Recent Progress of Non-Pt Catalysts for Oxygen Reduction Reaction in Fuel Cells
Abstract
1. Introduction
2. Non-Pt-Based ORR SACs
2.1. Single Metal Active Site ORR SACs
2.1.1. Fe-Based SACs
2.1.2. Cu-Based SACs
2.1.3. Mn-Based SACs
2.1.4. Zn-Based SACs
2.1.5. Co-Based SACs
2.1.6. Other Conventional Transition Metal-Based SACs
Summary and Outlook
2.2. Multimetallic Active Site ORR SACs
2.2.1. Dual Metal Active Site ORR SACs
2.2.2. Other Types of Multi-Metal Active Site ORR SACs
Summary and Outlook
2.3. Noble Metal-Based ORR SACs
Outlook and Summary
3. Non-Metallic ORR Catalysts
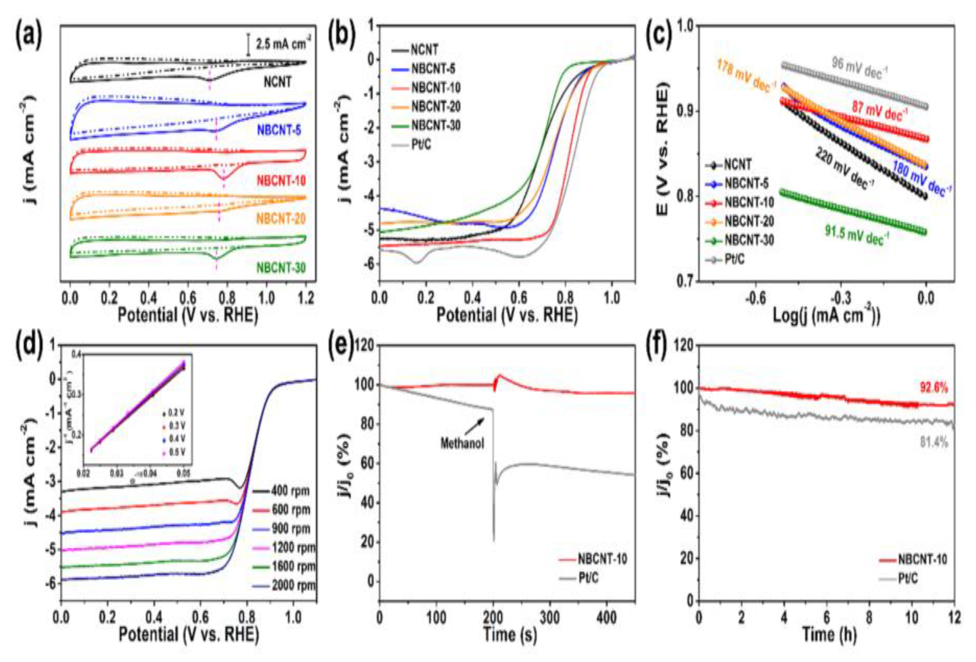
3.1. N-Doped Catalysts
3.2. B-Doped Catalysts
3.3. Polyatomic Doped Catalysts
3.4. Other Types of Non-Metal Catalysts
3.5. Summary and Outlook
4. Alloy ORR Catalysts
4.1. Bimetallic Alloy-Based Catalysts
4.2. Trimetallic Alloys
4.3. Other Types of Alloy Catalysts
4.4. Summary and Outlook
5. High-Entropy Alloy ORR Catalysts
5.1. High-Entropy Alloy ORR Catalysts Containing Noble Metals
5.2. High-Entropy Alloy ORR Catalyst without Noble Metals
5.3. Summary and Outlook
6. Other Types of Non-Pt Fuel Cell ORR Catalysts
6.1. Transition Metal Oxide Catalysts
6.2. Transition Metal Sulfide Catalysts
6.3. Other Types of Fuel Cell Catalysts
6.4. Summary and Outlook
7. Conclusions and Outlook
Supplementary Materials
Author Contributions
Funding
Conflicts of Interest
References
- Kendall, M. Fuel cell development for New Energy Vehicles (NEVs) and clean air in China. Prog. Nat. Sci. Mater. Int. 2018, 28, 113–120. [Google Scholar] [CrossRef]
- Tian, X.; Lu, X.F.; Xia, B.Y.; Lou, X.W. Advanced Electrocatalysts for the Oxygen Reduction Reaction in Energy Conversion Technologies. Joule 2020, 4, 45–68. [Google Scholar] [CrossRef]
- Debe, M.K. Electrocatalyst approaches and challenges for automotive fuel cells. Nature 2012, 486, 43–51. [Google Scholar] [CrossRef] [PubMed]
- Banham, D.; Ye, S. Current status and future development of catalyst materials and catalyst layers for proton exchange membrane fuel cells: An industrial perspective. ACS Energy Lett. 2017, 2, 629–638. [Google Scholar] [CrossRef]
- You, P.Y.; Kamarudin, S.K. Recent progress of carbonaceous materials in fuel cell applications: An overview. Chem. Eng. J. 2017, 309, 489–502. [Google Scholar] [CrossRef]
- Seh, Z.W.; Kibsgaard, J.; Dickens, C.F.; Chorkendorff, I.; Nørskov, J.K.; Jaramillo, T.F. Combining theory and experiment in electrocatalysis: Insights into materials design. Science 2017, 355, eaad4998. [Google Scholar] [CrossRef]
- Jiao, Y.; Zheng, Y.; Jaroniec, M.; Qiao, S.Z. Design of electrocatalysts for oxygen- and hydrogen-involving energy conversion reactions. Chem. Soc. Rev. 2015, 44, 2060–2086. [Google Scholar] [CrossRef]
- Guo, S.; Zhang, S.; Sun, S. Tuning Nanoparticle Catalysis for the Oxygen Reduction Reaction. Angew. Chem. Int. Ed. 2013, 52, 8526–8544. [Google Scholar] [CrossRef]
- Wroblowa, H.S.; Yen Chi, P.; Razumney, G. Electroreduction of oxygen: A new mechanistic criterion. J. Electroanal. Chem. Interfacial Electrochem. 1976, 69, 195–201. [Google Scholar] [CrossRef]
- Masa, J.; Andronescu, C.; Schuhmann, W. Electrocatalysis as the nexus for sustainable renewable energy: The gordian knot of activity, stability, and selectivity. Angew. Chem. Int. Ed. 2020, 59, 15298–15312. [Google Scholar] [CrossRef]
- Gong, M.; Li, Y.; Wang, H.; Liang, Y.; Wu, J.Z.; Zhou, J.; Wang, J.; Regier, T.; Wei, F.; Dai, H. An Advanced Ni–Fe Layered Double Hydroxide Electrocatalyst for Water Oxidation. J. Am. Chem. Soc. 2013, 135, 8452–8455. [Google Scholar] [CrossRef]
- Qiao, J.; Liu, Y.; Hong, F.; Zhang, J. A review of catalysts for the electroreduction of carbon dioxide to produce low-carbon fuels. Chem. Soc. Rev. 2014, 43, 631–675. [Google Scholar] [CrossRef]
- Shao, M.; Chang, Q.; Dodelet, J.-P.; Chenitz, R. Recent Advances in Electrocatalysts for Oxygen Reduction Reaction. Chem. Rev. 2016, 116, 3594–3657. [Google Scholar] [CrossRef]
- Zhong, K.; Li, M.; Yang, Y.; Zhang, H.; Zhang, B.; Tang, J.; Yan, J.; Su, M.; Yang, Z. Nitrogen-doped biochar derived from watermelon rind as oxygen reduction catalyst in air cathode microbial fuel cells. Appl. Energy 2019, 242, 516–525. [Google Scholar] [CrossRef]
- Hu, B.-C.; Wu, Z.-Y.; Chu, S.-Q.; Zhu, H.-W.; Liang, H.-W.; Zhang, J.; Yu, S.-H. SiO2-protected shell-mediated templating synthesis of Fe–N-doped carbon nanofibers and their enhanced oxygen reduction reaction performance. Energy Environ. Sci. 2018, 11, 2208–2215. [Google Scholar] [CrossRef]
- Sharifi, T.; Gracia-Espino, E.; Chen, A.; Hu, G.; Wågberg, T. Oxygen Reduction Reactions on Single- or Few-Atom Discrete Active Sites for Heterogeneous Catalysis. Adv. Energy Mater. 2020, 10, 1902084. [Google Scholar] [CrossRef]
- Puthiyapura, V.K.; Brett, D.J.; Russell, A.E.; Lin, W.-F.; Hardacre, C. Biobutanol as Fuel for Direct Alcohol Fuel Cells—Investigation of Sn-Modified Pt Catalyst for Butanol Electro-oxidation. ACS Appl. Mater. Interfaces 2016, 8, 12859–12870. [Google Scholar] [CrossRef]
- Ma, Z.; Cano, Z.P.; Yu, A.; Chen, Z.; Jiang, G.; Fu, X.; Yang, L.; Wu, T.; Bai, Z.; Lu, J. Enhancing Oxygen Reduction Activity of Pt-based Electrocatalysts: From Theoretical Mechanisms to Practical Methods. Angew. Chem. 2020, 132, 18490–18504. [Google Scholar] [CrossRef]
- Kong, F.; Ren, Z.; Norouzi Banis, M.; Du, L.; Zhou, X.; Chen, G.; Zhang, L.; Li, J.; Wang, S.; Li, M.; et al. Active and Stable Pt–Ni Alloy Octahedra Catalyst for Oxygen Reduction via Near-Surface Atomical Engineering. ACS Catal. 2020, 10, 4205–4214. [Google Scholar] [CrossRef]
- Ye, C.-W.; Xu, L. Recent advances in the design of a high-performance metal–nitrogen–carbon catalyst for the oxygen reduction reaction. J. Mater. Chem. 2021, 9, 22218–22247. [Google Scholar] [CrossRef]
- Bhoyate, S.D.; Kim, J.; de Souza, F.M.; Lin, J.; Lee, E.; Kumar, A.; Gupta, R.K. Science, and engineering for non-noble-metal-based electrocatalysts to boost their ORR performance: A critical review. Coord. Chem. Rev. 2023, 474, 214854. [Google Scholar] [CrossRef]
- Niu, W.J.; He, J.Z.; Gu, B.N.; Liu, M.C.; Chueh, Y.L. Opportunities and Challenges in Precise Synthesis of Transition Metal Single-Atom Supported by 2D Materials as Catalysts toward Oxygen Reduction Reaction. Adv. Funct. Mater. 2021, 31, 2103558. [Google Scholar] [CrossRef]
- Zhang, Z.; Hu, J.; Li, B.; Qi, Q.; Zhang, Y.; Chen, J.; Dong, P.; Zhang, C.; Zhang, Y.; Leung, M.K.H. Recent research progress on high-entropy alloys as electrocatalytic materials. J. Alloys Compd. 2022, 918, 165585. [Google Scholar] [CrossRef]
- Huang, X.; Yang, G.; Li, S.; Wang, H.; Cao, Y.; Peng, F.; Yu, H. Noble-metal-based high-entropy-alloy nanoparticles for electrocatalysis. J. Energy Chem. 2022, 68, 721–751. [Google Scholar] [CrossRef]
- Huo, X.; Yu, H.; Xing, B.; Zuo, X.; Zhang, N. Review of High Entropy Alloys Electrocatalysts for Hydrogen Evolution, Oxygen Evolution, and Oxygen Reduction Reaction. Chem. Rec. 2022, 22, e202200175. [Google Scholar] [CrossRef]
- Hossen, S.; Hossain, M.K.; Basher, M.K.; Mia, M.N.H.; Rahman, M.T.; Uddin, M.J. Smart nanocarrier-based drug delivery systems for cancer therapy and toxicity studies: A review. J. Adv. Res. 2019, 15, 1–18. [Google Scholar] [CrossRef]
- Hossain, M.K.; Rubel, M.; Akbar, M.A.; Ahmed, M.H.; Haque, N.; Rahman, M.F.; Hossain, J.; Hossain, K.M. A review on recent applications and future prospects of rare earth oxides in corrosion and thermal barrier coatings, catalysts, tribological, and environmental sectors. Ceram. Int. 2022, 48, 32588–32612. [Google Scholar] [CrossRef]
- Hossain, M.K.; Hasan, S.K.; Hossain, M.I.; Das, R.C.; Bencherif, H.; Rubel, M.; Rahman, M.F.; Emrose, T.; Hashizume, K. A Review of Applications, Prospects, and Challenges of Proton-Conducting Zirconates in Electrochemical Hydrogen Devices. Nanomaterials 2022, 12, 3581. [Google Scholar] [CrossRef]
- Afzal, M.J.; Tayyaba, S.; Ashraf, M.W.; Khan, M.; Javaid, F.; Basher, M.K.; Hossain, M.K. A Review on Microchannel Fabrication Methods and Applications in Large-Scale and Prospective Industries. Evergreen 2022, 9, 764–808. [Google Scholar] [CrossRef]
- Khan, S.; Hossain, M.K. Classification and properties of nanoparticles. In Nanoparticle-Based Polymer Composites; Elsevier: Amsterdam, The Netherlands, 2022; pp. 15–54. [Google Scholar] [CrossRef]
- Jasinski, R. A New Fuel Cell Cathode Catalyst. Nature 1964, 201, 1212–1213. [Google Scholar] [CrossRef]
- Gupta, S.; Tryk, D.; Bae, I.; Aldred, W.; Yeager, E. Heat-treated polyacrylonitrile-based catalysts for oxygen electroreduction. J. Appl. Electrochem. 1989, 19, 19–27. [Google Scholar] [CrossRef]
- Jahnke, H.; Schönborn, M.; Zimmermann, G. Organic dyestuffs as catalysts for fuel cells. Phys. Chem. Appl. Dyest. 1976, 61, 133–181. [Google Scholar]
- Bagotzky, V.; Tarasevich, M.; Radyushkina, K.; Levina, O.; Andrusyova, S. Electrocatalysis of the oxygen reduction process on metal chelates in acid electrolyte. J. Power Sources 1978, 2, 233–240. [Google Scholar] [CrossRef]
- Qiao, B.; Wang, A.; Yang, X.; Allard, L.F.; Jiang, Z.; Cui, Y.; Liu, J.; Li, J.; Zhang, T. Single-atom catalysis of CO oxidation using Pt1/FeOx. Nat. Chem. 2011, 3, 634–641. [Google Scholar] [CrossRef]
- Zhao, C.X.; Li, B.Q.; Liu, J.N.; Zhang, Q. Intrinsic Electrocatalytic Activity Regulation of M-N-C Single-Atom Catalysts for the Oxygen Reduction Reaction. Angew Chem. Int. Ed. Engl. 2021, 60, 4448–4463. [Google Scholar] [CrossRef]
- Zhao, X.; Yang, X.; Wang, M.; Hwang, S.; Karakalos, S.G.; Chen, M.; Qiao, Z.; Wang, L.; Liu, B.; Ma, Q.; et al. Single-Iron Site Catalysts with Self-Assembled Dual-size Architecture and Hierarchical Porosity for Proton-Exchange Membrane Fuel Cells. Appl. Catal. B-Environ. 2020, 279, 119400. [Google Scholar] [CrossRef]
- Yao, Y.; You, Y.; Zhang, G.; Liu, J.; Sun, H.; Zou, Z.; Sun, S. Highly Functional Bioinspired Fe/N/C Oxygen Reduction Reaction Catalysts: Structure-Regulating Oxygen Sorption. ACS Appl. Mater. Interfaces 2016, 8, 6464–6471. [Google Scholar] [CrossRef]
- Hanif, S.; Shi, X.; Iqbal, N.; Noor, T.; Anwar, R.; Kannan, A.M. ZIF derived PtNiCo/NC cathode catalyst for proton exchange membrane fuel cell. Appl. Catal. B Environ. 2019, 258, 117947. [Google Scholar] [CrossRef]
- Kramm, U.I. Non Precious Catalysts for Fuel Cells-A short review on Mößbauer spectroscopy of Fe-NC catalysts for ORR. ECS Trans. 2013, 58, 119. [Google Scholar] [CrossRef]
- Martens, I.; Melo, L.G.A.; West, M.M.; Wilkinson, D.P.; Bizzotto, D.; Hitchcock, A.P. Imaging Reactivity of the Pt–Ionomer Interface in Fuel-Cell Catalyst Layers. ACS Catal. 2020, 10, 8285–8292. [Google Scholar] [CrossRef]
- Suryanarayana, C. Mechanical alloying and milling. Prog. Mater. Sci. 2001, 46, 1–184. [Google Scholar] [CrossRef]
- Mun, Y.; Lee, S.; Kim, K.; Kim, S.; Lee, S.; Han, J.W.; Lee, J. Versatile Strategy for Tuning ORR Activity of a Single Fe-N4 Site by Controlling Electron-Withdrawing/Donating Properties of a Carbon Plane. J. Am. Chem. Soc. 2019, 141, 6254–6262. [Google Scholar] [CrossRef] [PubMed]
- He, Y.; Hwang, S.; Cullen, D.A.; Uddin, M.A.; Langhorst, L.; Li, B.; Karakalos, S.; Kropf, A.J.; Wegener, E.C.; Sokolowski, J.; et al. Highly active atomically dispersed CoN4 fuel cell cathode catalysts derived from surfactant-assisted MOFs: Carbon-shell confinement strategy. Energy Environ. Sci. 2019, 12, 250–260. [Google Scholar] [CrossRef]
- Peng, H.; Liu, F.; Liu, X.; Liao, S.; You, C.; Tian, X.; Nan, H.; Luo, F.; Song, H.; Fu, Z.; et al. Effect of Transition Metals on the Structure and Performance of the Doped Carbon Catalysts Derived From Polyaniline and Melamine for ORR Application. ACS Catal. 2014, 4, 3797–3805. [Google Scholar] [CrossRef]
- Fu, X.; Li, N.; Ren, B.; Jiang, G.; Liu, Y.; Hassan, F.M.; Su, D.; Zhu, J.; Yang, L.; Bai, Z.; et al. Tailoring FeN4 Sites with Edge Enrichment for Boosted Oxygen Reduction Performance in Proton Exchange Membrane Fuel Cell. Adv. Energy Mater. 2019, 9, 1803737. [Google Scholar] [CrossRef]
- Wang, M.; Qian, T.; Liu, S.; Zhou, J.; Yan, C. Unprecedented Activity of Bifunctional Electrocatalyst for High Power Density Aqueous Zinc–Air Batteries. ACS Appl. Mater. Interfaces 2017, 9, 21216–21224. [Google Scholar] [CrossRef]
- Wang, J.; Wu, H.; Gao, D.; Miao, S.; Wang, G.; Bao, X. High-density iron nanoparticles encapsulated within nitrogen-doped carbon nanoshell as efficient oxygen electrocatalyst for zinc-air battery. Nano Energy 2015, 13, 387–396. [Google Scholar] [CrossRef]
- Zhang, J.; Zhang, M.; Zeng, Y.; Chen, J.; Qiu, L.; Zhou, H.; Sun, C.; Yu, Y.; Zhu, C.; Zhu, Z. Single Fe Atom on Hierarchically Porous S, N-Codoped Nanocarbon Derived from Porphyra Enable Boosted Oxygen Catalysis for Rechargeable Zn-Air Batteries. Small 2019, 15, e1900307. [Google Scholar] [CrossRef]
- Hu, X.; Chen, S.; Chen, L.; Tian, Y.; Yao, S.; Lu, Z.; Zhang, X.; Zhou, Z. What is the Real Origin of the Activity of Fe–N–C Electrocatalysts in the O2 Reduction Reaction? Critical Roles of Coordinating Pyrrolic N and Axially Adsorbing Species. J. Am. Chem. Soc. 2022, 144, 18144–18152. [Google Scholar] [CrossRef]
- Xie, X.; Shang, L.; Xiong, X.; Shi, R.; Zhang, T. Fe Single-Atom Catalysts on MOF-5 Derived Carbon for Efficient Oxygen Reduction Reaction in Proton Exchange Membrane Fuel Cells. Adv. Energy Mater. 2022, 12, 2102688. [Google Scholar] [CrossRef]
- Jiao, L.; Zhang, R.; Wan, G.; Yang, W.; Wan, X.; Zhou, H.; Shui, J.; Yu, S.-H.; Jiang, H.-L. Nanocasting SiO2 into metal–organic frameworks imparts dual protection to high-loading Fe single-atom electrocatalysts. Nat. Commun. 2020, 11, 2831. [Google Scholar] [CrossRef]
- Lu, F.; Fan, K.; Cui, L.; Li, B.; Yang, Y.; Zong, L.; Wang, L. Engineering FeN4 active sites onto nitrogen-rich carbon with tubular channels for enhanced oxygen reduction reaction performance. Appl. Catal. B Environ. 2022, 313, 121464. [Google Scholar] [CrossRef]
- Gupta, S.; Zhao, S.; Ogoke, O.; Lin, Y.; Xu, H.; Wu, G. Engineering Favorable Morphology and Structure of Fe-N-C Oxygen-Reduction Catalysts through Tuning of Nitrogen/Carbon Precursors. ChemSusChem 2017, 10, 774–785. [Google Scholar] [CrossRef]
- Fang, X.; Jiao, L.; Yu, S.H.; Jiang, H.L. Metal-Organic Framework-Derived FeCo-N-Doped Hollow Porous Carbon Nanocubes for Electrocatalysis in Acidic and Alkaline Media. ChemSusChem 2017, 10, 3019–3024. [Google Scholar] [CrossRef]
- Zhang, H.; Hwang, S.; Wang, M.; Feng, Z.; Karakalos, S.; Luo, L.; Qiao, Z.; Xie, X.; Wang, C.; Su, D.; et al. Single Atomic Iron Catalysts for Oxygen Reduction in Acidic Media: Particle Size Control and Thermal Activation. J. Am. Chem. Soc. 2017, 139, 14143–14149. [Google Scholar] [CrossRef]
- Zhao, L.; Zhang, Y.; Huang, L.-B.; Liu, X.-Z.; Zhang, Q.-H.; He, C.; Wu, Z.-Y.; Zhang, L.-J.; Wu, J.; Yang, W.; et al. Cascade anchoring strategy for general mass production of high-loading single-atomic metal-nitrogen catalysts. Nat. Commun. 2019, 10, 1278. [Google Scholar] [CrossRef]
- Ge, X.; Su, G.; Che, W.; Yang, J.; Zhou, X.; Wang, Z.; Qu, Y.; Yao, T.; Liu, W.; Wu, Y. Atomic filtration by graphene oxide membranes to access atomically dispersed single atom catalysts. ACS Catal. 2020, 10, 10468–10475. [Google Scholar] [CrossRef]
- Gu, W.; Wu, M.; Xu, J.; Zhao, T. MXene boosted metal-organic framework-derived Fe–N–C as an efficient electrocatalyst for oxygen reduction reactions. Int. J. Hydrogen Energy 2022, 47, 17224–17232. [Google Scholar] [CrossRef]
- Li, Z.; Zhuang, Z.; Lv, F.; Zhu, H.; Zhou, L.; Luo, M.; Zhu, J.; Lang, Z.; Feng, S.; Chen, W.; et al. The Marriage of the FeN4 Moiety and MXene Boosts Oxygen Reduction Catalysis: Fe 3d Electron Delocalization Matters. Adv. Mater. 2018, 30, 1803220. [Google Scholar] [CrossRef]
- Yang, L.; Huang, N.; Luo, C.; Yu, H.; Sun, P.; Lv, X.; Sun, X. Atomically dispersed and nanoscaled Co species embedded in micro-/mesoporous carbon nanosheet/nanotube architecture with enhanced oxygen reduction and evolution bifunction for Zn-Air batteries. Chem. Eng. J. 2021, 404, 127112. [Google Scholar] [CrossRef]
- Su, C.; Liu, Y.; Luo, Z.; Veder, J.-P.; Zhong, Y.; Shao, Z. Defects-rich porous carbon microspheres as green electrocatalysts for efficient and stable oxygen-reduction reaction over a wide range of pH values. Chem. Eng. J. 2021, 406, 126883. [Google Scholar] [CrossRef]
- Zhang, Y.; Wang, P.; Yang, J.; Li, K.; Long, X.; Li, M.; Zhang, K.; Qiu, J. Fabrication of core-shell nanohybrid derived from iron-based metal-organic framework grappled on nitrogen-doped graphene for oxygen reduction reaction. Chem. Eng. J. 2020, 401, 126001. [Google Scholar] [CrossRef]
- Gu, W.; Hu, L.; Hong, W.; Jia, X.; Li, J.; Wang, E. Noble-metal-free Co3S4–S/G porous hybrids as an efficient electrocatalyst for oxygen reduction reaction. Chem. Sci. 2016, 7, 4167–4173. [Google Scholar] [CrossRef]
- Liu, Y.; Shen, Y.; Zhu, S.; Li, D. TiN nanoparticles hybridized with Fe, N co-doped carbon nanosheets composites as highly efficient electrocatalyst for oxygen reduction reaction. Chem. Eng. J. 2020, 400, 125968. [Google Scholar] [CrossRef]
- Yang, H.; Li, Z.; Kou, S.; Lu, G.; Liu, Z. A complex-sequestered strategy to fabricate Fe single-atom catalyst for efficient oxygen reduction in a broad pH-range. Appl. Catal. B Environ. 2020, 278, 119270. [Google Scholar] [CrossRef]
- Li, Z.; Shao, M.; Zhou, L.; Zhang, R.; Zhang, C.; Wei, M.; Evans, D.G.; Duan, X. Directed Growth of Metal-Organic Frameworks and Their Derived Carbon-Based Network for Efficient Electrocatalytic Oxygen Reduction. Adv. Mater. 2016, 28, 2337–2344. [Google Scholar] [CrossRef]
- Lin, L.; Zhu, Q.; Xu, A.-W. Noble-Metal-Free Fe–N/C Catalyst for Highly Efficient Oxygen Reduction Reaction under Both Alkaline and Acidic Conditions. J. Am. Chem. Soc. 2014, 136, 11027–11033. [Google Scholar] [CrossRef]
- Jin, H.; Zhao, X.; Liang, L.; Ji, P.; Liu, B.; Hu, C.; He, D.; Mu, S. Sulfate Ions Induced Concave Porous S-N Co-Doped Carbon Confined FeCx Nanoclusters with Fe-N4 Sites for Efficient Oxygen Reduction in Alkaline and Acid Media. Small 2021, 17, 2101001. [Google Scholar] [CrossRef]
- Gao, L.; Xiao, M.; Jin, Z.; Liu, C.; Ge, J.; Xing, W. Hydrogen etching induced hierarchical meso/micro-pore structure with increased active density to boost ORR performance of Fe-NC catalyst. J. Energy Chem. 2019, 35, 17–23. [Google Scholar] [CrossRef]
- Qin, F.; Chen, W. Copper-based single-atom alloys for heterogeneous catalysis. Chem. Commun. 2021, 57, 2710–2723. [Google Scholar] [CrossRef]
- Kang, L.; Wang, B.; Güntner, A.T.; Xu, S.; Wan, X.; Liu, Y.; Marlow, S.; Ren, Y.; Gianolio, D.; Tang, C.C.; et al. The Electrophilicity of Surface Carbon Species in the Redox Reactions of CuO-CeO2 Catalysts. Angew. Chem. Int. Ed. 2021, 60, 14420–14428. [Google Scholar] [CrossRef]
- Jiang, Z.; Sun, W.; Shang, H.; Chen, W.; Sun, T.; Li, H.; Dong, J.; Zhou, J.; Li, Z.; Wang, Y.; et al. Atomic Interface Effect of Single Atom Copper Catalyst for Enhanced Oxygen Reduction Reaction. Energy Environ. Sci. 2019, 12, 3508–3514. [Google Scholar] [CrossRef]
- Cui, L.; Cui, L.; Li, Z.; Zhang, J.; Wang, H.; Lu, S.; Xiang, Y. A copper single-atom catalyst towards efficient and durable oxygen reduction for fuel cells. J. Mater. Chem. A 2019, 7, 16690–16695. [Google Scholar] [CrossRef]
- Qu, Y.; Li, Z.; Chen, W.; Lin, Y.; Yuan, T.; Yang, Z.; Zhao, C.; Wang, J.; Zhao, C.; Wang, X. Direct transformation of bulk copper into copper single sites via emitting and trapping of atoms. Nat. Catal. 2018, 1, 781–786. [Google Scholar] [CrossRef]
- Wang, D.; Ao, C.-c.; Liu, X.; Fang, S.-M.; Lin, Y.; Liu, W.; Zhang, W.; Zheng, X.; Zhang, L.; Yao, T. Coordination-Engineered Cu–Nx Single-Site Catalyst for Enhancing Oxygen Reduction Reaction. ACS Appl. Energy Mater. 2019, 2, 6497–6504. [Google Scholar] [CrossRef]
- Yang, Y.; Mao, K.; Gao, S.; Huang, H.; Xia, G.; Lin, Z.; Jiang, P.; Wang, C.; Wang, H.; Chen, Q. O-, N-atoms-coordinated Mn cofactors within a graphene framework as bioinspired oxygen reduction reaction electrocatalysts. Adv. Mater. 2018, 30, 1801732. [Google Scholar] [CrossRef]
- Xu, Q.; Guo, C.; Tian, S.; Zhang, J.; Chen, W.; Cheong, W.-C.; Gu, L.; Zheng, L.; Xiao, J.; Liu, Q.; et al. Coordination structure dominated performance of single-atomic Pt catalyst for anti-Markovnikov hydroboration of alkenes. Sci. China Mater. 2020, 63, 972–981. [Google Scholar] [CrossRef]
- Shang, H.; Zhou, X.; Dong, J.; Li, A.; Zhao, X.; Liu, Q.; Lin, Y.; Pei, J.; Li, Z.; Jiang, Z.; et al. Engineering unsymmetrically coordinated Cu-S(1)N(3) single atom sites with enhanced oxygen reduction activity. Nat. Commun. 2020, 11, 3049. [Google Scholar] [CrossRef]
- Li, J.; Chen, M.; Cullen, D.A.; Hwang, S.; Wang, M.; Li, B.; Liu, K.; Karakalos, S.; Lucero, M.; Zhang, H.; et al. Atomically dispersed manganese catalysts for oxygen reduction in proton-exchange membrane fuel cells. Nat. Catal. 2018, 1, 935–945. [Google Scholar] [CrossRef]
- Gupta, S.; Zhao, S.; Wang, X.X.; Hwang, S.; Karakalos, S.; Devaguptapu, S.V.; Mukherjee, S.; Su, D.; Xu, H.; Wu, G. Quaternary FeCoNiMn-Based Nanocarbon Electrocatalysts for Bifunctional Oxygen Reduction and Evolution: Promotional Role of Mn Doping in Stabilizing Carbon. ACS Catal. 2017, 7, 8386–8393. [Google Scholar] [CrossRef]
- Zhong, Y.; Liang, X.; He, Z.; Tan, W.; Zhu, J.; Yuan, P.; Zhu, R.; He, H. The constraints of transition metal substitutions (Ti, Cr, Mn, Co and Ni) in magnetite on its catalytic activity in heterogeneous Fenton and UV/Fenton reaction: From the perspective of hydroxyl radical generation. Appl. Catal. B Environ. 2014, 150, 612–618. [Google Scholar] [CrossRef]
- Bai, L.; Duan, Z.; Wen, X.; Si, R.; Guan, J. Atomically dispersed manganese-based catalysts for efficient catalysis of oxygen reduction reaction. Appl. Catal. B Environ. 2019, 257, 117930. [Google Scholar] [CrossRef]
- Zhu, X.; Amal, R.; Lu, X. N,P Co-Coordinated Manganese Atoms in Mesoporous Carbon for Electrochemical Oxygen Reduction. Small 2019, 15, 1804524. [Google Scholar] [CrossRef]
- Wang, J.; Li, H.; Liu, S.; Hu, Y.; Zhang, J.; Xia, M.; Hou, Y.; Tse, J.; Zhang, J.; Zhao, Y. Turning on Zn 4s electrons in a N2-Zn-B2 configuration to stimulate remarkable ORR performance. Angew. Chem. 2021, 133, 183–187. [Google Scholar] [CrossRef]
- Li, J.; Chen, S.; Yang, N.; Deng, M.; Ibraheem, S.; Deng, J.; Li, J.; Li, L.; Wei, Z. Ultrahigh-Loading Zinc Single-Atom Catalyst for Highly Efficient Oxygen Reduction in Both Acidic and Alkaline Media. Angew. Chem. Int. Ed. 2019, 58, 7035–7039. [Google Scholar] [CrossRef]
- Song, P.; Luo, M.; Liu, X.; Xing, W.; Xu, W.; Jiang, Z.; Gu, L. Zn Single Atom Catalyst for Highly Efficient Oxygen Reduction Reaction. Adv. Funct. Mater. 2017, 27, 1700802. [Google Scholar] [CrossRef]
- Chen, M.; He, Y.; Spendelow, J.S.; Wu, G. Atomically Dispersed Metal Catalysts for Oxygen Reduction. ACS Energy Lett. 2019, 4, 1619–1633. [Google Scholar] [CrossRef]
- Olson, T.S.; Pylypenko, S.; Fulghum, J.E.; Atanassov, P. Bifunctional Oxygen Reduction Reaction Mechanism on Non-Platinum Catalysts Derived from Pyrolyzed Porphyrins. J. Electrochem. Soc. 2010, 157, B54. [Google Scholar] [CrossRef]
- Liu, K.; Qiao, Z.; Hwang, S.; Liu, Z.; Zhang, H.; Su, D.; Xu, H.; Wu, G.; Wang, G. Mn- and N- doped carbon as promising catalysts for oxygen reduction reaction: Theoretical prediction and experimental validation. Appl. Catal. B Environ. 2019, 243, 195–203. [Google Scholar] [CrossRef]
- Wang, X.X.; Cullen, D.A.; Pan, Y.-T.; Hwang, S.; Wang, M.; Feng, Z.; Wang, J.; Engelhard, M.H.; Zhang, H.; He, Y.; et al. Nitrogen-Coordinated Single Cobalt Atom Catalysts for Oxygen Reduction in Proton Exchange Membrane Fuel Cells. Adv. Mater. 2018, 30, 1706758. [Google Scholar] [CrossRef]
- Wang, A.L.; Sun, Y.; Liang, Z.X.; Chen, S.L. Particle Size Effects of Pt Nanocatalyst in the Catalyst Layer of Proton Exchange Membrane Fuel Cell. Acta Chim. Sin. 2009, 67, 2554–2558. [Google Scholar]
- Chen, Z.; Gong, W.; Liu, Z.; Cong, S.; Zheng, Z.; Wang, Z.; Zhang, W.; Ma, J.; Yu, H.; Li, G.; et al. Coordination-controlled single-atom tungsten as a non-3d-metal oxygen reduction reaction electrocatalyst with ultrahigh mass activity. Nano Energy 2019, 60, 394–403. [Google Scholar] [CrossRef]
- Luo, E.; Zhang, H.; Wang, X.; Gao, L.; Gong, L.; Zhao, T.; Jin, Z.; Ge, J.; Jiang, Z.; Liu, C.; et al. Single-Atom Cr-N(4) Sites Designed for Durable Oxygen Reduction Catalysis in Acid Media. Angew Chem. Int. Ed. Engl. 2019, 58, 12469–12475. [Google Scholar] [CrossRef]
- Calle-Vallejo, F.; Martínez, J.I.; Rossmeisl, J. Density functional studies of functionalized graphitic materials with late transition metals for Oxygen Reduction Reactions. Phys. Chem. Chem. Phys. 2011, 13, 15639–15643. [Google Scholar] [CrossRef]
- Liu, S.; Li, Z.; Wang, C.; Tao, W.; Huang, M.; Zuo, M.; Yang, Y.; Yang, K.; Zhang, L.; Chen, S.; et al. Turning main-group element magnesium into a highly active electrocatalyst for oxygen reduction reaction. Nat. Commun. 2020, 11, 938. [Google Scholar] [CrossRef]
- Wang, Y.; Wang, D.; Li, Y. Rational Design of Single-Atom Site Electrocatalysts: From Theoretical Understandings to Practical Applications. Adv. Mater. 2021, 33, 2008151. [Google Scholar] [CrossRef]
- Jiang, R.; Li, L.; Sheng, T.; Hu, G.; Chen, Y.; Wang, L. Edge-Site Engineering of Atomically Dispersed Fe–N4 by Selective C–N Bond Cleavage for Enhanced Oxygen Reduction Reaction Activities. J. Am. Chem. Soc. 2018, 140, 11594–11598. [Google Scholar] [CrossRef]
- Zhang, J.; Zhao, Y.; Chen, C.; Huang, Y.-C.; Dong, C.-L.; Chen, C.-J.; Liu, R.-S.; Wang, C.; Yan, K.; Li, Y.; et al. Tuning the Coordination Environment in Single-Atom Catalysts to Achieve Highly Efficient Oxygen Reduction Reactions. J. Am. Chem. Soc. 2019, 141, 20118–20126. [Google Scholar] [CrossRef]
- Duraisamy, V.; Senthil Kumar, S.M. N and P dual heteroatom doped mesoporous hollow carbon as an efficient oxygen reduction reaction catalyst in alkaline electrolyte. Int. J. Hydrogen Energy 2022, 47, 17992–18006. [Google Scholar] [CrossRef]
- Yuan, K.; Lützenkirchen-Hecht, D.; Li, L.; Shuai, L.; Li, Y.; Cao, R.; Qiu, M.; Zhuang, X.; Leung, M.K.H.; Chen, Y.; et al. Boosting Oxygen Reduction of Single Iron Active Sites via Geometric and Electronic Engineering: Nitrogen and Phosphorus Dual Coordination. J. Am. Chem. Soc. 2020, 142, 2404–2412. [Google Scholar] [CrossRef]
- Han, A.; Wang, X.; Tang, K.; Zhang, Z.; Ye, C.; Kong, K.; Hu, H.; Zheng, L.; Jiang, P.; Zhao, C.; et al. An Adjacent Atomic Platinum Site Enables Single-Atom Iron with High Oxygen Reduction Reaction Performance. Angew. Chem. Int. Ed. 2021, 60, 19262–19271. [Google Scholar] [CrossRef]
- Jiao, L.; Wan, G.; Zhang, R.; Zhou, H.; Yu, S.-H.; Jiang, H.-L. From Metal–Organic Frameworks to Single-Atom Fe Implanted N-doped Porous Carbons: Efficient Oxygen Reduction in Both Alkaline and Acidic Media. Angew. Chem. Int. Ed. 2018, 57, 8525–8529. [Google Scholar] [CrossRef]
- Wang, X.; An, Y.; Liu, L.; Fang, L.; Liu, Y.; Zhang, J.; Qi, H.; Heine, T.; Li, T.; Kuc, A.; et al. Atomically Dispersed Pentacoordinated-Zirconium Catalyst with Axial Oxygen Ligand for Oxygen Reduction Reaction. Angew. Chem. Int. Ed. 2022, 61, e202209746. [Google Scholar] [CrossRef]
- Yang, H.; Wang, X.; Zheng, T.; Cuello, N.C.; Goenaga, G.; Zawodzinski, T.A.; Tian, H.; Wright, J.T.; Meulenberg, R.W.; Wang, X. CrN-Encapsulated hollow Cr-NC capsules boosting oxygen reduction catalysis in PEMFC. CCS Chem. 2021, 3, 208–218. [Google Scholar] [CrossRef]
- Wang, G.; Deng, Y.; Yu, J.; Zheng, L.; Du, L.; Song, H.; Liao, S. From Chlorella to Nestlike Framework Constructed with Doped Carbon Nanotubes: A Biomass-Derived, High-Performance, Bifunctional Oxygen Reduction/Evolution Catalyst. ACS Appl. Mater. Interfaces 2017, 9, 32168–32178. [Google Scholar] [CrossRef]
- Wei, Y.-S.; Sun, L.; Wang, M.; Hong, J.; Zou, L.; Liu, H.; Wang, Y.; Zhang, M.; Liu, Z.; Li, Y.; et al. Fabricating Dual-Atom Iron Catalysts for Efficient Oxygen Evolution Reaction: A Heteroatom Modulator Approach. Angew. Chem. Int. Ed. 2020, 59, 16013–16022. [Google Scholar] [CrossRef]
- Xu, J.; Lai, S.; Qi, D.; Hu, M.; Peng, X.; Liu, Y.; Liu, W.; Hu, G.; Xu, H.; Li, F.; et al. Atomic Fe-Zn dual-metal sites for high-efficiency pH-universal oxygen reduction catalysis. Nano Res. 2021, 14, 1374–1381. [Google Scholar] [CrossRef]
- Zhang, W.; Chao, Y.; Zhang, W.; Zhou, J.; Lv, F.; Wang, K.; Lin, F.; Luo, H.; Li, J.; Tong, M.; et al. Emerging Dual-Atomic-Site Catalysts for Efficient Energy Catalysis. Adv. Mater. 2021, 33, 2102576. [Google Scholar] [CrossRef]
- Yu, D.; Ma, Y.; Hu, F.; Lin, C.-C.; Li, L.; Chen, H.-Y.; Han, X.; Peng, S. Dual-Sites Coordination Engineering of Single Atom Catalysts for Flexible Metal–Air Batteries. Adv. Energy Mater. 2021, 11, 2101242. [Google Scholar] [CrossRef]
- Zhong, X.; Ye, S.; Tang, J.; Zhu, Y.; Wu, D.; Gu, M.; Pan, H.; Xu, B. Engineering Pt and Fe dual-metal single atoms anchored on nitrogen-doped carbon with high activity and durability towards oxygen reduction reaction for zinc-air battery. Appl. Catal. B Environ. 2021, 286, 119891. [Google Scholar] [CrossRef]
- Zhang, J.; Huang, Q.-A.; Wang, J.; Wang, J.; Zhang, J.; Zhao, Y. Supported dual-atom catalysts: Preparation, characterization, and potential applications. Chin. J. Catal. 2020, 41, 783–798. [Google Scholar] [CrossRef]
- Cao, L.; Shao, Y.; Pan, H.; Lu, Z. Designing Efficient Dual-Metal Single-Atom Electrocatalyst TMZnN6 (TM = Mn, Fe, Co, Ni, Cu, Zn) for Oxygen Reduction Reaction. J. Phys. Chem. C 2020, 124, 11301–11307. [Google Scholar] [CrossRef]
- Sun, H.; Wang, M.; Zhang, S.; Liu, S.; Shen, X.; Qian, T.; Niu, X.; Xiong, J.; Yan, C. Boosting Oxygen Dissociation over Bimetal Sites to Facilitate Oxygen Reduction Activity of Zinc-Air Battery. Adv. Funct. Mater. 2021, 31, 2006533. [Google Scholar] [CrossRef]
- Chen, H.Q.; Ze, H.; Yue, M.F.; Wei, D.Y.; Wu, Y.F.; Dong, J.C.; Zhang, Y.J.; Zhang, H.; Tian, Z.Q.; Li, J.F.; et al. Unmasking the Critical Role of the Ordering Degree of Bimetallic Nanocatalysts on Oxygen Reduction Reaction by In Situ Raman Spectroscopy. Angew Chem. Int. Ed. Engl. 2022, 61, e202117834. [Google Scholar] [CrossRef] [PubMed]
- Shu, C.; Chen, Y.; Yang, X.-D.; Liu, Y.; Chong, S.; Fang, Y.; Liu, Y.; Yang, W.-H. Enhanced Fe dispersion via “pinning” effect of thiocyanate ion on ferric ion in Fe-NS-doped catalyst as an excellent oxygen reduction reaction electrode. J. Power Sources 2018, 376, 161–167. [Google Scholar] [CrossRef]
- Zhang, D.; Chen, W.; Li, Z.; Chen, Y.; Zheng, L.; Gong, Y.; Li, Q.; Shen, R.; Han, Y.; Cheong, W.-C. Isolated Fe and Co dual active sites on nitrogen-doped carbon for a highly efficient oxygen reduction reaction. Chem. Commun. 2018, 54, 4274–4277. [Google Scholar] [CrossRef]
- Yan, Z.; Zhang, Y.; Jiang, Z.; Jiang, D.; Wei, W.; Hu, Z. Nitrogen-Doped Bimetallic Carbide-Graphite Composite as Highly Active and Extremely Stable Electrocatalyst for Oxygen Reduction Reaction in Alkaline Media. Adv. Funct. Mater. 2022, 32, 2204031. [Google Scholar] [CrossRef]
- Wang, B.; Zou, J.; Shen, X.; Yang, Y.; Hu, G.; Li, W.; Peng, Z.; Banham, D.; Dong, A.; Zhao, D. Nanocrystal super crystal-derived atomically dispersed Mn-Fe catalysts with enhanced oxygen reduction activity. Nano Energy 2019, 63, 103851. [Google Scholar] [CrossRef]
- Lin, L.; Yang, Z.K.; Jiang, Y.-F.; Xu, A.-W. Nonprecious Bimetallic (Fe,Mo)–N/C Catalyst for Efficient Oxygen Reduction Reaction. ACS Catal. 2016, 6, 4449–4454. [Google Scholar] [CrossRef]
- Jiao, P.; Ye, D.; Zhu, C.; Wu, S.; Qin, C.; An, C.; Hu, N.; Deng, Q. Non-precious transition metal single-atom catalysts for the oxygen reduction reaction: Progress and prospects. Nanoscale 2022, 14, 14322–14340. [Google Scholar] [CrossRef]
- Chen, G.; Liu, P.; Liao, Z.; Sun, F.; He, Y.; Zhong, H.; Zhang, T.; Zschech, E.; Chen, M.; Wu, G.; et al. Zinc-Mediated Template Synthesis of Fe-N-C Electrocatalysts with Densely Accessible Fe-Nx Active Sites for Efficient Oxygen Reduction. Adv. Mater. 2020, 32, 1907399. [Google Scholar] [CrossRef]
- Zhao, D.; Wang, P.; Di, H.; Zhang, P.; Hui, X.; Yin, L. Single Semi-Metallic Selenium Atoms on Ti3C2 MXene Nanosheets as Excellent Cathode for Lithium–Oxygen Batteries. Adv. Funct. Mater. 2021, 31, 2010544. [Google Scholar] [CrossRef]
- Chen, Z.; Su, X.; Ding, J.; Yang, N.; Zuo, W.; He, Q.; Wei, Z.; Zhang, Q.; Huang, J.; Zhai, Y. Boosting oxygen reduction reaction with Fe and Se dual-atom sites supported by nitrogen-doped porous carbon. Appl. Catal. B Environ. 2022, 308, 121206. [Google Scholar] [CrossRef]
- Wang, J.; Huang, Z.; Liu, W.; Chang, C.; Tang, H.; Li, Z.; Chen, W.; Jia, C.; Yao, T.; Wei, S.; et al. Design of N-Coordinated Dual-Metal Sites: A Stable and Active Pt-Free Catalyst for Acidic Oxygen Reduction Reaction. J. Am. Chem. Soc. 2017, 139, 17281–17284. [Google Scholar] [CrossRef]
- Chen, Z.; Liao, X.; Sun, C.; Zhao, K.; Ye, D.; Li, J.; Wu, G.; Fang, J.; Zhao, H.; Zhang, J. Enhanced performance of atomically dispersed dual-site Fe-Mn electrocatalysts through cascade reaction mechanism. Appl. Catal. B Environ. 2021, 288, 120021. [Google Scholar] [CrossRef]
- Kong, F.; Si, R.; Chen, N.; Wang, Q.; Li, J.; Yin, G.; Gu, M.; Wang, J.; Liu, L.-M.; Sun, X. Origin of hetero-nuclear Au-Co dual atoms for efficient acidic oxygen reduction. Appl. Catal. B Environ. 2022, 301, 120782. [Google Scholar] [CrossRef]
- Yue, L.; Chen, L.; Wang, X.; Lu, D.; Zhou, W.; Shen, D.; Yang, Q.; Xiao, S.; Li, Y. Ni/Co-MOF@ aminated MXene hierarchical electrodes for high-stability supercapacitors. Chem. Eng. J. 2023, 451, 138687. [Google Scholar] [CrossRef]
- Yang, L.; Zeng, X.; Wang, W.; Cao, D. Recent Progress in MOF-Derived, Heteroatom-Doped Porous Carbons as Highly Efficient Electrocatalysts for Oxygen Reduction Reaction in Fuel Cells. Adv. Funct. Mater. 2018, 28, 1704537. [Google Scholar] [CrossRef]
- Xue, Y.; Guo, Y.; Zhang, Q.; Xie, Z.; Wei, J.; Zhou, Z. MOF-Derived Co and Fe Species Loaded on N-Doped Carbon Networks as Efficient Oxygen Electrocatalysts for Zn-Air Batteries. Nano-Micro. Lett. 2022, 14, 162. [Google Scholar] [CrossRef]
- Ahsan, M.A.; Puente Santiago, A.R.; Hong, Y.; Zhang, N.; Cano, M.; Rodriguez-Castellon, E.; Echegoyen, L.; Sreenivasan, S.T.; Noveron, J.C. Tuning of trifunctional NiCu bimetallic nanoparticles confined in a porous carbon network with surface composition and local structural distortions for the electrocatalytic oxygen reduction, oxygen and hydrogen evolution reactions. J. Am. Chem. Soc. 2020, 142, 14688–14701. [Google Scholar] [CrossRef]
- Wei, C.; Sun, Y.; Scherer, G.G.; Fisher, A.C.; Sherburne, M.; Ager, J.W.; Xu, Z.J. Surface Composition Dependent Ligand Effect in Tuning the Activity of Nickel-Copper Bimetallic Electrocatalysts toward Hydrogen Evolution in Alkaline. J. Am. Chem. Soc. 2020, 142, 7765–7775. [Google Scholar] [CrossRef] [PubMed]
- Deng, J.; Ren, P.; Deng, D.; Bao, X. Enhanced electron penetration through an ultrathin graphene layer for highly efficient catalysis of the hydrogen evolution reaction. Angew Chem. Int. Ed. Engl. 2015, 54, 2100–2104. [Google Scholar] [CrossRef] [PubMed]
- Su, C.-Y.; Cheng, H.; Li, W.; Liu, Z.-Q.; Li, N.; Hou, Z.; Bai, F.-Q.; Zhang, H.-X.; Ma, T.-Y. Atomic Modulation of FeCo–Nitrogen–Carbon Bifunctional Oxygen Electrodes for Rechargeable and Flexible All-Solid-State Zinc–Air Battery. Adv. Energy Mater. 2017, 7, 1602420. [Google Scholar] [CrossRef]
- Hao, X.; Jiang, Z.; Zhang, B.; Tian, X.; Song, C.; Wang, L.; Maiyalagan, T.; Hao, X.; Jiang, Z.J. N-Doped Carbon Nanotubes Derived from Graphene Oxide with Embedment of FeCo Nanoparticles as Bifunctional Air Electrode for Rechargeable Liquid and Flexible All-Solid-State Zinc–Air Batteries. Adv. Sci. 2021, 8, 2004572. [Google Scholar] [CrossRef]
- Wang, Z.; Jin, X.; Zhu, C.; Liu, Y.; Tan, H.; Ku, R.; Zhang, Y.; Zhou, L.; Liu, Z.; Hwang, S.-J.; et al. Atomically Dispersed Co2–N6 and Fe–N4 Costructures Boost Oxygen Reduction Reaction in Both Alkaline and Acidic Media. Adv. Mater. 2021, 33, 2104718. [Google Scholar] [CrossRef]
- Xiao, M.; Chen, Y.; Zhu, J.; Zhang, H.; Zhao, X.; Gao, L.; Wang, X.; Zhao, J.; Ge, J.; Jiang, Z.; et al. Climbing the Apex of the ORR Volcano Plot via Binuclear Site Construction: Electronic and Geometric Engineering. J. Am. Chem. Soc. 2019, 141, 17763–17770. [Google Scholar] [CrossRef]
- Guo, X.; Gu, J.; Lin, S.; Zhang, S.-L.; Chen, Z.; Huang, S. Tackling the Activity and Selectivity Challenges of Electrocatalysts towards Nitrogen Reduction Reaction via Atomically Dispersed Bi-Atom Catalysts. J. Am. Chem. Soc. 2020, 142, 5709–5721. [Google Scholar] [CrossRef]
- Hunter, M.A.; Fischer, J.M.T.A.; Yuan, Q.; Hankel, M.; Searles, D.J. Evaluating the Catalytic Efficiency of Paired, Single-Atom Catalysts for the Oxygen Reduction Reaction. ACS Catal. 2019, 9, 7660–7667. [Google Scholar] [CrossRef]
- Sa, Y.J.; Joo, S.H. Dimeric Fe Sites Effectively Activate Oxygen Molecule. Chemistry 2019, 5, 3006–3007. [Google Scholar] [CrossRef]
- Ouyang, Y.; Shi, L.; Bai, X.; Li, Q.; Wang, J. Breaking scaling relations for efficient CO<sub>2</sub> electrochemical reduction through dual-atom catalysts. Chem. Sci. 2020, 11, 1807–1813. [Google Scholar] [CrossRef]
- Chen, Z.W.; Chen, L.X.; Yang, C.C.; Jiang, Q. Atomic (single, double, and triple atoms) catalysis: Frontiers, opportunities, and challenges. J. Mater. Chem. A 2019, 7, 3492–3515. [Google Scholar] [CrossRef]
- Huang, Z.-F.; Wang, J.; Peng, Y.; Jung, C.-Y.; Fisher, A.; Wang, X. Design of Efficient Bifunctional Oxygen Reduction/Evolution Electrocatalyst: Recent Advances and Perspectives. Adv. Energy Mater. 2017, 7, 1700544. [Google Scholar] [CrossRef]
- Liu, J.; Jiao, M.; Mei, B.; Tong, Y.; Li, Y.; Ruan, M.; Song, P.; Sun, G.; Jiang, L.; Wang, Y.; et al. Carbon-Supported Divacancy-Anchored Platinum Single-Atom Electrocatalysts with Superhigh Pt Utilization for the Oxygen Reduction Reaction. Angew. Chem. 2019, 58, 1163–1167. [Google Scholar] [CrossRef]
- Zhang, C.; Sha, J.; Fei, H.; Liu, M.; Yazdi, S.; Zhang, J.; Zhong, Q.; Zou, X.; Zhao, N.; Yu, H.; et al. Single-Atomic Ruthenium Catalytic Sites on Nitrogen-Doped Graphene for Oxygen Reduction Reaction in Acidic Medium. ACS Nano 2017, 11, 6930–6941. [Google Scholar] [CrossRef]
- Xiao, M.; Gao, L.; Wang, Y.; Wang, X.; Zhu, J.; Jin, Z.; Liu, C.; Chen, H.; Li, G.; Ge, J.; et al. Engineering Energy Level of Metal Center: Ru Single-Atom Site for Efficient and Durable Oxygen Reduction Catalysis. J. Am. Chem. Soc. 2019, 141, 19800–19806. [Google Scholar] [CrossRef]
- Liu, Q.; Li, Y.; Zheng, L.; Shang, J.; Liu, X.; Yu, R.; Shui, J. Sequential Synthesis and Active-Site Coordination Principle of Precious Metal Single-Atom Catalysts for Oxygen Reduction Reaction and PEM Fuel Cells. Adv. Energy Mater. 2020, 10, 2000689. [Google Scholar] [CrossRef]
- Sa, Y.J.; Seo, D.J.; Woo, J.; Lim, J.T.; Cheon, J.Y.; Yang, S.Y.; Lee, J.M.; Kang, D.; Shin, T.J.; Shin, H.S.; et al. A General Approach to Preferential Formation of Active Fe-N(x) Sites in Fe-N/C Electrocatalysts for Efficient Oxygen Reduction Reaction. J. Am. Chem. Soc. 2016, 138, 15046–15056. [Google Scholar] [CrossRef]
- Zhang, B.; Chen, R.; Yang, Z.; Chen, Y.; Zhou, L.; Yuan, Y. Rapeseed meal-based autochthonous N and S-doped non-metallic porous carbon electrode material for oxygen reduction reaction catalysis. Int. J. Hydrogen Energy 2021, 46, 508–517. [Google Scholar] [CrossRef]
- Barkholtz, H.M.; Chong, L.; Kaiser, Z.B.; Xu, T.; Liu, D.-J. Highly Active Non-PGM Catalysts Prepared from Metal Organic Frameworks. Catalysts 2015, 5, 955–965. [Google Scholar] [CrossRef]
- Matter, P.H.; Ozkan, U.S. Non-metal Catalysts for Dioxygen Reduction in an Acidic Electrolyte. Catal. Lett. 2006, 109, 115–123. [Google Scholar] [CrossRef]
- Gong, K.; Du, F.; Xia, Z.; Durstock, M.; Dai, L. Nitrogen-Doped Carbon Nanotube Arrays with High Electrocatalytic Activity for Oxygen Reduction. Science 2009, 323, 760–764. [Google Scholar] [CrossRef] [PubMed]
- Qian, Y.; Hu, Z.; Ge, X.; Yang, S.; Peng, Y.; Kang, Z.; Liu, Z.; Lee, J.Y.; Zhao, D. A metal-free ORR/OER bifunctional electrocatalyst derived from metal-organic frameworks for rechargeable Zn-Air batteries. Carbon 2017, 111, 641–650. [Google Scholar] [CrossRef]
- Chung, H.T.; Cullen, D.A.; Higgins, D.; Sneed, B.T.; Holby, E.F.; More, K.L.; Zelenay, P. Direct atomic-level insight into the active sites of a high-performance PGM-free ORR catalyst. Science 2017, 357, 479–484. [Google Scholar] [CrossRef] [PubMed]
- Yang, L.; Jiang, S.; Zhao, Y.; Zhu, L.; Chen, S.; Wang, X.; Wu, Q.; Ma, J.; Ma, Y.; Hu, Z. Boron-Doped Carbon Nanotubes as Metal-Free Electrocatalysts for the Oxygen Reduction Reaction. Angew. Chem. Int. Ed. 2011, 50, 7132–7135. [Google Scholar] [CrossRef] [PubMed]
- Liu, Z.W.; Peng, F.; Wang, H.J.; Yu, H.; Zheng, W.X.; Yang, J. Phosphorus-doped graphite layers with high electrocatalytic activity for the O2 reduction in an alkaline medium. Angew Chem. Int. Ed. Engl. 2011, 50, 3257–3261. [Google Scholar] [CrossRef]
- Jeon, I.-Y.; Zhang, S.; Zhang, L.; Choi, H.-J.; Seo, J.-M.; Xia, Z.; Dai, L.; Baek, J.-B. Edge-Selectively Sulfurized Graphene Nanoplatelets as Efficient Metal-Free Electrocatalysts for Oxygen Reduction Reaction: The Electron Spin Effect. Adv. Mater. 2013, 25, 6138–6145. [Google Scholar] [CrossRef]
- Yao, Z.; Nie, H.; Yang, Z.; Zhou, X.; Liu, Z.; Huang, S. Catalyst-free synthesis of iodine-doped graphene via a facile thermal annealing process and its use for electrocatalytic oxygen reduction in an alkaline medium. Chem. Commun. 2012, 48, 1027–1029. [Google Scholar] [CrossRef]
- Jeon, I.-Y.; Choi, H.-J.; Choi, M.; Seo, J.-M.; Jung, S.-M.; Kim, M.-J.; Zhang, S.; Zhang, L.; Xia, Z.; Dai, L.; et al. Facile, scalable synthesis of edge-halogenated graphene nanoplatelets as efficient metal-free eletrocatalysts for oxygen reduction reaction. Sci. Rep. 2013, 3, 1810. [Google Scholar] [CrossRef]
- Liu, X.; Dai, L. Carbon-Based Metal Free Catalysts. Nat. Rev. Mater. 2016, 1, 16064. [Google Scholar] [CrossRef]
- Ferrero, G.A.; Fuertes, A.B.; Sevilla, M.; Titirici, M.-M. Efficient metal-free N-doped mesoporous carbon catalysts for ORR by a template-free approach. Carbon 2016, 106, 179–187. [Google Scholar] [CrossRef]
- Quílez-Bermejo, J.; Morallón, E.; Cazorla-Amorós, D. Metal-free heteroatom-doped carbon-based catalysts for ORR: A critical assessment about the role of heteroatoms. Carbon 2020, 165, 434–454. [Google Scholar] [CrossRef]
- Yu, L.; Yang, C.; Zhang, W.; Liu, W.; Wang, H.; Qi, J.; Xu, L. Solvent-free synthesis of N-doped nanoporous carbon materials as durable high-performance pH-universal ORR catalysts. J. Colloid Interface Sci. 2020, 575, 406–415. [Google Scholar] [CrossRef] [PubMed]
- Li, J.-C.; Hou, P.-X.; Cheng, M.; Liu, C.; Cheng, H.M.; Shao, M. Carbon nanotube encapsulated in nitrogen and phosphorus co-doped carbon as a bifunctional electrocatalyst for oxygen reduction and evolution reactions. Carbon 2018, 139, 156–163. [Google Scholar] [CrossRef]
- Wood, K.N.; O’Hayre, R.; Pylypenko, S. Recent progress on nitrogen/carbon structures designed for use in energy and sustainability applications. Energy Environ. Sci. 2014, 7, 1212–1249. [Google Scholar] [CrossRef]
- Jeon, I.-Y.; Choi, H.-J.; Ju, M.J.; Choi, I.T.; Lim, K.; Ko, J.; Kim, H.K.; Kim, J.C.; Lee, J.-J.; Shin, D.; et al. Direct nitrogen fixation at the edges of graphene nanoplatelets as efficient electrocatalysts for energy conversion. Sci. Rep. 2013, 3, 2260. [Google Scholar] [CrossRef]
- Sasaki, K.; Naohara, H.; Cai, Y.; Choi, Y.M.; Liu, P.; Vukmirovic, M.B.; Wang, J.X.; Adzic, R.R. Core-protected platinum monolayer shell high-stability electrocatalysts for fuel-cell cathodes. Angew Chem. Int. Ed. Engl. 2010, 49, 8602–8607. [Google Scholar] [CrossRef]
- Parvez, K.; Yang, S.; Hernandez, Y.; Winter, A.; Turchanin, A.; Feng, X.; Müllen, K. Nitrogen-doped graphene and its iron-based composite as efficient electrocatalysts for oxygen reduction reaction. ACS Nano 2012, 6, 9541–9550. [Google Scholar] [CrossRef]
- He, W.; Jiang, C.; Wang, J.; Lu, L. High-rate oxygen electroreduction over graphitic-N species exposed on 3D hierarchically porous nitrogen-doped carbons. Angew Chem. Int. Ed. Engl. 2014, 53, 9503–9507. [Google Scholar] [CrossRef]
- Xing, T.; Zheng, Y.; Li, L.H.; Cowie, B.C.; Gunzelmann, D.; Qiao, S.Z.; Huang, S.; Chen, Y. Observation of active sites for oxygen reduction reaction on nitrogen-doped multilayer graphene. ACS Nano 2014, 8, 6856–6862. [Google Scholar] [CrossRef]
- Tuci, G.; Zafferoni, C.; Rossin, A.; Luconi, L.; Milella, A.; Ceppatelli, M.; Innocenti, M.; Liu, Y.; Liu, Y.; Pham-Huu, C.; et al. Chemical functionalization of N-doped carbon nanotubes: A powerful approach to cast light on the electrochemical role of specific N-functionalities in the oxygen reduction reaction. Catal. Sci. Technol. 2016, 6, 6226–6236. [Google Scholar] [CrossRef]
- Yasuda, S.; Yu, L.; Kim, J.; Murakoshi, K. Selective nitrogen doping in graphene for oxygen reduction reactions. Chem. Commun. 2013, 49, 9627–9629. [Google Scholar] [CrossRef]
- Saputro, A.G.; Kasai, H. Oxygen reduction reaction on neighboring Fe–N 4 and quaternary-N sites of pyrolized Fe/N/C catalyst. Phys. Chem. Chem. Phys. 2015, 17, 3059–3071. [Google Scholar] [CrossRef]
- Kou, Z.; Guo, B.; He, D.; Zhang, J.; Mu, S. Transforming Two-Dimensional Boron Carbide into Boron and Chlorine Dual-Doped Carbon Nanotubes by Chlorination for Efficient Oxygen Reduction. ACS Energy Lett. 2018, 3, 184–190. [Google Scholar] [CrossRef]
- Tam, T.V.; Kang, S.G.; Kim, M.H.; Lee, S.G.; Hur, S.H.; Chung, J.S.; Choi, W.M. Novel Graphene Hydrogel/B-Doped Graphene Quantum Dots Composites as Trifunctional Electrocatalysts for Zn−Air Batteries and Overall Water Splitting. Adv. Energy Mater. 2019, 9, 1900945. [Google Scholar] [CrossRef]
- Zhao, Y.; Yang, L.; Chen, S.; Wang, X.; Ma, Y.; Wu, Q.; Jiang, Y.; Qian, W.; Hu, Z. Can Boron and Nitrogen Co-doping Improve Oxygen Reduction Reaction Activity of Carbon Nanotubes? J. Am. Chem. Soc. 2013, 135, 1201–1204. [Google Scholar] [CrossRef]
- Wang , S.; Iyyamperumal , E.; Roy, A.; Xue, Y.; Yu, D.; Dai, L. Vertically Aligned BCN Nanotubes as Efficient Metal-Free Electrocatalysts for the Oxygen Reduction Reaction: A Synergetic Effect by Co-Doping with Boron and Nitrogen. Angew. Chem. Int. Ed. 2011, 50, 11756–11760. [Google Scholar] [CrossRef]
- Wang, D.W.; Su, D.S. Heterogeneous nanocarbon materials for oxygen reduction reaction. Energy Environ. Sci. 2014, 7, 576–591. [Google Scholar] [CrossRef]
- Wei, P.; Li, X.; He, Z.; Sun, X.; Liang, Q.; Wang, Z.; Fang, C.; Li, Q.; Yang, H.; Han, J.; et al. Porous N, B co-doped carbon nanotubes as efficient metal-free electrocatalysts for ORR and Zn-air batteries. Chem. Eng. J. 2021, 422, 130134. [Google Scholar] [CrossRef]
- Yan, P.; Liu, J.; Yuan, S.; Liu, Y.; Cen, W.; Chen, Y. The promotion effects of graphitic and pyridinic N combinational doping on graphene for ORR. Appl. Surf. Sci. 2018, 445, 398–403. [Google Scholar] [CrossRef]
- Higgins, D.C.; Hoque, M.A.; Hassan, F.; Choi, J.-Y.; Kim, B.; Chen, Z. Oxygen Reduction on Graphene–Carbon Nanotube Composites Doped Sequentially with Nitrogen and Sulfur. ACS Catal. 2014, 4, 2734–2740. [Google Scholar] [CrossRef]
- Meng, Y.; Voiry, D.; Goswami, A.; Zou, X.; Huang, X.; Chhowalla, M.; Liu, Z.; Asefa, T. N-, O-, and S-Tridoped Nanoporous Carbons as Selective Catalysts for Oxygen Reduction and Alcohol Oxidation Reactions. J. Am. Chem. Soc. 2014, 136, 13554–13557. [Google Scholar] [CrossRef] [PubMed]
- Zhao, S.; Liu, J.; Li, C.; Ji, W.; Yang, M.; Huang, H.; Liu, Y.; Kang, Z. Tunable Ternary (N, P, B)-Doped Porous Nanocarbons and Their Catalytic Properties for Oxygen Reduction Reaction. ACS Appl. Mater. Interfaces 2014, 6, 22297–22304. [Google Scholar] [CrossRef] [PubMed]
- Yan, Z.; Gao, L.; Dai, C.; Zhang, M.; Lv, X.; Shen, P.K. Metal-free mesoporous carbon with higher contents of active N and S codoping by template method for superior ORR efficiency to Pt/C. Int. J. Hydrogen Energy 2018, 43, 3705–3715. [Google Scholar] [CrossRef]
- Hua, Y.; Jiang, T.; Wang, K.; Wu, M.; Song, S.; Wang, Y. Efficient Pt-free Electrocatalysts for Oxygen Reduction Reaction: Highly Ordered Mesoporous N- and S- Co-doped Carbon with Saccharin as Single-source Molecular Precursor. Appl. Catal. B Environ. 2016, 194, 202–208. [Google Scholar] [CrossRef]
- Larijani, H.T.; Khorshidian, M. Theoretical insight into the role of pyridinic nitrogen on the catalytic activity of boron-doped graphene towards oxygen reduction reaction. Appl. Surf. Sci. 2019, 492, 826–842. [Google Scholar] [CrossRef]
- Cheng, C.; Li, Y.; Maouche, C.; Li, B.; Zhou, Y.; Wang, S.; Cheng, X.; Yang, J. Green synthesis of N, P-co doped porous reduced graphene oxide as an active metal-free electrocatalyst toward oxygen reduction reaction. J. Electroanal. Chem. 2021, 883, 115058. [Google Scholar] [CrossRef]
- Zhou, Z.; Chen, A.; Fan, X.; Kong, A.; Shan, Y. Hierarchical porous N-P-coupled carbons as metal-free bifunctional electro-catalysts for oxygen conversion. Appl. Surf. Sci. 2019, 464, 380–387. [Google Scholar] [CrossRef]
- Dong, F.; Cai, Y.; Liu, C.; Liu, J.; Qiao, J. Heteroatom (B, N and P) doped porous graphene foams for efficient oxygen reduction reaction electrocatalysis. Int. J. Hydrogen Energy 2018, 43, 12661–12670. [Google Scholar] [CrossRef]
- Wang, L.; Wang, Y.; Wu, M.; Wei, Z.; Cui, C.; Mao, M.; Zhang, J.; Han, X.; Liu, Q.; Ma, J. Nitrogen, Fluorine, and Boron Ternary Doped Carbon Fibers as Cathode Electrocatalysts for Zinc–Air Batteries. Small 2018, 14, 1800737. [Google Scholar] [CrossRef]
- Kong, D.; Liu, L.; Yuan, W.; Xie, A.; Shen, Y. Facile synthesis and excellent catalytic performance of nitrogen-doped porous carbons derived from banana peel towards oxygen reduction reaction. Mater. Res. Bull. 2018, 103, 63–69. [Google Scholar] [CrossRef]
- Lai, F.; Zhou, G.; Li, F.; He, Z.; Yong, D.; Bai, W.; Huang, Y.; Tjiu, W.W.; Miao, Y.-E.; Pan, B.; et al. Highly Dual-Heteroatom-Doped Ultrathin Carbon Nanosheets with Expanded Interlayer Distance for Efficient Energy Storage. ACS Sustain. Chem. Eng. 2018, 6, 3143–3153. [Google Scholar] [CrossRef]
- Zhang, Q.; Luo, F.; Ling, Y.; Guo, L.; Qu, K.; Hu, H.; Yang, Z.; Cai, W.; Cheng, H. Constructing Successive Active Sites for Metal-free Electrocatalyst with Boosted Electrocatalytic Activities Toward Hydrogen Evolution and Oxygen Reduction Reactions. ChemCatChem 2018, 10, 5194–5200. [Google Scholar] [CrossRef]
- Jin, J.-t.; Qiao, X.-c.; Cheng, F.-l.; Fan, H.-b.; Cui, L.-f. Direct synthesis of interconnected N, S-codoped porous exfoliated carbon nanosheets as advanced electrocatalysts for oxygen reduction reaction. Carbon 2017, 122, 114–121. [Google Scholar] [CrossRef]
- Li, Y.; Yang, J.; Huang, J.; Zhou, Y.; Xu, K.; Zhao, N.; Cheng, X. Soft template-assisted method for synthesis of nitrogen and sulfur co-doped three-dimensional reduced graphene oxide as an efficient metal free catalyst for oxygen reduction reaction. Carbon 2017, 122, 237–246. [Google Scholar] [CrossRef]
- Lee, M.S.; Whang, D.R.; Choi, H.-J.; Yang, M.H.; Kim, B.-G.; Baek, J.-B.; Chang, D.W. A facile approach to tailoring electrocatalytic activities of imine-rich nitrogen-doped graphene for oxygen reduction reaction. Carbon 2017, 122, 515–523. [Google Scholar] [CrossRef]
- Jia, S.; Wang, Y.; Xin, G.; Zhou, S.; Tian, P.; Zang, J. An efficient preparation of N-doped mesoporous carbon derived from milk powder for supercapacitors and fuel cells. Electrochim. Acta 2016, 196, 527–534. [Google Scholar] [CrossRef]
- Zhou, S.; Zang, J.; Gao, H.; Tian, X.; Tian, P.; Song, S.; Wang, Y. Deflagration method synthesizing N, S co-doped oxygen-functionalized carbons as a bifunctional catalyst for oxygen reduction and oxygen evolution reaction. Carbon 2021, 181, 234–245. [Google Scholar] [CrossRef]
- Jiang, Y.; Yang, L.; Sun, T.; Zhao, J.; Lyu, Z.; Zhuo, O.; Wang, X.; Wu, Q.; Ma, J.; Hu, Z. Significant Contribution of Intrinsic Carbon Defects to Oxygen Reduction Activity. ACS Catal. 2015, 5, 6707–6712. [Google Scholar] [CrossRef]
- Jin, H.; Huang, H.; He, Y.; Feng, X.; Wang, S.; Dai, L.; Wang, J. Graphene Quantum Dots Supported by Graphene Nanoribbons with Ultrahigh Electrocatalytic Performance for Oxygen Reduction. J. Am. Chem. Soc. 2015, 137, 7588–7591. [Google Scholar] [CrossRef]
- Li, H.; Zhu, H.; Zhang, S.; Zhang, N.; Du, M.; Chai, Y. Nano High-Entropy Materials: Synthesis Strategies and Catalytic Applications. Small Struct. 2020, 1, 2000033. [Google Scholar] [CrossRef]
- Wang, H.-F.; Chen, L.; Pang, H.; Kaskel, S.; Xu, Q. MOF-derived electrocatalysts for oxygen reduction, oxygen evolution and hydrogen evolution reactions. Chem. Soc. Rev. 2020, 49, 1414–1448. [Google Scholar] [CrossRef] [PubMed]
- Lee, J.-S.M.; Fujiwara, Y.-i.; Kitagawa, S.; Horike, S. Homogenized Bimetallic Catalysts from Metal–Organic Framework Alloys. Chem. Mater. 2019, 31, 4205–4212. [Google Scholar] [CrossRef]
- Herron, J.A.; Tonelli, S.; Mavrikakis, M. Atomic and molecular adsorption on Pd (111). Surf. Sci. 2012, 606, 1670–1679. [Google Scholar] [CrossRef]
- Rajesh, D.; Mahendiran, C.; Suresh, C. The Promotional Effect of Ag in Pd-Ag/Carbon Nanotube-Graphene Electrocatalysts for Alcohol and Formic Acid Oxidation Reactions. ChemElectroChem 2020, 7, 2629–2636. [Google Scholar] [CrossRef]
- Xu, W.; Yoon, D.; Yang, Y.; Xiong, Y.; Li, H.; Zeng, R.; Muller, D.A.; Abruña, H.D. MOF-Derived Bimetallic Pd–Co Alkaline ORR Electrocatalysts. ACS Appl. Mater. Interfaces 2022, 14, 44735–44744. [Google Scholar] [CrossRef]
- Zhu, G.; Yang, H.; Jiang, Y.; Sun, Z.; Li, X.; Yang, J.; Wang, H.; Zou, R.; Jiang, W.; Qiu, P.; et al. Modulating the Electronic Structure of FeCo Nanoparticles in N-Doped Mesoporous Carbon for Efficient Oxygen Reduction Reaction. Adv. Sci. 2022, 9, 2200394. [Google Scholar] [CrossRef]
- Chen, C.; Cheng, D.; Liu, S.; Wang, Z.; Hu, M.; Zhou, K. Engineering the multiscale structure of bifunctional oxygen electrocatalyst for highly efficient and ultrastable zinc-air battery. Energy Storage Mater. 2020, 24, 402–411. [Google Scholar] [CrossRef]
- Zheng, Y.; He, F.; Wu, J.; Ma, D.; Fan, H.; Zhu, S.; Li, X.; Lu, Y.; Liu, Q.; Hu, X. Nitrogen-Doped Carbon Nanotube–Graphene Frameworks with Encapsulated Fe/Fe3N Nanoparticles as Catalysts for Oxygen Reduction. ACS Appl. Nano Mater. 2019, 2, 3538–3547. [Google Scholar] [CrossRef]
- Lei, Y.; Huang, R.; Xie, H.; Zhang, D.; Liu, X.; Si, Y.; Li, N. Electronic structure tuning of FeCo nanoparticles embedded in multi-dimensional carbon matrix for enhanced bifunctional oxygen electrocatalysis. J. Alloys Compd. 2021, 853, 157070. [Google Scholar] [CrossRef]
- Park, M.-S.; Kim, J.; Kim, K.; Lee, J.-W.; Kim, J.H.; Yamauchi, Y. Porous nanoarchitectures of spinel-type transition metal oxides for electrochemical energy storage systems. Phys. Chem. Chem. Phys. PCCP 2015, 17, 30963–30977. [Google Scholar] [CrossRef]
- Tang, R.; Wang, L.; Ying, M.; Yang, W.; Kheradmand, A.; Jiang, Y.; Li, Z.; Cui, Y.; Zheng, R.; Huang, J. Multigraded Heterojunction Hole Extraction Layer of ZIF-CoxZn1−x on Co3O4/TiO2 Skeleton for a New Photoanode Architecture in Water Oxidation. Small Sci. 2021, 1, 2000033. [Google Scholar] [CrossRef]
- Peng, L.; Chen, S.; Yu, C.; Wei, C.; Liao, C.; Wu, Z.; Wang, H.-L.; Cheng, S.; Xie, J. Enhancing Moisture and Electrochemical Stability of the Li5.5PS4.5Cl1.5 Electrolyte by Oxygen Doping. ACS Appl. Mater. Interfaces 2022, 14, 4179–4185. [Google Scholar] [CrossRef]
- Wen, S.; Liu, Y.; Bai, H.; Shao, R.; Xu, W.; Shi, W. Full synergistic effect of hydrothermal NiCo2O4 nanosheets/CuCo2O4 nanocones supported on Ni foam for high-performance asymmetric supercapacitors. J. Solid State Chem. 2018, 262, 327–334. [Google Scholar] [CrossRef]
- Osgood, H.; Devaguptapu, S.V.; Xu, H.; Cho, J.; Wu, G. Transition metal (Fe, Co, Ni, and Mn) oxides for oxygen reduction and evolution bifunctional catalysts in alkaline media. Nano Today 2016, 11, 601–625. [Google Scholar] [CrossRef]
- Liu, F.; Zhang, L.; Wang, L.; Cheng, F. The Electrochemical Tuning of Transition Metal-Based Materials for Electrocatalysis. Electrochem. Energy Rev. 2021, 4, 146–168. [Google Scholar] [CrossRef]
- Prabu, M.; Ketpang, K.; Shanmugam, S. Hierarchical nanostructured NiCo2O4 as an efficient bifunctional non-precious metal catalyst for rechargeable zinc-air batteries. Nanoscale 2014, 6, 3173–3181. [Google Scholar] [CrossRef]
- Chakrabarty, S.; Mukherjee, A.; Su, W.-N.; Basu, S. Improved bi-functional ORR and OER catalytic activity of reduced graphene oxide supported ZnCo2O4 microsphere. Int. J. Hydrogen Energy 2019, 44, 1565–1578. [Google Scholar] [CrossRef]
- Prabu, M.; Ramakrishnan, P.; Shanmugam, S. CoMn2O4 nanoparticles anchored on nitrogen-doped graphene nanosheets as bifunctional electrocatalyst for rechargeable zinc–air battery. Electrochem. Commun. 2014, 41, 59–63. [Google Scholar] [CrossRef]
- Ding, K.; Han, J.; Gao, X.; Wang, L.; Zhou, L.; Qu, R.; He, X. An ionic liquid-present hydrothermal method for preparing hawthorn sherry ball shaped palladium (Pd)-based composite catalysts for ethanol oxidation reaction (EOR). Int. J. Hydrogen Energy 2020, 45, 1930–1939. [Google Scholar] [CrossRef]
- Sahoo, L.; Garg, R.; Kaur, K.; Vinod, C.P.; Gautam, U.K. Ultrathin Twisty PdNi Alloy Nanowires as Highly Active ORR Electrocatalysts Exhibiting Morphology-Induced Durability over 200 K Cycles. Nano Lett. 2022, 22, 246–254. [Google Scholar] [CrossRef]
- Chang, Z.; Yu, F.; Liu, Z.; Peng, S.; Guan, M.; Shen, X.; Zhao, S.; Liu, N.; Wu, Y.; Chen, Y. Co–Ni Alloy Encapsulated by N-doped Graphene as a Cathode Catalyst for Rechargeable Hybrid Li–Air Batteries. ACS Appl. Mater. Interfaces 2020, 12, 4366–4372. [Google Scholar] [CrossRef] [PubMed]
- Zhang, W.; Zhu, J.; Cheng, D.; Zeng, X.C. PtCoNi Alloy Nanoclusters for Synergistic Catalytic Oxygen Reduction Reaction. ACS Appl. Nano Mater. 2020, 3, 2536–2544. [Google Scholar] [CrossRef]
- Pavko, L.; Gatalo, M.; Križan, G.; Križan, J.; Ehelebe, K.; Ruiz-Zepeda, F.; Šala, M.; Dražić, G.; Geuß, M.; Kaiser, P.; et al. Toward the Continuous Production of Multigram Quantities of Highly Uniform Supported Metallic Nanoparticles and Their Application for Synthesis of Superior Intermetallic Pt-Alloy ORR Electrocatalysts. ACS Appl. Energy Mater. 2021, 4, 13819–13829. [Google Scholar] [CrossRef] [PubMed]
- Sial, M.; Lin, H.; Zulfiqar, M.; Ullah, S.; Ni, B.; Wang, X. Trimetallic PtCoFe Alloy Monolayer Superlattices as Bifunctional Oxygen-Reduction and Ethanol-Oxidation Electrocatalysts. Small 2017, 13, 1700250. [Google Scholar] [CrossRef]
- Zhu, J.; Xie, M.; Chen, Z.; Lyu, Z.; Chi, M.; Jin, W.; Xia, Y. Pt-Ir-Pd Trimetallic Nanocages as a Dual Catalyst for Efficient Oxygen Reduction and Evolution Reactions in Acidic Media. Adv. Energy Mater. 2020, 10, 1904114. [Google Scholar] [CrossRef]
- Li, X.; Zhao, J.; Su, D. Structural Changes of Intermetallic Catalysts under Reaction Conditions. Small Struct. 2021, 2, 2100011. [Google Scholar] [CrossRef]
- Li, S.; Chen, W.; Pan, H.; Cao, Y.; Jiang, Z.; Tian, X.; Hao, X.; Maiyalagan, T.; Jiang, Z.-J. FeCo Alloy Nanoparticles Coated by an Ultrathin N-Doped Carbon Layer and Encapsulated in Carbon Nanotubes as a Highly Efficient Bifunctional Air Electrode for Rechargeable Zn-Air Batteries. ACS Sustain. Chem. Eng. 2019, 7, 8530–8541. [Google Scholar] [CrossRef]
- Wang, J.; Ciucci, F. Boosting Bifunctional Oxygen Electrolysis for N-Doped Carbon via Bimetal Addition. Small 2017, 13, 1604103. [Google Scholar] [CrossRef]
- Barman, B.K.; Nanda, K.K. CoFe Nanoalloys Encapsulated in N-Doped Graphene Layers as a Pt-Free Multifunctional Robust Catalyst: Elucidating the Role of Co-Alloying and N-Doping. ACS Sustain. Chem. Eng. 2018, 6, 12736–12745. [Google Scholar] [CrossRef]
- Yan, Q.; Duan, X.; Liu, Y.; Ge, F.; Zheng, H. A hybridization cage-confinement pyrolysis strategy for ultrasmall Ni 3 Fe alloy coated with N-doped carbon nanotubes as bifunctional oxygen electrocatalysts for Zn–air batteries. J. Mater. Chem. A 2023, 11, 1430–1438. [Google Scholar] [CrossRef]
- Wang, Z.; Cheng, L.; Zhang, R.; Lv, W.; Wang, W. Surface-oxidized Fe–Co–Ni alloys anchored to N-doped carbon nanotubes as efficient catalysts for oxygen reduction reaction. J. Alloys Compd. 2021, 857, 158249. [Google Scholar] [CrossRef]
- Bu, L.; Zhang, N.; Guo, S.; Zhang, X.; Li, J.; Yao, J.; Wu, T.; Lu, G.; Ma, J.-Y.; Su, D.; et al. Biaxially strained PtPb/Pt core/shell nanoplate boosts oxygen reduction catalysis. Science 2016, 354, 1410–1414. [Google Scholar] [CrossRef]
- Lai, J.; Huang, B.; Tang, Y.; Lin, F.; Zhou, P.; Chen, X.; Sun, Y.; Lv, F.; Guo, S. Barrier-free Interface Electron Transfer on PtFe-Fe2C Janus-like Nanoparticles Boosts Oxygen Catalysis. Chemistry 2018, 4, 1153–1166. [Google Scholar] [CrossRef]
- Ud Din, M.A.; Saleem, F.; Ni, B.; Yong, Y.; Wang, X. Porous Tetrametallic PtCuBiMn Nanosheets with a High Catalytic Activity and Methanol Tolerance Limit for Oxygen Reduction Reactions. Adv. Mater. 2017, 29, 1604994. [Google Scholar] [CrossRef]
- Papanikolaou, K.G.; Darby, M.T.; Stamatakis, M. CO-induced aggregation and segregation of highly dilute alloys: A density functional theory study. J. Phys. Chem. C 2019, 123, 9128–9138. [Google Scholar] [CrossRef]
- Darby, M.T.; Sykes, E.C.H.; Michaelides, A.; Stamatakis, M. Carbon monoxide poisoning resistance and structural stability of single atom alloys. Top. Catal. 2018, 61, 428–438. [Google Scholar] [CrossRef]
- Darby, M.T.; Stamatakis, M. Single-Atom Alloys for the Electrochemical Oxygen Reduction Reaction. Chemphyschem 2021, 22, 499–508. [Google Scholar] [CrossRef]
- Arán-Ais, R.M.; Dionigi, F.; Merzdorf, T.; Gocyla, M.; Heggen, M.; Dunin-Borkowski, R.E.; Gliech, M.; Solla-Gullón, J.; Herrero, E.; Feliu, J.M.; et al. Elemental Anisotropic Growth and Atomic-Scale Structure of Shape-Controlled Octahedral Pt–Ni–Co Alloy Nanocatalysts. Nano Lett. 2015, 15, 7473–7480. [Google Scholar] [CrossRef]
- George, E.P.; Raabe, D.; Ritchie, R.O. High-entropy alloys. Nat. Rev. Mater. 2019, 4, 515–534. [Google Scholar] [CrossRef]
- Xin, Y.; Li, S.; Qian, Y.; Zhu, W.; Yuan, H.; Jiang, P.; Guo, R.; Wang, L. High-Entropy Alloys as a Platform for Catalysis: Progress, Challenges, and Opportunities. ACS Catal. 2020, 10, 11280–11306. [Google Scholar] [CrossRef]
- Li, H.; Lai, J.; Li, Z.; Wang, L. Multi-Sites Electrocatalysis in High-Entropy Alloys. Adv. Funct. Mater. 2021, 31, 2106715. [Google Scholar] [CrossRef]
- Shi, P.; Ren, W.; Zheng, T.; Ren, Z.; Hou, X.; Peng, J.; Hu, P.; Gao, Y.; Zhong, Y.; Liaw, P.K. Enhanced strength–ductility synergy in ultrafine-grained eutectic high-entropy alloys by inheriting microstructural lamellae. Nat. Commun. 2019, 10, 489. [Google Scholar] [CrossRef] [PubMed]
- Yao, Y.; Huang, Z.; Xie, P.; Lacey, S.D.; Jacob, R.J.; Xie, H.; Chen, F.; Nie, A.; Pu, T.; Rehwoldt, M.; et al. Carbothermal shock synthesis of high-entropy-alloy nanoparticles. Science 2018, 359, 1489–1494. [Google Scholar] [CrossRef] [PubMed]
- Murty, B.; Ranganathan, S. Novel materials synthesis by mechanical alloying/milling. Int. Mater. Rev. 1998, 43, 101–141. [Google Scholar] [CrossRef]
- Tsai, C.F.; Wu, P.W.; Lin, P.; Chao, C.G.; Yeh, K.Y. Sputter deposition of multi-element nanoparticles as electrocatalysts for methanol oxidation. JPN. J. Appl. Phys. 2008, 47, 5755–5761. [Google Scholar] [CrossRef]
- Shih, C.-Y.; Wu, C.; Shugaev, M.V.; Zhigilei, L.V. Atomistic modeling of nanoparticle generation in short pulse laser ablation of thin metal films in water. J. Colloid Interface Sci. 2017, 489, 3–17. [Google Scholar] [CrossRef]
- Bondesgaard, M.; Broge, N.L.N.; Mamakhel, A.; Bremholm, M.; Iversen, B.B. General Solvothermal Synthesis Method for Complete Solubility Range Bimetallic and High-Entropy Alloy Nanocatalysts. Adv. Funct. Mater. 2019, 29, 1905933. [Google Scholar] [CrossRef]
- Lu, D.; Zhang, Y.; Lin, S.; Wang, L.; Wang, C. Synthesis of PtAu bimetallic nanoparticles on graphene–carbon nanotube hybrid nanomaterials for nonenzymatic hydrogen peroxide sensor. Talanta 2013, 112, 111–116. [Google Scholar] [CrossRef]
- Gao, S.; Hao, S.; Huang, Z.; Yuan, Y.; Han, S.; Lei, L.; Zhang, X.; Shahbazian-Yassar, R.; Lu, J. Synthesis of high-entropy alloy nanoparticles on supports by the fast moving bed pyrolysis. Nat. Commun. 2020, 11, 2016. [Google Scholar] [CrossRef]
- Kumar, N.; Tiwary, C.S.; Biswas, K. Preparation of nanocrystalline high-entropy alloys via cryomilling of cast ingots. J. Mater. Sci. 2018, 53, 13411–13423. [Google Scholar] [CrossRef]
- Cui, X.; Li, W.; Ryabchuk, P.; Junge, K.; Beller, M. Bridging homogeneous and heterogeneous catalysis by heterogeneous single-metal-site catalysts. Nat. Catal. 2018, 1, 385–397. [Google Scholar] [CrossRef]
- Zhang, G.; Ming, K.; Kang, J.; Huang, Q.; Zhang, Z.; Zheng, X.; Bi, X. High entropy alloy as a highly active and stable electrocatalyst for hydrogen evolution reaction. Electrochim. Acta 2018, 279, 19–23. [Google Scholar] [CrossRef]
- Glasscott, M.W.; Pendergast, A.D.; Goines, S.; Bishop, A.R.; Hoang, A.T.; Renault, C.; Dick, J.E. Electrosynthesis of high-entropy metallic glass nanoparticles for designer, multi-functional electrocatalysis. Nat. Commun. 2019, 10, 2650. [Google Scholar] [CrossRef]
- Jin, Z.; Lv, J.; Jia, H.; Liu, W.; Li, H.; Chen, Z.; Lin, X.; Xie, G.; Liu, X.; Sun, S.; et al. Nanoporous Al-Ni-Co-Ir-Mo High-Entropy Alloy for Record-High Water Splitting Activity in Acidic Environments. Small 2019, 15, 1904180. [Google Scholar] [CrossRef]
- Xie, P.; Yao, Y.; Huang, Z.; Liu, Z.; Zhang, J.; Li, T.; Wang, G.; Shahbazian-Yassar, R.; Hu, L.; Wang, C. Highly efficient decomposition of ammonia using high-entropy alloy catalysts. Nat. Commun. 2019, 10, 4011. [Google Scholar] [CrossRef]
- Cui, C.; Gan, L.; Heggen, M.; Rudi, S.; Strasser, P. Compositional segregation in shaped Pt alloy nanoparticles and their structural behaviour during electrocatalysis. Nat. Mater. 2013, 12, 765–771. [Google Scholar] [CrossRef]
- Batchelor, T.A.A.; Pedersen, J.K.; Winther, S.H.; Castelli, I.E.; Jacobsen, K.W.; Rossmeisl, J. High-Entropy Alloys as a Discovery Platform for Electrocatalysis. Joule 2019, 3, 834–845. [Google Scholar] [CrossRef]
- Zhang, Y.; Zhou, Y.J.; Lin, J.P.; Chen, G.L.; Liaw, P.K. Solid-Solution Phase Formation Rules for Multi-component Alloys. Adv. Eng. Mater. 2008, 10, 534–538. [Google Scholar] [CrossRef]
- Yang, X.; Zhang, Y. Prediction of high-entropy stabilized solid-solution in multi-component alloys. Mater. Chem. Phys. 2012, 132, 233–238. [Google Scholar] [CrossRef]
- Mizutani, U. Hume-Rothery rules for structurally complex alloy phases. MRS Bull. 2012, 37, 169. [Google Scholar] [CrossRef]
- Che, M. Nobel Prize in chemistry 1912 to Sabatier: Organic chemistry or catalysis? Catal. Today 2013, 218, 162–171. [Google Scholar] [CrossRef]
- Lu, Z.; Chen, Z.W.; Singh, C.V. Neural Network-Assisted Development of High-Entropy Alloy Catalysts: Decoupling Ligand and Coordination Effects. Matter 2020, 3, 1318–1333. [Google Scholar] [CrossRef]
- Kulkarni, A.; Siahrostami, S.; Patel, A.; Nørskov, J.K. Understanding Catalytic Activity Trends in the Oxygen Reduction Reaction. Chem. Rev. 2018, 118, 2302–2312. [Google Scholar] [CrossRef] [PubMed]
- Yao, C.-Z.; Zhang, P.; Liu, M.; Li, G.-R.; Ye, J.-Q.; Liu, P.; Tong, Y.-X. Electrochemical preparation and magnetic study of Bi–Fe–Co–Ni–Mn high entropy alloy. Electrochim. Acta 2008, 53, 8359–8365. [Google Scholar] [CrossRef]
- Soare, V.; Burada, M.; Constantin, I.; Mitrică, D.; Bădiliţă, V.; Caragea, A.; Târcolea, M. Electrochemical deposition and microstructural characterization of AlCrFeMnNi and AlCrCuFeMnNi high entropy alloy thin films. Appl. Surf. Sci. 2015, 358, 533–539. [Google Scholar] [CrossRef]
- Nellaiappan, S.; Katiyar, N.K.; Kumar, R.; Parui, A.; Malviya, K.D.; Pradeep, K.G.; Singh, A.K.; Sharma, S.; Tiwary, C.S.; Biswas, K. High-Entropy Alloys as Catalysts for the CO2 and CO Reduction Reactions: Experimental Realization. ACS Catal. 2020, 10, 3658–3663. [Google Scholar] [CrossRef]
- Pedersen, J.K.; Batchelor, T.A.A.; Bagger, A.; Rossmeisl, J. High-Entropy Alloys as Catalysts for the CO2 and CO Reduction Reactions. ACS Catal. 2020, 10, 2169–2176. [Google Scholar] [CrossRef]
- Snyder, J.; Asanithi, P.; Dalton, A.B.; Erlebacher, J. Stabilized Nanoporous Metals by Dealloying Ternary Alloy Precursors. Adv. Mater. 2008, 20, 4883–4886. [Google Scholar] [CrossRef]
- Qiu, H.-J.; Fang, G.; Wen, Y.; Liu, P.; Xie, G.; Liu, X.; Sun, S. Nanoporous high-entropy alloys for highly stable and efficient catalysts. J. Mater. Chem. A 2019, 7, 6499–6506. [Google Scholar] [CrossRef]
- Wang, D.; Xin, H.L.; Hovden, R.; Wang, H.; Yu, Y.; Muller, D.A.; DiSalvo, F.J.; Abruña, H.D. Structurally ordered intermetallic platinum–cobalt core–shell nanoparticles with enhanced activity and stability as oxygen reduction electrocatalysts. Nat. Mater. 2013, 12, 81–87. [Google Scholar] [CrossRef]
- Li, Q.; Wu, L.; Wu, G.; Su, D.; Lv, H.; Zhang, S.; Zhu, W.; Casimir, A.; Zhu, H.; Mendoza-Garcia, A.; et al. New Approach to Fully Ordered fct-FePt Nanoparticles for Much Enhanced Electrocatalysis in Acid. Nano Lett. 2015, 15, 2468–2473. [Google Scholar] [CrossRef]
- Wang, X.X.; Hwang, S.; Pan, Y.-T.; Chen, K.; He, Y.; Karakalos, S.; Zhang, H.; Spendelow, J.S.; Su, D.; Wu, G. Ordered Pt3Co Intermetallic Nanoparticles Derived from Metal–Organic Frameworks for Oxygen Reduction. Nano Lett. 2018, 18, 4163–4171. [Google Scholar] [CrossRef]
- Zhu, G.; Jiang, Y.; Yang, H.; Wang, H.; Fang, Y.; Wang, L.; Xie, M.; Qiu, P.; Luo, W. Constructing Structurally Ordered High-Entropy Alloy Nanoparticles on Nitrogen-Rich Mesoporous Carbon Nanosheets for High-Performance Oxygen Reduction. Adv. Mater. 2022, 34, 2110128. [Google Scholar] [CrossRef]
- Zuo, X.; Yan, R.; Zhao, L.; Long, Y.; Shi, L.; Cheng, Q.; Liu, D.; Hu, C. A hollow PdCuMoNiCo high-entropy alloy as an efficient bi-functional electrocatalyst for oxygen reduction and formic acid oxidation. J. Mater. Chem. A 2022, 10, 14857–14865. [Google Scholar] [CrossRef]
- Zuo, Y.; Rao, D.; Li, S.; Li, T.; Zhu, G.; Chen, S.; Song, L.; Chai, Y.; Han, H. Atomic Vacancies Control of Pd-Based Catalysts for Enhanced Electrochemical Performance. Adv. Mater. 2018, 30, 1704171. [Google Scholar] [CrossRef]
- He, C.; Tao, J.; Shen, P.K. Solid Synthesis of Ultrathin Palladium and Its Alloys’ Nanosheets on RGO with High Catalytic Activity for Oxygen Reduction Reaction. ACS Catal. 2018, 8, 910–919. [Google Scholar] [CrossRef]
- Chen, Z.; Zhang, J.; Zhang, Y.; Liu, Y.; Han, X.; Zhong, C.; Hu, W.; Deng, Y. NiO-induced synthesis of PdNi bimetallic hollow nanocrystals with enhanced electrocatalytic activities toward ethanol and formic acid oxidation. Nano Energy 2017, 42, 353–362. [Google Scholar] [CrossRef]
- Löffler, T.; Meyer, H.; Savan, A.; Wilde, P.; Garzón Manjón, A.; Chen, Y.-T.; Ventosa, E.; Scheu, C.; Ludwig, A.; Schuhmann, W. Discovery of a Multinary Noble Metal–Free Oxygen Reduction Catalyst. Adv. Energy Mater. 2018, 8, 1802269. [Google Scholar] [CrossRef]
- Rao, P.; Deng, Y.; Fan, W.; Luo, J.; Deng, P.; Li, J.; Shen, Y.; Tian, X. Movable type printing method to synthesize high-entropy single-atom catalysts. Nat. Commun. 2022, 13, 5071. [Google Scholar] [CrossRef]
- Hu, J.; Cao, L.; Wang, Z.; Liu, J.; Zhang, J.; Cao, Y.; Lu, Z.; Cheng, H. Hollow high-entropy metal organic framework derived nanocomposite as efficient electrocatalyst for oxygen reduction reaction. Compos. Commun. 2021, 27, 100866. [Google Scholar] [CrossRef]
- Wu, S.; Zhu, Y.; Huo, Y.; Luo, Y.; Zhang, L.; Wan, Y.; Nan, B.; Cao, L.; Wang, Z.; Li, M.; et al. Bimetallic organic frameworks derived CuNi/carbon nanocomposites as efficient electrocatalysts for oxygen reduction reaction. Sci. China Mater. 2017, 60, 654–663. [Google Scholar] [CrossRef]
- Sun, Y.; Shen, Z.; Xin, S.; Ma, L.; Xiao, C.; Ding, S.; Li, F.; Gao, G. Ultrafine Co-doped ZnO nanoparticles on reduced graphene oxide as an efficient electrocatalyst for oxygen reduction reaction. Electrochim. Acta 2017, 224, 561–570. [Google Scholar] [CrossRef]
- Hao, R.; Chen, J.; Wang, Z.; Zhang, J.; Gan, Q.; Wang, Y.; Li, Y.; Luo, W.; Wang, Z.; Yuan, H.; et al. Iron polyphthalocyanine-derived ternary-balanced Fe3O4/Fe3N/Fe-N-C@PC as a high-performance electrocatalyst for the oxygen reduction reaction. Sci. China Mater. 2021, 64, 2987–2996. [Google Scholar] [CrossRef]
- Bockris, J.O.M.; Otagawa, T. The electrocatalysis of oxygen evolution on perovskites. J. Electrochem. Soc. 1984, 131, 290. [Google Scholar] [CrossRef]
- Meng, Y.; Song, W.; Huang, H.; Ren, Z.; Chen, S.-Y.; Suib, S.L. Structure–Property Relationship of Bifunctional MnO2 Nanostructures: Highly Efficient, Ultra-Stable Electrochemical Water Oxidation and Oxygen Reduction Reaction Catalysts Identified in Alkaline Media. J. Am. Chem. Soc. 2014, 136, 11452–11464. [Google Scholar] [CrossRef]
- Liang, Y.; Li, Y.; Wang, H.; Zhou, J.; Wang, J.; Regier, T.; Dai, H. Co3O4 nanocrystals on graphene as a synergistic catalyst for oxygen reduction reaction. Nat. Mater. 2011, 10, 780–786. [Google Scholar] [CrossRef]
- Liang, Y.; Wang, H.; Diao, P.; Chang, W.; Hong, G.; Li, Y.; Gong, M.; Xie, L.; Zhou, J.; Wang, J.; et al. Oxygen Reduction Electrocatalyst Based on Strongly Coupled Cobalt Oxide Nanocrystals and Carbon Nanotubes. J. Am. Chem. Soc. 2012, 134, 15849–15857. [Google Scholar] [CrossRef]
- Zhang, Y.; Zhang, Z.; Jiang, G.; Mamaghani, A.H.; Sy, S.; Gao, R.; Jiang, Y.; Deng, Y.; Bai, Z.; Yang, L.; et al. Three-dimensionally ordered mesoporous Co3O4 decorated with Mg as bifunctional oxygen electrocatalysts for high-performance zinc-air batteries. Nano Energy 2022, 100, 107425. [Google Scholar] [CrossRef]
- Tong, X.; Chen, S.; Guo, C.; Xia, X.; Guo, X.-Y. Mesoporous NiCo2O4 Nanoplates on Three-Dimensional Graphene Foam as an Efficient Electrocatalyst for the Oxygen Reduction Reaction. ACS Appl. Mater. Interfaces 2016, 8, 28274–28282. [Google Scholar] [CrossRef]
- Qian, M.; Cheng, X.; Sun, T.; Tian, J.; Isimjan, T.T.; Shi, Z.; Yang, X. Synergistic catalytic effect of N-doped carbon embedded with CoFe-rich CoFe2O4 clusters as highly efficient catalyst towards oxygen reduction. J. Alloys Compd. 2020, 819, 153015. [Google Scholar] [CrossRef]
- Wan, H.; Lv, M.; Liu, X.; Chen, G.; Zhang, N.; Cao, Y.; Wang, H.; Ma, R.; Qiu, G. Activating Hematite Nanoplates via Partial Reduction for Electrocatalytic Oxygen Reduction Reaction. ACS Sustain. Chem. Eng. 2019, 7, 11841–11849. [Google Scholar] [CrossRef]
- Shang, L.; Yu, H.; Huang, X.; Bian, T.; Shi, R.; Zhao, Y.; Waterhouse, G.I.N.; Wu, L.-Z.; Tung, C.-H.; Zhang, T. Well-Dispersed ZIF-Derived Co,N-Co-doped Carbon Nanoframes through Mesoporous-Silica-Protected Calcination as Efficient Oxygen Reduction Electrocatalysts. Adv. Mater. 2016, 28, 1668–1674. [Google Scholar] [CrossRef]
- Hu, Y.; Liu, Y.; Sun, Y. Superparticles: Mesoporous Colloidal Superparticles of Platinum-Group Nanocrystals with Surfactant-Free Surfaces and Enhanced Heterogeneous Catalysis (Adv. Funct. Mater. 11/2015). Adv. Funct. Mater. 2015, 25, 1613. [Google Scholar] [CrossRef]
- Knossalla, J.; Mezzavilla, S.; Schüth, F. Continuous synthesis of nanostructured silica based materials in a gas–liquid segmented flow tubular reactor. New J. Chem. 2016, 40, 4361–4366. [Google Scholar] [CrossRef]
- Mosa, I.M.; Biswas, S.; El-Sawy, A.M.; Botu, V.; Guild, C.J.; Song, W.; Ramprasad, R.; Rusling, J.F.; Suib, S.L. Tunable mesoporous manganese oxide for high performance oxygen reduction and evolution reactions. J. Mater. Chem. 2016, 4, 620–631. [Google Scholar] [CrossRef]
- Amer, M.S.; Ghanem, M.A.; Arunachalam, P.; Al-Mayouf, A.M.; Hadadi, S.M. Bifunctional Electrocatalyst of Low-Symmetry Mesoporous Titanium Dioxide Modified with Cobalt Oxide for Oxygen Evolution and Reduction Reactions. Catalysts 2019, 9, 836. [Google Scholar] [CrossRef]
- Wang, Z.; Yang, J.; Tang, Y.; Chen, Z.; Lu, Q.; Shen, G.; Wen, Y.; Liu, X.; Liu, F.; Chen, R. Fe3O4/Co3O4 binary oxides as bifunctional electrocatalysts for rechargeable Zn–air batteries by one-pot pyrolysis of zeolitic imidazolate frameworks. Sustain. Energy Fuels 2021, 5, 2985–2993. [Google Scholar] [CrossRef]
- Zhang, Y.; Sun, Y.; Cai, Z.; You, S.; Li, X.; Zhang, Y.; Yu, Y.; Ren, N.; Zou, J. Stable CuO with variable valence states cooperated with active Co2+ as catalyst/co-catalyst for oxygen reduction/methanol oxidation reactions. J. Colloid Interface Sci. 2021, 593, 345–358. [Google Scholar] [CrossRef]
- Amer, M.S.; Arunachalam, P.; Ghanem, M.A.; Al-Mayouf, A.M.; Shar, M.A. Enriched active surface structure in nanosized tungsten-cobalt oxides electrocatalysts for efficient oxygen redox reactions. Appl. Surf. Sci. 2020, 513, 145831. [Google Scholar] [CrossRef]
- Liang, Y.; Wang, H.; Zhou, J.; Li, Y.; Wang, J.; Regier, T.; Dai, H. Covalent Hybrid of Spinel Manganese–Cobalt Oxide and Graphene as Advanced Oxygen Reduction Electrocatalysts. J. Am. Chem. Soc. 2012, 134, 3517–3523. [Google Scholar] [CrossRef]
- Zhu, H.; Zhang, S.; Huang, Y.-X.; Wu, L.; Sun, S. Monodisperse MxFe3–xO4 (M = Fe, Cu, Co, Mn) Nanoparticles and Their Electrocatalysis for Oxygen Reduction Reaction. Nano Lett. 2013, 13, 2947–2951. [Google Scholar] [CrossRef] [PubMed]
- Wang, Y.; Ding, W.; Chen, S.; Nie, Y.; Xiong, K.; Wei, Z. Cobalt carbonate hydroxide/C: An efficient dual electrocatalyst for oxygen reduction/evolution reactions. Chem. Commun. 2014, 50, 15529–15532. [Google Scholar] [CrossRef] [PubMed]
- Wu, G.; Nelson, M.A.; Mack, N.H.; Ma, S.; Sekhar, P.; Garzon, F.H.; Zelenay, P. Titanium dioxide-supported non-precious metal oxygen reduction electrocatalyst. Chem. Commun. 2010, 46, 7489–7491. [Google Scholar] [CrossRef] [PubMed]
- Imai, H.; Matsumoto, M.; Miyazaki, T.; Fujieda, S.; Ishihara, A.; Tamura, M.; Ota, K.-i. Structural defects working as active oxygen-reduction sites in partially oxidized Ta-carbonitride core-shell particles probed by using surface-sensitive conversion-electron-yield x-ray absorption spectroscopy. Appl. Phys. Lett. 2010, 96, 191905. [Google Scholar] [CrossRef]
- Sasaki, K.; Zhang, L.; Adzic, R.R. Niobium oxide-supported platinum ultra-low amount electrocatalysts for oxygen reduction. Phys. Chem. Chem. Phys. 2008, 10, 159–167. [Google Scholar] [CrossRef]
- Beall, C.E.; Fabbri, E.; Schmidt, T.J. Perovskite Oxide Based Electrodes for the Oxygen Reduction and Evolution Reactions: The Underlying Mechanism. ACS Catal. 2021, 11, 3094–3114. [Google Scholar] [CrossRef]
- Suntivich, J.; Gasteiger, H.A.; Yabuuchi, N.; Nakanishi, H.; Goodenough, J.B.; Shao-Horn, Y. Design principles for oxygen-reduction activity on perovskite oxide catalysts for fuel cells and metal-air batteries. Nat. Chem. 2011, 3, 546–550. [Google Scholar] [CrossRef]
- Lang, P.; Yuan, N.; Jiang, Q.; Zhang, Y.; Tang, J. Recent Advances and Prospects of Metal-Based Catalysts for Oxygen Reduction Reaction. Energy Technol. 2020, 8, 1900984. [Google Scholar] [CrossRef]
- Gao, M.R.; Jiang, J.; Yu, S.H. Solution-based synthesis and design of late transition metal chalcogenide materials for oxygen reduction reaction (ORR). Small 2012, 8, 13–27. [Google Scholar] [CrossRef]
- Feng, Y.; Alonso-Vante, N. Nonprecious metal catalysts for the molecular oxygen-reduction reaction. Phys. Status Solidi (B) 2008, 245, 1792–1806. [Google Scholar] [CrossRef]
- Behret, H.; Binder, H.; Sandstede, G. Electrocatalytic oxygen reduction with thiospinels and other sulphides of transition metals. Electrochim. Acta 1975, 20, 111–117. [Google Scholar] [CrossRef]
- He, T.; Alonso-Vante, N. In situ Free-Surfactant Synthesis and ORR- Electrochemistry of Carbon-Supported Co3S4 and CoSe 2 Nanoparticles. Chem. Mater. 2008, 20, 26–28. [Google Scholar] [CrossRef]
- Gao, M.-R.; Liu, S.; Jiang, J.; Cui, C.; Yao, W.T.; Yu, S.-H. In Situ Controllable Synthesis of Magnetite Nanocrystals/CoSe2 Hybrid Nanobelts and Their Enhanced Catalytic Performance. J. Mater. Chem. 2010, 20, 9355–9361. [Google Scholar] [CrossRef]
- Wu, G.; Zelenay, P. Nanostructured Nonprecious Metal Catalysts for Oxygen Reduction Reaction. Acc. Chem. Res. 2013, 46, 1878–1889. [Google Scholar] [CrossRef]
- Huang, N.; Yan, S.; Zhang, M.; Ding, Y.; Yang, L.; Sun, P.; Sun, X. A MoS2-Co9S8-NC heterostructure as an efficient bifunctional electrocatalyst towards hydrogen and oxygen evolution reaction. Electrochim. Acta 2019, 327, 134942. [Google Scholar] [CrossRef]
- Doan-Nguyen, V.V.T.; Zhang, S.; Trigg, E.B.; Agarwal, R.; Li, J.; Su, D.; Winey, K.I.; Murray, C.B. Synthesis and X-ray Characterization of Cobalt Phosphide (Co2P) Nanorods for the Oxygen Reduction Reaction. ACS Nano 2015, 9, 8108–8115. [Google Scholar] [CrossRef]
- Huang, K.; Bi, K.; Lu, Y.K.; Zhang, R.; Liu, J.; Wang, W.J.; Tang, H.L.; Wang, Y.G.; Lei, M. Porous VOxNy nanoribbons supported on CNTs as efficient and stable non-noble electrocatalysts for the oxygen reduction reaction. Sci. Rep. 2015, 5, 17385. [Google Scholar] [CrossRef]
- Yao, C.; Li, J.; Zhang, Z.; Gou, C.; Zhang, Z.; Pan, G.; Zhang, J. Hierarchical Core–Shell Co2N/CoP Embedded in N, P-doped Carbon Nanotubes as Efficient Oxygen Reduction Reaction Catalysts for Zn-air Batteries. Small 2022, 18, 2108094. [Google Scholar] [CrossRef]
- Yang, L.; Kimmel, Y.C.; Lu, Q.; Chen, J.G. Effect of pretreatment atmosphere on the particle size and oxygen reduction activity of low-loading platinum impregnated titanium carbide powder electrocatalysts. J. Power Sources 2015, 287, 196–202. [Google Scholar] [CrossRef]
- Cui, X.; Meng, L.; Zhang, X.; Wang, X.; Shi, J. Heterogeneous atoms-doped titanium carbide as a precious metal-free electrocatalyst for oxygen reduction reaction. Electrochim. Acta 2019, 295, 384–392. [Google Scholar] [CrossRef]
- Ren, G.; Lu, X.; Li, Y.; Zhu, Y.; Dai, L.; Jiang, L. Porous Core–Shell Fe3C Embedded N-doped Carbon Nanofibers as an Effective Electrocatalysts for Oxygen Reduction Reaction. ACS Appl. Mater. Interfaces 2016, 8, 4118–4125. [Google Scholar] [CrossRef] [PubMed]
- Sun, H.; Liu, S.; Wang, M.; Qian, T.; Xiong, J.; Yan, C. Updating the Intrinsic Activity of a Single-Atom Site with a P–O Bond for a Rechargeable Zn–Air Battery. ACS Appl. Mater. Interfaces 2019, 11, 33054–33061. [Google Scholar] [CrossRef] [PubMed]
- Chen, J.; Yuan, X.; Lyu, F.; Zhong, Q.; Hu, H.; Pan, Q.; Zhang, Q. Integrating MXene nanosheets with cobalt-tipped carbon nanotubes for an efficient oxygen reduction reaction. J. Mater. Chem. A 2019, 7, 1281–1286. [Google Scholar] [CrossRef]
- Bhattacharyya, S.; Samanta, D.; Roy, S.; Haveri Radhakantha, V.P.; Maji, T.K. In situ Stabilization of Au and Co Nanoparticles in a Redox-Active Conjugated Microporous Polymer Matrix: Facile Heterogeneous Catalysis and Electrocatalytic Oxygen Reduction Reaction Activity. ACS Appl. Mater. Interfaces 2019, 11, 5455–5461. [Google Scholar] [CrossRef] [PubMed]
- Xiang, Q.; Liu, Y.; Zou, X.; Hu, B.; Qiang, Y.; Yu, D.; Yin, W.; Chen, C. Hydrothermal Synthesis of a New Kind of N-Doped Graphene Gel-like Hybrid As an Enhanced ORR Electrocatalyst. ACS Appl. Mater. Interfaces 2018, 10, 10842–10850. [Google Scholar] [CrossRef]
- Lv, J.-J.; Li, Y.; Wu, S.; Fang, H.; Li, L.-L.; Song, R.-B.; Ma, J.; Zhu, J.-J. Oxygen Species on Nitrogen-Doped Carbon Nanosheets as Efficient Active Sites for Multiple Electrocatalysis. ACS Appl. Mater. Interfaces 2018, 10, 11678–11688. [Google Scholar] [CrossRef]
- Wang, W.; Mi, Y.; Kang, Y.; Liu, X.; Imhanria, S.; Lei, Z. Yttrium fluoride doped nitrogen-contained carbon as an efficient cathode catalyst in zinc-air battery. J. Power Sources 2020, 472, 228451. [Google Scholar] [CrossRef]
- Li, N.; Liu, J.; Dong, B.-X.; Lan, Y.-Q. Polyoxometalate-Based Compounds for Photo- and Electrocatalytic Applications. Angew. Chem. Int. Ed. 2020, 59, 20779–20793. [Google Scholar] [CrossRef]
- Bloor, L.G.; Solarska, R.; Bienkowski, K.; Kulesza, P.J.; Augustynski, J.; Symes, M.D.; Cronin, L. Solar-Driven Water Oxidation and Decoupled Hydrogen Production Mediated by an Electron-Coupled-Proton Buffer. J. Am. Chem. Soc. 2016, 138, 6707–6710. [Google Scholar] [CrossRef]
- Stergiou, A.D.; Symes, M.D. Organic transformations using electro-generated polyoxometalate redox mediators. Catal. Today 2022, 384, 146–155. [Google Scholar] [CrossRef]
- Bakker, T.M.A.; Mathew, S.; Reek, J.N.H. Lindqvist polyoxometalates as electrolytes in p-type dye sensitized solar cells. Sustain. Energy Fuels 2019, 3, 96–100. [Google Scholar] [CrossRef]
- Anson, C.W.; Stahl, S.S. Mediated Fuel Cells: Soluble Redox Mediators and Their Applications to Electrochemical Reduction of O2 and Oxidation of H2, Alcohols, Biomass, and Complex Fuels. Chem. Rev. 2020, 120, 3749–3786. [Google Scholar] [CrossRef]
- Lv, J.Q.; Lang, Z.L.; Fu, J.Q.; Lan, Q.; Liu, R.; Zang, H.Y.; Li, Y.G.; Ye, D.D.; Streb, C. Molecular Iron Oxide Clusters Boost the Oxygen Reduction Reaction of Platinum Electrocatalysts at Near-Neutral pH. Angew Chem. Int. Ed. Engl. 2022, 61, e202202650. [Google Scholar] [CrossRef]
- Deng, J.; Deng, D.; Bao, X. Robust Catalysis on 2D Materials Encapsulating Metals: Concept, Application, and Perspective. Adv. Mater. 2017, 29, 1606967. [Google Scholar] [CrossRef]
- Zhou, Y.; Gao, G.; Kang, J.; Chu, W.; Wang, L.-W. Transition metal-embedded two-dimensional C3N as a highly active electrocatalyst for oxygen evolution and reduction reactions. J. Mater. Chem. A 2019, 7, 12050–12059. [Google Scholar] [CrossRef]
- Wang, X.; Sun, G.; Routh, P.; Kim, D.H.; Huang, W.; Chen, P. Heteroatom-doped graphene materials: Syntheses, properties and applications. Chem. Soc. Rev. 2014, 43, 7067–7098. [Google Scholar] [CrossRef]
- Kong, X.K.; Chen, C.L.; Chen, Q.W. Doped graphene for metal-free catalysis. Chem. Soc. Rev. 2014, 43, 2841–2857. [Google Scholar] [CrossRef]
- Lu, S.; Zhang, Y.; Lou, F.; Guo, K.; Yu, Z. Non-precious metal activated MoSi2N4 monolayers for high-performance OER and ORR electrocatalysts: A first-principles study. Appl. Surf. Sci. 2022, 579, 152234. [Google Scholar] [CrossRef]
- Huang, Z.; Pan, H.; Yang, W.; Zhou, H.; Gao, N.; Fu, C.; Li, S.; Li, H.; Kuang, Y. In Situ Self-Template Synthesis of Fe–N-Doped Double-Shelled Hollow Carbon Microspheres for Oxygen Reduction Reaction. ACS Nano 2018, 12, 208–216. [Google Scholar] [CrossRef]
- Li, M.; Xiao, Z.; Fan, L.; Wang, F.; Du, X.; Kang, Z.; Fan, W.; Guo, Z.; Sun, D. Fe/N-doped carbon nanofibers with Fe3O4/Fe2C nanocrystals enchased as electrocatalysts for efficient oxygen reduction reaction. Inorg. Chem. Front. 2019, 6, 2296–2303. [Google Scholar] [CrossRef]
- Han, J.; Meng, X.; Lu, L.; Bian, J.; Li, Z.; Sun, C. Single-Atom Fe-Nx-C as an Efficient Electrocatalyst for Zinc–Air Batteries. Adv. Funct. Mater. 2019, 29, 1808872. [Google Scholar] [CrossRef]
- Wen, Z.; Ci, S.; Zhang, F.; Feng, X.; Cui, S.; Mao, S.; Luo, S.; He, Z.; Chen, J. Nitrogen-Enriched Core-Shell Structured Fe/Fe3C-C Nanorods as Advanced Electrocatalysts for Oxygen Reduction Reaction. Adv. Mater. 2012, 24, 1399–1404. [Google Scholar] [CrossRef] [PubMed]
- Zhang, L.; Fan, L.; Yang, P.; Li, M.; Zhang, H.; Tang, Y.; Kang, Z.; Guo, H.; Wang, R.; Sun, D. Green synthesis of hierarchical carbon coupled with Fe3O4/Fe2C as an efficient catalyst for the oxygen reduction reaction. Mater. Adv. 2020, 1, 2010–2018. [Google Scholar] [CrossRef]
- Chen, C.; Wang, X.-T.; Zhong, J.-H.; Liu, J.; Waterhouse, G.I.N.; Liu, Z.-Q. Epitaxially Grown Heterostructured SrMn3O6−x-SrMnO3 with High-Valence Mn3+/4+ for Improved Oxygen Reduction Catalysis. Angew. Chem. Int. Ed. 2021, 60, 22043–22050. [Google Scholar] [CrossRef] [PubMed]
























Disclaimer/Publisher’s Note: The statements, opinions and data contained in all publications are solely those of the individual author(s) and contributor(s) and not of MDPI and/or the editor(s). MDPI and/or the editor(s) disclaim responsibility for any injury to people or property resulting from any ideas, methods, instructions or products referred to in the content. |
© 2023 by the authors. Licensee MDPI, Basel, Switzerland. This article is an open access article distributed under the terms and conditions of the Creative Commons Attribution (CC BY) license (https://creativecommons.org/licenses/by/4.0/).
Share and Cite
Chen, Q.; Zhang, Z.; Zhang, R.; Hu, M.; Shi, L.; Yao, Z. Recent Progress of Non-Pt Catalysts for Oxygen Reduction Reaction in Fuel Cells. Processes 2023, 11, 361. https://doi.org/10.3390/pr11020361
Chen Q, Zhang Z, Zhang R, Hu M, Shi L, Yao Z. Recent Progress of Non-Pt Catalysts for Oxygen Reduction Reaction in Fuel Cells. Processes. 2023; 11(2):361. https://doi.org/10.3390/pr11020361
Chicago/Turabian StyleChen, Qing, Zhou Zhang, Ruiquan Zhang, Maocong Hu, Ling Shi, and Zhenhua Yao. 2023. "Recent Progress of Non-Pt Catalysts for Oxygen Reduction Reaction in Fuel Cells" Processes 11, no. 2: 361. https://doi.org/10.3390/pr11020361
APA StyleChen, Q., Zhang, Z., Zhang, R., Hu, M., Shi, L., & Yao, Z. (2023). Recent Progress of Non-Pt Catalysts for Oxygen Reduction Reaction in Fuel Cells. Processes, 11(2), 361. https://doi.org/10.3390/pr11020361

