Online Monitoring of Flowmeter Anomaly in Tobacco Production Process Using Sliding Window Recursive Lasso
Abstract
1. Introduction
2. Methodologies
2.1. Lasso Regression
- (1)
- Linearity: Lasso assumes that the relationship between the predictor variables and the response variable is linear.
- (2)
- Independence: Lasso assumes that the observations are independent of each other. In other words, the value of one observation should not influence the value of another observation.
- (3)
- Homoscedasticity: Lasso assumes that the variance of the errors is constant across all levels of the predictor variables. This is known as homoscedasticity.
- (4)
- Normality: Lasso assumes that the errors are normally distributed.
- (5)
- No multicollinearity: Lasso assumes that there is no perfect or near-perfect linear relationship between any pair of predictor variables. This is known as multicollinearity.
2.2. Recursive Lasso
| Algorithm 1: Lasso online update (adding observations). | 
| STEP1: calculate to . | 
| STEP2: Initialize the non-zero coefficients of to the “effective set”, let . Let and be the subvectors of and according to the “effective set”, and be a submatrix of whose columns are the “effective set”. initialization . Initialize turning point . | 
| STEP3: Calculate the next turning point . If the turning point is smaller than the previous turning point or if the turning point is greater than 1, skip to STEP5. If the i-th element in becomes 0, choose case 1. Otherwise, if the absolute value of the j-th element in reaches 1, choose case 2. | 
| CASE1: ➀ The i-th element in becomes 0; | 
| ➁ remove i from the “active set”; | 
| ➂ set to 0. | 
| CASE2: ➀ The absolute value of the j-th element of reaches 1; | 
| ➁ Add j to the “valid set”; | 
| ➂ If the element reaches 1 (or −1), set to 1 (or −1). | 
| STEP4: Update , and according to the updated “effective set”; | 
| Update . | 
| STEP5: Computes the final result when , where the value of is given by the active set of . | 
2.3. The Sliding-Window Strategy for Anomaly Detection
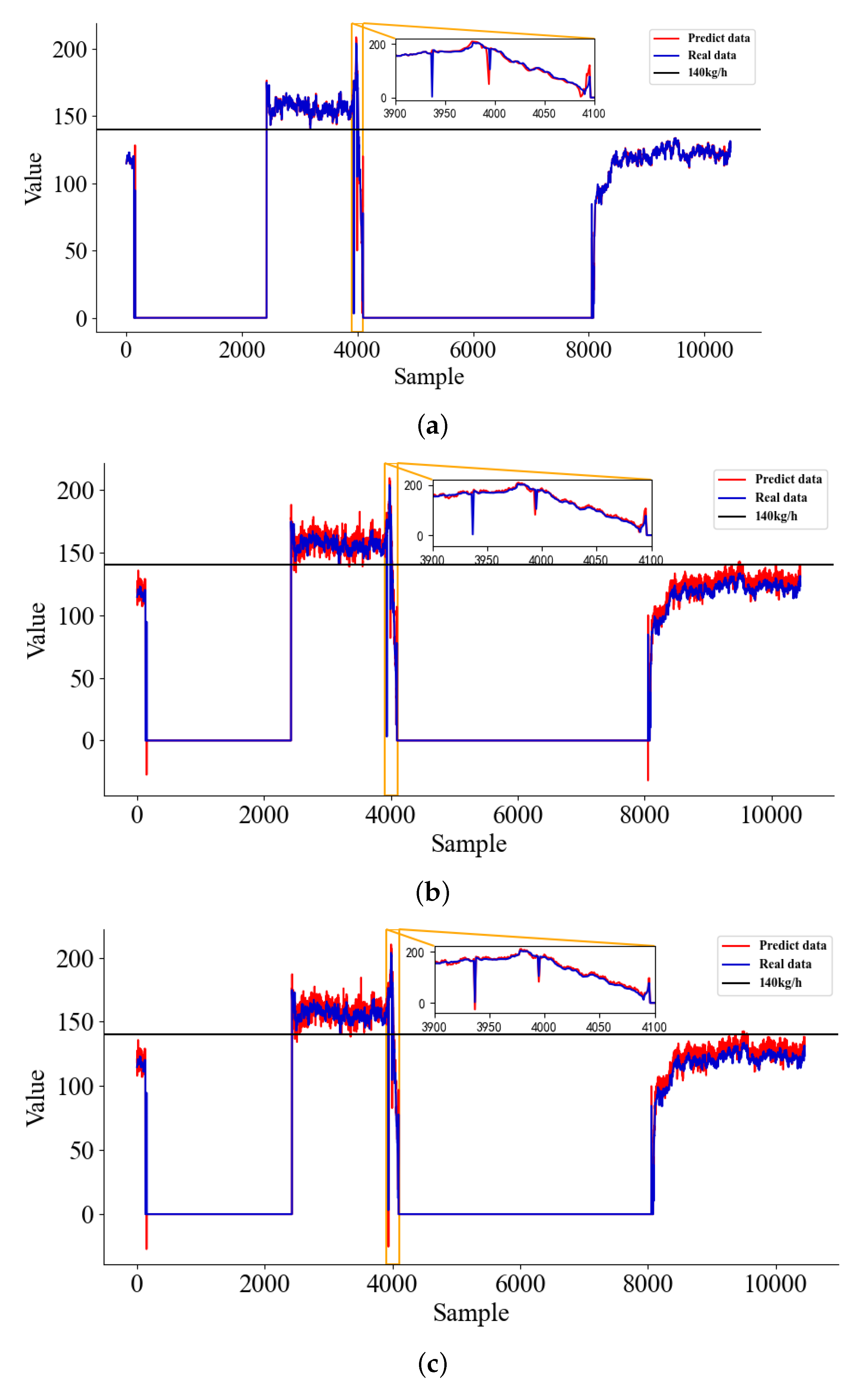
3. Application Results and Discussion
4. Conclusions
Author Contributions
Funding
Conflicts of Interest
References
- Pike, P.; Pennycook, K. Commissioning of BEMS: Code of Practice; Building Services Research and Information Association: Bracknell, UK, 1992. [Google Scholar]
- Sun, Y.; Liu, X.; Chen, X.; Sun, Q.; Zhao, J. Research and application of a fault self-diagnosis method for roots flowmeter based on wsn node. Wirel. Pers. Commun. 2017, 95, 2315–2330. [Google Scholar] [CrossRef]
- Ran, Z.; Liang, W. Research on diagnosis of faulty working turbine gas flowmeter. In Proceedings of the 2021 33rd Chinese Control and Decision Conference (CCDC), Kunming, China, 22–24 May 2021; pp. 3588–3592. [Google Scholar]
- Wang, J.; Tavoosi, J.; Mohammadzadeh, A.; Mobayen, S.; Asad, J.H.; Assawinchaichote, W.; Vu, M.T.; Skruch, P. Non-singleton type-3 fuzzy approach for flowmeter fault detection: Experimental study in a gas industry. Sensors 2021, 21, 7419. [Google Scholar] [CrossRef] [PubMed]
- Sun, Z.; Zhang, H. Application of empirical mode decomposition based energy ratio to vortex flowmeter state diagnosis. J. Cent. South Univ. Technol. 2009, 16, 154–159. [Google Scholar] [CrossRef]
- Tang, X.; Xie, X.; Fan, B.; Sun, Y. A fault-tolerant flow measuring method based on pso-svm with transit-time multipath ultrasonic gas flowmeters. IEEE Trans. Instrum. Meas. 2018, 67, 992–1005. [Google Scholar] [CrossRef]
- Zhang, H.; Zhang, X.; Zhang, S. Investigation on flow instrument fast fault detection based on LSSVM predictor. In Proceedings of the 2010 Sixth International Conference on Natural Computation, Yantai, China, 10–12 August 2010; Volume 3, pp. 1271–1275. [Google Scholar]
- Chen, W.; Zeng, J.; Li, Y.; Luo, S. Improved pca-based fault isolation using sparse group lasso. In Proceedings of the 2020 IEEE 9th Data Driven Control and Learning Systems Conference (DDCLS), Liuzhou, China, 20–22 November 2020; pp. 156–161. [Google Scholar]
- Cascianelli, S.; Crocetti, F.; Costante, G.; Valigi, P.; Fravolini, M.L. Data-based design of robust fault isolation residuals using lasso optimization. In Proceedings of the 2019 International Conference on Control, Automation and Diagnosis (ICCAD), Grenoble, France, 2–4 July 2019; pp. 1–6. [Google Scholar]
- Chen, Y.; Hao, X.; Zhang, G.; Wang, S. Flow meter fault isolation in building central chilling systems using wavelet analysis. Energy Convers. Manag. 2006, 47, 1700–1710. [Google Scholar] [CrossRef]
- Yang, R.; Satou, Y.; Tateno, S.; Matsuyama, H. Fault diagnosis of flow meters utilizing historical data. In Proceedings of the 2006 SICE-ICASE International Joint Conference, Busan, Republic of Korea, 18–21 October 2006; pp. 4703–4708. [Google Scholar]
- Garrigues, P.; Ghaoui, L. An homotopy algorithm for the lasso with online observations. In Proceedings of the 21st International Conference on Neural Information Processing Systems, Red Hook, NY, USA, 8–10 December 2008; Advances in neural information processing systems. Volume 21. [Google Scholar]
- Tibshirani, R. Regression shrinkage and selection via the lasso. J. R. Stat. Soc. Ser. B Methodol. 1996, 58, 267–288. [Google Scholar] [CrossRef]
- Efron, B.; Hastie, T.; Johnstone, I.; Tibshirani, R. Least angle regression. Ann. Stat. 2004, 32, 407–499. [Google Scholar] [CrossRef]
- Sherman, J.; Morrison, W.J. Adjustment of an inverse matrix corresponding to a change in one element of a given matrix. Ann. Math. Stat. 1950, 21, 124–127. [Google Scholar] [CrossRef]
- Saeed, H.A.; Wang, H.; Peng, M.; Hussain, A.; Nawaz, A. Online fault monitoring based on deep neural network & sliding window technique. Prog. Nucl. Energy 2020, 121, 103236. [Google Scholar]
- Jadon, A.; Patil, A.; Jadon, S. A comprehensive survey of regression based loss functions for time series forecasting. arXiv 2022, arXiv:2211.02989. [Google Scholar]
- Chen, S.; Peng, M.; Xiong, H.; Wu, S. An anomaly detection method based on lasso. Clust. Comput. 2019, 22, 5407–5419. [Google Scholar] [CrossRef]
- Hoerl, A.E.; Kennard, R.W. Ridge regression: Biased estimation for nonorthogonal problems. Technometrics 1970, 12, 55–67. [Google Scholar] [CrossRef]
- Galal, M.A.; Hussein, W.M.; Abdelkawy, E.E. Satellite battery sensor values prediction using bayesian ridge regression models. IOP Conf. Ser. Mater. Sci. Eng. 2019, 610, 012012. [Google Scholar] [CrossRef]





| Method | MAE | RMSE | 
|---|---|---|
| Ridge | 16.3249 | 4.0404 | 
| Lasso | 22.3342 | 4.7259 | 
| Sliding-window Recursive Lasso | 8.1479 | 2.8544 | 
| Disclaimer/Publisher’s Note: The statements, opinions and data contained in all publications are solely those of the individual author(s) and contributor(s) and not of MDPI and/or the editor(s). MDPI and/or the editor(s) disclaim responsibility for any injury to people or property resulting from any ideas, methods, instructions or products referred to in the content. | 
© 2023 by the authors. Licensee MDPI, Basel, Switzerland. This article is an open access article distributed under the terms and conditions of the Creative Commons Attribution (CC BY) license (https://creativecommons.org/licenses/by/4.0/).
Share and Cite
Guan, Z.; Liu, S.; Liu, Y.; Cui, T.; Yang, L.; Cai, J.; Liu, B.; Liu, Y.; Li, J. Online Monitoring of Flowmeter Anomaly in Tobacco Production Process Using Sliding Window Recursive Lasso. Processes 2023, 11, 1519. https://doi.org/10.3390/pr11051519
Guan Z, Liu S, Liu Y, Cui T, Yang L, Cai J, Liu B, Liu Y, Li J. Online Monitoring of Flowmeter Anomaly in Tobacco Production Process Using Sliding Window Recursive Lasso. Processes. 2023; 11(5):1519. https://doi.org/10.3390/pr11051519
Chicago/Turabian StyleGuan, Ziyi, Suijun Liu, Ying Liu, Ting Cui, Linchao Yang, Jinhui Cai, Bin Liu, Yuhao Liu, and Jinming Li. 2023. "Online Monitoring of Flowmeter Anomaly in Tobacco Production Process Using Sliding Window Recursive Lasso" Processes 11, no. 5: 1519. https://doi.org/10.3390/pr11051519
APA StyleGuan, Z., Liu, S., Liu, Y., Cui, T., Yang, L., Cai, J., Liu, B., Liu, Y., & Li, J. (2023). Online Monitoring of Flowmeter Anomaly in Tobacco Production Process Using Sliding Window Recursive Lasso. Processes, 11(5), 1519. https://doi.org/10.3390/pr11051519
 
        

 
       