Effects of Wheat Bran Micronization on the Quality of Reconstituted Whole-Wheat Flour and Its Cooked Noodles
Abstract
:1. Introduction
2. Materials and Methods
2.1. Materials
2.2. Preparation of Wheat Bran and Whole-Wheat Flour
2.3. Particle Size Distribution of Wheat Bran
2.4. Quality of Whole-Wheat Flour
2.4.1. Starch Composition
2.4.2. Quality of Gluten
2.4.3. Solvent Retention Capacity
2.4.4. Water Absorption
2.4.5. Pasting Properties
2.5. Preparation of Whole-Wheat Noodles
2.6. Quality of Whole-Wheat Noodles
2.6.1. Cooking Properties
2.6.2. Textural Properties
2.6.3. Sensory Evaluation
2.7. Statistical Analysis
3. Results
3.1. Particle Size Distribution of Wheat Bran
3.2. Quality of Whole-Wheat Flour
3.2.1. Starch Composition of Whole-Wheat Flour
3.2.2. Gluten Quality of Whole-Wheat Flour
3.2.3. Solvent Retention Capacity of Whole-Wheat Flour
3.2.4. Water Absorption of Whole-Wheat Flour
3.2.5. Pasting Properties of Whole-Wheat Flour
3.3. Quality of Whole-Wheat Noodles
3.3.1. Cooking Properties of Whole-Wheat Noodles
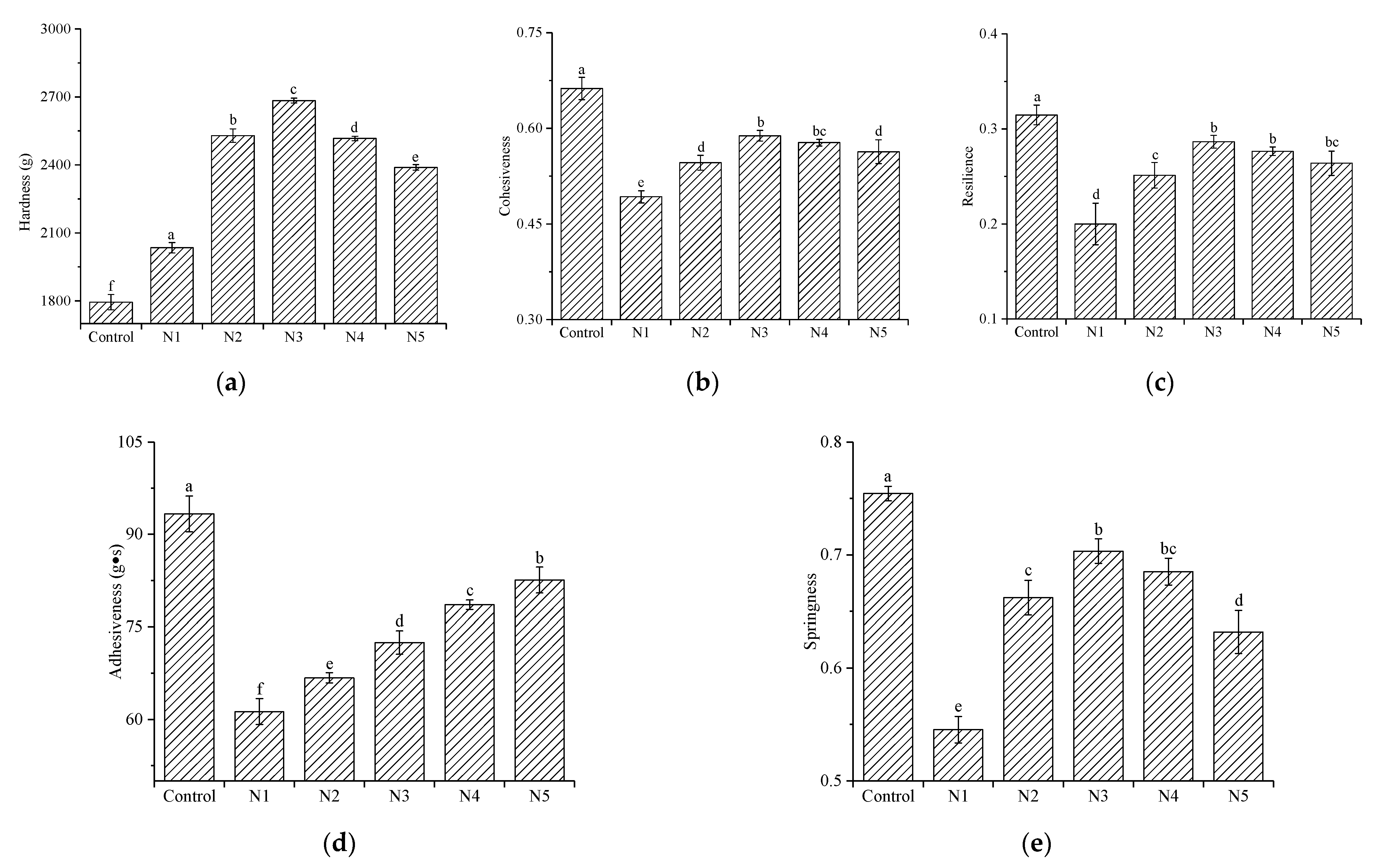
3.3.2. Textural Properties of Cooked Whole-Wheat Noodles
3.3.3. Sensory Evaluation of Cooked Whole-Wheat Noodles
3.4. Correlation Analysis of Quality between the Wheat Flour and Its Cooked Noodles
4. Conclusions
Supplementary Materials
Author Contributions
Funding
Institutional Review Board Statement
Informed Consent Statement
Data Availability Statement
Acknowledgments
Conflicts of Interest
References
- Yang, B.; Yin, Y.; Liu, C.; Zhao, Z.; Guo, M. Effect of germination time on the compositional, functional and antioxidant properties of whole wheat malt and its end-use evaluation in cookie-making. Food Chem. 2021, 349, 129125. [Google Scholar] [CrossRef] [PubMed]
- Zhang, X.; Li, J.; Zhao, J.; Mu, M.; Jia, F.; Wang, J.; Liang, Y.; Wang, J. Aggregative and structural properties of wheat gluten induced by pectin. J. Cereal Sci. 2021, 100, 103247. [Google Scholar] [CrossRef]
- Ma, S.; Wang, Z.; Guo, X.; Wang, F.; Wang, X. Sourdough improves the quality of whole-wheat flour products: Mechanisms and challenges—A review. Food Chem. 2021, 360, 130038. [Google Scholar] [CrossRef]
- Delannoy-Bruno, O.; Desai, C.; Raman, A.S.; Chen, R.Y.; Gordon, J.I. Evaluating microbiome-directed fibre snacks in gnotobiotic mice and humans. Nature 2021, 595, 91–94. [Google Scholar] [CrossRef] [PubMed]
- Zhao, L.; Zhang, F.; Ding, X.; Wu, G.; Lam, Y.; Wang, X. Gut bacteria selectively promoted by dietary fibers alleviate type 2 diabetes. Science 2018, 359, 1151–1156. [Google Scholar] [CrossRef] [Green Version]
- Heiniö, R.L.; Noort, M.W.J.; Katina, K.; Alam, S.A.; Sozer, N.; de Kock, H.L.; Poutanen, K. Sensory characteristics of wholegrain and bran-rich cereal foods—A review. Trends Food Sci. Tech. 2016, 47, 25–38. [Google Scholar] [CrossRef] [Green Version]
- Alzuwaid, N.; Fellows, C.; Laddomada, B.; Sissons, M. Impact of wheat bran particle size on the technological and phytochemical properties of durum wheat pasta. J. Cereal Sci. 2020, 95, 103033. [Google Scholar] [CrossRef]
- Protonotariou, S.; Stergiou, P.; Christaki, M.; Mandala, I.G. Physical properties and sensory evaluation of bread containing micronized whole wheat flour. Food Chem. 2021, 318, 126497. [Google Scholar] [CrossRef]
- Lin, S.; Gao, J.; Jin, X.; Wang, Y.; Zhou, W. Whole-wheat flour particle size influences dough properties, bread structure and in vitro starch digestibility. Food Funct. 2020, 11, 3610–3620. [Google Scholar] [CrossRef]
- Lin, S.; Jin, X.; Gao, J.; Qiu, Z.; Zhou, W. Impact of wheat bran micronization on dough properties and bread quality: Part I—Bran functionality and dough properties. Food Chem. 2021, 353, 129407. [Google Scholar] [CrossRef]
- Xiong, L.; Zhang, B.; Meng, N.; Zhao, S. Protein polymerization and water mobility in whole-wheat dough influenced by bran particle size distribution. LWT—Food Sci. Technol. 2017, 82, 396–403. [Google Scholar] [CrossRef]
- Niu, M.; Hou, G.; Lee, B.; Chen, Z. Effects of fine grinding of millfeeds on the quality attributes of reconstituted whole-wheat flour and its raw noodle products. LWT—Food Sci. Technol. 2014, 57, 58–64. [Google Scholar] [CrossRef]
- Han, C.W.; Ma, M.; Zhang, H.H.; Li, M.; Sun, Q.J. Progressive study of the effect of superfine green tea, soluble tea, and tea polyphenols on the physicochemical and structural properties of wheat gluten in noodle system. Food Chem. 2020, 308, 125676. [Google Scholar] [CrossRef]
- Sima, E.; Park, E.; Ma, F.; Baikd, B.; Fonsecab, J.M. Sensory and physicochemical properties of whole wheat salted noodles under different preparations of bran. J. Cereal Sci. 2020, 96, 103112. [Google Scholar] [CrossRef]
- Jönsson, T.; Memon, A.A.; Sundquist, K.; Sundquist, J.; Olsson, S.; Nalla, A.; Bauer, M.; Linse, S. Digested wheat gluten inhibits binding between leptin and its receptor. BMC Biochem. 2015, 16, 3. [Google Scholar] [CrossRef] [PubMed] [Green Version]
- Drakos, A.; Kyriakakis, G.; Evageliou, V.; Protonotariou, S.; Mandala, I.; Ritzoulis, C. Influence of jet milling and particle size on the composition, physicochemical and mechanical properties of barley and rye flours. Food Chem. 2017, 215, 326–332. [Google Scholar] [CrossRef]
- Pu, H.; Wei, J.; Wang, L.; Huang, J.; Chen, X.; Luo, C.; Liu, S.; Zhang, H. Effects of potato/wheat flours ratio on mixing properties of dough and quality of noodles. J. Cereal Sci. 2017, 76, 236–242. [Google Scholar] [CrossRef]
- Li, S.; Tang, D.; Liu, S.; Qin, S.; Chen, Y. Improvement of noodle quality: The effect of ultrasonic on noodles resting. J. Cereal Sci. 2020, 96, 103089. [Google Scholar] [CrossRef]
- Zhang, L.L.; Guan, E.Q.; Yang, Y.L.; Liu, Y.X.; Bian, K. Impact of wheat globulin addition on dough rheological properties and quality of cooked noodles. Food Chem. 2021, 362, 130170. [Google Scholar] [CrossRef]
- Cappelli, A.; Guerrini, L.; Parenti, A.; Palladino, G.; Cini, E. Effects of wheat tempering and stone rotational speed on particle size, dough rheology and bread characteristics for a stone-milled weak flour. J. Cereal Sci. 2020, 91, 102879. [Google Scholar] [CrossRef]
- Bala, M.; Handa, S.; Mridula, D.; Singh, R.K. Physicochemical, functional and rheological properties of grass pea (lathyrus sativus l.) flour as influenced by particle size. Heliyon 2020, 6, e05471. [Google Scholar] [CrossRef] [PubMed]
- Kim, M.; Oh, I.; Jeong, S.; Lee, S. Particle size effect of rice flour in a rice-zein noodle system for gluten-free noodles slit from sheeted doughs. J. Cereal Sci. 2019, 86, 48–53. [Google Scholar] [CrossRef]
- Liu, C.; Liu, L.; Li, L.; Hao, C.; Zheng, X.; Bian, K.; Zhang, J.; Wang, X. Effects of different milling processes on whole wheat flour quality and performance in steamed bread making. LWT—Food Sci. Technol. 2015, 62, 310–318. [Google Scholar] [CrossRef]
- Gu, Y.; Qian, X.; Sun, B.; Ma, S.; Tian, X.; Wang, X. Nutritional composition and physicochemical properties of oat flour sieving fractions with different particle size. LWT—Food Sci. Technol. 2021, 154, 112757. [Google Scholar] [CrossRef]
- Gulia, N.; Khatkar, B.S. Quantitative and qualitative assessment of wheat gluten proteins and their contribution to instant noodle quality. Int. J. Food Prop. 2015, 18, 1648–1663. [Google Scholar] [CrossRef]
- Chen, S.; Ni, Z.; Thakur, K.; Wang, S.; Zhang, J.; Shang, Y.; Wei, Z. Effect of grape seed power on the structural and physicochemical properties of wheat gluten in noodle preparation system. Food Chem. 2021, 355, 129500. [Google Scholar] [CrossRef]
- Kweon, M.; Slade, L.; Levine, H. Solvent retention capacity (src) testing of wheat flour: Principles and value in predicting flour functionality in different wheat-based food processes and in wheat breeding—A review. Cereal Chem. 2011, 88, 537–552. [Google Scholar] [CrossRef]
- Han, W.; Ma, S.; Li, L.; Zheng, X.; Wang, X. Gluten aggregation behavior in gluten and gluten-starch doughs after wheat bran dietary fiber addition. LWT—Food Sci. Technol. 2019, 106, 1–6. [Google Scholar] [CrossRef]
- Craeyveld, V.V.; Holopainen, U.; Selinheimo, E.; Poutanen, K.; Delcour, J.A.; Courtin, C.M. Extensive dry ball milling of wheat and rye bran leads to in situ production of arabinoxylan oligosaccharides through nanoscale fragmentation. J. Agric. Food Chem. 2009, 57, 8467–8473. [Google Scholar] [CrossRef]
- Sudha, M.L.; Vetrimani, R.; Leelavathi, K. Influence of fibre from different cereals on the rheological characteristics of wheat flour dough and on biscuit quality. Food Chem. 2007, 100, 1365–1370. [Google Scholar] [CrossRef]
- Crosbie, G.B.; Ross, A.S. Noodles: Asian wheat flour noodles. Encycl. Grain Sci. 2004, 3, 304–312. [Google Scholar]
- Dufour, D.; Gibert, O.; Giraldo, A.; Sanchez, T.; Reynes, M.; Pain, J.P.; González, A.; Fernández, A.; Díaz, A. Differentiation between cooking bananas and dessert bananas. 2. thermal and functional characterization of cultivated colombian musaceae (Musa sp.). J. Agric. Food chem. 2009, 57, 7870–7876. [Google Scholar] [CrossRef]
- Zaidul, I.; Yamauchi, H.; Kim, S.J.; Hashimoto, N.; Noda, T. RVA study of mixtures of wheat flour and potato starches with different phosphorus contents. Food Chem. 2007, 102, 1105–1111. [Google Scholar] [CrossRef]
- Schirmer, M.; Jekle, M.; Becker, T. Starch gelatinization and its complexity for analysis. Starch—Starke 2015, 67, 30–41. [Google Scholar] [CrossRef]
- Abedi, E.; Pourmohammadi, K. Chemical modifications and their effects on gluten protein: An extensive review. Food Chem. 2020, 343, 128398. [Google Scholar] [CrossRef] [PubMed]
- Niu, M.; Zhang, B.; Jia, C.; Zhao, S. Multi-scale structures and pasting characteristics of starch in whole-wheat flour treated by superfine grinding. Int. J. Biol. Macromol. 2017, 104, 837–845. [Google Scholar] [CrossRef] [PubMed]
- Li, M.; Ma, M.; Zhu, K.X.; Guo, X.N.; Zhou, H.M. Delineating the physico-chemical, structural, and water characteristic changes during the deterioration of fresh noodles. Food Chem. 2017, 216, 374–381. [Google Scholar] [CrossRef] [PubMed]
- Majzoobi, M.; Ostovan, R.; Farahnaky, A. Effects of gluten powder on the quality of wheat flour spaghetti cooked in distilled or salted water. J. Texture Stud. 2011, 42, 468–477. [Google Scholar] [CrossRef]
- Park, C.S.; Baik, B.K. Cooking time of white salted noodles and its relationship with protein and amylose contents of wheat. Cereal Chem. 2004, 81, 165–171. [Google Scholar] [CrossRef]
- Yang, K.; Kee, J.I.; Lee, S.; Yoo, S.H. Quality improvement of rice noodle restructured with rice protein isolate and transglutaminase. Food Chem. 2014, 145, 409–416. [Google Scholar]
- Guan, E.; Pang, J.; Yang, Y.; Zhang, T.; Li, M.; Bian, K. Effects of wheat flour particle size on physicochemical properties and quality of noodles. J. Food Sci. 2020, 85, 4209–4214. [Google Scholar] [CrossRef] [PubMed]
- Jin, X.; Lin, S.; Gao, J.; Wang, Y.; Zhou, W. How manipulation of wheat bran by superfine-grinding affects a wide spectrum of dough rheological properties. J. Cereal Sci. 2020, 96, 103081. [Google Scholar] [CrossRef]
- Özboy, Ö.; Köksel, H. Unexpected strengthening effects of a coarse wheat bran on dough rheological properties and baking quality. J. Cereal Sci. 1997, 25, 77–82. [Google Scholar] [CrossRef]
- Xu, J.; Wang, W.; Li, Y. Dough properties, bread quality, and associated interactions with added phenolic compounds: A review. J. Funct. Foods 2019, 52, 629–639. [Google Scholar] [CrossRef]
- Kihlberg, I.; Johansson, L.; Kohler, A.; Risvik, E. Sensory qualities of whole wheat pan bread—Influence of farming system, milling and baking technique. J. Cereal Sci. 2004, 39, 67–84. [Google Scholar] [CrossRef]
- Chen, J.S.; Fei, M.J.; Shi, C.L.; Tian, J.C.; Sun, C.L.; Zhang, H.; Ma, Z.; Dong, H.X. Effect of particle size and addition level of wheat bran on quality of dry white Chinese noodles. J. Cereal Sci. 2011, 53, 217–224. [Google Scholar] [CrossRef]
- Zhang, M.; Jia, R.; Yang, T.; Sun, Q.; Li, M. Delineating the dynamic transformation of gluten morphological distribution, structure, and aggregation behavior in noodle dough induced by mixing and resting. Food Chem. 2022, 386, 132853. [Google Scholar] [CrossRef]





| Sample | Starch Composition | Gluten Quality | |||||
|---|---|---|---|---|---|---|---|
| Total Starch Content (%) | Amylose Content (%) | Damage Starch Content (%) | Wet Gluten Content (%) | Dry Gluten Content (%) | Gluten Index (%) | SDS-Sedimentation Volume (mL) | |
| Control | 55.23 ± 0.20 a | 31.32 ± 0.11 a | 2.04 ± 0.15 e | 37.81 ± 0.24 a | 12.59 ± 0.10 a | 45.74 ± 0.37 a | 37.79 ± 0.45 a |
| F1 | 47.32 ± 0.21 c | 24.66 ± 0.10 c | 1.67 ± 0.12 f | 33.67 ± 0.23 e | 9.31 ± 0.17 d | 30.50 ± 0.35 f | 27.14 ± 0.35 f |
| F2 | 47.46 ± 0.15 bc | 25.96 ± 0.14 b | 2.68 ± 0.13 d | 35.36 ± 0.17 d | 11.83 ± 0.11 c | 33.40 ± 0.23 d | 29.14 ± 0.39 e |
| F3 | 47.68 ± 0.13 b | 25.82 ± 0.12 b | 3.06 ± 0.10 c | 36.66 ± 0.19 c | 12.22 ± 0.19 b | 37.29 ± 0.33 b | 34.46 ± 0.44 b |
| F4 | 47.69 ± 0.17 b | 25.81 ± 0.14 b | 3.36 ± 0.14 b | 37.19 ± 0.16 b | 12.49 ± 0.12 a | 35.11 ± 0.21 c | 32.21 ± 0.37 c |
| F5 | 47.78 ± 0.20 b | 25.79 ± 0.15 b | 3.70 ± 0.11 a | 37.86 ± 0.12 a | 12.63 ± 0.10 a | 32.13 ± 0.36 e | 30.14 ± 0.37 d |
| Sample | Solvent Retention Capacity | Water Absorption (%) | ||
|---|---|---|---|---|
| LA SRC(%) | SC SRC (%) | Su SRC (%) | ||
| Control | 105.64 ± 1.42 a | 81.27 ± 2.42 e | 95.36 ± 2.42 f | 58.40 ± 0.47 e |
| F1 | 76.51 ± 2.84 d | 73.48 ± 2.37 f | 101.36 ± 2.00 e | 60.05 ± 0.46 d |
| F2 | 83.41 ± 2.41 c | 98.80 ± 3.12 d | 112.99 ± 3.05 d | 65.60 ± 0.45 c |
| F3 | 96.84 ± 2.33 b | 118.62 ± 3.87 c | 125.70 ± 2.09 c | 68.63 ± 0.44 b |
| F4 | 93.91 ± 2.29 b | 129.76 ± 2.03 b | 144.26 ± 3.45 b | 69.12 ± 0.42 b |
| F5 | 94.13 ± 1.08 b | 138.76 ± 1.00 a | 153.20 ± 2.30 a | 70.14 ± 0.38 a |
| Sample | Peak Viscosity (cP) | Minimum Viscosity (cP) | Final Viscosity (cP) | Pasting Temperature (°C) | Breakdown Value(cP) | Setback Value (cP) |
|---|---|---|---|---|---|---|
| Control | 2672.40 ± 37.73 a | 1553.71 ± 17.94 a | 2642.67 ± 30.07 a | 68.10 ± 0.45 e | 1118.70 ± 20.14 a | 1088.965 ± 13.56 a |
| F1 | 2103.67 ± 31.15 b | 1005.30 ± 26.71 b | 1845.32 ± 16.50 b | 78.70 ± 0.31 d | 1098.37 ± 7.53 a | 840.020 ± 16.88 b |
| F2 | 1959.64 ± 8.74 c | 978.45 ± 2.48 b | 1766.66 ± 16.56 c | 80.81 ± 0.60 c | 981.19 ± 6.26 b | 788.205 ± 14.37 c |
| F3 | 1624.26 ± 21.47 d | 940.22 ± 9.39 c | 1505.68 ± 31.44 d | 84.33 ± 0.65 b | 684.04 ± 13.48 c | 565.460 ± 22.05 d |
| F4 | 1440.68 ± 17.69 e | 918.88 ± 7.79 c | 1417.73 ± 22.31 e | 86.29 ± 0.38 a | 521.80 ± 13.15 d | 498.850 ± 14.87 e |
| F5 | 1328.17 ± 5.43 f | 861.06 ± 16.93 d | 1313.07 ± 3.02 f | 85.17 ± 0.38 b | 467.11 ± 11.60 e | 452.005 ± 14.09 f |
Publisher’s Note: MDPI stays neutral with regard to jurisdictional claims in published maps and institutional affiliations. |
© 2022 by the authors. Licensee MDPI, Basel, Switzerland. This article is an open access article distributed under the terms and conditions of the Creative Commons Attribution (CC BY) license (https://creativecommons.org/licenses/by/4.0/).
Share and Cite
Lai, S.; Liu, J.; Zhang, Y.; Wang, Y.; Li, G.; Cui, Q. Effects of Wheat Bran Micronization on the Quality of Reconstituted Whole-Wheat Flour and Its Cooked Noodles. Processes 2022, 10, 1001. https://doi.org/10.3390/pr10051001
Lai S, Liu J, Zhang Y, Wang Y, Li G, Cui Q. Effects of Wheat Bran Micronization on the Quality of Reconstituted Whole-Wheat Flour and Its Cooked Noodles. Processes. 2022; 10(5):1001. https://doi.org/10.3390/pr10051001
Chicago/Turabian StyleLai, Sitong, Jinlong Liu, Yanqing Zhang, Yuanmeng Wang, Guang Li, and Qingliang Cui. 2022. "Effects of Wheat Bran Micronization on the Quality of Reconstituted Whole-Wheat Flour and Its Cooked Noodles" Processes 10, no. 5: 1001. https://doi.org/10.3390/pr10051001
APA StyleLai, S., Liu, J., Zhang, Y., Wang, Y., Li, G., & Cui, Q. (2022). Effects of Wheat Bran Micronization on the Quality of Reconstituted Whole-Wheat Flour and Its Cooked Noodles. Processes, 10(5), 1001. https://doi.org/10.3390/pr10051001
