Post-Cardiotomy Parasternal Nerve Block with Bupivacaine May Be Associated with Reduced Post-Operative Opioid Use in Children: A Retrospective Cohort Study
Abstract
1. Introduction
2. Materials and Methods
2.1. Setting
2.2. Intervention
2.3. Patients
2.4. Statistical Analysis
3. Results
3.1. Patient Characteristics
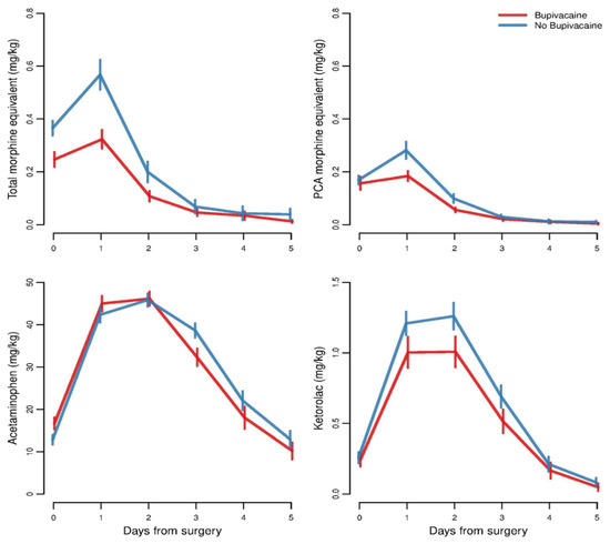
3.2. Opioid Use
3.3. Time to Extubation
4. Discussion
5. Study Limitations
6. Conclusions
Author Contributions
Funding
Conflicts of Interest
References
- Friedrichsdorf, S.J.; Postier, A.; Eull, D.; Weidner, C.; Foster, L.; Gilbert, M.; Campbell, F. Pain Outcomes in a US Children’s Hospital: A Prospective Cross-Sectional Survey. Hosp. Pediatr. 2015, 5, 18–26. [Google Scholar] [CrossRef] [PubMed]
- Groenewald, C.B.; Rabbitts, J.A.; Schroeder, D.R.; Harrison, T.E. Prevalence of moderate-severe pain in hospitalized children. Paediatr. Anaesth. 2012, 22, 661–668. [Google Scholar] [CrossRef] [PubMed]
- Harrison, D.; Joly, C.; Chretien, C.; Cochrane, S.; Ellis, J.; Lamontagne, C.; Vaillancourt, R. Pain prevalence in a pediatric hospital: Raising awareness during Pain Awareness Week. Pain Res. Manag. 2014, 19, e24–e30. [Google Scholar] [CrossRef] [PubMed]
- Kozlowski, L.J.; Kost-Byerly, S.; Colantuoni, E.; Thompson, C.B.; Vasquenza, K.J.; Rothman, S.K.; Billett, C.; White, E.D.; Yaster, M.; Monitto, C.L. Pain prevalence, intensity, assessment and management in a hospitalized pediatric population. Pain Manag. Nurs. 2014, 15, 22–35. [Google Scholar] [CrossRef] [PubMed]
- Postier, A.C.; Eull, D.; Schulz, C.; Fitzgerald, M.; Symalla, B.; Watson, D.; Goertzen, L.; Friedrichsdorf, S.J. Pain Experience in a US Children’s Hospital: A Point Prevalence Survey Undertaken After the Implementation of a System-Wide Protocol to Eliminate or Decrease Pain Caused by Needles. Hosp. Pediatr. 2018, 8, 515–523. [Google Scholar] [CrossRef] [PubMed]
- Shomaker, K.; Dutton, S.; Mark, M. Pain Prevalence and Treatment Patterns in a US Children’s Hospital. Hosp. Pediatr. 2015, 5, 363–370. [Google Scholar] [CrossRef]
- Strohbuecker, B.; Mayer, H.; Evers, G.C.; Sabatowski, R. Pain prevalence in hospitalized patients in a German university teaching hospital. J. Pain Symptom Manag. 2005, 29, 498–506. [Google Scholar] [CrossRef]
- Walther-Larsen, S.; Pedersen, M.T.; Friis, S.M.; Aagaard, G.B.; Romsing, J.; Jeppesen, E.M.; Friedrichsdorf, S.J. Pain prevalence in hospitalized children: A prospective cross-sectional survey in four Danish university hospitals. Acta Anaesthesiol. Scand. 2017, 61, 328–337. [Google Scholar] [CrossRef]
- Anand, K.J.; Barton, B.A.; McIntosh, N.; Lagercrantz, H.; Pelausa, E.; Young, T.E.; Vasa, R. Analgesia and sedation in preterm neonates who require ventilatory support: Results from the NOPAIN trial. Neonatal Outcome and Prolonged Analgesia in Neonates. Arch. Pediatr. Adolesc. Med. 1999, 153, 331–338. [Google Scholar] [CrossRef]
- Nixon, R.D.; Nehmy, T.J.; Ellis, A.A.; Ball, S.A.; Menne, A.; McKinnon, A.C. Predictors of posttraumatic stress in children following injury: The influence of appraisals, heart rate, and morphine use. Behav. Res. Ther. 2010, 48, 810–815. [Google Scholar] [CrossRef]
- Saxe, G.; Stoddard, F.; Courtney, D.; Cunningham, K.; Chawla, N.; Sheridan, R.; King, D.; King, L. Relationship between acute morphine and the course of PTSD in children with burns. J. Am. Acad. Child Adolesc. Psychiatry 2001, 40, 915–921. [Google Scholar] [CrossRef] [PubMed]
- Stoddard, F.J., Jr.; Sorrentino, E.A.; Ceranoglu, T.A.; Saxe, G.; Murphy, J.M.; Drake, J.E.; Ronfeldt, H.; White, G.W.; Kagan, J.; Snidman, N.; et al. Preliminary evidence for the effects of morphine on posttraumatic stress disorder symptoms in one- to four-year-olds with burns. J. Burn Care Res. 2009, 30, 836–843. [Google Scholar] [CrossRef] [PubMed]
- Taddio, A.; Katz, J.; Ilersich, A.L.; Koren, G. Effect of neonatal circumcision on pain response during subsequent routine vaccination. Lancet 1997, 349, 599–603. [Google Scholar] [CrossRef]
- Barr, A.M.; Tutungi, E.; Almeida, A.A. Parasternal intercostal block with ropivacaine for pain management after cardiac surgery: A double-blind, randomized, controlled trial. J. Cardiothorac. Vasc. Anesth. 2007, 21, 547–553. [Google Scholar] [CrossRef] [PubMed]
- El-Morsy, G.Z.; El-Deeb, A.; El-Desouky, T.; Elsharkawy, A.A.; Elgamal, M.A. Can thoracic paravertebral block replace thoracic epidural block in pediatric cardiac surgery? A randomized blinded study. Ann. Card. Anaesth. 2012, 15, 259–263. [Google Scholar] [CrossRef] [PubMed]
- Golianu, B.; Hammer, G.B. Pain management for pediatric thoracic surgery. Curr. Opin. Anaesthesiol. 2005, 18, 13–21. [Google Scholar] [CrossRef]
- Nasr, D.A.; Abdelhamid, H.M. The efficacy of caudal dexmedetomidine on stress response and postoperative pain in pediatric cardiac surgery. Ann. Card. Anaesth. 2013, 16, 109–114. [Google Scholar] [CrossRef]
- Penk, J.S.; Lefaiver, C.A.; Brady, C.M.; Steffensen, C.M.; Wittmayer, K. Intermittent Versus Continuous and Intermittent Medications for Pain and Sedation After Pediatric Cardiothoracic Surgery; A Randomized Controlled Trial. Crit. Care Med. 2018, 46, 123–129. [Google Scholar] [CrossRef]
- Pietropaoli, J.A.; Jr Keller, M.S.; Smail, D.F.; Abajian, J.C.; Kreutz, J.M.; Vane, D.W. Regional anesthesia in pediatric surgery: Complications and postoperative comfort level in 174 children. J. Pediatr. Surg. 1993, 28, 560–564. [Google Scholar] [CrossRef]
- Van der Marel, C.D.; Peters, J.W.; Bouwmeester, N.J.; Jacqz-Aigrain, E.; van den Anker, J.N.; Tibboel, D. Rectal acetaminophen does not reduce morphine consumption after major surgery in young infants. Br. J. Anaesth. 2007, 98, 372–379. [Google Scholar] [CrossRef]
- Cheng, D.C. Regional analgesia and ultra-fast-track cardiac anesthesia. Can. J. Anaesth. 2005, 52, 12–17. [Google Scholar] [CrossRef] [PubMed]
- Ranger, M.; Celeste Johnston, C.; Rennick, J.E.; Limperopoulos, C.; Heldt, T.; du Plessis, A.J. A multidimensional approach to pain assessment in critically ill infants during a painful procedure. Clin. J. Pain 2013, 29, 613–620. [Google Scholar] [CrossRef]
- Chidambaran, V.; Sadhasivam, S.; Mahmoud, M. Codeine and opioid metabolism: Implications and alternatives for pediatric pain management. Curr. Opin. Anaesthesiol. 2017, 30, 349–356. [Google Scholar] [CrossRef] [PubMed]
- Friedrichsdorf, S.J. Prevention and Treatment of Pain in Hospitalized Infants, Children, and Teenagers: From Myths and Morphine to Multimodal Analgesia. In Pain 2016: Refresher Courses 16th World Congress on Pain; International Association for the Study of Pain, IASP Press: Washington, DC, USA, 2016; pp. 309–319. [Google Scholar]
- Sadhasivam, S.; Myer, C.M., III. Preventing opioid-related deaths in children undergoing surgery. Pain Med. 2012, 13, 982–983. [Google Scholar] [CrossRef] [PubMed]
- Horvath, R.; Halbrooks, E.F.; Overman, D.M.; Friedrichsdorf, S.J. Efficacy and safety of postoperative dexmedetomidine administration in infants and children undergoing cardiac surgery: A retrospective cohort study. J. Pediatr. Intensive Care 2015, 4, 138–145. [Google Scholar]
- Bailey, M.; Corcoran, T.; Schug, S.; Toner, A. Perioperative lidocaine infusions for the prevention of chronic postsurgical pain: A systematic review and meta-analysis of efficacy and safety. Pain 2018, 159, 1696–1704. [Google Scholar] [CrossRef]
- Paganelli, M.A.; Popescu, G.K. Actions of bupivacaine, a widely used local anesthetic, on NMDA receptor responses. J. Neurosci. Off. J. Soc. Neurosci. 2015, 35, 831–842. [Google Scholar] [CrossRef]
- Chiu, K.M.; Wu, C.C.; Wang, M.J.; Lu, C.W.; Shieh, J.S.; Lin, T.Y.; Chu, S.H. Local infusion of bupivacaine combined with intravenous patient-controlled analgesia provides better pain relief than intravenous patient-controlled analgesia alone in patients undergoing minimally invasive cardiac surgery. J. Thorac. Cardiovasc. Surg. 2008, 135, 1348–1352. [Google Scholar] [CrossRef]
- Chopra, A.; Hurren, J.; Szpunar, S.; Edwin, S.B. Assessment of Postoperative Pain Control with an Elastomeric Pain Pump Following Cardiothoracic Surgery. Pain Med. 2017, 18, 1450–1454. [Google Scholar] [CrossRef]
- Deneuville, M.; Bisserier, A.; Regnard, J.F.; Chevalier, M.; Levasseur, P.; Herve, P. Continuous intercostal analgesia with 0.5% bupivacaine after thoracotomy: A randomized study. Ann. Thorac. Surg. 1993, 55, 381–385. [Google Scholar] [CrossRef]
- Nasr, D.A.; Abdelhamid, H.M.; Mohsen, M.; Aly, A.H. The analgesic efficacy of continuous presternal bupivacaine infusion through a single catheter after cardiac surgery. Ann. Card. Anaesth. 2015, 18, 15–20. [Google Scholar] [CrossRef] [PubMed]
- White, P.F.; Rawal, S.; Latham, P.; Markowitz, S.; Issioui, T.; Chi, L.; Dellaria, S.; Shi, C.; Morse, L.; Ing, C. Use of a continuous local anesthetic infusion for pain management after median sternotomy. Anesthesiology 2003, 99, 918–923. [Google Scholar] [CrossRef]
- Chaudhary, V.; Chauhan, S.; Choudhury, M.; Kiran, U.; Vasdev, S.; Talwar, S. Parasternal intercostal block with ropivacaine for postoperative analgesia in pediatric patients undergoing cardiac surgery: A double-blind, randomized, controlled study. J. Cardiothorac. Vasc. Anesth. 2012, 26, 439–442. [Google Scholar] [CrossRef] [PubMed]
- Tirotta, C.F.; Munro, H.M.; Salvaggio, J.; Madril, D.; Felix, D.E.; Rusinowski, L.; Tyler, C.; Decampli, W.; Hannan, R.L.; Burke, R.P. Continuous incisional infusion of local anesthetic in pediatric patients following open heart surgery. Paediatr. Anaesth. 2009, 19, 571–576. [Google Scholar] [CrossRef]
- Berde, C.B.; Walco, G.A.; Krane, E.J.; Anand, K.J.; Aranda, J.V.; Craig, K.D.; Dampier, C.D.; Finkel, J.C.; Grabois, M.; Johnston, C.; et al. Pediatric analgesic clinical trial designs, measures, and extrapolation: Report of an FDA scientific workshop. Pediatrics 2012, 129, 354–364. [Google Scholar] [CrossRef] [PubMed]
- Vandenbroucke, J.P.; von Elm, E.; Altman, D.G.; Gotzsche, P.C.; Mulrow, C.D.; Pocock, S.J.; Poole, C.; Schlesselman, J.J.; Egger, M.; Initiative, S. Strengthening the Reporting of Observational Studies in Epidemiology (STROBE): Explanation and elaboration. PLoS Med. 2007, 4, e297. [Google Scholar] [CrossRef] [PubMed]
- Saeidi, M.; Aghadavoudi, O.; Sadeghi, M.M.; Mansouri, M. The efficacy of preventive parasternal single injection of bupivacaine on intubation time, blood gas parameters, narcotic requirement, and pain relief after open heart surgery: A randomized clinical trial study. J. Res. Med. Sci. 2011, 16, 477–483. [Google Scholar]
- Friedrichsdorf, S.J. From Coke to Pepsi to Mountain Dew? Rotating Opioids in Advanced Pediatric Palliative Care. AAHPM Winter Quart. Clin. Pearls 2014, 15, 8–9. [Google Scholar] [CrossRef]
- Schechter, N.; Berde, C.; Yaster, M. Appendix Table 2: Opioid analgesic initial dose guidelines. In Pain in Infants, Children, and Adolescents; Schechter, N., Berde, C., Yaster, M., Eds.; Lippincott Williams & Wilkins: Philadelphia, PA, USA, 2003; p. 850. [Google Scholar]
- Fletcher, D.; Stamer, U.M.; Pogatzki-Zahn, E.; Zaslansky, R.; Tanase, N.V.; Perruchoud, C.; Kranke, P.; Komann, M.; Lehman, T.; Meissner, W.; et al. Chronic postsurgical pain in Europe: An observational study. Eur. J. Anaesthesiol. 2015, 32, 725–734. [Google Scholar] [CrossRef]
- Rabbitts, J.A.; Fisher, E.; Rosenbloom, B.N.; Palermo, T.M. Prevalence and Predictors of Chronic Postsurgical Pain in Children: A Systematic Review and Meta-Analysis. J. Pain 2017, 18, 605–614. [Google Scholar] [CrossRef]
- Ramsey, L.H.; Karlson, C.W.; Collier, A.B. Mirror Therapy for Phantom Limb Pain in a 7-Year-Old Male with Osteosarcoma. J. Pain Symptom Manag. 2017, 53, e5–e7. [Google Scholar] [CrossRef] [PubMed]
- Bignami, E.; Castella, A.; Pota, V.; Saglietti, F.; Scognamiglio, A.; Trumello, C.; Pace, M.C.; Allegri, M. Perioperative pain management in cardiac surgery: A systematic review. Minerva Anestesiol. 2018, 84, 488–503. [Google Scholar] [PubMed]
- Chou, R.; Gordon, D.B.; de Leon-Casasola, O.A.; Rosenberg, J.M.; Bickler, S.; Brennan, T.; Carter, T.; Cassidy, C.L.; Chittenden, E.H.; Degenhardt, E.; et al. Management of Postoperative Pain: A Clinical Practice Guideline From the American Pain Society, the American Society of Regional Anesthesia and Pain Medicine, and the American Society of Anesthesiologists’ Committee on Regional Anesthesia, Executive Committee, and Administrative Council. J. Pain 2016, 17, 131–157. [Google Scholar] [PubMed]
- Mattila, I.; Patila, T.; Rautiainen, P.; Korpela, R.; Nikander, S.; Puntila, J.; Salminen, J.; Suominen, P.K.; Tynkkynen, P.; Hiller, A. The effect of continuous wound infusion of ropivacaine on postoperative pain after median sternotomy and mediastinal drain in children. Paediatr. Anaesth. 2016, 26, 727–733. [Google Scholar] [CrossRef] [PubMed]
- Agarwal, S.; Nuttall, G.A.; Johnson, M.E.; Hanson, A.C.; Oliver, W.C., Jr. A prospective, randomized, blinded study of continuous ropivacaine infusion in the median sternotomy incision following cardiac surgery. Reg. Anesth. Pain Med. 2013, 38, 145–150. [Google Scholar] [CrossRef]
- Foster, R.H.; Markham, A. Levobupivacaine: A review of its pharmacology and use as a local anaesthetic. Drugs 2000, 59, 551–579. [Google Scholar] [CrossRef]

| Bupivacaine (n = 62) n (%) * | Control (n = 86) n (%) * | p-Value | |
|---|---|---|---|
| Age (Year) | |||
| Mean (SD) | 8.3 (4.5) | 9.1 (4.7) | 0.288 |
| Sex | |||
| Female | 41 (66) | 45 (52) | 0.008 a |
| Race | |||
| Non-Hispanic White | 45 (73) | 59 (69) | 0.762 |
| Black | 7 (11) | 9 (10) | |
| Other, unknown or declined | 10 (16) | 18 (21) | |
| BMI | |||
| Age and sex adjusted z- mean (SD) | 0.1 (1.5) | −0.2 (1.4) | 0.217 |
| Year of surgery | |||
| 2011–2012 | 11 (18) | 75 (87) | <0.001 a |
| 2013–2014 | 51 (82) | 11 (13) |
| Bupivacaine (n = 62) n (%) * | Control (n = 86) n (%) * | p-Value | |
|---|---|---|---|
| Pulmonary valve repair/replacement ** | 20 (32) | 35 (41) | N/A |
| Mitral valve repair/replacement ** | 8 (13) | 3 (3) | |
| Tricuspid valve repair/replacement ** | 5 (8) | 13 (15) | |
| Aortic valve repair/replacement ** | 8 (13) | 21 (24) | |
| Atrial septal defect repair/closure ** | 13 (21) | 13 (15) | |
| Ventricular septal defect repair/closure ** | 3 (5) | 10 (12) | |
| Patent foramen ovale repair/closure ** | 9 (15) | 15 (17) | |
| Anomalous coronary artery repair ** | 4 (6) | 6 (7) | |
| Fontan procedure ** | 10 (16) | 7 (8) | |
| Pulmonary artery procedure ** | 9 (15) | 14 (16) | |
| Right ventricular muscle bundle resection ** | 6 (10) | 8 (9) | |
| Pacemaker procedure ** | 4 (6) | 5 (6) | |
| Other procedure ** | 15 (24) | 22 (26) | |
| Fontan Physiology | |||
| Yes | 11 (18) | 8 (9) | 0.206 |
| Bupivacaine (n = 62) n (%) * | Control (n = 86) n (%) * | p-Value | |
|---|---|---|---|
| None | 42 (68) | 33 (38) | <0.001 a |
| Genetic- any ** | 6 (10) | 18 (21) | 0.075 |
| Genetic- type | |||
| Down Syndrome | 3 (5) | 5 (6) | |
| DiGeorge Syndrome | 1 (2) | 3 (3) | |
| Noonan Syndrome | 0 (0) | 1 (1) | |
| Marfan Syndrome | 1 (2) | 0 (0) | |
| Other | 1 (2) | 9 (10) | |
| Respiratory ** | 9 (15) | 12 (14) | 1 |
| Neurological, developmental or psychological ** | 7 (11) | 24 (28) | 0.015 a |
| Endocrine ** | 1 (2) | 2 (2) | 1 |
| Musculoskeletal ** | 2 (3) | 4 (5) | 1 |
| Renal or Urinary ** | 1 (2) | 4 (5) | 0.4 |
| Gastrointestinal ** | 1 (2) | 5 (6) | 0.401 |
| Hematologic/Lymphatic ** | 1 (2) | 8 (9) | 0.08 |
| Other ** | 2 (3) | 10 (12) | 0.075 |
| Bupivacaine (n = 62) n (%) * | Control (n = 86) n (%) * | p-Value | |
|---|---|---|---|
| STAT Category | 0.569 | ||
| 1 | 20 (32) | 22 (26) | |
| 2 | 28 (45) | 37 (43) | |
| 3 | 12 (19) | 24 (28) | |
| 4 | 1 (2) | 3 (3) | |
| Missing | 1 (2) | 0 (0) | |
| Aortic Cross Clamp Time | 0.317 | ||
| Minutes- mean (SD) | 49 (37) | 55 (36) | |
| Missing | 12 (19) | 8 (9) | |
| Bypass Time | 0.422 | ||
| Minutes- mean (SD) | 70 (39) | 82 (52) | |
| Missing | 1 (2) | 1 (1) | |
| Cardioplegia | 0.090 | ||
| Doses- mean (SD) | 1.5 (0.8) | 1.8 (1.0) | |
| Missing | 12 (19) | 8 (9) |
| Bupivacaine (n = 62) | Control (n = 86) | Difference | p-Value | |
|---|---|---|---|---|
| Total Morphine Equivalent, days 0–1 (mg/kg) | 0.57 (0.46, 0.68) | 0.93 (0.80, 1.06) | −0.36 (−0.53, 0.19) | <0.001 a |
| PCA Morphine Equivalent, days 0–1 (mg/kg) | 0.34 (0.27, 0.41) | 0.45 (0.37, 0.53) | −0.11 (−0.21, 0.01) | 0.049 a |
| Acetaminophen, days 0–1 (mg/kg) | 62 (56, 67) | 55 (50, 60) | 7 (−1, 14) | 0.120 |
| Ketorolac, days 0–1 (mg/kg) | 1.2 (1.0, 1.5) | 1.5 (1.2, 1.7) | −0.2 (−0.6, 0.1) | 0.235 |
| Length of intubation (hours) * | 5.8 (4.0, 7.5) | 8.9 (6.8, 11.1) | −3.1 (−5.9, −0.4) | 0.004 a |
| Length of hospital stay, post-surgery (days) | 6.8 (5.6, 7.9) | 7.1 (5.7, 8.5) | −0.3 (−2.1, 1.5) | 0.775 |
| Bupivacaine (n = 61) | Control (n = 86) | Difference | p-Value | |
|---|---|---|---|---|
| Total Morphine Equivalent, days 0–1 (mg/kg) | 0.57 (0.46, 0.69) | 0.92 (0.78, 1.05) | −0.34 (−0.54, −0.14) | 0.002 a |
| PCA Morphine Equivalent, days 0–1 (mg/kg) | 0.30 (0.24, 0.36) | 0.48 (0.40, 0.56) | −0.18 (−0.30, 0.07) | 0.005 a |
| Acetaminophen, days 0–1 (mg/kg) | 56 (50, 63) | 59 (54, 64) | −3 (−12, 7) | 0.607 |
| Ketorolac, days 0–1 (mg/kg) | 1.5 (1.2, 1.8) | 1.3 (1.0, 1.5) | 0.2 (−0.2, 0.6) | 0.442 |
| Length of intubation (hours) * | 5.6 (4.3, 6.9) | 7.8 (6.0, 9.6) | −2.2 (−4.6, 0.2) | 0.069 |
| Length of hospital stay, post-surgery (days) | 6.1 (5.3, 6.9) | 6.9 (5.9, 7.8) | −0.7 (−2.0, 0.6) | 0.291 |
© 2020 by the authors. Licensee MDPI, Basel, Switzerland. This article is an open access article distributed under the terms and conditions of the Creative Commons Attribution (CC BY) license (http://creativecommons.org/licenses/by/4.0/).
Share and Cite
Moga, F.X.; Lo Galbo, M.D.; Overman, D.M.; Friedrichsdorf, S.J. Post-Cardiotomy Parasternal Nerve Block with Bupivacaine May Be Associated with Reduced Post-Operative Opioid Use in Children: A Retrospective Cohort Study. Children 2020, 7, 20. https://doi.org/10.3390/children7030020
Moga FX, Lo Galbo MD, Overman DM, Friedrichsdorf SJ. Post-Cardiotomy Parasternal Nerve Block with Bupivacaine May Be Associated with Reduced Post-Operative Opioid Use in Children: A Retrospective Cohort Study. Children. 2020; 7(3):20. https://doi.org/10.3390/children7030020
Chicago/Turabian StyleMoga, Francis X., Mark D. Lo Galbo, David M. Overman, and Stefan J. Friedrichsdorf. 2020. "Post-Cardiotomy Parasternal Nerve Block with Bupivacaine May Be Associated with Reduced Post-Operative Opioid Use in Children: A Retrospective Cohort Study" Children 7, no. 3: 20. https://doi.org/10.3390/children7030020
APA StyleMoga, F. X., Lo Galbo, M. D., Overman, D. M., & Friedrichsdorf, S. J. (2020). Post-Cardiotomy Parasternal Nerve Block with Bupivacaine May Be Associated with Reduced Post-Operative Opioid Use in Children: A Retrospective Cohort Study. Children, 7(3), 20. https://doi.org/10.3390/children7030020

