1. The Operation Procedure of the VGAE Model Encoding
Input:  A ,     X ,     D ,     W 0 ,     W μ 1 ,     W σ 1 ,     W ,     B  
Output:  Z
1 μ = D ˜ 1 2 A ˜ D ˜ 1 2 R e l u D ˜ 1 2 A ˜ D ˜ 1 2 X W 0 W μ 1
2 σ = D ˜ 1 2 A ˜ D ˜ 1 2 R e l u D ˜ 1 2 A ˜ D ˜ 1 2 X W 0 W σ 1
3 sampled random number ε ~ N 0 , 1
4 Z = μ + σ · ε
5 A ˜ = σ W Z + B
6 return Z
The purpose of adding the VGAE model before the distribution network fault location is described as follows: (1) As a feature extractor for graph representation learning, it can extract hidden layer abstract features conducive to subsequent fault location, reduce the dimension of input sample features, and reduce the computational complexity [20] of subsequent models. (2) In the actual distribution network condition, the electrical data collected by the distribution automation equipment at the monitoring point will have a certain degree of distortion, in the process of transmission to the information center, which leads to the addition of noise interference on the basis of the original data, which will seriously affect the accuracy of fault location. The VGAE model maps the input sample to a Gaussian distribution. The abstract representation of the nodes is then obtained by sampling, which makes the VGAE model have a good noise reduction effect.

5. Distribution Network Fault Location Based on GraphSAGE

In the actual distribution network condition, its structure is complex and large, and the topology of the distribution network changes frequently with the development of the distributed power supply. The GraphSAGE model adds neighbor sampling operations for target nodes on the basis of GCN. The goal of the model focuses on learning to get an aggregator instead of learning to get the concrete abstract representation of each node in the graph. The sampling operations increase the randomness of the model, thus improving the overall flexibility and generalization ability of the model. At the same time, it can reduce the influence [21] of new nodes on the original nodes. In order to balance repeated training of node features, incremental training is used to capture the impact of new nodes on the original topology, instead of re-training the entire updated distribution network. The GraphSAGE algorithm is selected in this paper to build the fault location model of distribution network lines.
The hidden layer abstract features of each bus node in the distribution network diagram are extracted by the VGAE model, v V . Then, the adjacency matrix A of the original graph is realized through the GraphSAGE model to transfer and aggregate the information of the neighbor nodes.
The sampling and aggregation process of the GraphSAGE model is shown in Figure 3. In the figure, the node feature vector of the node v 3 2 at the second layer is obtained by aggregating the first-order subgraph of the node v 3 1 in the first layer. The number of sampling neighbors in this layer is set to 3, and the node v 3 1 has four first-order neighbors.
The neighbor set obtained by random sampling without putting back is v 1 1 ,   v 4 1 ,   v 5 1 . After two aggregate sampling processes, the node feature vectors of the nodes v 1 1 , v 4 1 , v 5 1 at layer 1 in the figure are obtained by aggregating the first-order subgraphs of the nodes v 1 0 ,   v 4 0 ,   v 5 0 in layer 0, and the number of sampled neighbors at this layer is set to 2. The nodes v 1 0 and v 5 0 sampled neighbor set are, respectively, v 0 0 ,   v 3 0 and v 6 0 ,   v 7 0 , whereas the node v 4 0 has only one first-order neighbor set, the neighbor set v 3 0 ,   v 3 0 , which is obtained by random sampling with put back. The feature of layer 0 is the abstract feature representation of the distribution network through VGAE. Figure 3 shows that the higher the number of layers, the larger the range of information contained in the node’s feature vector and the more nodes affected by the input. However, it is not the case that the more layers stacked, the better the effect of the model will be. Setting too many layers will cause the information aggregation scope to cover the whole graph and lose the local representation ability of the graph.
The next step is to consider how the model is aggregated. The aggregation methods of GraphSAGE mainly include mean aggregation, pooling aggregation, and LSTM aggregation [22]. The number of model parameters of pooling aggregation is between those of mean aggregation and LSTM aggregation. Both LSTM aggregation and pooling aggregation have great advantages in mining the deep information of samples. Considering the complexity and accuracy of the model, the GraphSAGE model built in this paper uses the pooled aggregation function to aggregate the information of the sampled neighbor nodes in the distribution network diagram G . Thus, the structure of the GraphSAGE model built in this paper is determined. Taking the nodes in the graph as an example, the node features of the layer updates through the sampling and aggregation process are shown as follows:
h N v i j + 1 = A G G R E G A T E l + 1 p o o l = m a x σ W p o o l h u l + b , u N v i
h i l + 1 = σ W · C O N C A T h i l , h N v i l + 1
where CONCAT ( ) is the splicing function, the two vectors are spliced horizontally to maintain the original number of features, and σ is the Relu activation function.
Since the GraphSAGE model transmits and aggregates the information of the bus in the distribution network, its final output is also the feature vector of the updated nodes. However, the goal is to locate the fault line in the distribution network, so this paper adjusts the structure of the original GraphSAGE model. After obtaining the node feature vector of the final output of the model, a full connection operation is performed on it, and the output quantity of the fully connected layer is set as the classification quantity of the fault location of the distribution network line. Then, through the softmax activation function, the final output vector is obtained, and each element in the output vector represents the probability of fault of the corresponding line, ranging from 0 to 1. The sum of all elements in the output vector is 1. Its calculation formula is expressed as follows:
y = s o f t m a x v i ϵ O V W · v i
where is the feature vector set of all nodes in the distribution network diagram G after passing the GraphSAGE model, W is the parameter matrix corresponding to each feature vector to be learned, and is the final output vector of distribution network line fault location. The calculation process of softmax function is as follows:
y i = s o f t m a x x i = e x p x i x i X e x p x i
Finally, according to the line fault probability distribution of the distribution network diagram output by the softmax function, the line index corresponding to the largest element in the output vector is taken as the fault location result.
After the model structure is built, the next step is to learn the parameters in the model. Since the distribution network line fault location is a multi-classification task, the selected loss function is the cross entropy loss function, and its calculation formula is as follows:
l o s s = i y i l o g y ^ i
where y i represents the predicted fault probability distribution of distribution network lines, and y ^ i represents the real fault probability distribution of distribution network lines. When the line i in the distribution network fails, the closer the corresponding element y i in the output vector obtained by the distribution network line fault location model constructed above is to 1, the smaller the calculation result of the loss function is, and the larger it is otherwise.
After defining the loss function of the model, the parameters in the GraphSAGE model and the full connection layer are modified in the process of reverse gradient propagation, so that the output result of the constructed distribution network line fault location model is gradually closer to the real label value. After the training of the model, the parameters in the model are saved, and the subsequent call to the distribution network line fault location model can be realized by loading.

6. Analysis of Numerical Examples

This chapter firstly introduces the data set and experimental environment from IEEE123 nodes, then takes accuracy and F1 score as evaluation indicators, uses the VGAE_GraphSAGE model for fault location, sets up a comparison experiment with other models, and tests the fault location effect when the distributed power supply is connected.

6.1. Data Set Introduction and Experimental Environment Construction

In this paper, the IEEE123 node network is used as a distribution network example. The topology of the distribution network includes 128 buses, 19 contact switch branches, and four generators. The reference voltage of the first section of the power network is 4.16 kV, and its topology is shown in Figure 4.
Define graph G = V , E as the IEEE123 node network; its adjacency matrix is A R 128 × 128 , and the node eigenvector matrix is X R 128 × 18 .
There are 128 buses in the IEEE123 node network, of which 85 are load buses, which are directly connected to the load, and most of the load is only connected to the single phase. The remaining 43 are system buses. There are nine buses in the IEEE123 node network connected to the normally closed switch or regulator. This paper regards such bus pairs as a single bus. In the distribution network, bus pairs (61,61s), (60,160(r)), (149,150(r)), (18,135), (97,197), and (13,152) are connected by normally closed switches, and regulators are installed on buses 9, 25, and 160. The regulator is a device that automatically cuts the line when the voltage amplitude is detected to be too high or too low. Therefore, in addition to the above lines, the number of lines that need to be fault located is 119.
In order to verify the effect of the VGAE-GraphSAGE distribution network fault location model proposed in this paper, a large amount of distribution network line fault data is needed to train and verify the model. In this paper, OpenDSS (Open Distributed System Simulator) simulation software is used to generate the distribution network line fault data required by the experiment. OpenDSS is a distribution power flow simulation software developed by the American Institute of Electric Power Research and development for power network simulation. It has a unique dynamic library and COM interface, supports most programming languages, and reserves a custom mode for users to write their own algorithms [23,24].
The type of fault simulated in this paper is single-phase grounding fault, the fault resistance is randomly set in the range of 0.5–50 Ω, and the fault is set at 20%, 40%, 60%, and 80% from the first end node of 119 uniform lines. Each line generates 100 fault data at each fault setting point, resulting in a total of 47,600 fault samples. Figure 5 and Figure 6 are the voltage diagram and power distribution diagram, respectively, of the IEEE123 node network based on OpenDSS simulation software.
In OpenDSS (Open Distribution System Simulator), various load models are used to simulate how different types of electrical loads respond to voltage changes. Figure 5 shows the voltage diagram of the IEEE123 node network established by the OpenDSS simulation software, representing the pattern type of load changes with voltage. Load model 1 is the constant power model and assumes that the load power remains constant irrespective of voltage changes. Load model 2 is the constant impedance model and assumes that the load power varies with the square of the voltage. Load model 5 is the composite model and combines constant impedance, constant current, and constant power models for greater flexibility in representing real-world loads. Figure 6 shows its power distribution map, which represents the power distribution situation of the IEEE123 node network. The 100% load level represents the power at the node location as the maximum power level in this network, which is 100%. The 40% load level represents the lowest power level in the distribution network, which is approximately equal to 40% of the load power. The total active power is 3.62 MW.
The experimental environment platform condition is a Windows 11 x64 operating system, the processor is AMD R7-6800H, and the implementation is carried out by Python programming language. The VGAE model and GraphSAGE model are implemented by pytorch framework.

6.2. Evaluation Indicators

In this paper, accuracy and F1 score are selected to evaluate the effect of the distribution network fault location model.
Accuracy is the most direct evaluation index in the evaluation of multi-classification tasks, and the calculation method is also the simplest. It takes into account the classification of all categories. The correct classification only considers the predicted category and the real category corresponding to the correct situation. The calculation process can be expressed as follows:
A c c u r a c y = T h e   n u m b e r   o f   s a m p l e s   c l a s s i f i e d   c o r r e c t l y T o t a l   n u m b e r   o f   s a m p l e s
At the same time, the F1 score is introduced to comprehensively consider the precision and recall capabilities of the model.
The F1 score chosen in this paper is macro-f1. The precision and recall of each category are averaged before finding macro-f1. The exact calculation process is as follows:
m a c r o R = 1 m i R i
m a c r o f 1 = 2 × m a c r o P · m a c r o R m a c r o P + m a c r o R
where, m represents the number of categories in multiple categories. The precision and recall of each category are calculated according to binary classification. For category i , TP i represents the number of samples whose true category is i as the predicted category, FP i represents the number of samples whose true category is j j i , j m but the predicted category is i , and FN i represents the number of samples whose true category is but the predicted category is j .
P i = T P i T P i + F P i
R i = T P i T P i + F N i
Macro-f1 evaluation metrics include a pair of complementary metrics that take into account each subcategory: precision and recall. The accuracy and macro-f1 can be used to evaluate the effect of the model built in this paper more objectively.

6.3. Experimental Results and Analysi

6.3.1. Analysis of the Influence of Feature Extraction on the Model Positioning Effect

This experiment discusses the necessity of using the VGAE model to extract the node features in the distribution network diagram in the proposed VGAE-GraphSAGE fault location model. The same data set is used to train and test the VGAE-GraphSAGE model and the single GraphSAGE model. In the GraphSAGE part, the same numbers of layers and nodes are set, and the clustering functions used are pooled clustering. The positioning effect of the two models on the test set after training is shown in Figure 7.
As can be seen from the figure above, VGAE is used to extract the hidden layer abstract features of the bus nodes in the distribution network before locating the fault lines of the distribution network, which is conducive to improving the overall fault location accuracy of the model. The yellow curve indicates that if only a single GraphSAGE model is used, it tends to converge when epoch = 52, and the average F1 score when the model converges is 0.8926. The VGAE_GraphSAGE model proposed in this paper is significantly better than the single GraphSAGE model. The average F1 score is 0.9732 when the model converges. As a feature learner of distribution network graph G, VGAE can extract hidden layer abstract features conducive to subsequent fault location, cut down the dimension of input sample features, and reduce the computational complexity of subsequent models.

6.3.2. Effect Comparison of Feature Extraction Methods

This experiment compares the effect of using the VGAE model and the GAE model to extract low-dimensional abstract features of bus nodes in the distribution network for the downstream distribution network line fault location task.
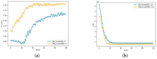
The encoder structure of the GAE model is also a two-layer GCN model. The input sample with node feature dimension 18 is compressed into 12 dimensions through the encoder. The decoder structure is also adjusted from the traditional inner product form to a one-layer fully connected network. The same data set is used to train and test the VGAE model and the GAE model respectively, and the parameters of the encoder model with the best test results are saved. After the node feature coding model is trained, the encoder parts of VGAE and GAE are respectively connected with the improved downstream GraphSAGE model. The node feature extraction result of the encoder is used as the input of the improved GraphSAGE model to train the subsequent model, and the final distribution network fault location result is obtained through classification. The effects of the VGAE_GraphSAGE model and GAE_GraphSAGE model on the test set are shown in Figure 8.
By observing Figure 8a, it can be seen that the F1 score index of the VGAE_GraphSAGE model as a whole is better than that of the GAE_GraphSAGE model. In terms of convergence speed, the VGAE_GraphSAGE model reaches convergence when epoch 35 is near and the F1 score fluctuates around 0.97. When epoch 63 is the optimal result, the F1 score is 0.9732. However, when the epoch of the GAE_GraphSAGE model is near epoch 78, the model tends to converge, and the fluctuation of the evaluation index results after convergence is also large. When the optimal result is EPOCH 87, the F1 score is 0.8745. According to Figure 8b, when the loss function curve is converged, the result of the loss function of the VGAE_GraphSAGE model is significantly lower than that of the GAE_GraphSAGE model, which also verifies that the VGAE model is superior to the GAE model in extracting node features in the distribution network graph G. The reason is that the VGAE model maps the original node features into a Gaussian distribution first and then obtains the abstract compressed representation of the nodes by sampling, whereas the GAE model maps the original node features directly into hidden layer vectors. Through the sampling process, the generalization performance and robustness of the VGAE model are improved.

6.3.3. Comparison of Similar Models

In order to prove that the model combined with the VGAE model and GraphSAGE has good accuracy in fault location of the distribution network, the convolutional neural networks (CNN) model in Euclidean space and the fully connected (FC) network model, graph convolutional networks (GCN) model and graph attention network (GAT) model in non-Euclidean space are compared with the model proposed in this paper. The same data set is used to respectively train and test these models. The positioning effect of each model on the test set is shown in Table 2.
The results of the above comparative experiments show that, the effect of the model built by the graph neural network technology is generally better than the CNN model and the FC model for the fault location task of the distribution network. The graph neural network has strong superiority in processing the graph structure data of the distribution network. In terms of locating speed, the CNN model and the FC model take the longest time, because in order to better fit the relationship between the fault information of the distribution network and the fault line segment of the distribution network, they need to stack more model layers and contain more parameters. Compared with the FC model, convolution and pooling operations are used in the CNN model, which abstract and compress the feature quantity to a certain extent and improve the positioning accuracy, so it takes less time with the same test sample size. For the positioning model proposed in this paper and the other two non-Euclidean spatial models, the number of layers in the GCN model is set to two, and the single-head attention mechanism is adopted in the GAT model, which satisfies the simple structure of the model and achieves relatively good positioning effect. The GAT model only mines the information of the first-order neighbors by means of weights, so the fault location speed is the fastest, but it does not take into account the deeper neighborhood information. The VGAE_GraphSAGE model proposed in this paper achieves higher positioning accuracy at the cost of losing a little rapidity, and the positioning time is also within the acceptable range.
Since the positioning effect of the model will be affected by the fault setting position and fault resistance, this paper designs an experiment to analyze the relationship between these effects. Faults are set at 20%, 40%, 60%, and 80% of the distance between 119 uniform lines and the first node, respectively. The positioning effects of the model under five fault setting scenarios are compared and analyzed, as shown in Figure 9a. When the fault point in the line is closer to the connection point of the line, the fault location model of the distribution network is more prone to misjudgment. However, the VGAE_GraphSAGE model proposed in this paper fully taps the correlation relationship between lines, and the model is less affected by the location of the fault point. When the fault is set at 20% and 80% of the line, the accuracy of the model is 96.87% and 96.05%, respectively.
In addition, the simulated fault type in this paper is single-phase ground fault, and fault resistors are randomly generated in the intervals of 0.5–13 Ω, 13–25 Ω, 25–38 Ω, and 38–50 Ω, respectively. The positioning effects of the five models in different fault resistance setting intervals are compared and analyzed, as shown in Figure 9b. With the increase of the set single-phase grounding fault resistance, the difficulty of locating the fault line in the distribution network also increases gradually. When the resistance value is set in the range of 38–50 Ω, the positioning accuracy of the GCN and GAT models drops to 87.34% and 88.19%, respectively, whereas the positioning accuracy of the VGAE_GraphSAGE model proposed in this paper can still be maintained at 93.75%, and there are few positioning errors.

6.3.4. Analysis of Model Positioning Effect in the Scenario of Distributed Power Access

The development and application of distributed power generation has realized the complementary advantages among different kinds of natural resources and between regions; it also has significant advantages in effectively reducing long-distance investment operation maintenance costs and reducing network losses. The flexible and environmentally friendly distributed power generation makes up for the defects of excessively centralized large-capacity power generation systems to a large extent. However, at the same time, after the distributed power is connected to the grid, it causes profound changes in the topology of the original distribution network. Solar photovoltaic power generation and wind power generation’s power generation principle is related to solar irradiance or wind speed, resulting in the intermittency and volatility of distributed power generation power. The distributed current directly connected to the grid will have a certain impact on the operating state and inherent characteristics of the distribution network system. As a result, the distribution network fault location method, which has been applied well in the traditional distribution network, may not be effective in the new distribution network with distributed power access.
This experiment explores the effect of connecting a certain number of distributed power sources in the original distribution network system on the fault location model of the distribution network established in this paper. The types of connected distributed power sources include solar photovoltaic power generation, wind power generation, and energy storage power generation. In the IEEE123 node network used in this paper, distributed power nodes are added, and distributed power access is set at nodes 7, 16, 21, 27, 51, and 97. The modified topology of the distribution network is shown in Figure 10.
The working principle of solar photovoltaic power generation is as follows: when the sun shines on the solar panel, the direct current generated by the DC/AC inverter is converted into an alternating current and then, through the adjustment of amplitude and phase, converted into a three-phase alternating current of the same magnitude into the distribution network system. When setting the solar photovoltaic power generation node in OpenDSS, it is necessary to set the irradiation curve, temperature curve, P-T curve, and efficiency curve. Among them, the P-T curve represents the maximum working power (Pmpp) of solar panels at different temperatures. It is already known that at a certain time t, the corresponding temperature is obtained through the temperature curve and then combined with the P-T curve to get the upper limit of the output power of the solar power panel, and the upper limit of the output power of solar panels is obtained by combining the P-T curve. While according to the irradiation curve and efficiency curve of the output time t and photovoltaic power P, if P is greater than Pmpp t , then Pmpp t is the output, otherwise the output is P. The time range of the irradiation curve and temperature curve set is 1 day, and the sampling interval is 5 min, with a total of 288 sampling points, as shown in Figure 11a,b.
Before the photovoltaic power supply is connected to the bus node in the IEEE123 distribution network, a distribution network transformer needs to be added to the two to adjust the grid-connected amplitude of the distributed power supply.
When setting up wind power generation, similar to solar photovoltaic power generation, it is necessary to set the wind speed change curve and the operation curve between the output power and wind speed of the wind generator, as shown in Figure 12a,b.
The rated voltage of energy storage power generation is set to 4.16 kV, the rated power output is 350 kW, the rated storage capacity is 2000 kW, and the generation mode is the FOLLOW mode: In this mode, the output power of the energy storage component changes with the energy release curve until the energy storage is exhausted or full. When the curve is positive, the energy storage component is in the discharge state, whereas the negative value is the charging state. The energy release curve of the energy storage element set in this paper is shown in Figure 13.
The six distributed power access points in the distribution network are set as six solar photovoltaic power generation, six wind power generation, six energy storage power generation, and two nodes in each of the three power generation methods. Through the OpenDSS simulation software, faults are also set at 20%, 40%, 60%, and 80% of 119 uniform lines away from the first node, and 100 fault data are generated at each fault setting point for each line, resulting in a total of 47,600 fault samples. The data set is divided according to the ratio of 8:2 to train and test the VGAE-GraphSAGE distribution network fault location model proposed in this paper. The results of fault location on the test set are summarized as shown in Table 3.
From Table 2, it can be seen that in the distributed power supply access scenario, the effect of using the distribution network fault location model established in this paper is somewhat reduced compared with that of the original distribution network, but the decline is not large, and the overall performance is still good. The largest decline is that the six distributed power nodes are all set to wind power generation. The result of its evaluation index F1 score is 91.71%, and few fault location errors occur. The influence of the type of distributed power supply on the fault line positioning effect of the distribution network is also different, and the influence from the largest to the smallest is wind power generation, solar power generation, and energy storage power generation. The reason is that the randomness and volatility of wind power generation are greater than those of the other two due to the larger change of wind speed within a day, and the daily radiation curve of photovoltaic power generation shows a certain regularity, that is, it reaches the maximum at noon of the day and then gradually decays. The energy storage power generation is charged and discharged at relatively uniform speed, so the impact on the stability of the distribution network system is minimal.

6.3.5. Noise Experimental Analysis

In the signal acquisition and processing process of the distribution network system, there are all kinds of interference from inside or outside the system, which reduces the quality and reliability of the signal and brings huge data acquisition and processing errors. Interference from the interior of the distribution network mainly refers to the interference generated by the electronic circuit in the system, and the external interference mainly includes lightning, electromagnetic waves of cosmic radiation, and electromagnetic signals generated by other equipment. Noise directly affects the accuracy of distribution network fault location, so it is necessary to take the anti-interference problem as an important content of method design.
In the VGAE_GraphSAGE distribution network fault location model built in this paper, the node features in the distribution network diagram are processed by VGAE first. Like the traditional autoencoder, VGAE can compress the node feature abstraction to a lower dimensional level and can mine the hidden features that are conducive to the downstream task training. In addition, VGAE also improves on the traditional autoencoder; the abstract feature representation of the traditional autoencoder must be obtained from the real sample through the encoder. If the randomly generated feature vector is input into the decoder network, it is difficult to get an approximate real sample. In the VGAE model, nodes are mapped to an independent Gaussian distribution, and then the abstract feature representation of nodes is obtained by random sampling, and the approximate real data sample is generated by the decoder. In this way, the generalization ability and anti-noise interference ability of the model are increased to some extent.
In addition, the experiment also introduces the noise injection strategy. By adding some noise interference to the features of the input sample X = x 1 ,   x 2 , , x n , x i = V 1 , θ 1 V , V 2 , θ 2 V , V 3 , θ 3 V , I 1 , θ 1 I , I 2 , θ 2 I , I 3 , θ 3 I , P , Q , D C , E C , B C , C C , the reconstruction of the “clean” sample without noise is realized based on the “dirty sample” with noise. This training strategy can make the variational graph self-coding better learn the essential features of distribution network nodes. For traditional autoencoders that use “clean” samples for model training, the learned sample features may only be a copy of the original input in order to minimize the reconstruction error.
Therefore, the VGAE model used in this paper and the noise injection strategy adopted in the model training stage are beneficial for extracting the essential features of the nodes in the distribution network, and the whole model has good noise reduction effect and generalization ability.
In this experiment, the original data set is denoised, and the pollution rates were set to be 20%, 30%, and 40%, respectively. That is, white Gaussian noise is injected into the various dimensional features of some samples in the data set, and the proportion of polluted samples is the set pollution rate.
The VGAE_GraphSAGE model proposed in this paper is trained in the same way. In order to verify the effect of the model, the GCN model, GAT model, and FC model are selected for comparative analysis. The effect on the test set is shown in Figure 14.
As can be seen from Figure 14a,b, when the proportion of injected noise in the sample set of the IEEE123 node network increases, the fault location effect of the four models decreases to varying degrees. Among them, the effect of the VGAE_GraphSAGE model proposed in this paper decreased the least. Even when 40% white Gaussian noise is injected, the F1 score and accuracy results of the model are 91.17% and 91.06%, respectively, and there are few fault location errors. Among the other three types of models, the FC model has the worst performance, because the FC model does not take into account the interaction between nodes. Instead, the nodes are independently analyzed according to the attributes of the electrical volume, and the faulty lines may affect the nearby lines, resulting in the model positioning errors. GCN and GAT models learn the structural properties of the distribution network, and the effect is significantly better than that of FC models. However, the anti-noise interference ability of the two models is not as good as that of the VGAE_GraphSAGE model proposed in this paper. Moreover, the flexibility of the GCN model is insufficient, and there is no neighbor node sampling step, so it is necessary to store the structure information of the entire graph during model training, which consumes more memory. Therefore, the use of the GCN model will be limited by the scale of graph data. The advantage of the GAT model is that it quantifies the influence degree of different neighbor nodes on the target node through the attention mechanism, but this model only aggregates the first-order neighbor information of nodes and does not further mine the higher-order information. In addition, its anti-noise interference ability is also slightly insufficient.

7. Conclusions and Prospect

This chapter provides a summary of the research findings and discusses potential future directions. It outlines the necessity of advancing fault location techniques in increasingly complex distribution networks. The proposed VGAE-GraphSAGE model and its efficacy in accurately and swiftly locating faults are highlighted. Additionally, considerations for integrating distributed power sources and handling various operational challenges are mentioned.

7.1. Conclusions

With the gradual expansion of the scale of the distribution network system, the topology is more complex. The access of distributed power increases the randomness and volatility of the distribution network system, resulting in complex and changeable operation of the distribution network. Therefore, it is necessary to prevent faults as far as possible during the normal operation of the distribution network. At the same time, the fault location can be accurately and quickly located after the fault occurs, and timely guidance can be provided to troubleshoot the fault and reduce the fault loss. This paper makes a comparative analysis among traditional distribution network fault location methods. It is noted that these methods do not take into account the influence of the interrelation between distribution equipment in the distribution network on the fault location accuracy. Most of them are analyzed based on the premise that the research object is relatively independent, which has a certain gap with the actual operation of the distribution network. It is difficult to ensure the accuracy of the location results. Therefore, a fault location model VGAE-GraphSAGE based on the graph neural network is proposed in this paper. Firstly, the distribution network is abstracted as the same graph form, and the bus is represented as the node in the graph. The improved model VGAE is introduced to extract the low-dimensional abstract features of each node in the graph. The figure shows that the learning operation can extract node features that are more conducive to downstream task training, and at the same time improve the overall anti-noise performance of the fault location method. Then, based on the node feature abstraction results, the GraphSAGE model is used to aggregate the neighbor information of nodes, fully considering the influence of the surrounding lines on the target lines. In addition, the output part of the GraphSAGE model is improved, and the fault line segment is finally located. This method explores the correlation relationship between distribution network lines deeply. It can reflect the operation law of distribution network in the real scene and accurately locate the fault line in the case of noise interference, high resistance ground fault, distributed power access, and other cases.

7.2. Outlook

Because the distribution network contains various types of key distribution equipment, it is more consistent with the actual operation law of distribution networks to abstract the distribution network into the form of heterogeneous graph. In this paper, the data set used in the research of distribution network fault location is the IEEE123 node network. In this distribution network system, only the distribution equipment is considered, but in the actual distribution network operating environment, it is necessary to consider the relationship between many other devices and the research object. In this regard, this paper believes that some heterogeneous graph neural network algorithms can be applied to the field of distribution network fault diagnosis, such as the HAN model, the GATNE model, the graph transformer network model, etc. The abstracting overhead lines, cables, transformers, distributed power supplies, circuit breakers and fault indicators in a distribution network can be considered as heterogeneous nodes. The importance of different types of nodes in the network and the importance of different connection relationships can also be considered to carry out feature transfer and aggregation update operations.

Author Contributions

Conceptualization, M.F., J.X. and H.Z.; methodology, M.F. and J.X.; software, J.X. and H.Z.; validation, J.X.; formal analysis, J.X.; investigation, M.F. and X.Z.; resources, M.F. and X.Z.; data curation, H.Z. and X.Z.; writing—original draft preparation, J.X.; writing—review and editing, M.F. and H.Z.; visualization, J.X.; supervision, M.F.; project administration, X.Z.; funding acquisition, M.F. All authors have read and agreed to the published version of the manuscript.

Funding

This research was funded by the National Key R&D Program of China under Grant, grant number 2020YFB2009405.

Data Availability Statement

The original contributions presented in the study are included in the Article; further inquiries can be directed to the corresponding author.

Acknowledgments

Thanks to all the authors for their contributions and support during the research process, which played an important role in the smooth conduct of the study.

Conflicts of Interest

Author Xi Zhang was employed by the company Chongqing Shinan Power Supply Company. The remaining authors declare that the research was conducted in the absence of any commercial or financial relationships that could be construed as a potential conflict of interest.

References

  1. Zhang, J.; Zhou, P.; Chen, H. Simulation of single-phase ground fault location based on improved impedance method. Electr. Meas. Instrum. 2018, 55, 84–87. [Google Scholar]
  2. Yang, J.; Xiao, K.; Bao, X.; Shao, S.; Tian, Q.; Mu, X.; Xu, Z. Simulation analysis of phase-to-phase fault location algorithm of distribution network based on impedance method. Electr. Eng. 2018, 477, 3–6. [Google Scholar]
  3. Jia, K.; Dong, X.; Li, L.; Feng, T.; Bi, T. Fault location of distribution network based on sparse voltage amplitude measurement. Power Syst. Technol. 2020, 44, 835–845. [Google Scholar]
  4. Dai, Z.; Wang, X. Fault location algorithm for active distribution network based on improved impedance method. Power Syst. Technol. 2017, 41, 2027–2034. [Google Scholar]
  5. Chai, P.; Zhou, H.; Zhang, Y.; Zhao, W.; Yang, X.; Zhou, M.; Li, M. Improvement of short-circuit fault location for cable lines based on Double-ended Traveling Wave method. Electr. Power 2020, 53, 168–174. [Google Scholar]
  6. Wang, L.; Du, F. Research on fault location with improved double-ended traveling wave method based on wavelet transform. Electr. Eng. 2022, 3, 34–37. [Google Scholar]
  7. Du, G.; Liu, X.; Su, G. Research on ground fault location technology of distribution network based on FTU and ”S“ signal injection method. Power Syst. Prot. Control 2010, 38, 73–76. [Google Scholar]
  8. Zeng, H.; Chen, S.; Zhang, Z.; Li, H.; He, S.; Wu, C. Single phase grounding fault detection and section location method based on non power frequency signal injection. In Proceedings of the China International Conference on Electricity Distribution (CICED), Changsha, China, 7–8 September 2022; pp. 1104–1108. [Google Scholar]
  9. Zhang, D.; Cai, J.; Li, T.; Chen, B. Improved correlation matrix algorithm for distribution network fault location. Electr. Power Electr. Eng. 2013, 33, 29–31. [Google Scholar]
  10. Zhang, W.; Li, J.; Wang, X. An improved matrix algorithm for distribution network fault location based on multi-terminal traveling wave information. Water Resour. Power 2021, 39, 170+194–197. [Google Scholar]
  11. Ye, J. Fault location method for single-phase grounding of distribution cable based on genetic algorithm. Autom. Appl. 2022, 4, 133–135. [Google Scholar]
  12. Ren, X.; Sun, H.; Zhao, S.; Chen, X.; Huang, W. Fault location monitoring of power transmission system based on ant colony genetic algorithm. Electr. Tech. 2022, 51, 64–67. [Google Scholar]
  13. Li, X.; Li, Y.; Zhang, S. Fault location method for HVDC lines based on hybrid intelligent algorithm. Power Syst. Prot. Control 2014, 42, 108–113. [Google Scholar]
  14. Hassani, H.; Hallaji, E.; Razavi-Far, R.; Saif, M. Unsupervised concrete feature selection based on mutual information for diagnosing faults and cyber-attacks in power systems. Eng. Appl. Artif. Intell. 2021, 100, 104150. [Google Scholar] [CrossRef]
  15. Meng, Z.; Du, W.; Wang, H. Fault region location of distribution network based on transfer learning Deep Convolutional neural network. S. P. Sys. Tech. 2019, 13, 25–33. [Google Scholar]
  16. Das, B.; Kutsal, M.; Das, R. Effective prediction of drug–target interaction on HIV using deep graph neural networks. Chemom. Intell. Lab. Syst. 2022, 230, 104676. [Google Scholar] [CrossRef]
  17. Das, R.; Soylu, M. A key review on graph data science: The power of graphs in scientific studies. Chemom. Intell. Lab. Syst. 2023, 240, 104896. [Google Scholar] [CrossRef]
  18. Grando, F.; Granville, L.Z.; Lamb, L.C. Machine learning in network centrality measures: Tutorial and outlook. ACM Comput. Surv. 2019, 51, 1–32. [Google Scholar] [CrossRef]
  19. Xu, K. Research on Multi-Relation Network Embedding Based on Variational Auto Encoder. Masters’ Thesis, School of Computer Science and Technology, Harbin Institute of Technology, Harbin, China, 2020. [Google Scholar]
  20. Jin, W.; Ma, Y.; Wang, Y.; Liu, X.; Tang, J.; Cen, Y.; Qiu, J.; Tang, J.; Shi, C.; Ye, Y.; et al. Graph representation learning: Foundations, methods, applications and systems. In Proceedings of the 27th ACM SIGKDD Conference on Knowledge Discovery & Data Mining, Singapore, 14–18 August 2021; pp. 14–18. [Google Scholar]
  21. Chen, C.; Li, Q.; Chen, L.; Liang, Y.; Huang, H. An improved GraphSAGE to detect power system anomaly based on time-neighbor feature. Energy Rep. 2022, 9, 930–937. [Google Scholar] [CrossRef]
  22. Chen, Z.; Deng, Q.; Ren, H.; Zhao, Z.; Peng, T.; Yang, C.; Gui, W. A new energy consumption prediction method for chillers based on GraphSAGE by combining empirical knowledge and operating data. Appl. Energy 2022, 310, 118410. [Google Scholar] [CrossRef]
  23. Lei, Z.; Wu, Q.; Ye, J.; Yu, Z.; Sun, F. Impact analysis of distributed photovoltaic access on distribution network based on OPENDSS Simulation platform. Dstrb. Util. 2015, 32, 69–73. [Google Scholar]
  24. Xu, K.; Nie, M.; Wang, Y.; Hou, G.; Song, J.; Liu, W.; Li, Q.; Cheng, J. Application of OpenDSS in simulation analysis of distributed photovoltaic access to distribution network. EP Inf. Comm. Tech. 2018, 16, 88–92. [Google Scholar]
Figure 1. Overall flowchart of VGAE-GraphSAGE distribution network fault location model.
Figure 1. Overall flowchart of VGAE-GraphSAGE distribution network fault location model.
Processes 12 02179 g001
Figure 2. Model structure of variational graph autoencoder.
Figure 2. Model structure of variational graph autoencoder.
Processes 12 02179 g002
Figure 3. Sampling and aggregation process of the model.
Figure 3. Sampling and aggregation process of the model.
Processes 12 02179 g003
Figure 4. IEEE123 node topology.
Figure 4. IEEE123 node topology.
Processes 12 02179 g004
Figure 5. Voltage diagram of IEEE123 node network.
Figure 5. Voltage diagram of IEEE123 node network.
Processes 12 02179 g005
Figure 6. Power distribution diagram of IEEE123 node network.
Figure 6. Power distribution diagram of IEEE123 node network.
Processes 12 02179 g006
Figure 7. Comparison of F1 score results of the VGAE_GraphSAGE model and the GraphSAGE model.
Figure 7. Comparison of F1 score results of the VGAE_GraphSAGE model and the GraphSAGE model.
Processes 12 02179 g007
Figure 8. Comparison of the F1 score indicator and the loss function results of the VGAE_GraphSAGE model and the GAE_GraphSAGE model. (a) Comparison of the F1 score indicator; (b) Comparison of loss function results.
Figure 8. Comparison of the F1 score indicator and the loss function results of the VGAE_GraphSAGE model and the GAE_GraphSAGE model. (a) Comparison of the F1 score indicator; (b) Comparison of loss function results.
Processes 12 02179 g008
Figure 9. Comparison of model positioning effects. (a) Comparison of model positioning effects with different fault location settings. (b) Comparison of model positioning effects with different settings of single-phase grounding fault resistance.
Figure 9. Comparison of model positioning effects. (a) Comparison of model positioning effects with different fault location settings. (b) Comparison of model positioning effects with different settings of single-phase grounding fault resistance.
Processes 12 02179 g009
Figure 10. Distribution network topology after adding distributed power nodes.
Figure 10. Distribution network topology after adding distributed power nodes.
Processes 12 02179 g010
Figure 11. Temperature curve and irradiation curve of solar panels. (a) Temperature curve of solar panels. (b) Irradiation curve of solar panels.
Figure 11. Temperature curve and irradiation curve of solar panels. (a) Temperature curve of solar panels. (b) Irradiation curve of solar panels.
Processes 12 02179 g011
Figure 12. Wind speed curve and operation curve of wind power generation. (a) Wind speed curve of wind power generation. (b) Operation curve of wind power generation.
Figure 12. Wind speed curve and operation curve of wind power generation. (a) Wind speed curve of wind power generation. (b) Operation curve of wind power generation.
Processes 12 02179 g012
Figure 13. Energy release curve of energy storage element.
Figure 13. Energy release curve of energy storage element.
Processes 12 02179 g013
Figure 14. F1 score comparison and accuracy comparison of fault location effects of different models in the “dirty sample” scenario. (a) F1 score comparison of fault location effects. (b) Accuracy comparison of fault location effects.
Figure 14. F1 score comparison and accuracy comparison of fault location effects of different models in the “dirty sample” scenario. (a) F1 score comparison of fault location effects. (b) Accuracy comparison of fault location effects.
Processes 12 02179 g014
Table 1. Summary of relevant works.
Table 1. Summary of relevant works.
MethodReferencesAdvantageDisadvantage
Impedance Method[1,2,4]Simple implementation
Low cost
Assumes ideal line models
Affected by non-ideal line characteristics
Limited accuracy in complex networks
Traveling Wave Method[5,6]Mature technology
High accuracy in ideal conditions
Increased complexity
Affected by network topology
Signal Injection Method[7,8]Real-time monitoring
Effective fault detection
High operation and maintenance costs
Matrix Algorithms[9,10]High detection speed
Good accuracy
Poor fault tolerance
Less effective with distorted signals
Genetic Algorithms[11,12]Global search capability
Handles complex optimizations
Requires careful hyperparameter tuning
High computational cost with large populations
Artificial Neural Networks[13,14,15]Simulates complex information processing
Improved accuracy with hybrid methods
May not fully leverage network topology
Effectiveness depends on training data
Geometric Deep Learning[16]Utilizes graph neural networks to capture molecular interactions
High accuracy in drug resistance
prediction
Effective in small datasets
Limited to specific datasets (e.g., HIV drug interactions)
High computational complexity in larger datasets
Graph Neural Networks for Data Science[17]Powerful in analyzing complex, interconnected data structures
Applicable to multiple scientific disciplines
Effective in modeling complex relationships with graph data
Challenges in visualizing and interpreting large-scale graph data
Scalability issues with very large datasets
Proposed Method Considering equipment interrelationships
Improved VGAE resists noise
Explores line correlations in depth
Adapts to complex real-world scenarios
Table 2. Comparison of positioning effect of similar models.
Table 2. Comparison of positioning effect of similar models.
ModelTest Sample SizeAccuracyF1 ScoreTest Time (s)
CNN952086.02%85.76%21.45
FC952075.30%72.98%34.27
GCN952090.04%89.76%12.39
GAT952094.19%93.78%11.76
VGAE_GraphSAGE952097.81%97.32%13.81
Table 3. Distribution network fault location effect under distributed generation.
Table 3. Distribution network fault location effect under distributed generation.
Distributed Power Supply SettingsAccuracyF1 Score
All are solar photovoltaic power generation95.30%94.89%
All are wind power93.02%91.71%
All are energy storage power generation96.34%96.12%
Hybrid power generation95.07%94.62%
Disclaimer/Publisher’s Note: The statements, opinions and data contained in all publications are solely those of the individual author(s) and contributor(s) and not of MDPI and/or the editor(s). MDPI and/or the editor(s) disclaim responsibility for any injury to people or property resulting from any ideas, methods, instructions or products referred to in the content.

Share and Cite

MDPI and ACS Style

Fan, M.; Xia, J.; Zhang, H.; Zhang, X. Fault Location Method of Distribution Network Based on VGAE-GraphSAGE. Processes 2024, 12, 2179. https://doi.org/10.3390/pr12102179

AMA Style

Fan M, Xia J, Zhang H, Zhang X. Fault Location Method of Distribution Network Based on VGAE-GraphSAGE. Processes. 2024; 12(10):2179. https://doi.org/10.3390/pr12102179

Chicago/Turabian Style

Fan, Min, Jialu Xia, Huanjiao Zhang, and Xi Zhang. 2024. "Fault Location Method of Distribution Network Based on VGAE-GraphSAGE" Processes 12, no. 10: 2179. https://doi.org/10.3390/pr12102179

APA Style

Fan, M., Xia, J., Zhang, H., & Zhang, X. (2024). Fault Location Method of Distribution Network Based on VGAE-GraphSAGE. Processes, 12(10), 2179. https://doi.org/10.3390/pr12102179

Note that from the first issue of 2016, this journal uses article numbers instead of page numbers. See further details here.

Article Metrics

Back to TopTop