Study on Gas Migration Mechanism and Multi-Borehole Spacing Optimization in Coal under Negative Pressure Extraction
Abstract
1. Introduction
2. Establishment of Coalbed Gas-Solid Coupling Model
2.1. Coal Deformation Equation
2.2. Gas Migration Equation in Coal
3. Numerical Simulation
3.1. Model Assumptions
- Assuming that the coal body is an isotropic pore-fracture porous medium, the coal body is regarded as a linear elastic body, and the coal body undergoes small deformation.
- Assuming that there is no energy exchange between the coal body and the surrounding environment, the roof and floor of the coal seam are impermeable, and the extracted gas only comes from the coal body.
- It is assumed that the initial fracture gas pressure in the coal body is the same as the initial fracture gas pressure in the coal matrix pore.
- Assuming that the temperature does not change when the gas migrates in the coal body during the extraction process, the gas is an ideal gas, which conforms to the ideal gas state equation. Gas diffusion conforms to Fick diffusion law, gas adsorption conforms to Langmuir adsorption law, and gas seepage conforms to Darcy law.
3.2. Model Introduction
4. Simulation Results and Analysis
4.1. Influence of Negative Pressure Extraction on Gas Migration
4.2. Drilling Engineering Optimization
5. Discussion
6. Conclusions
Author Contributions
Funding
Data Availability Statement
Acknowledgments
Conflicts of Interest
References
- Yuan, L. Deep coal and gas mining strategic thinking in China. J. China Coal Soc. 2016, 41, 1–6. [Google Scholar]
- Wang, K.; Du, F. Coal-gas compound dynamic disasters in China: A review. Process Saf. Environ. Prot. 2020, 133, 1–17. [Google Scholar] [CrossRef]
- Xue, D.J.; Zhou, J.; Liu, Y.T.; Gao, L. On the excavation-induced stress drop in damaged coal considering a coupled yield and failure criterion. Int. J. Coal Sci. Technol. 2020, 7, 58–67. [Google Scholar] [CrossRef]
- Du, F.; Wang, K. Unstable failure of gas-bearing coal-rock combination bodies: Insights from physical experiments and numerical simulations. Process Saf. Environ. Prot. 2019, 129, 264–279. [Google Scholar] [CrossRef]
- Guo, D.Y.; Lv, P.F.; Zhao, J.C.; Zhang, C. Research progress on permeability improvement mechanisms and technologies of coalbed deep-hole cumulative blasting. Int. J. Coal Sci. Technol. 2020, 7, 329–336. [Google Scholar] [CrossRef]
- Shu, L.Y.; Wang, K.; Liu, Z.S.; Zhao, W.; Zhu, N.N.; Lei, Y. A novel physical model of coal and gas outbursts mechanism: Insights into the process and initiation criterion of outbursts. Fuel 2022, 323, 124305. [Google Scholar] [CrossRef]
- Li, X.Y.; Zheng, J.Y.; Liu, J.P. Numerical Simulation of Borehole Parameters for Coal Seam Gas Pre-Drainage. Int. J. Heat Technol. 2021, 39, 1328–1334. [Google Scholar] [CrossRef]
- Wang, K.; Guo, Y.Y.; Wang, G.; Du, F. Seepage and Mechanical Failure Characteristics of Gas-bearing Composite Coal-Rock Under True Triaxial Path. J. China Coal Soc. 2022, 1–12. [Google Scholar] [CrossRef]
- Tu, Q.Y.; Cheng, Y.P.; Xue, S.; Ren, T.; Cheng, X. Energy-limiting factor for coal and gas outburst occurrence in intact coal seam. Int. J. Min. Sci. Technol. 2021, 31, 729–742. [Google Scholar] [CrossRef]
- Li, W.R.; Wang, D.K.; Wang, J.G. Improved mathematical model of apparent permeability: A focused study on free and multilayer adsorptive phase flow. J. Nat. Gas Sci. Eng. 2022, 101, 104508. [Google Scholar] [CrossRef]
- Pan, Z.J.; Connell, L.D.; Camilleri, M.; Connelly, L. Effects of matrix moisture on gas diffusion and flow in coal. Fuel 2010, 89, 3207–3217. [Google Scholar] [CrossRef]
- Wang, K.; Du, F.; Wang, G. Investigation of gas pressure and temperature effects on the permeability and steady-state time of Chinese anthracite coal: An experimental study. J. Nat. Gas Sci. Eng. 2017, 40, 179–188. [Google Scholar] [CrossRef]
- Hou, W.T.; Wang, H.P.; Yuan, L.; Wang, W.; Xue, Y.; Ma, Z.W. Experimental research into the effect of gas pressure, particle size and nozzle area on initial gas-release energy during gas desorption. Int. J. Min. Sci. Technol. 2021, 31, 253–263. [Google Scholar] [CrossRef]
- Zhu, W.C.; Liu, J.; Sheng, J.C.; Elsworth, D. Analysis of coupled gas flow and deformation process with desorption and Klinkenberg effects in coal seams. Int. J. Rock Mech. Min. Sci. 2006, 44, 971–980. [Google Scholar] [CrossRef]
- Hu, G.Z.; Xu, J.L.; Wang, H.T.; Jin, Z.Y.; Wu, R.L. Research on a dynamically coupled deformation and gas flow model applied to low-permeability coal. J. China Univ. Min. Technol. 2011, 40, 1–6. [Google Scholar]
- Xia, T.-Q.; Gao, F.; Kang, J.-H.; Wang, X.-X. A fully coupling coal-gas model associated with inertia and slip effects for CBM migration. Ecol. Environ. Conserv. 2016, 75, 582. [Google Scholar] [CrossRef]
- Cheng, Y.P.; Dong, J.; Li, W.; Chen, M.Y.; Liu, K.; Zhao, W. Effect of negative pressure on coalbed methane extraction and application in the utilization of methane resource. J. China Coal Soc. 2017, 42, 1466–1474. [Google Scholar]
- Liu, Q.Q.; Cheng, Y.P.; Li, W.; Jin, K.; He, T.; Zhao, W. Mathematical Model of Coupled Gas Flow and Coal Deformation Process in Low-Permeability and First Mined Coal Seam. Chin. J. Rock Mech. Eng. 2015, 34, 2749–2758. [Google Scholar]
- Zhang, Y.Y. Numerical Simulation Study on Effective Radius of Degassing Borehole. Master’s Thesis, Henan Polytechnic University, Jiaozuo, China, 2015. Available online: https://kns.cnki.net/KCMS/detail/detail.aspx?dbname=CMFD201602&filename=1016710989.nh (accessed on 8 January 2023).
- Li, B.; Wei, J.P.; Sun, D.H.; Zhang, L.L.; Borisyukd, Y.A. Research on the Reasonable Spacing of Holes in Gas Drainage along Coal Seams in Consideration of the Superimposed Effect of Drainage. J. Eng. Sci. Technol. Rev. 2016, 9, 102–110. [Google Scholar]
- Zhang, L.; Jing, C.; Li, S.G.; Bao, R.Y.; Zhang, T.J. Seepage Law of Nearly Flat Coal Seam Based on Three-Dimensional Structure of Borehole and the Deep Soft Rock Roadway Intersection. Energies 2022, 15, 5012. [Google Scholar] [CrossRef]
- Chen, Y.X. Parameters Evolution during Gas Drainage and Numerical Simulation of Boreholes Optimization. Ph.D. Disssertation; Chongqing University: Chongqing, China, 2018. Available online: https://kns.cnki.net/KCMS/detail/detail.aspx?dbname=CDFDLAST2019&filename=1018852869.nh (accessed on 8 January 2023).
- Hu, S.X.; Liu, X.; Li, X.Z. Fluid–Solid Coupling Model and Simulation of Gas-Bearing Coal for Energy Security and Sustainability. Processes 2020, 8, 254. [Google Scholar] [CrossRef]
- Wang, D.K.; Tang, J.H.; Wei, J.P.; Wei, L.; Wu, J.; Yuan, M.Y.; Pang, X.F.; Guo, Y.J. A fluid-solid coupling model of coal seam gas considering gas multi-mechanism flow and numerical simulation analysis of gas drainage. J. China Coal Soc. 2022, 1–13. [Google Scholar] [CrossRef]
- Wang, D.K.; Peng, M.; Fu, Q.C.; Qin, H.J.; Xia, Y.L. Evolution and numerical simulation of coal permeability during gas drainage in coal seams. Chin. J. Rock Mech. Eng. 2016, 35, 704–712. [Google Scholar]
- Wu, Y.; Liu, J.S.; Elsworth, D.; Chen, Z.W.; Connell, L.; Pan, Z.J. Dual poroelastic response of a coal seam to CO2 injection. Int. J. Greenh. Gas Control. 2010, 4, 668–678. [Google Scholar] [CrossRef]
- Chen, Y.X.; Chu, T.X.; Chen, P.; Tang, Y. Quantitative study of 3D numerical simulation on optimizing borehole layout spacing of gas drainage. Coal Geol. Explor. 2021, 49, 78–84, 94. [Google Scholar]
- Wei, P.; Huang, C.W.; Li, X.L.; Peng, S.J.; Lu, Y.N. Numerical simulation of boreholes for gas extraction and effective range of gas extraction in soft coal seams. Energy Sci. Eng. 2019, 7, 1632–1648. [Google Scholar] [CrossRef]
- Zhao, D.; Liu, J.; Pan, J.T. Study on gas seepage from coal seams in the distance between boreholes for gas extraction. J. Loss Prev. Process Ind. 2018, 54, 266–272. [Google Scholar] [CrossRef]








| Parameter | Numerical Value | Parameter | Numerical Value |
|---|---|---|---|
| elastic modulus of coal matrix | 8210 [MPa] | Langmuir volumetric strain constant | 0.0021 |
| elastic modulus of coal | 2783 [MPa] | Langmuir pressure constant | 1.25 [MPa] |
| Poisson’s ratio of coal | 0.35 | coal moisture | 0.017 |
| initial permeability | 0.05 [mD] | coal ash yield | 0.136 |
| Initial matrix porosity | 0.06 | coal density | 1490 [] |
| Initial crack rate | 0.013 | gas diffusion coefficient | |
| Initial gas pressure of coal | 1.01 [MPa] | gas dynamic viscosity coefficient | |
| maximum gas adsorption capacity per unit mass of coal | 22.5 [] | Klinkenberg coefficient | |
| adsorption constants | 0.8 [] | geothermal temperature | 303.15 [K] |
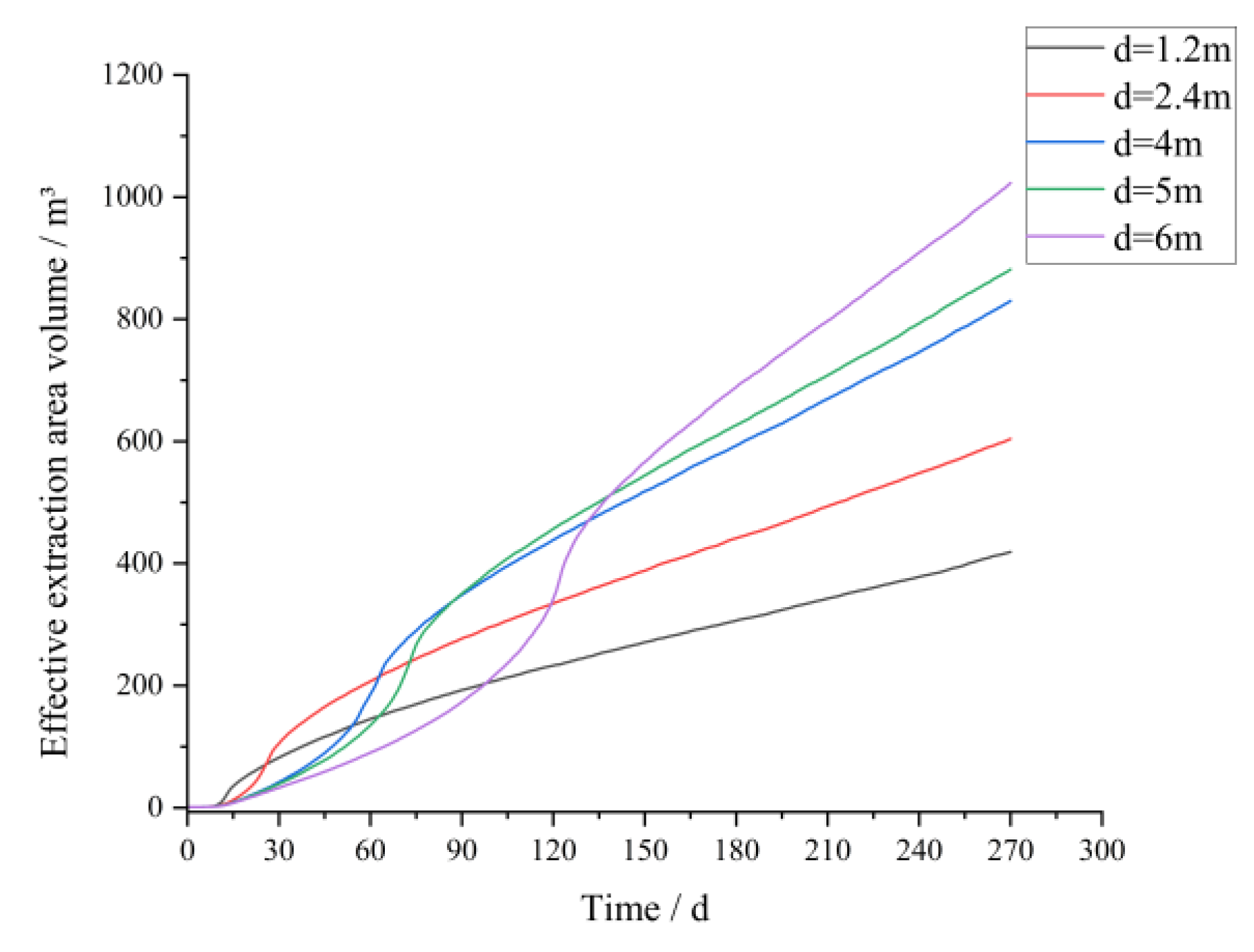
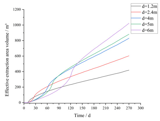
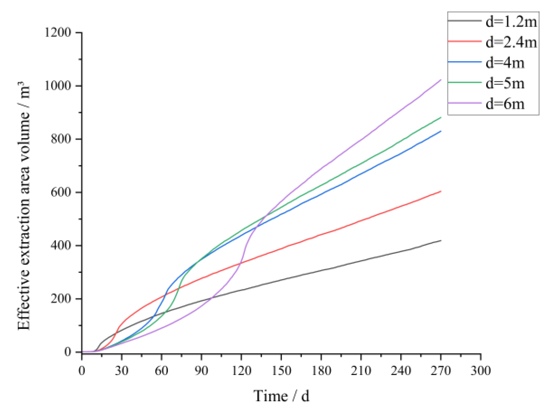
| Drainage Time | Effective Extraction Area Volume Size | Drainage Time | Effective Extraction Area Volume Size |
|---|---|---|---|
| 0 d–25 d | Vd=1.5m > Vd=2.6m > Vd=4m > Vd=5m > Vd=6m | 85 d–100 d | Vd=5m > Vd=4m > Vd=2.6m > Vd=1.5m > Vd=6m |
| 25 d–50 d | Vd=2.6m > Vd=1.5m > Vd=4m > Vd=5m > Vd=6m | 100 d–115 d | Vd=5m > Vd=4m > Vd=2.6m > Vd=6m > Vd=1.5m |
| 50 d–60 d | Vd=2.6m > Vd=4m > Vd=1.5m > Vd=5m > Vd=6m | 115 d–130 d | Vd=5m > Vd=4m > Vd=6m > Vd=2.6m > Vd=1.5m |
| 60 d–63 d | Vd=4m > Vd=2.6m > Vd=1.5m > Vd=5m > Vd=6m | 130 d–135 d | Vd=5m > Vd=6m > Vd=4m > Vd=2.6m > Vd=1.5m |
| 63 d–70 d | Vd=4m > Vd=2.6m > Vd=5m > Vd=1.5m > Vd=6m | After 135 d | Vd=6m > Vd=5m > Vd=4m > Vd=2.6m > Vd=1.5m |
| 70 d–85 d | Vd=4m > Vd=5m > Vd=2.6m > Vd=1.5m > Vd=6m |
Disclaimer/Publisher’s Note: The statements, opinions and data contained in all publications are solely those of the individual author(s) and contributor(s) and not of MDPI and/or the editor(s). MDPI and/or the editor(s) disclaim responsibility for any injury to people or property resulting from any ideas, methods, instructions or products referred to in the content. |
© 2023 by the authors. Licensee MDPI, Basel, Switzerland. This article is an open access article distributed under the terms and conditions of the Creative Commons Attribution (CC BY) license (https://creativecommons.org/licenses/by/4.0/).
Share and Cite
Du, F.; Cui, W.; Wang, K. Study on Gas Migration Mechanism and Multi-Borehole Spacing Optimization in Coal under Negative Pressure Extraction. Processes 2023, 11, 259. https://doi.org/10.3390/pr11010259
Du F, Cui W, Wang K. Study on Gas Migration Mechanism and Multi-Borehole Spacing Optimization in Coal under Negative Pressure Extraction. Processes. 2023; 11(1):259. https://doi.org/10.3390/pr11010259
Chicago/Turabian StyleDu, Feng, Weilong Cui, and Kai Wang. 2023. "Study on Gas Migration Mechanism and Multi-Borehole Spacing Optimization in Coal under Negative Pressure Extraction" Processes 11, no. 1: 259. https://doi.org/10.3390/pr11010259
APA StyleDu, F., Cui, W., & Wang, K. (2023). Study on Gas Migration Mechanism and Multi-Borehole Spacing Optimization in Coal under Negative Pressure Extraction. Processes, 11(1), 259. https://doi.org/10.3390/pr11010259
