Accuracy Analysis of Digital Models from Intraoral Scanners and 3D-Printed Casts in Children and Teenagers
Abstract
1. Introduction
2. Materials and Methods
3. Results
3.1. Sample Description
3.2. Descriptive Statistics
3.3. Accuracy Analysis
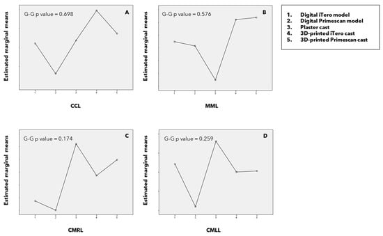
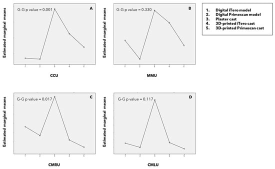
3.4. Comparison between Reproduction Methods
4. Discussion
5. Conclusions
Author Contributions
Funding
Institutional Review Board Statement
Informed Consent Statement
Data Availability Statement
Conflicts of Interest
Appendix A
| Measure range | 0–75 mm/0–3″ |
| 0–100 mm/0.4″ | |
| 0–150 mm/0.6″ | |
| 0–200 mm/0.8″ | |
| 0–300 mm/0.12″ | |
| Resolution | 0.01 mm/0.0005″ |
| Accuracy | ±0.02 mm/0.001″ (<100 mm) |
| ±0.03 mm/0.001″ (>100–200 mm) | |
| ±0.04 mm/0.0015″ (>200–300 mm) | |
| Repeatability | 0.01 mm/0.0005″ |
| Measuring system | Linear capacitive measuring system |
| Working temperature | 5~40 °C/41~104 °C |
| Influence of humidity | Not important under 80% of relative humidity |
References
- François, D. The Optical Impression; University Claude-Bernard: Lyon, France, 1974. [Google Scholar]
- Martin, C.B.; Chalmers, E.V.; McIntyre, G.T.; Cochrane, H.; Mossey, P.A. Orthodontic scanners: What’s available? J. Orthod. 2015, 42, 136–143. [Google Scholar] [CrossRef] [PubMed]
- Zimmermann, M.; Mehl, A.; Mörmann, W.H.; Reich, S. Intraoral scanning systems—A current overview. Int. J. Comput. Dent. 2015, 18, 101–129. [Google Scholar] [PubMed]
- Rosti, F.; Sfondrini, M.F.; Bressani, D.; Vitale, M.C.; Gandini, P.; Scribante, A. Digital Workflow for Indirect Bonding with 2D Lingual Brackets: A Case Report and Procedure Description. Case Rep. Dent. 2019, 2019, 6936049. [Google Scholar] [CrossRef]
- Burzynski, J.A.; Firestone, A.R.; Beck, F.M.; Fields, H.W.; Deguchi, T. Comparison of digital intraoral scanners and alginate impressions: Time and patient satisfaction. Am. J. Orthod. Dentofac. Orthop. 2018, 153, 534–541. [Google Scholar] [CrossRef]
- Kong, L.; Li, Y.; Liu, Z. Digital versus conventional full-arch impressions in linear and 3D accuracy: A systematic review and meta-analysis of in vivo studies. Clin. Oral. Investig. 2022, 26, 5625–5642. [Google Scholar] [CrossRef] [PubMed]
- Button, H.; Kois, J.C.; Barmak, A.B.; Zeitler, J.M.; Rutkunas, V.; Revilla-León, M. Scanning accuracy and scanning area discrepancies of intraoral digital scans acquired at varying scanning distances and angulations among 4 different intraoral scanners. J. Prosthet. Dent. 2023. In press. [Google Scholar] [CrossRef]
- Revilla-León, M.; Gohil, A.; Barmak, A.B.; Gómez-Polo, M.; Pérez-Barquero, J.A.; Att, W.; Kois, J.C. Influence of ambient temperature changes on intraoral scanning accuracy. J. Prosthet. Dent. 2023, 130, 755–760. [Google Scholar] [CrossRef]
- Revilla-León, M.; Subramanian, S.G.; Özcan, M.; Krishnamurthy, V.R. Clinical study of the influence of ambient light scanning conditions on the accuracy (trueness and precision) of an intraoral scanner. J. Prosthodont. 2020, 29, 107–113. [Google Scholar] [CrossRef]
- Revilla-León, M.; Kois, D.E.; Kois, J.C. A guide for maximizing the accuracy of intraoral digital scans: Part 1: Operator factors. J. Esthet. Restor. Dent. 2023, 35, 230–240. [Google Scholar] [CrossRef]
- Revilla-León, M.; Kois, D.E.; Kois, J.C. A guide for maximizing the accuracy of intraoral digital scans: Part 2—Patient factors. J. Esthet. Restor. Dent. 2023, 35, 241–249. [Google Scholar] [CrossRef]
- Martínez-Rodríguez, C.; Patricia, J.; Ricardo, O.; Alejandro, I. Personalized dental medicine: Impact of intraoral and extraoral clinical variables on the precision and efficiency of intraoral scanning. J. Pers. Med. 2020, 10, 92. [Google Scholar] [CrossRef]
- Revilla-León, M.; Barmak, A.B.; Tohme, H.; Yilmaz, B.; Kois, J.C.; Gómez-Polo, M. Factors that influence the accuracy of maxillomandibular relationship at maximum intercuspation acquired by using intraoral scanners: A systematic review. J. Dent. 2023, 138, 104718. [Google Scholar] [CrossRef]
- Goracci, C.; Franchi, L.; Vichi, A.; Ferrari, M. Accuracy, reliability, and efficiency of intraoral scanners for full-arch impressions: A systematic review of the clinical evidence. Eur. J. Orthod. 2016, 38, 422–428. [Google Scholar] [CrossRef] [PubMed]
- Khraishi, H.; Duane, B. Evidence for use of intraoral scanners under clinical conditions for obtaining full-arch digital impressions is insufficient. Evid. Based Dent. 2017, 18, 24–25. [Google Scholar] [CrossRef]
- Burhardt, L.; Livas, C.; Kerdijk, W.; van der Meer, W.J.; Ren, Y. Treatment comfort, time perception, and preference for conventional and digital impression techniques: A comparative study in young patients. Am. J. Orthod. Dentofac. Orthop. 2016, 150, 261–267. [Google Scholar] [CrossRef] [PubMed]
- Glisic, O.; Hoejbjerre, L.; Sonnesen, L. A comparison of patient experience, chair-side time, accuracy of dental arch measurements and costs of acquisition of dental models. Angle Orthod. 2019, 89, 868–875. [Google Scholar] [CrossRef]
- Yilmaz, H.; Aydin, M.N. Digital versus conventional impression method in children: Comfort, preference and time. Int. J. Paediatr. Dent. 2019, 29, 728–735. [Google Scholar] [CrossRef] [PubMed]
- Park, S.; Byun, S.; Oh, S.; Lee, H.; Kim, J.; Yang, B.; Park, I. Evaluation of the Reliability, Reproducibility and Validity of Digital Orthodontic Measurements Based on Various Digital Models among Young Patients. J. Clin. Med. 2020, 9, 2728. [Google Scholar] [CrossRef] [PubMed]
- Liczmanski, K.; Stamm, T.; Sauerland, C.; Blanck-Lubarsch, M. Accuracy of intraoral scans in the mixed dentition: A prospective non-randomized comparative clinical trial. Head Face Med. 2020, 16, 11. [Google Scholar] [CrossRef]
- Serrano-Velasco, D.; Martín-Vacas, A.; Paz-Cortés, M.M.; Giovannini, G.; Cintora-López, P.; Aragoneses, J.M. Intraoral scanners in children: Evaluation of the patient perception, reliability and reproducibility, and chairside time-A systematic review. Front. Pediatr. 2023, 11, 1213072. [Google Scholar] [CrossRef]
- Okamoto, A.; Karibe, H.; Tanaka, S.; Kawakami, T.; Shinya, A. Reliability of mixed dentition space analysis using a digital model obtained from an optical impression: A preliminary study. BMC Res. Notes 2024, 17, 12. [Google Scholar] [CrossRef] [PubMed]
- Joteppa, V.; Niras, S.; Chokhani, D.; Jadhao, T.A.; Bandgar, S.T.; Bayaskar, S.G. Accuracy of 3D Printed Model Acquired from Different Types of Intra Oral Scanners and 3D Printers. J. Pharm. Bioallied Sci. 2024, 16, S1433–S1434. [Google Scholar] [CrossRef] [PubMed]
- Ye, J.R.; Park, S.H.; Lee, H.; Hong, S.; Chae, Y.K.; Lee, K.E.; Lee, H.; Choi, S.C.; Nam, O.H. Influence of limited mouth opening in children on intraoral scanning accuracy: An in vitro study. Int. J. Paediatr. Dent. 2024, 1–9. [Google Scholar] [CrossRef] [PubMed]
- Kottner, J.; Audigé, L.; Brorson, S.; Donner, A.; Gajewski, B.J.; Hróbjartsson, A.; Roberts, C.; Shoukri, M.; Streiner, D.L. Guidelines for reporting reliability and agreement studies (GRRAS) were proposed. Int. J. Nurs. Stud. 2011, 48, 661–671. [Google Scholar] [CrossRef]
- Serdar, C.C.; Cihan, M.; Yücel, D.; Serdar, M.A. Sample size, power and effect size revisited: Simplified and practical approaches in pre-clinical, clinical and laboratory studies. Biochem. Medica 2021, 31, 27–53. [Google Scholar] [CrossRef]
- Kang, H. Sample size determination and power analysis using the G* Power software. J. Educ. Eval. Health Prof. 2021, 18, 17. [Google Scholar] [CrossRef]
- ISO 5725-1:2023; Accuracy (Trueness and Precision) of Measurement Methods and Results—Part 1: General Principles and Definitions. Available online: https://www.iso.org/es/contents/data/standard/06/94/69418.html?browse=tc#lifecycle (accessed on 30 July 2024).
- Koo, T.K.; Li, M.Y. A guideline of selecting and reporting intraclass correlation coefficients for reliability research. J. Chiropr. Med. 2016, 15, 155–163. [Google Scholar] [CrossRef]
- Chan, Y.H. Biostatistics 104: Correlational analysis. Singapore Med. J. 2003, 44, 614–619. [Google Scholar]
- Ender, A.; Attin, T.; Mehl, A. In vivo precision of conventional and digital methods of obtaining complete-arch dental impressions. J. Prosthet. Dent. 2016, 115, 313–320. [Google Scholar] [CrossRef]
- Patzelt, S.B.; Emmanouilidi, A.; Stampf, S.; Strub, J.R.; Att, W. Accuracy of full-arch scans using intraoral scanners. Clin. Oral. Investig. 2014, 18, 1687–1694. [Google Scholar] [CrossRef]
- Patzelt, S.B.; Bishti, S.; Stampf, S.; Att, W. Accuracy of computer-aided design/computer-aided manufacturing–generated dental casts based on intraoral scanner data. J. Am. Dent. Assoc. 2014, 145, 1133–1140. [Google Scholar] [CrossRef] [PubMed]
- Lee, K. Comparison of two intraoral scanners based on three-dimensional surface analysis. Progress Orthod. 2018, 19, 6. [Google Scholar] [CrossRef] [PubMed]
- Zhang, F.; Suh, K.; Lee, K. Validity of intraoral scans compared with plaster models: An in-vivo comparison of dental measurements and 3D surface analysis. PLoS ONE 2016, 11, e0157713. [Google Scholar] [CrossRef] [PubMed]
- Ciocan, L.T.; Vasilescu, V.G.; Răuță, S.; Pantea, M.; Pițuru, S.; Imre, M. Comparative Analysis of Four Different Intraoral Scanners: An In Vitro Study. Diagnostics 2024, 14, 1453. [Google Scholar] [CrossRef]
- Medina-Sotomayor, P.; Pascual, M.A.; Camps, A.I. Accuracy of four digital scanners according to scanning strategy in complete-arch impressions. PLoS ONE 2018, 13, e0202916. [Google Scholar] [CrossRef]
- Kumar, A.A.; Phillip, A.; Kumar, S.; Rawat, A.; Priya, S.; Kumaran, V. Digital model as an alternative to plaster model in assessment of space analysis. J. Pharm. Bioallied Sci. 2015, 7, S465–S469. [Google Scholar] [CrossRef]
- Pasini, M.; Carli, E.; Giambastiani, F.; Giuca, M.R.; Tripodi, D. Three-Dimensional Analysis of Upper and Lower Arches Using Digital Technology: Measurement of the Index of Bolton and Correspondence between Arch Shapesand Orthodontic Arches. Dent. J. 2023, 11, 188. [Google Scholar] [CrossRef]
- Suryajaya, W.; Purbiati, M.; Ismah, N. Accuracy of digital dental models and three-dimensional printed dental models in linear measurements and Bolton analysis. F1000Research 2021, 10, 180. [Google Scholar] [CrossRef]
- Kumar, A.A.; Ananthakrishnan, M.G.; Kumar, S.; Divakar, G.; Sekar, S.; Dharani, S. Assessing the validity and reliability of tooth widths and bolton ratios obtained from digital models and plaster models. J. Pharm. Bioallied Sci. 2022, 14, S148–S151. [Google Scholar] [CrossRef]



| Upper Arch | Descriptive | Normality Tests | |||
|---|---|---|---|---|---|
| Mean (mm) | SD a | Kolmogorov–Smirnov b p Value | Shapiro–Wilk p Value | ||
| Intercanine distance (CCU) (n = 41) | Intraoral (n = 45) | 34.90 | 2.82 | 0.200 | 0.247 |
| iTeroTM STL (n = 43) | 34.48 | 2.86 | 0.200 | 0.848 | |
| PrimescanTM STL (n = 46) | 34.36 | 2.91 | 0.200 | 0.816 | |
| Plaster cast (n = 46) | 35.02 | 2.61 | 0.200 | 0.996 | |
| iTeroTM-printed cast (n = 45) | 34.74 | 2.93 | 0.200 | 0.920 | |
| PrimescanTM-printed cast (n = 46) | 34.49 | 2.96 | 0.200 | 0.760 | |
| Intermolar distance (MMU) (n = 48) | Intraoral (n = 50) | 51.84 | 2.96 | 0.200 | 0.890 |
| iTeroTM STL (n = 48) | 51.65 | 3.12 | 0.186 | 0.416 | |
| PrimescanTM STL (n = 50) | 51.47 | 2.82 | 0.200 | 0.865 | |
| Plaster cast (n = 50) | 51.78 | 2.91 | 0.200 | 0.943 | |
| iTeroTM-printed cast (n = 50) | 51.72 | 3.23 | 0.200 | 0.526 | |
| PrimescanTM-printed cast (n = 50) | 51.55 | 2.84 | 0.200 | 0.599 | |
| Canine–molar distance (right) (CMRU) (n = 41) | Intraoral (n = 45) | 22.91 | 2.06 | 0.200 | 0.299 |
| iTeroTM STL (n = 43) | 23.08 | 1.75 | 0.200 | 0.124 | |
| PrimescanTM STL (n = 46) | 22.95 | 1.73 | 0.200 | 0.031 * | |
| Plaster cast (n = 46) | 23.31 | 2.02 | 0.095 | 0.009 * | |
| iTeroTM-printed cast (n = 45) | 22.92 | 1.65 | 0.095 | 0.004 * | |
| PrimescanTM-printed cast (n = 47) | 22.99 | 1.91 | 0.200 | 0.002 * | |
| Canine–molar distance (left) (CMLU) (n = 44) | Intraoral (n = 46) | 22.48 | 1.32 | 0.200 | 0.057 |
| iTeroTM STL (n = 45) | 22.75 | 1.47 | 0.200 | 0.870 | |
| PrimescanTM STL (n = 47) | 22.64 | 1.41 | 0.200 | 0.558 | |
| Plaster cast STL (n = 46) | 23.81 | 5.18 | 0.000 * | 0.000 * | |
| iTeroTM-printed cast (n = 47) | 22.71 | 1.38 | 0.200 | 0.686 | |
| PrimescanTM-printed cast (n = 48) | 23.04 | 3.73 | <0.001 * | <0.001 * | |
| Lower Arch | Descriptive | Normality Tests | |||
|---|---|---|---|---|---|
| Mean (mm) | SD a | Kolmogorov–Smirnov b p Value | Shapiro–Wilk p Value | ||
| Intercanine distance (CCL) (n = 42) | Intraoral (n = 48) | 26.53 | 2.24 | 0.200 | 0.306 |
| iTeroTM STL (n = 43) | 26.51 | 2.07 | 0.200 | 0.654 | |
| PrimescanTM STL (n = 47) | 26.34 | 2.25 | 0.200 | 0.291 | |
| Plaster cast (n = 48) | 26.45 | 2.11 | 0.200 | 0.967 | |
| iTeroTM-printed cast (n = 46) | 26.49 | 2.14 | 0.200 | 0.281 | |
| PrimescanTM-printed cast (n = 46) | 26.38 | 2.21 | 0.200 | 0.786 | |
| Intermolar distance (MML) (n = 48) | Intraoral (n = 51) | 44.78 | 3.21 | 0.200 | 0.630 |
| iTeroTM STL (n = 49) | 44.06 | 3.14 | 0.200 | 0.612 | |
| PrimescanTM STL (n = 51) | 43.98 | 3.17 | 0.200 | 0.424 | |
| Plaster cast (n = 51) | 43.77 | 5.25 | 0.000 * | 0.000 * | |
| iTeroTM-printed cast (n = 51) | 44.23 | 3.02 | 0.200 | 0.948 | |
| PrimescanTM-printed cast (n = 50) | 44.20 | 3.15 | 0.200 | 0.523 | |
| Canine–molar distance (right) (CMRL) (n = 44) | Intraoral (n = 48) | 21.40 | 1.92 | 0.200 | 0.136 |
| iTeroTM STL (n = 44) | 21.89 | 1.79 | 0.040 * | 0.023 * | |
| PrimescanTM STL (n = 47) | 21.69 | 2.01 | 0.054 | 0.003 * | |
| Plaster cast (n = 48) | 21.97 | 1.91 | 0.108 | 0.024 * | |
| iTeroTM-printed cast (n = 47) | 21.85 | 1.80 | 0.182 | 0.013 * | |
| PrimescanTM-printed cast (n = 47) | 21.90 | 1.89 | 0.074 | 0.002* | |
| Canine–molar distance (left) (CMLL) (n = 44) | Intraoral (n = 49) | 21.62 | 1.97 | 0.183 | 0.003 * |
| iTeroTM STL (n = 46) | 22.36 | 1.61 | 0.081 | 0.054 | |
| PrimescanTM STL (n = 50) | 21.72 | 3.43 | 0.000 * | 0.000 * | |
| Plaster cast (n = 49) | 22.29 | 1.98 | 0.024 * | 0.000 | |
| iTeroTM-printed cast (n = 49) | 22.08 | 1.94 | 0.200 | <0.001 * | |
| PrimescanTM-printed cast (n = 50) | 22.06 | 1.94 | 0.171 | <0.001 * | |
| CCU | MMU | CMRU | CMLU | CCL | MML | CMRL | CMLL | |
|---|---|---|---|---|---|---|---|---|
| Intraoral*iTeroTM STL | 0.921 | 0.869 | 0.828 | 0.824 | 0.954 | 0.956 | 0.797 | 0.820 |
| Intraoral*PrimescanTM STL | 0.895 | 0.979 | 0.811 | 0.867 | 0.957 | 0.966 | 0.855 | 0.509 |
| Intraoral*Plaster cast | 0.934 | 0.970 | 0.701 | 0.255 | 0.758 | 0.376 | 0.830 | 0.824 |
| Intraoral*iTeroTM-printed cast | 0.908 | 0.898 | 0.830 | 0.783 | 0.952 | 0.953 | 0.817 | 0.858 |
| Intraoral*PrimescanTM-printed cast | 0.888 | 0.962 | 0.811 | 0.889 | 0.971 | 0.966 | 0.849 | 0.859 |
| CCU a | MMU a | CMRU b | CMLU b | ||
|---|---|---|---|---|---|
| Comparison 1 | Intraoral | 0.028 * | 0.292 | 0.204 | 0.210 |
| iTeroTM STL | |||||
| Comparison 2 | Intraoral | 0.044 * | <0.001 * | 0.726 | 0.346 |
| PrimescanTM STL | |||||
| Comparison 3 | Intraoral | 0.163 | 0.590 | 0.051 | 0.005 * |
| Plaster cast | |||||
| Comparison 4 | Intraoral | 0.712 | 0.546 | 0.942 | 0.250 |
| iTeroTM-printed cast | |||||
| Comparison 5 | Intraoral | 0.190 | 0.015 * | 0.636 | 0.844 |
| PrimescanTM-printed cast |
| CCL a | MML b | CMRL b | CMLL b | ||
|---|---|---|---|---|---|
| Comparison 1 | Intraoral | 0.382 | <0.001 * | 0.071 | 0.001 * |
| iTeroTM STL | |||||
| Comparison 2 | Intraoral | 0.082 | <0.001 * | 0.110 | 0.031 * |
| PrimescanTM STL | |||||
| Comparison 3 | Intraoral | 0.719 | 0.619 | 0.002 * | <0.001 * |
| Plaster cast | |||||
| Comparison 4 | Intraoral | 0.871 | <0.001 * | 0.003 * | 0.036 * |
| iTeroTM-printed cast | |||||
| Comparison 5 | Intraoral | 0.268 | <0.001 * | 0.004 * | 0.033 * |
| PrimescanTM-printed cast |
Disclaimer/Publisher’s Note: The statements, opinions and data contained in all publications are solely those of the individual author(s) and contributor(s) and not of MDPI and/or the editor(s). MDPI and/or the editor(s) disclaim responsibility for any injury to people or property resulting from any ideas, methods, instructions or products referred to in the content. |
© 2024 by the authors. Licensee MDPI, Basel, Switzerland. This article is an open access article distributed under the terms and conditions of the Creative Commons Attribution (CC BY) license (https://creativecommons.org/licenses/by/4.0/).
Share and Cite
Serrano-Velasco, D.; Martín-Vacas, A.; Giovannini, G.; Paz-Cortés, M.M.; Aragoneses, J.M. Accuracy Analysis of Digital Models from Intraoral Scanners and 3D-Printed Casts in Children and Teenagers. Children 2024, 11, 1082. https://doi.org/10.3390/children11091082
Serrano-Velasco D, Martín-Vacas A, Giovannini G, Paz-Cortés MM, Aragoneses JM. Accuracy Analysis of Digital Models from Intraoral Scanners and 3D-Printed Casts in Children and Teenagers. Children. 2024; 11(9):1082. https://doi.org/10.3390/children11091082
Chicago/Turabian StyleSerrano-Velasco, Diego, Andrea Martín-Vacas, Giovanni Giovannini, Marta Macarena Paz-Cortés, and Juan Manuel Aragoneses. 2024. "Accuracy Analysis of Digital Models from Intraoral Scanners and 3D-Printed Casts in Children and Teenagers" Children 11, no. 9: 1082. https://doi.org/10.3390/children11091082
APA StyleSerrano-Velasco, D., Martín-Vacas, A., Giovannini, G., Paz-Cortés, M. M., & Aragoneses, J. M. (2024). Accuracy Analysis of Digital Models from Intraoral Scanners and 3D-Printed Casts in Children and Teenagers. Children, 11(9), 1082. https://doi.org/10.3390/children11091082

