An Energy-Efficient Adaptive Speed-Regulating Method for Pump-Controlled Motor Hydrostatic Drive Powertrains
Abstract
:1. Introduction
2. Description of the HSDP System
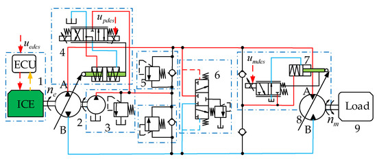
2.1. Structure and Principle of the HSDP
2.2. Variable Displacement Pump
2.3. Variable Displacement Motor
2.4. ICE Module
3. The Adaptive Controller (ADC)
3.1. Efficiency Estimation Module (EEM)
3.2. Engine Speed Set Module (ESSM)
3.3. Displacement Control Module (PMDC)
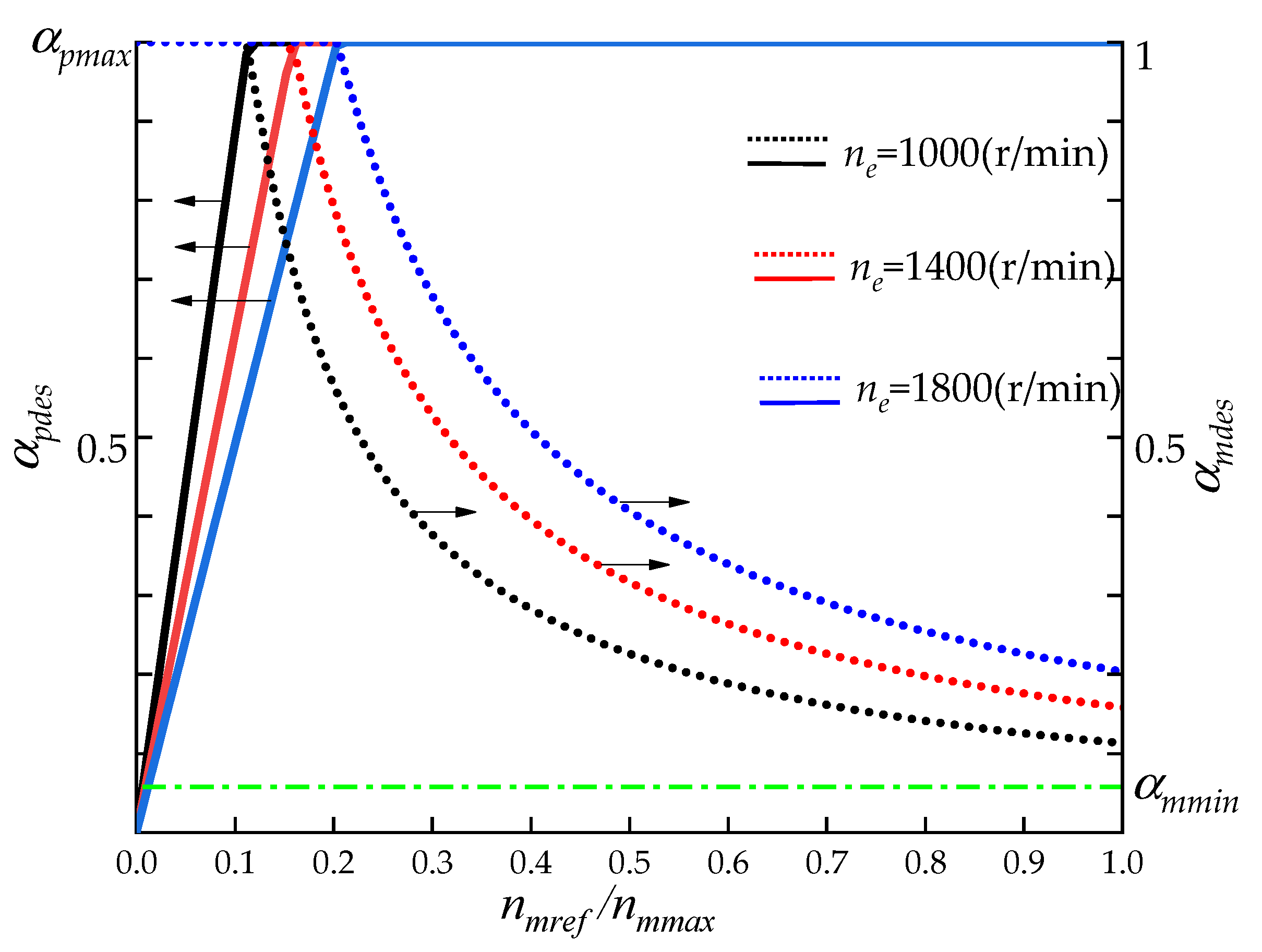
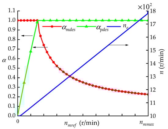
3.4. Adaptive Control Module (ADCM)
4. Experimental Investigation
4.1. Testing Procedure
Rule-Based Controller (RBC)
4.2. Analysis of the Experimental Results
4.2.1. Characteristic of Speed Control
4.2.2. Adaptive Characteristic
4.2.3. Energy-Saving Characteristics
5. Discussions and Future Work
6. Conclusions
- The ADC can allow the motor speed to accurately track changes in the reference and maintain an accuracy with an average error of 3.3% under empty load conditions and 9.5% under heavy load conditions.
- The ADC reduces motor speed automatically through the displacement adjustment of the pumps and the motors to allow the HSDP system to adapt to rising loads, thus preventing engine overload stall and high system pressure.
- Compared to the RBC, the energy-saving ratio of the ADC is at least 11.4% and up to 25.8% under empty load conditions and at least 2.8% and up to 9% under heavy load conditions, showing the significant energy-saving effect of the ADC.
Author Contributions
Funding
Data Availability Statement
Acknowledgments
Conflicts of Interest
References
- Yang, X.; Gong, G.; Yang, H.; Jia, L.; Zhou, J. An investigation in performance of a variable speed displacement pump-controlled motor system. IEEE/ASME Trans. Mechatron. 2017, 22, 647–656. [Google Scholar] [CrossRef]
- Sakaino, S.; Sakuma, T.; Tsuji, T. A control strategy for electro-hydrostatic actuator considering static friction, resonance, and oil Leakage. IEEE J. Ind. Appl. 2019, 8, 279–286. [Google Scholar] [CrossRef]
- Shi, H.; Yang, H.; Gong, G.; Liu, H.; Hou, D. Energy saving of cutterhead hydraulic drive system of shield tunneling machine. Autom. Constr. 2014, 37, 11–21. [Google Scholar] [CrossRef]
- Zhang, Q.; Wang, F.; Cheng, M.; Xu, B. Energy efficiency improvement of battery powered wheel loader with an electric-hydrostatic hybrid powertrain. Proc. Inst. Mech. Eng. Part D J. Automob. Eng. 2022, 237, 75–88. [Google Scholar] [CrossRef]
- Li, Y.; He, L. Counterbalancing speed control for hydrostatic drive heavy vehicle under long down-slope. IEEE/ASME Trans. Mechatron. 2015, 20, 1533–1542. [Google Scholar] [CrossRef]
- Wang, F.; Wu, Z.; Xu, B.; Fiebig, W. A mode-driven control strategy to reduce electric drive peak power of hybrid wheel loader propulsion system. IEEE Trans. Veh. Technol. 2023, 72, 5948–5961. [Google Scholar] [CrossRef]
- Bender, F.; Kaszynski, M.; Sawodny, O. Drive cycle prediction and energy management optimization for hybrid hydraulic vehicles. IEEE Trans. Veh. Technol. 2013, 62, 3581–3592. [Google Scholar] [CrossRef]
- Hippalgaonkar, R.; Ivantysynova, M. Optimal power management of hydraulic hybrid mobile machines—Part I: Theoretical studies, modeling and simulation. J. Dyn. Syst. Meas. Control 2016, 138, 100201–100223. [Google Scholar] [CrossRef]
- Kim, H.; Yoo, S.; Cho, S.; Yi, K. Hybrid control algorithm for fuel consumption of a compound hybrid excavator. Autom. Constr. 2016, 68, 1–10. [Google Scholar] [CrossRef]
- Kwon, H.; Ivantysynova, M. Experimental and theoretical studies on energy characteristics of hydraulic hybrids for thermal management. Energy 2021, 223, 120033. [Google Scholar] [CrossRef]
- Ge, L.; Quan, L.; Zhang, X.; Dong, Z.; Yang, J. Power matching and energy efficiency improvement of hydraulic excavator driven with Speed and displacement variable power source. Chin. J. Mech. Eng. 2019, 32, 100. [Google Scholar] [CrossRef]
- Sun, H.; Yang, L.F.; Jing, J.Q. Hydraulic/electric synergy system (HESS) design for heavy hybrid vehicles. Energy 2010, 35, 5328–5335. [Google Scholar]
- Ge, L.; Quan, L.; Zhang, X.; Zhao, B.; Yang, J. Efficiency improvement and evaluation of electric hydraulic excavator with speed and displacement variable pump. Energy Convers. Manag. 2017, 150, 62–71. [Google Scholar] [CrossRef]
- Yan, Z.; Ge, L.; Quan, L. Energy-efficient electro-hydraulic power source driven by variable-speed motor. Energies 2022, 15, 4804. [Google Scholar] [CrossRef]
- Wang, F.; Hong, J.Y.; Ding, R.Q.; Xu, B.; Fiebig, W.J. A torque conversion solution to the powertrain of mobile machine and its control strategy. IEEE Trans. Veh. Technol. 2022, 71, 10361–10373. [Google Scholar] [CrossRef]
- He, X.; Liu, H.; He, S.; Hu, B.; Xiao, G. Research on the energy efficiency of energy regeneration systems for a battery-powered hydrostatic vehicle. Energy 2019, 178, 400–418. [Google Scholar] [CrossRef]
- Castaings, A.; Lhomme, W.; Trigui, R.; Bouscayrol, A. Comparison of energy management strategies of a battery/supercapacitors system for electric vehicle under real-time constraints. Appl. Energy 2016, 163, 190–200. [Google Scholar] [CrossRef]
- Froehlich, C.; Kemmetmuller, W.; Kugi, A. Model predictive control of servo-pump driven injection molding machines. IEEE Trans. Control Syst. Technol. 2020, 28, 1665–1680. [Google Scholar] [CrossRef]
- Deppen, T.O.; Alleyne, A.G.; Meyer, J.J.; Stelson, K.A. Comparative study of energy management strategies for hydraulic hybrids. J. Dyn. Syst. Meas. Control 2015, 137, 041002. [Google Scholar] [CrossRef]
- Zhang, Q.; Wang, F.; Xu, B.; Sun, Z. Online optimization of Pontryagin’s minimum principle for a series hydraulic hybrid wheel loader. Proc. Inst. Mech. Eng. Part D J. Automob. Eng. 2021, 236, 1487–1499. [Google Scholar] [CrossRef]
- Jung, D.; Cho, S.W.; Park, S.J.; Min, K.D. Application of a modified thermostatic control strategy to parallel mild HEV for improving fuel economy in urban driving conditions. Int. J. Automot. Technol. 2016, 17, 339–346. [Google Scholar] [CrossRef]
- Wen, Q.Y.; Wang, F.; Xu, B.; Sun, Z. Improving the fuel efficiency of compact wheel loader with a series hydraulic hybrid powertrain. IEEE Trans. Veh. Technol. 2020, 69, 10700–10709. [Google Scholar] [CrossRef]
- Do, H.T.; Park, H.G.; Ahn, K.K. Application of an adaptive fuzzy sliding mode controller in velocity control of a secondary controlled hydrostatic transmission system. Mechatronics 2014, 24, 1157–1165. [Google Scholar] [CrossRef]
- Backas, J.; Ghabcheloo, R.; Tkkanen, S.; Huhtala, K. Fuel optimal controller for hydrostatic drives and real-world experiments on a wheel loader. Int. J. Fluid Power 2016, 17, 187–201. [Google Scholar] [CrossRef]
- Zhao, J.Y.; Wang, Z.Y.; Qin, Y.M.; Wang, J.X. Research on the hydraulic driving system and engine power match in TLC900 transporting grider vehicle. Chin. J. Mech. Eng. 2007, 18, 878–881. [Google Scholar]
- Ye, H.; Ni, X.; Chen, H.; Li, D.; Pan, W. Constant speed control of hydraulic travel system based on neural network algorithm. Processes 2022, 10, 944. [Google Scholar] [CrossRef]
- Zeng, X.; Li Ly Song, D.; Li, L.; Li, G. Model predictive control based on time-varying efficiency for hydraulic hub-motor driving vehicle. Proc. Inst. Mech. Eng. Part D J. Automob. Eng. 2021, 235, 2949–2963. [Google Scholar] [CrossRef]
- Xu, B. Characteristics of volumetric losses and efficiency of axial piston pump with respect to displacement conditions. J. Zhejiang Univ. Sci. A 2016, 17, 186–201. [Google Scholar] [CrossRef]
- Tan, Y.; Yu, X.; Wang, X.; Lv, Q.; Shi, M. Interaction analysis and multi-response optimization of transformer winding design parameters. Int. Commun. Heat Mass Transf. 2022, 137, 106233. [Google Scholar] [CrossRef]
- Keller, N.; Ivantysynova, M. A new approach to sizing low pressure systems. In Proceedings of the ASME/BATH 2017 Symposium on Fluid Power & Motion Control, Sarasota, FL, USA, 16–19 October 2017. [Google Scholar]
- Vardhan, A.; Dasgupta, K. Mapping the efficiency of the hydrostatic drive for the rotary head of drill machine using high-speed low-torque hydraulic motors. Arab. J. Sci. Eng. 2018, 43, 4703–4712. [Google Scholar] [CrossRef]
- Manring, N.D. Mapping the efficiency for a hydrostatic transmission. J. Dyn. Syst. Meas. Control 2016, 138, 031004. [Google Scholar] [CrossRef]
- Pandey, A.K.; Vardhan, A.; Dasgupta, K. Theoretical and experimental studies of the steady-state performance of a primary and secondary-controlled closed-circuit hydrostatic drive. Proc. Inst. Mech. Eng. Part E J. Process Mech. Eng. 2019, 233, 1024–1035. [Google Scholar] [CrossRef]
- Bosch Rexroth, A.G. Easy Machine Operation with Rexroth Automotive Drive and Anti-Stall Control; Bosch Group: Elchingen, Germany, 2003. [Google Scholar]
- Eaton Corporation. ETAC: Electronic Transmission Automotive Control User’s Manual; Eaton Corporation: Eden Prairie, MN, USA, 2007. [Google Scholar]












| Vehicle | Status | Mass (×103 kg) | Velocity (km/h) | Motor Speed (r/min) |
|---|---|---|---|---|
| THY900 | Empty load | 300 | 0–10 | 0–3500 |
| Heavy load | 900 | 0–6 | 0–2200 |
| Component | Type | Parameters | Number |
|---|---|---|---|
| ICE | DEUTZ BF8M1015 | Rated power: 410 kw Max speed: 2100 r/min Max torque: 2273 Nm | 2 |
| Variable pump | Rexroth A4VG250EP2 | Displacement: 0–250 mL/r Rated pressure: 350 bar Control signal: 200–600 mA | 4 |
| Variable motor | Rexroth A6VE80EP2 | Displacement: 0–80 mL/r Rated pressure: 350 bar Control signal: 200–600 mA | 24 |
| Reducer | Rexroth GFT36T3B79 | Ratio: 79.36 | 24 |
| Tire | Radius: 0.6 m | 144 |
| Variable | Status | Max | Min | Average |
|---|---|---|---|---|
| Empty load | 3500 | 0 | 1783 | |
| Heavy load | 2282 | 0 | 1720 | |
| Empty load | 254 | −133 | 60 | |
| Heavy load | 397 | −100 | 163 | |
| Empty load | 3.3% | |||
| Heavy load | 9.5% | |||
| Status | Adaptive Controller (ADC) | Rule-Based Controller (RBC) | |||||||
|---|---|---|---|---|---|---|---|---|---|
| Slope (%) | Mass (×103 kg) | Velocity (km/h) | Distance (m) | Distance (m) | |||||
| 0 | 300 | 2 | 213.6 | 1.27 | 5.95 | −25.8 | 221.4 | 1.77 | 8.02 |
| 4 | 405 | 1.63 | 4.04 | −26.3 | 440 | 2.41 | 5.48 | ||
| 6 | 579.7 | 2.06 | 3.55 | −24.0 | 662.1 | 3.09 | 4.67 | ||
| 8 | 776.0 | 2.64 | 3.40 | −19.8 | 887.9 | 3.77 | 4.24 | ||
| 10 | 977.3 | 3.26 | 3.34 | −11.4 | 1117.5 | 4.22 | 3.77 | ||
| 900 | 1 | 99.6 | 1.57 | 15.76 | −9.0 | 98.4 | 1.70 | 17.31 | |
| 2 | 204.0 | 2.22 | 10.88 | −4.7 | 203.3 | 2.32 | 11.42 | ||
| 3 | 306.0 | 3.21 | 10.48 | −5.5 | 296 | 3.28 | 11.09 | ||
| 5 | 511.6 | 5.49 | 10.72 | −2.8 | 475.6 | 5.25 | 11.03 | ||
| 6 | 590.6 | 6.96 | 11.79 | −3.5 | 580.0 | 7.09 | 12.22 | ||
Disclaimer/Publisher’s Note: The statements, opinions and data contained in all publications are solely those of the individual author(s) and contributor(s) and not of MDPI and/or the editor(s). MDPI and/or the editor(s) disclaim responsibility for any injury to people or property resulting from any ideas, methods, instructions or products referred to in the content. |
© 2023 by the authors. Licensee MDPI, Basel, Switzerland. This article is an open access article distributed under the terms and conditions of the Creative Commons Attribution (CC BY) license (https://creativecommons.org/licenses/by/4.0/).
Share and Cite
Wang, H.; Zhang, Y.; An, Z.; Liu, R. An Energy-Efficient Adaptive Speed-Regulating Method for Pump-Controlled Motor Hydrostatic Drive Powertrains. Processes 2024, 12, 25. https://doi.org/10.3390/pr12010025
Wang H, Zhang Y, An Z, Liu R. An Energy-Efficient Adaptive Speed-Regulating Method for Pump-Controlled Motor Hydrostatic Drive Powertrains. Processes. 2024; 12(1):25. https://doi.org/10.3390/pr12010025
Chicago/Turabian StyleWang, Huashuai, Yanbin Zhang, Zhangshun An, and Rongsheng Liu. 2024. "An Energy-Efficient Adaptive Speed-Regulating Method for Pump-Controlled Motor Hydrostatic Drive Powertrains" Processes 12, no. 1: 25. https://doi.org/10.3390/pr12010025
APA StyleWang, H., Zhang, Y., An, Z., & Liu, R. (2024). An Energy-Efficient Adaptive Speed-Regulating Method for Pump-Controlled Motor Hydrostatic Drive Powertrains. Processes, 12(1), 25. https://doi.org/10.3390/pr12010025

