Isolation, Structural Elucidation, In Vitro Anti-α-Glucosidase, Anti-β-Secretase, and In Silico Studies of Bioactive Compound Isolated from Syzygium cumini L.
Abstract
1. Introduction
2. Results
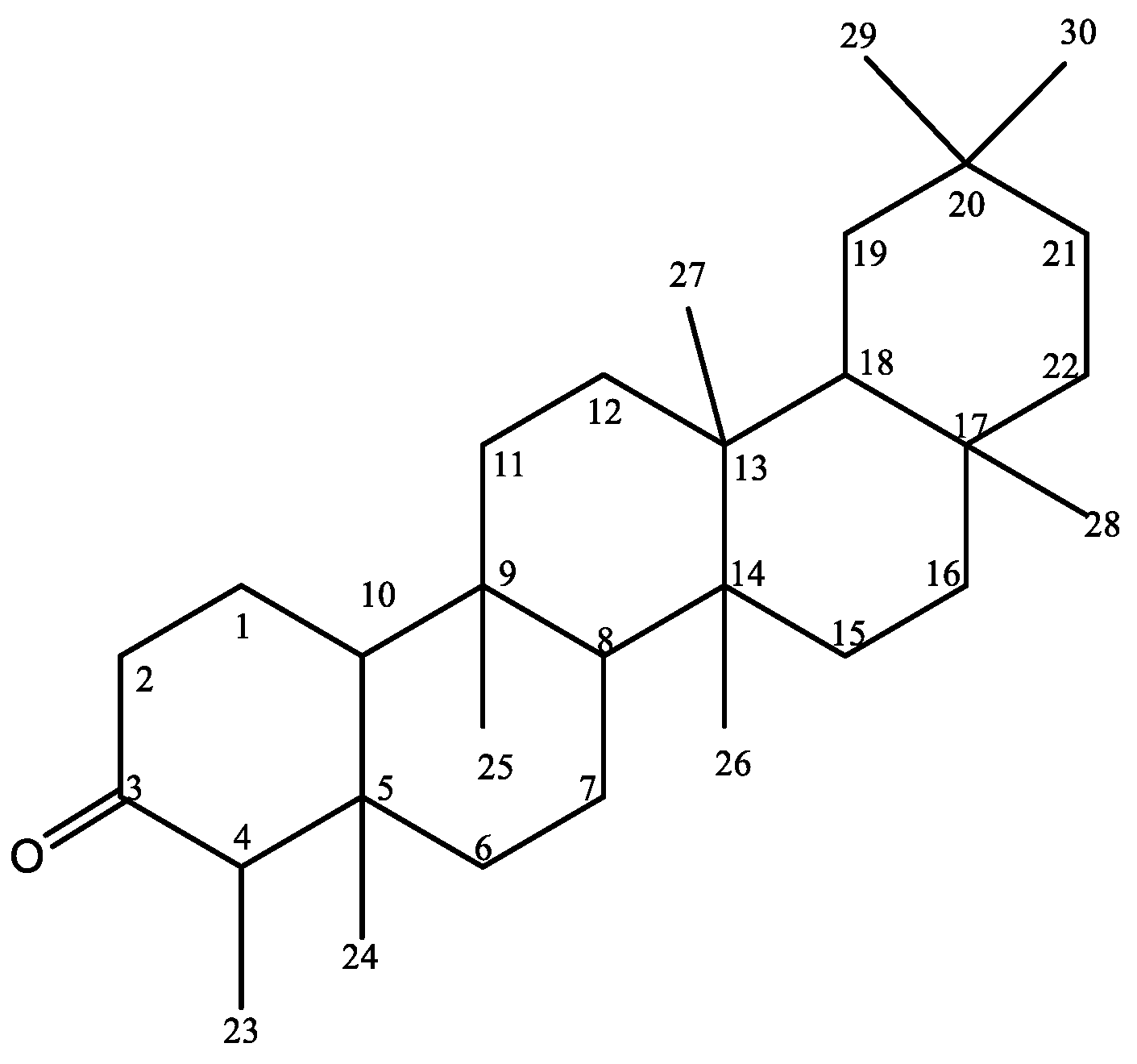
2.1. Structure Elucidation of Compound 1
2.2. α-Glucosidase Inhibitory Effects
2.3. β-Secretase Inhibitory Effects
2.4. Docking Results
2.5. ADMET Prediction
3. Discussion
4. Materials and Methods
4.1. Plant Collections
4.2. Extraction and Isolation
4.3. α-Glucosidase Inhibitory Screening
4.4. β-Secretase Inhibitory Screening
4.5. Docking Methodology
4.6. ADMET Prediction Methodology
4.7. Statistical Analysis
5. Conclusions
Author Contributions
Funding
Data Availability Statement
Acknowledgments
Conflicts of Interest
Sample Availability
References
- Rauf, A.; Khan, I.A.; Muhammad, N.; Al-Awthan, Y.S.; Bahattab, O.; Israr, M.; Mubarak, M.S. Phytochemical composition, in vitro urease, α-glucosidase and phosphodiesterase inhibitory potency of Syzygium cumini (Jamun) fruits. S. Afr. J. Bot. 2021, 143, 418–421. [Google Scholar] [CrossRef]
- Mubassara, S.; Biswas, K.K.; Hasan, M.M.; Hossain, M.I.; Paul, S. In Vitro Phytochemical, Antibacterial and Antioxidant analysis in different plant part of Syzium cumini. Int. J. Pharmacog. Phytochem. Res. 2015, 7, 150–155. [Google Scholar]
- Singh, R.; Upadhyay, S.K.; Rani, A.; Kumar, P.; Kumar, A.; Sharma, P. Ethnobotanical study of Subhartipuram, Meerut, Uttar Pradesh, India. I. Diversity and pharmacological significance of trees. Int. J. Pharm. Res. 2019, 11, 782–794. [Google Scholar]
- Singh, R.; Upadhyay, S.K. Phytodiversity of wild flora from Maharishi Markandeshwar (Deemed to be University), Mullana Ambala, Haryana. India. Bull. Pure Appl. Sci. 2018, 37, 130–136. [Google Scholar] [CrossRef]
- Singh, R.; Upadhyay, S.K.; Rani, A.; Kumar, P.; Kumar, A. Ethanobotanical study of Subhartipuram, Meerut, Uttar Pradesh, India. II. Diversity and Pharmacological significance of shrubs and climbers. Int. J. Pharm. Res. 2020, 12, 383–393. [Google Scholar]
- Rates, S.M. Plants as source of drugs. Toxicology 2001, 39, 603–613. [Google Scholar] [CrossRef]
- Nayami, D.W.; Arika, W.; Ogola, P.E.; Njagi, E.N.M.; Ngugi, M.P. Medically Important Phytochemicals—A review. J. Pharmacog. Phytochem. Res. 2016, 4, 35–49. [Google Scholar]
- Sinha, K.; Mishra, N.P.; Singh, J.; Khanuja, S.P. Tinospora cordifolia (Guduchi): A reservoir plant for therapeutic applications: A review. Indian J. Trad. Know. 2004, 3, 257–270. [Google Scholar]
- Singh, S.; Pandey, S.C.; Srivastava, S.; Gupta, V.S.; Patro, B.; Ghosh, A.C. Chemistry and Medicinal Properties of Tinospora cordifolia. Indian J. Pharmacol. 2003, 35, 83–91. [Google Scholar]
- Mervat, M.M.E.F.; Hanan, A.A.T. Antioxidant activities, total anthocyanins, phenolics and flavor- noids contents of some sweet potato genotypes under stress of different concentrations of sucrose and sorbitol. Aust. J. Basic Appl. Sci. 2009, 3, 3609–3616. [Google Scholar]
- Patel, R.K.; Patel, J.B.; Trivedi, P.D. Spectrophotometric method for the estimation of total alkaloids in the Tinospora cordifolia M. and its herbal formulations. Inter. J. Pharm. Sci. 2015, 7, 249–251. [Google Scholar]
- Lee, J.Y.; Yoon, J.W.; Kim, C.T.; Lim, S.T. Antioxidant activity of phenylpropanoid esters isolated and identified from Platycodon grandiflorum A. DC. Phytochemistry 2004, 65, 3033–3039. [Google Scholar] [CrossRef]
- Wealth of India. Raw Materials; CSIR: New Delhi, India, 1976; Volume X, pp. 100–104. [Google Scholar]
- Atta, U.; Zaman, K. Medicinal plants with hypoglycemic activity. J. Ethanopharmacol. 1989, 26, 1–55. [Google Scholar] [CrossRef]
- Texixeri, C.C.; Rava, C.A.; Silva, P.M.; Melchior, R.; Argenta, R.; Anselmi, F.; Almeida, C.R.C.; Fuchs, F.D. Absence of antihyperglycemic effect of jamboloan in experimental and clinical models. J. Ethnopharmacol. 2000, 71, 343–347. [Google Scholar]
- Warrier, P.K.; Nambiar, V.P.K.; Ramankutty, C. Indian Medicinal Plants; Orient Longaman, Ltd.: Bengaluru, India, 1996; pp. 225–228. [Google Scholar]
- Hussein, J.; El-Khayat, Z.; Taha, M.; Morsy, S.; Drees, E.; Khateeb, S. Insulin resistance and oxidative stress in diabetic rats treated with flaxseed oil. J. Med. Plants Res. 2012, 6, 5499–5506. [Google Scholar]
- Sunil, C.; Duraipandiyan, V.; Ignacimuthu, S.; Al-Dhabi, N.A. Antioxidant, free radical scavenging and liver protective effects of friedelin isolated from Azima tetracantha Lam. leaves. Food Chem. 2013, 139, 860–865. [Google Scholar] [CrossRef]
- Antonisamy, P.; Duraipandiyan, V.; Ignacimuthu, S.; Kim, J.H. Anti-diarrhoeal activity of friedelin isolated from Azima tetracantha lam. in wistar rats. South Ind. J. Biol. Sci. 2015, 1, 34–37. [Google Scholar] [CrossRef]
- Gowdu Viswanathan, M.B.; Ananthi, J.D.J.; Kumar, P.S. Antimicrobial activity of bioactive compounds and leaf extracts in Jatropha tanjorensis. Fitoterapia 2012, 83, 1153–1159. [Google Scholar] [CrossRef]
- Ambarwati, N.S.S.; Elya, B.; Malik, A.; Hanafi, M.; Omar, H. Isolation, characterization, and antibacterial assay of friedelin from Garcinia latissima Miq. leaves. J. Phys. Conf. Ser. 2019, 1402, 055078. [Google Scholar] [CrossRef]
- Akihisa, T.; Yamamoto, K.; Tamura, T.; Kimura, Y.; Iida, T.; Nambara, T.; Chang, F.C. Triterpenoid Ketones from Lingnania chungii MoClure: Arborinone, friedelin and glutinone. Chem. Pharm. Bull. 1992, 40, 789–791. [Google Scholar] [CrossRef]
- Ambarwati, N.S.S.; Azminah, A.; Ahmad, I. Molecular Docking, Physicochemical and Drug-likeness Properties of Isolated Compounds from Garcinia latissima Miq. on Elastase Enzyme: In Silico Analysis. Pharmacogn. Mag. 2022, 14, 282–288. [Google Scholar]
- Tripathi, I.P.; Dwivedi, N.; Singh, R. Phytochemical Studies on Syzygium cumini: A Tradisional Drugs for Diabetes. Paripex Indian J. Med. Res. 2017, 6, 1989–1992. [Google Scholar]
- DeFronzo, R.A.; Ferrannini, E.; Groop, L.; Henry, R.R.; Herman, W.H.; Holst, J.J.; Weiss, R. Type 2 diabetes mellitus. Nat. Rev. Dis. Primers 2015, 1, 1–22. [Google Scholar]
- Patel, V.S.; Chitra, V.; Prasanna, P.L.; Krishnaraju, V. Hypoglycemic effect of aqueous extract of Parthenium hysterophorus L. in normal and alloxan induced diabetic rats. Indian J. Pharmacol. 2008, 40, 183. [Google Scholar] [CrossRef]
- Auslander, W.; Haire-Joshu, D.; Houston, C.; Rhee, C.W.; Williams, J.H. A controlled evaluation of staging dietary patterns to reduce the risk of diabetes in African-American women. Diabetes Care 2002, 25, 809–814. [Google Scholar] [CrossRef] [PubMed]
- Anturlikar, S.D.; Gopumadhavan, S.; Chauhan, B.L.; Mitra, S.K. Effect of D-400, a herbal formulation on blood sugar of normal and alloxan-induced diabetic rats. Indian J. Physiol. Pharmacol. 1995, 39, 95. [Google Scholar]
- Suthiphasilp, V.; Maneerat, W.; Andersen, R.J.; Phukhatmuen, P.; Pyne, S.G.; Laphookhieo, S. Dasymaschalolactams A–E, aristolactams from a twig extract of Dasymaschalon dasymaschalum. J. Nat. Prod. 2019, 82, 3176–3180. [Google Scholar] [CrossRef] [PubMed]
- Kumar, A.; Ilavarasan, R.; Jayachandran, T.; Deecaraman, M.; Aravindan, P.; Padmanabhan, N.; Krishan, M.R.V. Anti-diabetic activity of Syzygium cumini and its isolated compound against streptozotocin-induced diabetic rats. J. Med. Plant Res. 2008, 2, 246–249. [Google Scholar]
- Rashid, U.; Ansari, F.L. Challenges in designing therapeutic agents for treating Alzheimer’s disease-From serendipity to rationality. Drug Design and Discovery in Alzheimer’s Disease; Elsevier: Amsterdam, The Netherlands, 2014; pp. 40–141. [Google Scholar]
- Cole, S.L.; Vassar, R. The Alzheimer’s disease β-secretase enzyme, BACE1. Mol. Neurodegener. 2007, 2, 1–25. [Google Scholar] [CrossRef]
- Schechter, I.; Ziv, E. Cathepsins S, B and L with aminopeptidases display β-secretase activity associated with the pathogenesis of Alzheimer’s disease. Biol. Chem. 2011, 392, 555–569. [Google Scholar] [CrossRef]
- LeFevre, J.W.; McNeill, K.I.; Moore, J.L. Isolatingfriedelin from cork and reducing it to friedelinol and epifriedelinol. A project involving NMR spectrometry and molecular modeling. J. Chem. Educ. 2001, 78, 535. [Google Scholar] [CrossRef]
- Bawazeer, S.; Rauf, A.; Bawazeer, S. Potent In Vitro α-glucosidase and β-secretase Inhibition of Amyrin-Type Triterpenoid Isolated from Datura metel Linnaeus (Angel’s Trumpet) Fruits. Biomed. Res. Int. 2020, 2020, 8530165. [Google Scholar] [CrossRef]
- Rauf, A.; Uddin, G.; Khan, A.; Siddiqui, B.S.; Arfan, M.; Dalvandi, K.; Hadda, T.B. Pistagremic acid, a novel β-secretase enzyme (BACE1) inhibitor from Pistacia integerrima Stewart. Nat. Prod. Res. 2015, 29, 1735–1738. [Google Scholar] [CrossRef]
- Qazi, S.; Das, S.; Khuntia, B.K.; Sharma, V.; Sharma, S.; Sharma, G.; Raza, K. In silico molecular docking and molecular dynamic simulation analysis of phytochemicals from Indian foods as potential inhibitors of SARS-CoV-2 RdRp and 3CLpro. Nat. Prod. Commun. 2021, 16, 1934578X211031707. [Google Scholar] [CrossRef]
- Wadood, A.; Riaz, M.; Jamal, S.B.; Shah, M.; Lodhi, M.A. Molecular docking study of P4-Benzoxaborolesubstituted ligands as inhibitors of HCV NS3/4A protease. Bioinformation 2013, 9, 309. [Google Scholar] [CrossRef]
- Hari, S. In silico molecular docking and ADME/T analysis of plant compounds against IL17A and IL18 targets in gouty arthriis. J. Appl. Pharm. Sci. 2019, 9, 18–26. [Google Scholar]




| Carbon No | 1H-NMR CHEMICAL Shift Values (δ in ppm)/Multiplicity | 13C-NMR Chemical Shift Values (δ in ppm) |
|---|---|---|
| 1 | 1.95; 1.71/Overlapped | 18.8 |
| 2 | 2.37; 2.27/m | 36.2 |
| 3 | - | 213.4 |
| 4 | 2.23/q | 58.4 |
| 5 | - | 38.0 |
| 6 | 1.73; 1.26/Overlapped | 41.7 |
| 7 | 1.47; 1.38/m | 18.1 |
| 8 | 1.38/dd | 53.2 |
| 9 | - | 37.1 |
| 10 | 1.51/m | 59.5 |
| 11 | 1.43; 1.22/m | 35.5 |
| 12 | 1.31; 1.38/Overlapped | 31.9 |
| 13 | - | 38.3 |
| 14 | - | 39.6 |
| 15 | 1.45; 1.24/m | 32.2 |
| 16 | 1.53; 1.30/Overlapped | 35.5 |
| 17 | - | 30.0 |
| 18 | 1.54/m | 42.9 |
| 19 | 1.35; 1.21/m | 35.2 |
| 20 | - | 28.1 |
| 21 | 1.49/Overlapped | 32.2 |
| 22 | 1.49; 0.93/m | 41.4 |
| 23 | 1.01/d | 7.0 |
| 24 | 0.73/s | 14.2 |
| 25 | 0.87/s | 14.8 |
| 26 | 1.01/s | 18.1 |
| 27 | 1.05/s | 18.1 |
| 28 | 1.18/s | 32.6 |
| 29 | 0.95/s | 32.2 |
| 30 | 1.05 (s) | 32.2 |
| Samples/Standard | Concentrations (µg/mL) | % Inhibition | IC50 ± SEM (µM) |
|---|---|---|---|
| Hexane | 0.2 | 26.09 | NA |
| Chloroform | 0.2 | 86.20 | 77.09 ± 1.98 |
| Methanol | 0.2 | 79.32 | 87.54 ± 1.87 |
| Friedelin | 0.2 | 95.34 | 17.54 ± 1.54 |
| Standard | 0.2 | 91.34 | 23.07 ± 1.01 |
| Samples/Standard | Concentrations (µg/mL) | % Inhibition | IC50 ± SEM (µM) |
|---|---|---|---|
| Hexane | 0.2 | 48.12 | NA |
| Chloroform | 0.2 | 83.21 | 318.76 ± 2.09 |
| Methanol | 0.2 | 66.87 | 364.65 ± 1.73 |
| Friedelin | 0.2 | 91.54 | 290.43 ± 1.65 |
| Standard | 0.2 | 94.39 | 280.54 ± 1.43 |
| Protein | Compound | Compound Atoms | Interacting Residues | Interaction Type | Distance | Energy (Kcal/mol) | Docking Score |
|---|---|---|---|---|---|---|---|
| α-glucosidase | friedelin 1 | C 33 | ASP 231 | H-donor | 3.75 | −0.1 | −6.4683 |
| C 39 | ASP 233 | H-donor | 3.72 | −0.1 | |||
| C 49 | CYS 172 | H-donor | 3.80 | −0.2 | |||
| α-glucosidase | acarbose | O 18 | ASP 408 | H-donor | 2.98 | −0.8 | −6.3214 |
| N 19 | GLU 304 | H-donor | 2.93 | −0.9 | |||
| C 39 | HIS 279 | H-pi | 3.70 | −1.1 | |||
| β-Secretase | friedelin 1 | C 23 | PRO 70 | H-donor | 3.75 | −0.2 | −6.8493 |
| C 25 | PRO 70 | H-donor | 3.72 | −0.4 | |||
| C 30 | TRP 197 | H-pi | 3.80 | −0.2 | |||
| β-Secretase | berberine chloride | C 7 | GLY 34 | H-donor | 3.67 | −0.1 | −6.621 |
| O 3 | ILE 118 | H-acceptor | 3.64 | −0.2 | |||
| 6-ring | SER 35 | chloride | 3.48 | −0.3 |
| Compound ID | Hydrogen Bond Acceptor | Hydrogen Bond Donor | Log p | Molecular Weight (Da) |
|---|---|---|---|---|
| 1 | 1 | 0 | 8.457 | 426.729 |
| Category | Property with Unit | Compound 1 |
|---|---|---|
| Absorption | Water solubility (log mol/L) | −6.46 |
| Caco2 permeability (log Papp in 10−6cm/s) | 1.343 | |
| Intestinal absorption (%) | 100 | |
| Skin permeability (log Kp) | −2.578 | |
| Distribution | VDss (human) (log L/kg) | 0.094 |
| BBB permeability | 0.757 | |
| CNS permeability (log PS) | −1.657 | |
| Metabolism | CYP2D6 substrate | No |
| CYP3A4 substrate | Yes | |
| CYP1A2 inhibitor | No | |
| CYP2C19 inhibitor | No | |
| CYP2C9 inhibitor | No | |
| Excretion | Total Clearance(log ml/min/kg) | −0.04 |
| Renal OCT2 substrate | No | |
| Toxicity | AMES toxicity | No |
| Max. tolerated dose (human) (log mg/kg/day) | 0.546 | |
| Oral Rat Acute Toxicity (LD50) (mol/kg) | 2.387 | |
| Hepatotoxicity | No | |
| Skin Sensitization | No | |
| Minnow toxicity (log mM) | −3.15 |
Disclaimer/Publisher’s Note: The statements, opinions and data contained in all publications are solely those of the individual author(s) and contributor(s) and not of MDPI and/or the editor(s). MDPI and/or the editor(s) disclaim responsibility for any injury to people or property resulting from any ideas, methods, instructions or products referred to in the content. |
© 2023 by the authors. Licensee MDPI, Basel, Switzerland. This article is an open access article distributed under the terms and conditions of the Creative Commons Attribution (CC BY) license (https://creativecommons.org/licenses/by/4.0/).
Share and Cite
Mujawah, A.; Rauf, A.; Bawazeer, S.; Wadood, A.; Hemeg, H.A.; Bawazeer, S. Isolation, Structural Elucidation, In Vitro Anti-α-Glucosidase, Anti-β-Secretase, and In Silico Studies of Bioactive Compound Isolated from Syzygium cumini L. Processes 2023, 11, 880. https://doi.org/10.3390/pr11030880
Mujawah A, Rauf A, Bawazeer S, Wadood A, Hemeg HA, Bawazeer S. Isolation, Structural Elucidation, In Vitro Anti-α-Glucosidase, Anti-β-Secretase, and In Silico Studies of Bioactive Compound Isolated from Syzygium cumini L. Processes. 2023; 11(3):880. https://doi.org/10.3390/pr11030880
Chicago/Turabian StyleMujawah, Adil, Abdur Rauf, Sami Bawazeer, Abdul Wadood, Hassan A. Hemeg, and Saud Bawazeer. 2023. "Isolation, Structural Elucidation, In Vitro Anti-α-Glucosidase, Anti-β-Secretase, and In Silico Studies of Bioactive Compound Isolated from Syzygium cumini L." Processes 11, no. 3: 880. https://doi.org/10.3390/pr11030880
APA StyleMujawah, A., Rauf, A., Bawazeer, S., Wadood, A., Hemeg, H. A., & Bawazeer, S. (2023). Isolation, Structural Elucidation, In Vitro Anti-α-Glucosidase, Anti-β-Secretase, and In Silico Studies of Bioactive Compound Isolated from Syzygium cumini L. Processes, 11(3), 880. https://doi.org/10.3390/pr11030880

