Estimation Parameters of Soil Solute Transport Processes by Using the Electric Resistivity Method
Abstract
:1. Instruction
2. Experimental Theory and Methods
2.1. Device Design and Experimental Scheme
2.2. High-Density Electric Resistivity Tomography Method
2.3. MIM Parameters Determination Using BTCs
3. Results
3.1. Establishment of R-cl− Relationship
3.2. The Determination of the BTCs
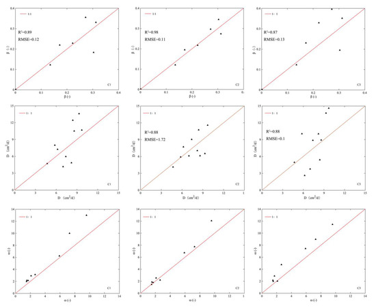
3.3. Parameter Characteristic Analysis of Breakthrough Curve
4. Discussion
5. Conclusions
Author Contributions
Funding
Acknowledgments
Conflicts of Interest
References
- Hyman, J.D. Flow channeling in fracture networks: Characterizing the effect of density on preferential flow path formation. Water Resour. Res. 2020, 56, e2020WR027986. [Google Scholar] [CrossRef]
- Jačka, L.; Walmsley, A.; Kovář, M.; Frouz, J. Effects of different tree species on infiltration and preferential flow in soils developing at a clayey spoil heap. Geoderma 2021, 403, 115372. [Google Scholar] [CrossRef]
- Nimmo, J.R. The processes of preferential flow in the unsaturated zone. Soil Sci. Soc. Am. J. 2021, 85, 1–27. [Google Scholar] [CrossRef]
- Mencaroni, M.; Morari, F.; Ferro, N.D. Shallow water table affects solute transport parameters in silty-loam soils. Geophys. Res. Abstr. 2019, 21, 1. [Google Scholar]
- Wang, X.; Li, Y.; Si, B.; Ren, X.; Chen, J. Simulation of Water Movement in Layered Water-Repellent Soils using HYDRUS-1D. Soil Sci. Soc. Am. J. 2018, 82, 1101–1112. [Google Scholar] [CrossRef]
- Cheng, Y.; Ying, Y.; Japip, S.; Jiang, S.-D.; Chung, T.-S.; Zhang, S.; Zhao, D. Advanced porous materials in mixed matrix membranes. Adv. Mater. 2018, 30, 1802401. [Google Scholar] [CrossRef]
- Dollinger, J.; Lin, C.-H.; Udawatta, R.P.; Pot, V.; Benoit, P.; Jose, S. Influence of agroforestry plant species on the infiltration of S-Metolachlor in buffer soils. J. Contam. Hydrol. 2019, 225, 103498. [Google Scholar] [CrossRef]
- Brusseau, M.L.; Rao, P.S.C.; Bellin, C.A. Modeling coupled processes in porous media: Sorption, transformation, and transport of organic solutes. In Interacting Processes in Soil Science; CRC Press: Boca Raton, FL, USA, 2020; pp. 147–184. [Google Scholar]
- Pouran, B.; Arbabi, V.; Bajpayee, A.G.; van Tiel, J.; Töyräs, J.; Jurvelin, J.S.; Malda, J.; Zadpoor, A.A.; Weinans, H. Multi-scale imaging techniques to investigate solute transport across articular cartilage. J. Biomech. 2018, 78, 10–20. [Google Scholar] [CrossRef] [Green Version]
- Wang, M.; Liu, H.; Zak, D.; Lennartz, B. Effect of anisotropy on solute transport in degraded fen peat soils. Hydrol. Processes 2020, 34, 2128–2138. [Google Scholar] [CrossRef] [Green Version]
- Zhuang, L.; Raoof, A.; Mahmoodlu, M.G.; Biekart, S.; de Witte, R.; Badi, L.; van Genuchten, M.T.; Lin, K. Unsaturated flow effects on solute transport in porous media. J. Hydrol. 2021, 598, 126301. [Google Scholar] [CrossRef]
- Biggar, J.W.; Nielsen, D.R. Miscible displacement: V. Exchange processes. Soil Sci. Soc. Am. J. 1963, 27, 623–627. [Google Scholar] [CrossRef]
- Nielsen, D.R.; Biggar, J.W. Miscible displacement: IV. Mixing in glass beads. Soil Sci. Soc. Am. J. 1963, 27, 10–13. [Google Scholar] [CrossRef]
- Nielsen, D.R.; Biggar, J.W. Miscible displacement: III. Theoretical considerations. Soil Sci. Soc. Am. J. 1962, 26, 216–221. [Google Scholar] [CrossRef]
- Biggar, J.W.; Nielsen, D.R. Miscible displacement: II. Behavior of tracers. Soil Sci. Soc. Am. J. 1962, 26, 125–128. [Google Scholar] [CrossRef]
- Nielsen, D.R.; Biggar, J.W. Miscible displacement in soils: I. Experimental information. Soil Sci. Soc. Am. J. 1961, 25, 1–5. [Google Scholar] [CrossRef]
- Gao, G.; Zhan, H.; Feng, S.; Fu, B.; Huang, G. A mobile–immobile model with an asymptotic scale-dependent dispersion function. J. Hydrol. 2012, 424, 172–183. [Google Scholar] [CrossRef]
- Gao, G.; Zhan, H.; Feng, S.; Fu, B.; Ma, Y.; Huang, G. A new mobile-immobile model for reactive solute transport with scale-dependent dispersion. Water Resour. Res. 2010, 46, W08533. [Google Scholar] [CrossRef]
- Masciopinto, C.; Passarella, G. Mass-transfer impact on solute mobility in porous media: A new mobile-immobile model. J. Contam. Hydrol. 2018, 215, 21–28. [Google Scholar] [CrossRef]
- de Franco, M.A.E.; de Carvalho, C.B.; Bonetto, M.M.; de Pelegrini Soares, R.; Féris, L.A. Diclofenac removal from water by adsorption using activated carbon in batch mode and fixed-bed column: Isotherms, thermodynamic study and breakthrough curves modeling. J. Clean. Prod. 2018, 181, 145–154. [Google Scholar] [CrossRef]
- Haggerty, R.; McKenna, S.A.; Meigs, L.C. On the late-time behavior of tracer test breakthrough curves. Water Resour. Res. 2000, 36, 3467–3479. [Google Scholar] [CrossRef] [Green Version]
- Poursaeidesfahani, A.; Andres-Garcia, E.; de Lange, M.; Torres-Knoop, A.; Rigutto, M.; Nair, N.; Kapteijn, F.; Gascon, J.; Dubbeldam, D.; Vlugt, T.J. Prediction of adsorption isotherms from breakthrough curves. Microporous Mesoporous Mater. 2019, 277, 237–244. [Google Scholar] [CrossRef]
- Talat, M.; Mohan, S.; Dixit, V.; Singh, D.K.; Hasan, S.H.; Srivastava, O.N. Effective removal of fluoride from water by coconut husk activated carbon in fixed bed column: Experimental and breakthrough curves analysis. Groundw. Sustain. Dev. 2018, 7, 48–55. [Google Scholar] [CrossRef]
- Galetti, E.; Curtis, A. Transdimensional electrical resistivity tomography. J. Geophys. Res. Solid Earth 2018, 123, 6347–6377. [Google Scholar] [CrossRef]
- Simyrdanis, K.; Papadopoulos, N.; Soupios, P.; Kirkou, S.; Tsourlos, P. Characterization and monitoring of subsurface contamination from Olive Oil Mills’ waste waters using Electrical Resistivity Tomography. Sci. Total Environ. 2018, 637, 991–1003. [Google Scholar] [CrossRef]
- Zhao, K.; Xu, Q.; Liu, F.; Xiu, D.; Ren, X. Field monitoring of preferential infiltration in loess using time-lapse electrical resistivity tomography. J. Hydrol. 2020, 591, 125278. [Google Scholar] [CrossRef]
- Brindt, N.; Rahav, M.; Wallach, R. ERT and salinity—A method to determine whether ERT-detected preferential pathways in brackish water-irrigated soils are water-induced or an artifact of salinity. J. Hydrol. 2019, 574, 35–45. [Google Scholar] [CrossRef]
- Dumont, G.; Pilawski, T.; Hermans, T.; Nguyen, F.; Garré, S. The effect of initial water distribution and spatial resolution on the interpretation of ERT monitoring of water infiltration in a landfill cover. Hydrol. Earth Syst. Sci. Discuss. 2018, 1–26. [Google Scholar] [CrossRef]
- Pleasants, M.S.; dos Neves, A.F.; Parsekian, A.D.; Befus, K.M.; Kelleners, T.J. Hydrogeophysical Inversion of Time-Lapse ERT Data to Determine Hillslope Subsurface Hydraulic Properties. Water Resour. Res. 2022, 58, e2021WR031073. [Google Scholar] [CrossRef]
- Ou, J.; Zhang, X.; You, J. River 3D visualization and analyzing technique using DEM. In Proceedings of the 2009 International Conference on Information Engineering and Computer Science, Wuhan, China, 19–20 December 2009; IEEE: Piscataway, NJ, USA, 2009; pp. 1–4. [Google Scholar]
- Lu, D.; Wang, H.; Geng, N.; Xia, Y.; Xu, C.; Hua, E. Imaging and characterization of the preferential flow process in agricultural land by using electrical resistivity tomography and dual-porosity model. Ecol. Indic. 2022, 134, 108498. [Google Scholar] [CrossRef]
- Lu, D.; Wang, H.; Huang, D.; Li, D.; Sun, Y. Measurement and Estimation of Water Retention Curves Using Electrical Resistivity Data in Porous Media. J. Hydrol. Eng. 2020, 25, 04020021. [Google Scholar] [CrossRef]
- Lu, D.-B.; Zhou, Q.-Y.; Junejo, S.A.; Xiao, A.-L. A systematic study of topography effect of ERT based on 3-D modeling and inversion. Pure Appl. Geophys. 2015, 172, 1531–1546. [Google Scholar] [CrossRef]
- Ma, L.; Selim, H.M. Transport of a nonreactive solute in soils: A two-flow domain approach. Soil Sci. 1995, 159, 224–234. [Google Scholar] [CrossRef]
- Yazdi, M.F.; Kamel, S.R.; Chabok, S.J.M.; Kheirabadi, M. Flight delay prediction based on deep learning and Levenberg-Marquart algorithm. J. Big Data 2020, 7, 1–28. [Google Scholar] [CrossRef]
- Tang, G.; Mayes, M.A.; Parker, J.C.; Jardine, P.M. CXTFIT/Excel—A modular adaptable code for parameter estimation, sensitivity analysis and uncertainty analysis for laboratory or field tracer experiments. Comput. Geosci. 2010, 36, 1200–1209. [Google Scholar] [CrossRef]
- Dreiss, S.J. Regional scale transport in a karst aquifer: 2. Linear systems and time moment analysis. Water Resour. Res. 1989, 25, 126–134. [Google Scholar] [CrossRef] [Green Version]
- Wehrer, M.; Slater, L.D. Characterization of water content dynamics and tracer breakthrough by 3-D electrical resistivity tomography (ERT) under transient unsaturated conditions. Water Resour. Res. 2015, 51, 97–124. [Google Scholar] [CrossRef]
- Binley, A.; Cassiani, G.; Middleton, R.; Winship, P. Vadose zone flow model parameterisation using cross-borehole radar and resistivity imaging. J. Hydrol. 2002, 267, 147–159. [Google Scholar] [CrossRef]
- Koestel, J.; Vanderborght, J.; Javaux, M.; Kemna, A.; Binley, A.; Vereecken, H. Noninvasive 3-D transport characterization in a sandy soil using ERT: 2. Transport process inference. Vadose Zone J. 2009, 8, 723–734. [Google Scholar] [CrossRef]
- Gomez, H.; Cueto-Felgueroso, L.; Juanes, R. Three-Dimensional Simulation of Unstable Gravity-Driven Infiltration of Water into a Porous Medium. J. Comput. Phys. 2013, 238, 217–239. [Google Scholar] [CrossRef] [Green Version]
- Sheng, F.; Wen, D.; Xiong, Y.W.; Wang, K. In-Situ Monitoring of Preferential Soil Water Flow with Electrical Resistivity Tomog-raphy Technology. Trans. Chin. Soc. Agric. Eng. 2021, 37, 117–124. [Google Scholar]
- Bravo, D.; Benavides-Erazo, J. The use of a two-dimensional electrical resistivity tomography (2D-ERT) as a technique for cadmium determination in Cacao crop soils. Appl. Sci. 2020, 10, 4149. [Google Scholar] [CrossRef]
- Mansoor, N.; Slater, L. On the relationship between iron concentration and induced polarization in marsh soils. Geophysics 2007, 72, A1–A5. [Google Scholar] [CrossRef]
- Slater, L.D.; Choi, J.; Wu, Y. Electrical properties of iron-sand columns: Implications for induced polarization investigation and performance monitoring of iron-wall barriers. Geophysics 2005, 70, G87–G94. [Google Scholar] [CrossRef]








| Sites | Clay (%) | Silt (%) | Sand (%) |
|---|---|---|---|
| #1 | 40.21 | 43.19 | 16.6 |
| #2 | 28.51 | 50.72 | 20.77 |
| #3 | 38.47 | 47.64 | 13.89 |
| #4 | 47.25 | 39.85 | 12.9 |
| Method | Result | R2 | Nash Coefficient |
|---|---|---|---|
| Power function | 0.9353 | 0.95 | |
| Exponential function | 0.7679 | 0.82 |
| Sites | S | |||
|---|---|---|---|---|
| #1 | ERT | 2.52 | 1.37 | 1.18 |
| Traditional way | 2.27 | 1.53 | 1.21 | |
| #2 | ERT | 1.88 | 2.97 | 1.86 |
| Traditional way | 1.96 | 2.54 | 1.97 | |
| #3 | ERT | 2.98 | 1.32 | 1.25 |
| Traditional way | 3.62 | 1.17 | 1.13 | |
| #4 | ERT | 1.51 | 3.83 | 1.67 |
| Traditional way | 1.43 | 3.25 | 1.72 | |
Publisher’s Note: MDPI stays neutral with regard to jurisdictional claims in published maps and institutional affiliations. |
© 2022 by the authors. Licensee MDPI, Basel, Switzerland. This article is an open access article distributed under the terms and conditions of the Creative Commons Attribution (CC BY) license (https://creativecommons.org/licenses/by/4.0/).
Share and Cite
Lu, D.; Xia, Y.; Geng, N.; Wang, H.; Qian, J.; Xu, C. Estimation Parameters of Soil Solute Transport Processes by Using the Electric Resistivity Method. Processes 2022, 10, 975. https://doi.org/10.3390/pr10050975
Lu D, Xia Y, Geng N, Wang H, Qian J, Xu C. Estimation Parameters of Soil Solute Transport Processes by Using the Electric Resistivity Method. Processes. 2022; 10(5):975. https://doi.org/10.3390/pr10050975
Chicago/Turabian StyleLu, Debao, Yinfeng Xia, Nan Geng, Hui Wang, Jinlin Qian, and Cundong Xu. 2022. "Estimation Parameters of Soil Solute Transport Processes by Using the Electric Resistivity Method" Processes 10, no. 5: 975. https://doi.org/10.3390/pr10050975
APA StyleLu, D., Xia, Y., Geng, N., Wang, H., Qian, J., & Xu, C. (2022). Estimation Parameters of Soil Solute Transport Processes by Using the Electric Resistivity Method. Processes, 10(5), 975. https://doi.org/10.3390/pr10050975

