Study of Motor Competence in 4–5-Year-Old Preschool Children: Are There Differences among Public and Private Schools?
Abstract
1. Introduction
2. Materials and Methods
2.1. Study Design
2.2. Participants
2.3. Measurements
2.4. Procedures
2.5. Statistical Analysis
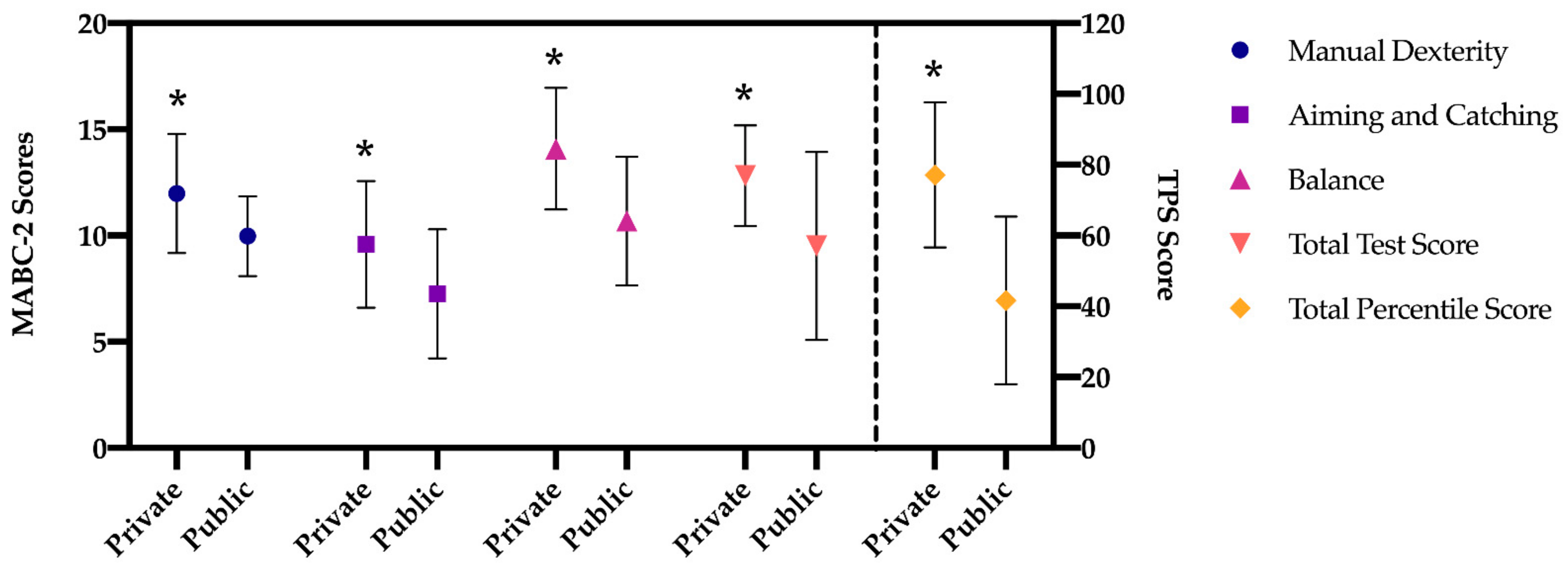
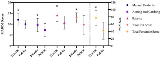
3. Results
3.1. Baseline Characteristics
3.2. Outcomes According to Type of School and Gender
4. Discussion
5. Conclusions
6. Practical Applications
Author Contributions
Funding
Institutional Review Board Statement
Informed Consent Statement
Data Availability Statement
Conflicts of Interest
References
- Malina, R.M. Top 10 Research Questions Related to Growth and Maturation of Relevance to Physical Activity, Performance, and Fitness. Res. Q. Exerc. Sport 2014, 85, 157–173. [Google Scholar] [CrossRef]
- Utesch, T.; Bardid, F. Motor competence. In Encyclopedia of Exercise Medicine in Health and Disease; Hackfort, D., Schinke, R., Strauss, B., Eds.; Elsevier: Amsterdam, The Netherlands, 2019; p. 595. ISBN 9780128131503. [Google Scholar]
- Goodway, J.; Ozmun, J.C.; Gallahue, D.L. Understanding Motor Development: Infants, Children, Adolescents, Adults, 8th ed.; Jones & Barlett Learning: Boston, MA, USA, 2019; ISBN 978-443-5000. [Google Scholar]
- Lubans, D.R.; Morgan, P.J.; Cliff, D.P.; Barnett, L.M.; Okely, A.D. Fundamental Movement Skills in Children and Adolescents. Sports Med. 2010, 40, 1019–1035. [Google Scholar] [CrossRef]
- Gallahue, D.L.; Ozmun, J.C.; Goodway, J. Understanding Motor Development: Infants, Children, Adolescents, Adults, 7th ed.; McGraw-Hill: New York, NY, USA, 2012; ISBN 9780073376509. [Google Scholar]
- Stodden, D.F.; Goodway, J.D.; Langendorfer, S.J.; Roberton, M.A.; Rudisill, M.E.; Garcia, C.; Garcia, L.E. A Developmental Perspective on the Role of Motor Skill Competence in Physical Activity: An Emergent Relationship. Quest 2008, 60, 290–306. [Google Scholar] [CrossRef]
- Bornstein, M.H.; Hendricks, C. Screening for developmental disabilities in developing countries. Soc. Sci. Med. 2013, 97, 307–315. [Google Scholar] [CrossRef] [PubMed]
- Clark, J.E.; Metcalfe, J.S. The mountain of motor development: A metaphor. In Motor development: Research and Reviews; Clark, J.E., Humphrey, J., Eds.; NASPE Publications: Reston, VA, USA, 2002; pp. 163–190. [Google Scholar]
- Gabbard, C.P. Lifelong Motor Development: Pearson New International Edition, 6th ed.; Pearson Higher Education: Philadelphia, PA, USA, 2013; ISBN 0321830253. [Google Scholar]
- Almond, L. Serious flaws in an FMS interpretation of physical literacy. Sci. Sports 2014, 29, S60. [Google Scholar] [CrossRef]
- Malina, R.M.; Bouchard, C.; Bar-Or, O. Growth, Maturation, and Physical Activity; Human Kinetics: Champaign, IL, USA, 2004; ISBN 0880118822. [Google Scholar]
- Flôres, F.S.; Rodrigues, L.P.; Copetti, F.; Lopes, F.; Cordovil, R. Affordances for Motor Skill Development in Home, School, and Sport Environments: A Narrative Review. Percept. Mot. Skills 2019, 126, 366–388. [Google Scholar] [CrossRef] [PubMed]
- Niemistö, D.; Finni, T.; Haapala, E.A.; Cantell, M.; Korhonen, E.; Sääkslahti, A. Environmental Correlates of Motor Competence in Children—The Skilled Kids Study. Int. J. Environ. Res. Public Health 2019, 16, 1989. [Google Scholar] [CrossRef] [PubMed]
- Venetsanou, F.; Kambas, A. Environmental Factors Affecting Preschoolers’ Motor Development. Early Child. Educ. J. 2010, 37, 319–327. [Google Scholar] [CrossRef]
- Roth, K.; Ruf, K.; Obinger, M.; Mauer, S.; Ahnert, J.; Schneider, W.; Graf, C.; Hebestreit, H. Is there a secular decline in motor skills in preschool children? Scand. J. Med. Sci. Sports 2010, 20, 670–678. [Google Scholar] [CrossRef]
- Amador-Ruiz, S.; Gutierrez, D.; Martínez-Vizcaíno, V.; Gulías-González, R.; Pardo-Guijarro, M.J.; Sánchez-López, M. Motor Competence Levels and Prevalence of Developmental Coordination Disorder in Spanish Children: The MOVI-KIDS Study. J. Sch. Health 2018, 88, 538–546. [Google Scholar] [CrossRef]
- Real Decreto 1630/2006, de 29 de diciembre, por el que se establecen las enseñanzas mínimas del segundo ciclo de Educación infantil. Boletín Estado 2007, 4, 474–482.
- da Rocha Queiroz, D.; dos Santos Henrique, R.; Feitoza, A.H.P.; de Medeiros, J.N.S.; de Souza, C.J.F.; Lima, T.d.J.S.; Cattuzzo, M.T. Competência motora de pré-escolares: Uma análise em crianças de escola pública e particular TT—Motor competence in preschool children’s: An analysis in private and public school children. Motricidade 2016, 12, 56–63. [Google Scholar] [CrossRef]
- Bronfenbrenner, U. Husen Ecological models of human development. In International Encyclopedia of Education; Elsevier: Amsterdam, The Netherlands, 1994; Volume 3, pp. 37–43. [Google Scholar]
- Henderson, S.E.; Sugden, D.A. Movement Assessment Battery for Children; The Psychological Corporation: Kent, UK, 1992. [Google Scholar]
- Newell, K.M. Constraints on the development of coordination. In Motor Development in Children: Aspects of Coordination and Control; Wade, M.G., Whiting, H.T., Eds.; Springer: Amsterdam, The Netherlands, 1986; pp. 341–361. [Google Scholar]
- Morgan, P.J.; Barnett, L.M.; Cliff, D.P.; Okely, A.D.; Scott, H.A.; Cohen, K.E.; Lubans, D.R. Fundamental Movement Skill Interventions in Youth: A Systematic Review and Meta-analysis. Pediatrics 2013, 132, 1361–1383. [Google Scholar] [CrossRef]
- Timmons, B.W.; Naylor, P.-J.; Pfeiffer, K.A. Physical activity for preschool children—How much and how? Can. J. Public Health 2007, 98, 122–134. [Google Scholar] [CrossRef]
- Chow, B.C.; Louie, L.H.T. Difference in Children’s Gross Motor Skills between Two Types of Preschools. Percept. Mot. Skills 2013, 116, 253–261. [Google Scholar] [CrossRef] [PubMed]
- Cotrim, J.R.; Lemos, A.G.; Néri Júnior, J.E.; Barela, J.A. Desenvolvimento de habilidades motoras fundamentais em crianças com diferentes contextos escolares. Rev. Educ. Física/UEM 2011, 22, 523–533. [Google Scholar] [CrossRef]
- Giagkazoglou, P.; Karagianni, O.; Sidiropoulou, M.; Salonikidis, K. Effects of the characteristics of two different preschool-type setting on children’s gross motor development. Eur. Psychomot. J. 2008, 1, 54–60. [Google Scholar]
- Ley Orgánica 8/2013, de 9 de diciembre, para la mejora de la calidad educativa. Boletín Estado 2013, 295, 97858–97921.
- Ley Orgánica 2/2006, de 3 de mayo de Educación. Boletín Estado 2006, 106, 17158–17207.
- Fernández Enguita, M. Escuela pública y privada en España: La segregación rampante. Rev. Soc. Educ. 2008, 1, 42–69. [Google Scholar]
- IGE. Instituto Galego de Estatística. Available online: http://www.ige.eu/igebdt/esqv.jsp?ruta=verTabla.jsp?OP=1&B=1&M=&COD=463&R=9912%5B12%5D;1%5B1%5D;0%5B2020%5D&C=2%5Ball%5D;3%5B0%5D&F=&S=&SCF (accessed on 10 April 2021).
- Freitas, C.; Vasconcelos, M.O.; Botelho, M. Handedness and developmental coordination disorder in Portuguese children: Study with the M-ABC test. Laterality 2014, 19, 655–676. [Google Scholar] [CrossRef]
- Jelovčan, G.; Zurc, J. Preschool children’s results in movement ABC test: Differences between girls and boys in movement deficit. Ann. Kinesiol. 2016, 7, 3–19. [Google Scholar]
- Navarro-Patón, R.; Arufe-Giráldez, V.; Sanmiguel-Rodríguez, A.; Mecías-Calvo, M. Differences on Motor Competence in 4-Year-Old Boys and Girls Regarding the Quarter of Birth: Is There a Relative Age Effect? Children 2021, 8, 141. [Google Scholar] [CrossRef]
- Navarro-Patón, R.; Lago-Ballesteros, J.; Arufe-Giráldez, V.; Sanmiguel-Rodríguez, A.; Lago-Fuentes, C.; Mecías-Calvo, M. Gender Differences on Motor Competence in 5-Year-Old Preschool Children Regarding Relative Age. Int. J. Environ. Res. Public Health 2021, 18, 3143. [Google Scholar] [CrossRef]
- Navarro-Patón, R.; Mecías-Calvo, M.; Rodríguez Fernández, J.E.; Arufe-Giráldez, V. Relative Age Effect on Motor Competence in Children Aged 4–5 Years. Children 2021, 8, 115. [Google Scholar] [CrossRef]
- Olesen, L.G.; Kristensen, P.L.; Ried-Larsen, M.; Grøntved, A.; Froberg, K. Physical activity and motor skills in children attending 43 preschools: A cross-sectional study. BMC Pediatr. 2014, 14, 229. [Google Scholar] [CrossRef]
- Oliveira, D.d.S.; de Oliveira, I.S.; Cattuzzo, M.T. A influência do gênero e idade no desempenho das habilidades locomotoras de crianças de primeira infância. Rev. Bras. Educ. Física Esporte 2013, 27, 647–655. [Google Scholar] [CrossRef][Green Version]
- Vedul-Kjelsås, V.; Stensdotter, A.-K.; Sigmundsson, H. Motor Competence in 11-Year-Old Boys and Girls. Scand. J. Educ. Res. 2013, 57, 561–570. [Google Scholar] [CrossRef]
- Valtr, L.; Psotta, R.; Abdollahipour, R. Gender differences in performance of the Movement Assessment Battery for Children—2nd edition test in adolescents. Acta Gymn. 2016, 46, 155–161. [Google Scholar] [CrossRef]
- Kita, Y.; Suzuki, K.; Hirata, S.; Sakihara, K.; Inagaki, M.; Nakai, A. Applicability of the Movement Assessment Battery for Children-Second Edition to Japanese children: A study of the Age Band 2. Brain Dev. 2016, 38, 706–713. [Google Scholar] [CrossRef]
- Kokštejn, J.; Musálek, M.; Tufano, J.J. Are sex differences in fundamental motor skills uniform throughout the entire preschool period? PLoS ONE 2017, 12, e0176556. [Google Scholar] [CrossRef] [PubMed]
- Mathisen, G.E. Motor competence and implications in primary school. J. Phys. Educ. Sport 2016, 16, 206–209. [Google Scholar] [CrossRef]
- Barnett, L.M.; Lai, S.K.; Veldman, S.L.C.; Hardy, L.L.; Cliff, D.P.; Morgan, P.J.; Zask, A.; Lubans, D.R.; Shultz, S.P.; Ridgers, N.D.; et al. Correlates of Gross Motor Competence in Children and Adolescents: A Systematic Review and Meta-Analysis. Sports Med. 2016, 46, 1663–1688. [Google Scholar] [CrossRef] [PubMed]
- Ato, M.; López, J.J.; Benavente, A. Un sistema de clasificación de los diseños de investigación en psicología. An. Psicol. 2013, 29, 1038–1059. [Google Scholar] [CrossRef]
- Graupera, J.L.; Ruiz, L.M. Batería de Evaluación del Movimiento Para Niños-2; Pearson: Madrid, Spain, 2012; Volume 2. [Google Scholar]
- Henderson, S.E.; Sudgen, D.A.; Barnett, A. Movement Assessment Battery for Children-2, 2nd ed.; The Psychological Corporation: London, UK, 2007. [Google Scholar]
- Schoemaker, M.M.; Smits-Engelsman, B.C.M. Is Treating Motor Problems in DCD Just a Matter of Practice and More Practice? Curr. Dev. Disord. Rep. 2015, 2, 150–156. [Google Scholar] [CrossRef]
- Valentini, N.C.; Ramalho, M.H.; Oliveira, M.A. Movement assessment battery for children-2: Translation, reliability, and validity for Brazilian children. Res. Dev. Disabil. 2014, 35, 733–740. [Google Scholar] [CrossRef]
- Serbetar, I.; Loftesnes, J.M.; Mamen, A. Reliability and Structural Validity of the Movement Assessment Battery for Children-2 in Croatian Preschool Children. Sports 2019, 7, 248. [Google Scholar] [CrossRef] [PubMed]
- Queiroz, D.d.R.; Ré, A.H.N.; Henrique, R.d.S.; Moura, M.d.S.; Cattuzzo, M.T. Participation in sports practice and motor competence in preschoolers. Mot. Rev. Educ. Física 2014, 20, 26–32. [Google Scholar] [CrossRef]
- Lemos, A.G.; Avigo, E.L.; Barela, J.A. Physical education in kindergarten promotes fundamental motor skill development. Adv. Phys. Educ. 2012, 2, 17–21. [Google Scholar] [CrossRef]
- Goodway, J.D.; Branta, C.F. Influence of a Motor Skill Intervention on Fundamental Motor Skill Development of Disadvantaged Preschool Children. Res. Q. Exerc. Sport 2003, 74, 36–46. [Google Scholar] [CrossRef] [PubMed]
- Barros, K.M.F.T.d; Fragoso, A.G.C.; Oliveira, A.L.B.d.; Cabral Filho, J.E.; Castro, R.M.d. Do environmental influences alter motor abilities acquisition? A comparison among children from day-care centers and private schools. Arq. Neuropsiquiatr. 2003, 61, 170–175. [Google Scholar] [CrossRef] [PubMed][Green Version]
- Hardy, L.L.; King, L.; Farrell, L.; Macniven, R.; Howlett, S. Fundamental movement skills among Australian preschool children. J. Sci. Med. Sport 2010, 13, 503–508. [Google Scholar] [CrossRef] [PubMed]
- Kourtessis, T.; Tsougou, E.; Maheridou, M.; Tsigilis, N.; Psalti, M.; Kioumourtzoglou, E. Developmental coordination disorder in early childhood-A preliminary epidemiological study in greek schools. Int. J. Med. 2008, 1, 95–99. [Google Scholar]
- Cattuzzo, M.T.; dos Santos Henrique, R.; Ré, A.H.N.; de Oliveira, I.S.; Melo, B.M.; de Sousa Moura, M.; de Araújo, R.C.; Stodden, D. Motor competence and health related physical fitness in youth: A systematic review. J. Sci. Med. Sport 2016, 19, 123–129. [Google Scholar] [CrossRef] [PubMed]
- Spessato, B.C.; Gabbard, C.; Valentini, N.; Rudisill, M. Gender differences in Brazilian children’s fundamental movement skill performance. Early Child Dev. Care 2013, 183, 916–923. [Google Scholar] [CrossRef]
- Engel-Yeger, B.; Rosenblum, S.; Josman, N. Movement Assessment Battery for Children (M-ABC): Establishing construct validity for Israeli children. Res. Dev. Disabil. 2010, 31, 87–96. [Google Scholar] [CrossRef] [PubMed]


| Test Dimension (Range) | Subtest |
|---|---|
| Manual dexterity | 1st: Post coins (MD1) |
| 2nd: Threading beads (MD2) | |
| 3rd: Drawing trail (MD3) | |
| Aiming and catching | 4th: Catching bean bag (AC1) |
| 5th: Throwing bean bag onto mat (AC2) | |
| Balance | 6th: One-leg balance (Bal1) |
| 7th: Walking heels raised (Bal2) | |
| 8th: Jumping on mats (Bal3) | |
| Total test Score (1–19) | MD1 + MD2 + MD3 + AC1 + AC2 + Bal1 + Bal2 + Bal3 |
| Totalpercentile Score (0.1–99.9) | |
| Public School (n = 301) | Private School (n = 222) | |||||
|---|---|---|---|---|---|---|
| All | Boys (n = 164) | Girls (n = 137) | All | Boys (n = 105) | Girls (n = 117) | |
| Age (years) | 4.6 ± 0.53 | 4.6 ± 0.55 | 4.6 ± 0.50 | 4.7 ± 0.30 | 4.7 ± 0.31 | 4.7 ± 0.29 |
| Weight (Kg) | 19.1 ± 2.02 | 19.1 ± 1.88 | 19.2 ± 2.11 | 18.9 ± 3.07 | 19.4 ± 2.38 | 18.5 ± 3.60 |
| Height (cm) | 108.2 ± 0.41 | 108.7 ± 0.26 | 108.6 ± 0.47 | 109.0 ± 0.71 | 111.0 ± 0.64 | 108.2 ± 0.76 |
| BMI (kg/m2) | 19.1 ± 2.02 | 19.1 ± 1.88 | 19.2 ± 2.11 | 17.2 ± 2.49 | 17.6 ± 1.96 | 16.8 ± 2.90 |
Publisher’s Note: MDPI stays neutral with regard to jurisdictional claims in published maps and institutional affiliations. |
© 2021 by the authors. Licensee MDPI, Basel, Switzerland. This article is an open access article distributed under the terms and conditions of the Creative Commons Attribution (CC BY) license (https://creativecommons.org/licenses/by/4.0/).
Share and Cite
Mecías-Calvo, M.; Lago-Fuentes, C.; Arufe-Giráldez, V.; Navarro-Patón, R. Study of Motor Competence in 4–5-Year-Old Preschool Children: Are There Differences among Public and Private Schools? Children 2021, 8, 340. https://doi.org/10.3390/children8050340
Mecías-Calvo M, Lago-Fuentes C, Arufe-Giráldez V, Navarro-Patón R. Study of Motor Competence in 4–5-Year-Old Preschool Children: Are There Differences among Public and Private Schools? Children. 2021; 8(5):340. https://doi.org/10.3390/children8050340
Chicago/Turabian StyleMecías-Calvo, Marcos, Carlos Lago-Fuentes, Víctor Arufe-Giráldez, and Rubén Navarro-Patón. 2021. "Study of Motor Competence in 4–5-Year-Old Preschool Children: Are There Differences among Public and Private Schools?" Children 8, no. 5: 340. https://doi.org/10.3390/children8050340
APA StyleMecías-Calvo, M., Lago-Fuentes, C., Arufe-Giráldez, V., & Navarro-Patón, R. (2021). Study of Motor Competence in 4–5-Year-Old Preschool Children: Are There Differences among Public and Private Schools? Children, 8(5), 340. https://doi.org/10.3390/children8050340

