Abstract
Background: The interaction between obesity and genetic traits on high density lipoprotein (HDL) levels has been extensively studied. The variance of serum HDL has a strong genetic heritability, although the studied variant only explains a small part of this variation. The goal of this study was to investigate the associations between the apolipoprotein type 2 (APOA2) rs3813627 single nucleotide polymorphism (SNP) and anthropometric and biochemical variables, though body mass index (BMI). Methods: This study included 153 subjects (91 overweight/obese (BMI ≥ 25 kg/m2) and 62 non-obese individuals (BMI < 25 kg/m2)). The APOA2 rs3813627 SNP was selected and genotyped. Genotype analysis was performed to analyze the associations between APOA2 SNPs and anthropometric and biochemical variables through BMI. Results: The APOA2 rs3813627 TT genotype was associated with low HDL levels in comparison with the APOA2 rs3813627 GG and GT genotype in overweight/obese individuals, but not in the non-obese subjects (p < 0.05). The same trend was observed in the apolipoprotein type 1 (APOA1) protein levels (p < 0.05). Correlation analysis revealed a negative correlation between HDL and APOA1 levels and APOA2 rs3813627 SNP under recessive model (p < 0.05). The odds ratio for low HDL levels was 3.76 and 3.94 for low APOA1 levels. The mediation analysis of APOA2 rs3813627 SNP through BMI showed a full mediation on HDL and partial mediation on APOA1 levels (p < 0.05). Bioinformatic analysis showed that rs3813627 lies in the APOA2 promoter and overlaps motifs for several bound transcription factors. Conclusions: On the basis of these data, the APOA2 rs3813627 SNP is associated with low HDL and APOA1 levels susceptibility, and this effect was mediated by an increased BMI.
1. Introduction
Genome-wide association studies (GWAS) have been widely linked to several variants associated with various human traits such as circulating lipid levels, and have contributed to new biological insights into lipid traits and polymorphism interactions [1]. Multiple susceptibility loci have been associated with total cholesterol, triglycerides, low-density lipoprotein (LDL), and high-density lipoprotein (HDL) [2]. However, the majority of these genetic variants only explain a small part of the overall heritability for lipid traits. That is because a fraction of this missing heritability can be explained by gene-environment interactions, which are usually not included in the GWAS analysis [3]. Obesity constitutes one of the most important factors to alter lipid metabolism [4]. While the dual contribution of genetic and environmental factors to this relationship has been described in detail, its pathophysiological and genetic basis remains unclear [3]. HDL metabolism also depends on the genetic and environmental factors. According to family studies, serum HDL levels appear to be under a strong genetic basis. The heritability of circulating HDL has been estimated as being up to 80%, although the current genetic identified variants could only explain less than 10% of HDL variance, which leaves a wide gap of possibilities to new genetic variants [5]. Apolipoprotein A1 (APOA1) and apolipoprotein A2 (APOA2) are the major structural proteins of the HDL complex, which constitute about 70% and 20%, respectively. Both APOA1 and APOA2 play crucial physiological role in lipid storage, transport, and metabolism [6].
APOA2 is part of the apolipoprotein superfamily that includes the apolipoprotein A (APOA), apolipoprotein C (APOC), and apolipoprotein E (APOE) families. APOA2, encoded by the APOA2 gene, is present as a homodimer in human plasma and as a monomer in murine plasma [1,2]. APOA2, the second most common apolipoprotein on the human HDL [7,8], has been considered of minor physiological importance in lipoprotein metabolism. A previous study reported that APOA2 deficiency has a minor influence on lipid and lipoprotein profiles or on the occurrence of coronary heart disease in human [9]. However, recent studies have shown that APOA2 plays multiple roles in the maintenance of HDL, obesity, and obesity-related insulin resistance [10,11]. Although the exact function of APOA2 is yet unclear, overexpression of the APOA2 gene in mouse triggers an increase in body mass index (BMI) and triglycerides levels, whereas APOA2-null mouse decreases triglycerides levels by producing an altered HDL particles [12,13,14]. Moreover, the overexpression of murine APOA2 gene in mice induces to larger HDL particles, whereas APOA2-deficient mice present decreased HDL particle size. Importantly, HDL particle size is associated with HDL levels, suggesting an association of APOA2 and circulating HDL levels [11,15,16].
In humans, the function of APOA2 also remains controversial. Indeed, all physiological and biochemical function data available have come from studies in animal models [4,14]. The APOA2 gene has been associated with visceral fat accumulation and metabolism of triglyceride-rich lipoproteins [15]. It is also linked to obesity and lipid metabolism [11,16,17]. The APOA2 protein also participates in the regulation of lipoprotein metabolism enzyme by inhibiting the cholesterol ester transfer protein (CETP) (transport of cholesteryl esters and triglycerides between the lipoproteins), activating the lecithin-cholesterol acyltransferase (LCAT) (conversion of free cholesterol into cholesteryl ester), and phospholipid transfer protein (PLTP) (transfer phospholipids from triglyceride-rich lipoproteins to HDL), and modulating the hepatic lipase (LIPC) activity (hydrolysis of triacylglyceride) [10,13,18,19].
Nevertheless, only a few studies showed an association between APOA2 polymorphisms and phenotypic effect in humans [17,18,19,20,21]. The most studied polymorphism is the APOA2 rs5082 variant. This single nucleotide polymorphism (SNP) has been associated with waist circumference in men and abdominal fat depot in women [20,22]. In addition, rs5082 has been associated with BMI and food intake, and postprandial response to a saturated fat overload in healthy men [17,20]. On this basis, several SNPs have been reported, but only the APOA2 rs3813627 SNP was associated with HDL concentration [19,23]. A previous study indicated that rs3813627 was considered as independent determinant of plasma HDL levels [24]. Another study showed that APOA2 rs3813627 SNP was significantly different between participants with low and high HDL levels participants, and this SNP was identified as a susceptibility allele for low HDL-c and coronary heart disease risk [19]. However, both studies were conducted in only overweight/obese individuals and did not take into account the effect of the BMI on the HDL levels.
Considering the effect of the obesity and genetic basis of the APOA2 rs3813627 SNP on HDL levels, we hypothesized that the genotype risk of this polymorphism could be associated with anthropometrical variables, glucose metabolism, and lipid traits. For that, we compared the non-obese with overweight/obese individuals according to their genotype on the anthropometrical variables, glucose, and lipid metabolism. Furthermore, we studied the mediator effect of BMI on HDL and APOA1 levels. This approach could serve us to evaluate whether this genetic variant is influencing on the lipid metabolism through BMI.
2. Materials and Methods
2.1. Participants and Study Design
This study included 153 participants and they were subdivided into two groups based on their BMI. Of these participants, 91 were overweight/obese (BMI ≥ 25 kg/m2) and 62 were non-obese (BMI < 25 kg/m2). The weight of all participants was stable in the last six months prior to participation in the study. The exclusion criteria were patients who had diabetes mellitus, acute or chronic inflammatory diseases, renal and infectious diseases, patients who had received treatment that altered their glucose metabolism such as metformin and lipid profile as statins, had altered other metabolic parameters, or consumed >20 g of ethanol/day. All participants were anonymized prior to typing and gave their written informed consent. The study was performed in accordance with the “Declaration of Helsinki” and approved by the Ethics Committees of “Virgen de la Victoria” University Hospital (Málaga, Spain).
2.2. Biochemical Determination
Blood samples were obtained from the antecubital vein and placed in ethylenediaminetetraacetic acid (EDTA) vacutainer tubes. Serum glucose, total cholesterol, triglycerides, and HDL were measured in a Dimension autoanalyzer (Dade Behring Inc., Newark, DE, USA) by enzymatic methods (Randox Laboratories Ltd., Ardmore, Crumlin, UK). Insulin was measured by radioimmunoassay (RIA) (BioSource International, Camarillo, CA, USA). LDL was calculated from the Friedewald equation. The measurement of HbA1c was performed by high performance liquid chromatography (Adams A1C, HA-8160, ARKRAY Kyoto, Japan), and the standardization was carried out according to the criteria of the National Glycohemoglobin Standardization Program [25]. The APOA1 circulating levels was measured by the immunoturbidimetric method according to the manufacturer’s instructions (DiaSys, Holzheim, Germany). Homeostasis model assessment of insulin resistance (HOMA-IR) was calculated with the following formula: HOMA-IR = fasting insulin (μIU/mL) × fasting glucose (mmol/L)/22.5 [26].
2.3. DNA Extraction and Genotyping
Genomic DNA was extracted from 200 μL peripheral blood by using a Qiamp DNA Blood mini kit (Qiagen GmbH, Hilden, Germany) according to the manufacturer’s instructions. DNA purity was measured by the A260/A280 and A260/A230 ratios. The information of the APOA2 rs3613827 SNP was provided by the SNPedia Database System http://www.snpedia.com, dbSNP and Ensembl 2018 [27,28]. The SNP assays were performed using Allele Specific Quantitative PCR. The reaction mixture contained 10 µL 2X SYBR® Premix Ex Taq™ II (TliRNaseH Plus) (Takara Bio, Inc., Madrid, Spain), 1 pM of each forward specific allele primers (wild type: 5′-GCGAATAGTTCTGCTAGA-3′ and mutant type: 5′-GCGAATAGTTCTGCTATA-3′) and common reverse primers (5′-TTCTGGAGGTCTACATCT-3′), 1 ng of template DNA, and nuclease free water making the final volume 20 µL. Polymerase chain reaction was performed using Eppendorf Mastercycler Realplex (Eppendorf, Madrid, Spain), under the following reaction conditions: 95 °C for 30 s followed by cycling for 40 cycles of denaturation at 95 °C for 5 s, and annealing and extension at 64 °C for 30 s. Cycle threshold (Ct) value and melt curve were used to determine the genotype of the sample. The allelic discrimination was verified using 1.5% agarose gel electrophoresis.
2.4. Bioinformatic Analysis
The predicted function of the rs3813627 APOA2 SNP was examined by RegulomeDB, HaploReg, rSNPBase, SNP Function Prediction (FuncPred), PROMO software and PhenoScanner [29,30,31,32,33,34]. RegulomeDB is a database that includes relevant information about SNPs. This information shows predicted regulatory elements, DNase hypersensitivity, binding sites of transcription factors, and promoter regions. These SNP annotations are provided from gene expression omnibus (GEO), the encyclopedia of DNA element (ENCODE) project, and other published literatures. HaploReg is a tool for exploring variants associated with a phenotype, using linkage disequilibrium (LD) information, effect of regulatory motif and expression quantitative trait loci (eQTL) studies, and others. rSNPBase is a database of curated regulatory SNPs. FuncPred was used to study the regulatory potential of SNPs. This tool uses the TRANSFAC database on potential transcription factor recognition sites. We have also examined the association between the rs3813627 APOA2 SNP and the expression levels of APOA2 in many human tissues in the genotype tissue expression (GTEx) portal. PhenoScanner is a curated database holding publicly available results from large-scale genome-wide association studies. This database provides relationships between genetic variants with a broad range of phenotypes, as gene expression.
2.5. Statistical Analyses
Continuous variables are shown as the mean and standard deviation. Normality was assessed with the Kolmogorov–Smirnov test. Differences between qualitative variables and the Hardy–Weinberg equilibrium (HWE) were tested using χ2 test. The comparisons between non-obese and overweight/obese individuals were made using Welch’s two sample t-test for variables following a normal distribution. The comparisons between genotypes for parametric variable were performed using Welch’s two sample t-test as we found unequal variances and differing sample size. The Kruskal–Wallis test was used to evaluate the difference between groups for variables not following a normal distribution. Pearson’s correlation coefficients were calculated to evaluate the association between the study variables in the whole population. Odds ratio (OR) and 95% confidence intervals (CI) were estimated by multivariant logistic regression models to assess the association of the APOA2 rs3813627 TT risk genotype with low HDL and APOA1 levels in the overweight/obese group. Model 1 was carried out without adjustment and Model 2 was adjusted by sex. The APOA2 rs3813627 GG genotype was considered as the reference category. Lastly, we assessed whether the APOA2 rs3613827 TT risk genotype was associated with low levels of HDL and APOA1, and whether this association was mediated by BMI. To test this, we conducted a causal mediation analysis, testing whether this association significance between APOA2 rs3613827 SNP and HDL and APOA1 levels was mediated via BMI, on the overweight/obese individuals. Significance of the mediation effect was performed using 5000 bootstrapped iterations mean indirect and direct effect, where the model was adjusted by sex. Statistical analyses were performed using RStudio software version 2.8.1. [35].
3. Results
3.1. Characteristics of the Study Population and Genotype Frequencies
The baselines characteristics of the non-obese (n = 62) and overweight/obese groups (n = 91) are shown in Table 1. While there were no significant differences in age, sex, total cholesterol, and LDL between both groups, overweight/obese subjects showed significantly increased values of anthropometric variables as weight, waist, hip, waist-to-hip ratio (WHR), and BMI as compared with the non-obese individuals (p < 0.05). The overweight/obese group also showed significantly higher values of fasting glucose, glycated hemoglobin (Hb1Ac), fasting insulin, HOMA-IR, and triglycerides, and s significantly decreased value of HDL as compared with the non-obese individuals (p < 0.05).
Table 1.
General data and characteristics of all subjects.
The frequencies of the APOA2 rs3813627 SNP of all subjects, non-obese and overweight/obese individuals, are summarized in Table 2. The rs3813627 allele and genotype distributions did not deviate from the Hardy–Weinberg equilibrium for all groups (p = 0.22 for all subjects, p = 0.42 for non-obese individuals and p = 0.35 for overweight/obese individuals). The minor allele frequencies of the APOA2 rs3813627 polymorphism were 0.36 for the whole population, 0.37 for the non-obese group, and 0.35 for overweight/obese group. Non-significant differences were found among the genotype and allele frequencies according to the non-obese and overweight/obese groups (Table 2).
Table 2.
Genotypic and allelic frequencies APOA2 rs3813627 polymorphism.
3.2. Analysis of the Association between the APOA2 rs3813627 SNP and HDL and APOA1 Levels
In a first step, we tested whether the APOA2 rs3813627 SNP was associated with anthropometric variables, glucose, and lipid metabolism and compared the APOA2 rs381362 risk genotype with the normal APOA2 rs3813627 genotypes. The complete analysis comparing the GG, GT, GG + GT versus TT allele of all subjects, non-obese, and overweight/obese individuals is summarized in the Table 3 and Table 4.
Table 3.
General data of all subjects according to the APOA2 rs3813627 genotypes.
Table 4.
General data of all subjects according to the APOA2 rs3813627 genotypes and body mass index (BMI).
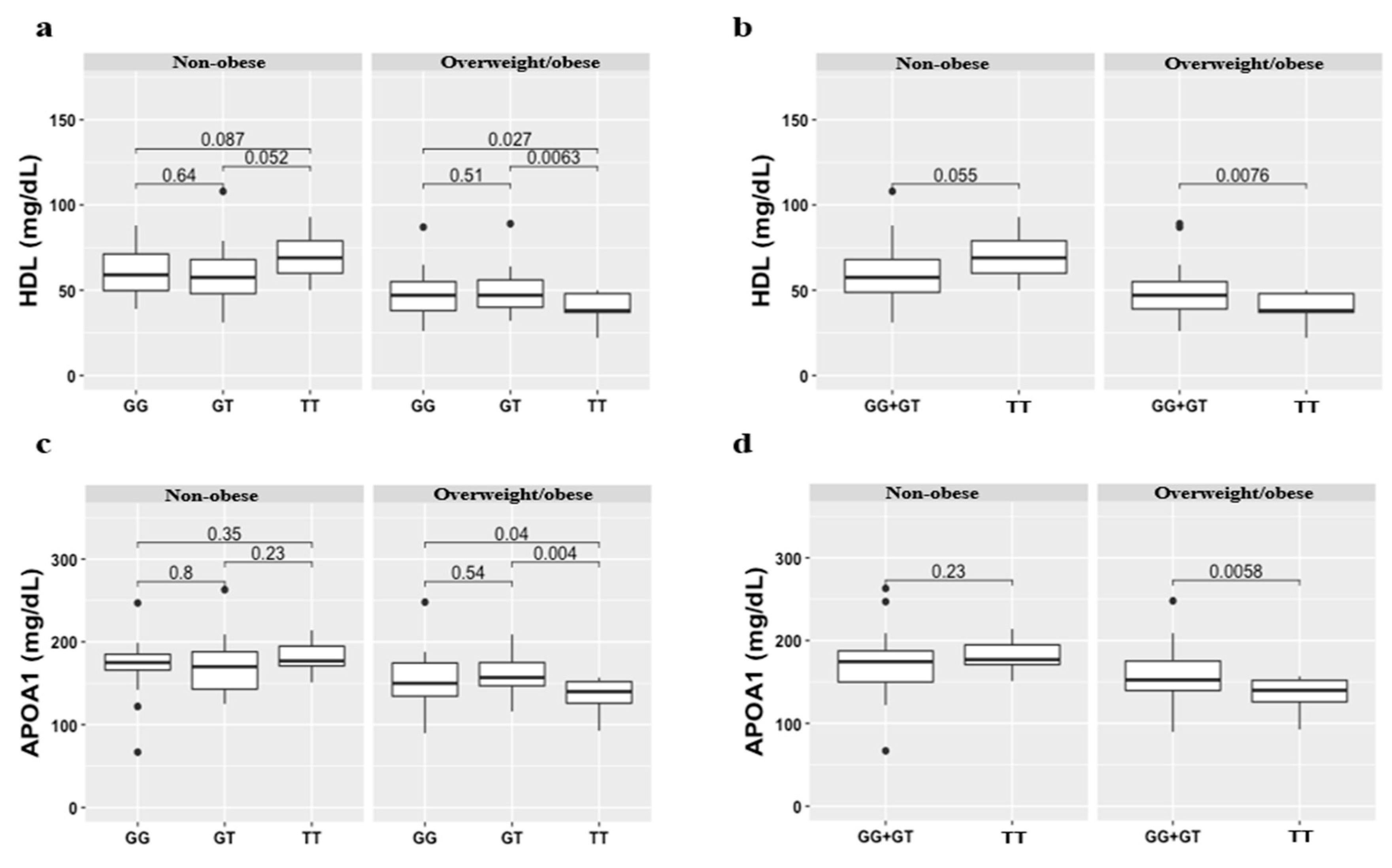
Overall, we observed that the APOA2 rs381362 risk genotype (genotype TT) was associated with low levels of HDL in the overweight/obese individuals. The HDL value of individuals that had the TT genotype was significantly decreased (40.08 mg/dL) as compared with individuals carrying the GG (46.85 mg/dL), GT (48.59 mg/dL), and GG + GT (47.68 mg/dL) genotype (p < 0.05) (Figure 1a,b). However, no significant differences were observed for the HDL value in the non-obese individuals that had the TT genotype as comparing with individuals carrying the GG, GT, and GG + GT genotype (Figure 1a,b and Table 4). Moreover, we also observed that the APOA2 rs381362 risk genotype was associated with low levels of APOA1 in the overweight/obese individuals. The APOA1 levels of individuals that had the TT genotype was significantly decreased (136.58 mg/dL) as compared with individuals carrying the GG (153.19 mg/dL), GT (157.84 mg/dL), and GG + GT (155.43 mg/dL) genotype (p < 0.05) (Figure 1c,d and Table 4). When compared the risk and normal genotypes in non-obese individuals, we did not find significant differences in APOA1 levels (Figure 1c,d, Table 3, and Table 4).
Figure 1.
High density lipoprotein (HDL) and APOA1 levels according to the APOA2 rs3813627 genotypes in non-obese and overweight/obese individuals. (a,b) Representation of HDL levels according to the APOA2 rs3813627 genotype in non-obese (n = 62) (BMI < 25 kg/m2) (GG = 26, GT = 26, GG + GT = 54, and TT = 10) and overweight/obese (n = 91) (BMI ≥ 25 kg/m2) individuals (GG = 41, GT = 37, GG + GT = 78, and TT = 13); (c,d) Representation of APOA1 levels according to the APOA2 rs3813627 genotype in non-obese (n = 52) (GG = 21, GT = 23, GG + GT = 44, and TT = 8) and overweight/obese individuals (n = 65) (GG = 27, GT = 25, GG + GT = 52, and TT = 13). Results are presented as means ± S.D. p-value indicates significant difference between genotypes according to Welch’s two sample t-test (p < 0.05). Abbreviations: HDL, high density lipoprotein; APOA1, apolipoprotein type A1; APOA2, apolipoprotein type A2.
This relationship between HDL and APOA1 levels and the APOA2 rs3813627 SNP was also evaluated through Pearson′s correlation analysis in the overweight/obese individuals using rs3813627 recessive model (GG + GT and TT). Under recessive model, the APOA2 rs3813627 variant was significantly correlated with HDL (r = −0.233 and p = 0.026) and APOA1 (r = −0.284 and p = 0.022) levels under a negative correlation (Figure 2a,b).
Figure 2.
Correlation analysis between the APOA2 rs3813627 SNP and HDL and APOA1 levels. Correlation between the APOA2 rs3813627 polymorphism and (a) HDL (n = 91) and (b) APOA1 (n = 65) levels under recessive model (GG + GT and TT) in overweight/obese (BMI ≥ 25 kg/m2) individuals according to the Pearson’s correlation test (p < 0.05). Abbreviations: BMI, body mass index; HDL, high density lipoprotein; APOA1, apolipoprotein type A1; APOA2, apolipoprotein type A2.
We further analyzed the association between the APOA2 rs3813627 risk genotype and the risk of low value of HDL and APOA1 under four genetic models (overdominant, dominant, recessive, and additive) in overweight/obese individuals using multivariant logistic regression analysis to estimate the OR and 95% CI of this association. APOA2 rs3813627 SNP was not associated with BMI in any model and after adjusting by sex (data not shown). However, we observed that this polymorphism was associated with low HDL levels under recessive model (genotype TT: OR = 3.76, CI 95% 1.11–12.71, p = 0.030). After adjusting by sex, this association remained statistically significant (genotype TT: OR = 3.76, CI 95% 1.09–13.02, p = 0.033). We also found that rs3813627 was significantly associated with an increased risk of low APOA1 levels, under recessive model (genotype TT: OR = 3.89, CI 95% 1.10–13.81, p = 0.035) and after adjusting by sex (genotype TT: OR = 3.94, CI 95% 1.11–14.80, p = 0.034). In the codominant, dominant and log-additive model, we observed that these models were not significantly associated with low HDL and APOA1 levels (Table 5).
Table 5.
Genotypic and allelic frequencies APOA2 rs3813627 polymorphism.
3.3. The Mediation Effect of the BMI on HDL and APOA1 Levels
To clarify the relationship between the APOA2 rs3813627 SNP, low HDL, and APOA1 levels and BMI, we tested whether TT risk genotype in the overweight/obese individuals was associated with low HDL and APOA1 levels and whether these effects were mediated via BMI. To test this idea, we applied causal mediation analysis. The significance of the mediation effect was determined using bootstrapping iterations, where each path of the model was adjusted by sex (Figure 3). We found in this model that the APOA2 rs3813627 SNP was not significantly associated with BMI (a, as direct effect of rs3813627 on BMI: a = 4.55 ± 2.42, p = 0.063). In addition, BMI was significantly associated with low HDL levels (b, as direct effect of BMI on HDL levels: bHDL = −0.36 ± 0.14, p = 0.013). We observed that the total effect (c, as total effect of rs3813627 on HDL through BMI) was significantly associated (cHDL = −7.19 ± 3.22, p = 0.027). However, the APOA2 rs3813627 SNP was not associated with low HDL levels removing the effect of the BMI (c´, as direct effect of rs3813627 on HDL removing BMI: c´HDL = −4.53 ± 3.04, p = 0.090). Supporting our results, the analyses revealed a significant mediating effect with BMI as mediator, and APOA2 rs3813627 SNP as predictor on the HDL levels (20% of the mediation effect, index = −1.69 ± 1.39 (CI: −5.78–(−0.4)), p = 0.000). The effect was considered a full mediation, since the direct effect of the APOA2 rs3813627 risk genotype on HDL was not significant (see c´) in the absence of the mediator.
Figure 3.
Causal mediation model of the total effect of APOA2 rs3813627 on HDL and APOA1 levels through BMI. The mediation effect of APOA2 rs3813627 risk genotype carriage on low HDL and APOA1 levels through BMI (assessed on the overweight/obese individuals, n = 95 subjects for HDL and n = 65 for APOA1) after adjusting by sex. Path-weights are displayed as beta values with standard errors in brackets. Asterisks indicate significant p-values (* p < 0.05). Significance of the indirect effect was determined using mean bootstrapped. (a) Direct effect of rs3813627 on BMI; (b) Direct effect of BMI on parameters (HDL and APOA1 levels); (c) Total effect of rs3813627 on parameters (HDL and APOA1 levels) through BMI; (c´) Direct effect of rs3813627 on parameters (HDL, and APOA1 levels) removing BMI. Abbreviations: BMI, body mass index; HDL, high density lipoprotein; APOA1, apolipoprotein type A1.
On the other hand, BMI was negatively associated with low APOA1 levels (b, as direct effect of BMI on APOA1 levels: bAPOA1 = −1.42 ± 0.31, p = 0.000). The total effect of the APOA2 rs3813627 SNP through BMI on low APOA1 levels was significantly associated (c, as total effect of rs3813627 on APOA1 through BMI: cAPOA1 = −23.98 ± 7.42, p = 0.002). Moreover, rs3813627 was significantly associated with low APOA1 levels without the effect of the BMI (c´, as direct effect of rs3813627 on APOA1 removing BMI: c´APOA1 = −17.08 ± 6.84, p = 0.014). Summarizing these results, the analyses revealed a significant mediating effect with BMI as mediator, and APOA2 rs3813627 SNP as predictor on the APOA1 levels (28% of the mediation effect, index = −6.91 ± 4.04 (CI: −16.39–(−0.77)), p = 0.000). The effect was considered a partial mediation, since the direct effect of the APOA2 rs3813627 risk genotype on HDL was significant (see c´) in the absence of the mediator.
3.4. Bioinformatic Analysis: rs3813627 Is Likely to Affect Binding to Transcription Factors
The rs3813627 APOA2 SNP is a noncoding variant, since it is situated in the promoter region of the APOA2 gene (Figure 4). We examined the potential functional effect of this SNP in various databases. RegulomeDB uses a score system ranging from 1 to 7, where a score of 1 shows the strongest evidence of affect to binding to transcription factors. A score of 7 shows the least evidence of being SNP functional. RegulomeDB assigns rs3813627 a score of 2a. The score 2a represents that rs3813627 is related to transcription factor binding, any motif, DNase footprints, and DNase sensitivity, which means that there is binding evidence to likely affect binding to transcription factors, and it is related to functional consequences. In addition, rs3813627 lies in the promoter of APOA2 and overlaps motifs for several bound transcription factors including transducin beta-like 1 X-linked receptor 1 (TBL1XR1), androgen receptor (AR), and heat shock transcription factor 1 (HSF1) (Table 6 and Figure 4). Using HaploReg, we found that there are six SNPs in LD (r2 > 0.8) with rs3813627. These SNPs also overlap promoter marks, DNase sensitivity, and enhancer marks for several cell lines. Between them, there is a SNP that overlaps a transcription factor binding sites, as rs3829793, a SNP also situated in the APOA2 promoter, and rs3829793 is a candidate as it overlaps regulatory marks in the most cell lines. It also disrupts several motifs and binds various transcription factors.
Figure 4.
The position of rs3813627 is highlighted in light blue, showing that rs3813627 is in the promoter region of APOA2 and overlaps several DNase hypersensitivity clusters and TBL1XR1 transcription factor determined by experimental procedures (ENCODE project). The red bar shows the position of the SNP on the chromosome. The blue color shows the position of the genes. The black and gray color show the binding sites of the transcription factors throughout the sequence.
Table 6.
Transcription factors and motifs overlapping the rs3813627 APOA2 SNP.
In addition to RegulomeDB and HaploReg, we also examined rs3813627 in the rSNPBase and GTEx portal; rSNPBase confirmed that rs3813627 was in LD with several SNPs and was related with proximal regulation of APOA2, through binding with several transcription factors. In addition, rSNPBase and GTEx portal reported that rs3813627 was candidate to be an eQTL for APOA2 (Table 5). Furthermore, rs3813627 was also related with APOA2 expression, as suggests the PhenoScanner tool. Data about all of the database is summarized in Table 6.
4. Discussion
Multiple epidemiological studies have shown that low levels of HDL and APOA1 are considered an independent and traditional risk factor of several diseases including coronary artery diseases, metabolic syndromes, dyslipidemias, and multiple cancer types [43,44,45,46,47]. During the last few years, great efforts have been made to discover new candidate genes and several genetic variations that determine the HDL levels. However, the role of several of these genes and variants remains unknown [5]. Moreover, HDL is a complex trait that involves interactions between multiple genes that interact with each other and with their environmental factors.
The main finding of this study was that this is the first evidence that the APOA2 rs3813627 polymorphism was associated with low HDL and APOA1 levels, in overweight/obese individuals, but this association was not found in the non-obese individuals. Our results are consistent with previous studies conducted in the Veterans Affairs HDL Intervention Trial (VA-HIT) and controls selected from the Framingham Offspring Study (FOS) in the American population. These studies showed an association between susceptibility TT genotype of the APOA2 rs3813627 variant and low HDL-c levels related to coronary heart diseases, but did not include the BMI as a risk factor, as we have shown in our results [19,24]. Within the overweight/obese participants, a significant association was found between reduced HDL and APOA1 levels and the TT genotype. In this study, the APOA2 rs3813627 risk genotype had an increased risk effect of low HDL (OR = 3.76 and p = 0.033) and APOA1 levels (OR = 4.94 and p = 0.034) levels. Our findings support the hypothesis that APOA2 rs3813627 SNP is associated with low HDL levels. However, we have contributed by suggesting that the BMI could be involved in an effect/interaction/association between the genetic basis of the APOA2 rs3813627 SNP to determine the susceptibility of the HDL metabolism. These data are also interesting from a genetic variant perspective, highlighting a strong association with the capacity of the genetic basis of the HDL levels, and also providing new insights into the gene-environmental analysis.
Indeed, APOA2 plays a complex role in lipoprotein metabolism and HDL size and consecutively concentrations. The exact function is still uncertain but it can increase the structural stability of the HDL particles and participates in the determination of the correct and functional size of the HDL complex. This stability is achieved, in part, by its participation in the modulation of the metabolic enzymes activity and its ability to compete for the HDL surface with APOA1 [7,13,48,49]. Additionally, previous studies have demonstrated that the variation of the APOA2 gene expression was associated with the size and heterogeneity of the HDL particles, suggesting that HDL particle size depends on APOA2 concentrations [15,16].
The expression of APOA2 gene and the correlated APOA2 protein quantity in plasma could explain the HDL levels because of the heterogeneity of the size and quantity of the HDL particles. Our second major finding was that the association between the APOA2 rs3813627 variant and low HDL and APOA1 levels was mediated via BMI. This suggests that the APOA2 rs3813627 risk genotype contributes to reduced HDL and APOA1 levels in overweight/obese individuals, resulting in an increased risk and susceptibility to disorders related to low HDL and APOA1 levels. Our mediation analysis also suggests that there is a novel mechanism underlying the established association between HDL and BMI in large epidemiological studies. However, many determinants were not clarified because genetic variants only explain a small fraction of HDL variance. Here, we found a novel strategy in which an increased BMI has a full mediation effect of reduced HDL and a partial mediation effect on the APOA1 levels and the APOA2 rs3613827 variant as predictor. Still, it is unclear whether APOA2 is a cause or consequence of low HDL and APOA1 levels through BMI. Our current results suggest that the APOA2 rs3813627 risk genotype is associated with low HDL and APOA1 levels, but an increased BMI seems to have an interesting effect of low HDL and APOA1 levels when the risk genotype is present.
The mechanism by which rs3613827 affects HDL-c metabolism and levels is still unknown. The transcription of the APOA2 gene is controlled by regulatory elements in the promoter region, located between nucleotides −903 to −33 with respect to the transcription start site. The promoter regulatory elements can be categorized as four proximal (A to CD), four middle (D to H), and six distal (I to N) elements, but the liver-specific expression of APOA2 gene is mediated by the heat-stable protein upstream stimulatory factors (USF) 1 and 2, the CCAAT enhancer-binding protein (C/EBP), and the heat-labile factor AIIABI transcription factors [50,51,52]. The bioinformatic analysis performed in this study revealed that the variant site of the rs3813627 polymorphism, situated upstream at the position −1730 from the APOA2 gene promoter, is a binding site for multiple transcription factors. The fact that rs3813627 mediates the binding of several transcription factors could indicate its role as a regulatory element, in turn, resulting in changes in gene expression of APOA2. Nevertheless, experimental assays are needed to confirm this bioinformatic analysis. The molecular mechanism underlying the association between APOA2 SNP variants and low HDL and APOA1 levels are not yet known. With respect to the link between APOA2 and HDL levels, previous studies have been carried out in APOA2 rs5082 SNP and showed a decreased expression profile of up to 30% in gene expression and lower plasma concentrations of APOA2 as compared with wild genotypes. In addition, rs5082 was involved in the regulation of dietary intake and a lower postprandial response. These findings can partially explain the role of APOA2 in the metabolism of lipids in obese patients and can identify a population at risk to mitigate the gene effect of risk polymorphisms [17,23] (Table 7).
Table 7.
General information about SNPs in APOA1 and APOA2 on lipid traits.
Although the current findings suggest that APOA2 rs3813627 was associated with low HDL and APOA1 levels, we caution that other mechanisms could contribute to an increased risk of decreased levels of HDL and APOA1. The variability of the concentrations and heterogeneity of HDL in overweight/obese individuals could be the result of a number of metabolic changes [53]. These changes could be produced by increasing fractional clearance of HDL secondary to reduced cholesterol content, and reducing production of the main apoprotein in HDL complex, such as APOA1 and APOA2 [54]. The effect of obesity on HDL and APOA1 levels could be modulated by lipid and glucose metabolism from dietary consumption. The quantity of these nutrients could modulate the gene expression of APOA1, and therefore, specific nutrients could have a significant effect on plasma HDL concentration. The role of APOA2 in obesity could be explained by promoting and inhibiting cholesterol efflux controlled by the enzymatic activity. In fact, the concentration of plasma APOA2 in overweight/obese individual could partially explain the variability of size and concentration of HDL particles. Understanding the mechanisms of low HDL in obesity would help in the development of interventions that could reduce the risk of low-HDL and associated metabolic disease in individuals with an increased BMI.
Regarding limitations of our research, it is necessary to replicate the study in other cohorts and validate the results through experimentation, measuring the size of the HDL particles, the APOA2 plasma concentration, and the rate of APOA2 gene expression, as well as increase the sample size of our population study. Despite all these limitations, this study was a singular and first attempt to investigate the relation between HDL and APOA2 polymorphism in overweight/obese individuals. Our data could be helpful for detecting high-risk genotypes, designing screening programs, and providing dietary suggestions to prevent low HDL in overweight and obese. Although the retrospective nature of this study generates hypothesis, it is also one of its limitations and further mechanistic studies are required in order to more clearly determine an association versus true causality of the APOA2 variant (genotype TT) on HDL-c concentrations. Finally, given the characteristics of our cohort, the data presented in this study did not adjust for other factors that alter the plasma concentrations of HDL, such as the type of diet, physical exercise, or smoking.
5. Conclusions
In conclusion, we have shown that the presence of the TT genotype of the APOA2 rs3813627 polymorphism was associated with an increased risk of low HDL and APOA1 levels in overweight/obese individuals. This effect was fully mediated by BMI for HDL and partially mediated by BMI for APOA1 levels. The effect of rs3813627 could affect the variation of APOA2 expression rate, however, future studies are needed to confirm these observations.
Author Contributions
Conceptualization, M.M.-G. and S.M.; methodology, H.B.; software, B.B.-M., H.B., N.M.-M., and P.H.-A.; validation, M.M.-G. and S.M.; formal analysis, H.B. and P.H.-A.; investigation, H.B.; resources, J.L. and F.J.T.; writing—original draft preparation, H.B.; writing—review and editing, B.B.-M., M.M.-G., S.M., and P.H.-A.; visualization, H.B. and M.M.-G.; supervision, F.J.T. and M.M.-G.; project administration: M.M.-G.; funding acquisition, J.L., M.M.-G., and S.M. All authors have read and agreed to the published version of the manuscript.
Funding
This study was supported by the “Centros de Investigación En Red” (CIBER, CB06/03/0018) of the “Instituto de Salud Carlos III” (ISCIII) and grants from ISCIII (PI18/01399; PI15/01350), grants from the Ministry of Economy and Competitiveness (SAF2010-20203) and co-financed by the European Regional Development Fund (FEDER). MMG was the recipient of the Nicolas Monardes Programme from the “Servicio Andaluz de Salud, Junta de Andalucia”, Spain (RC-0001-2018 and C-0029-2023). PHA is supported by a postdoctoral fellowship (Juan de la Cierva-Formación, FJCI-2017-32205). S.M. was the recipient of the Nicolas Monardes Program from the “Servicio Andaluz de Salud, Junta de Andalucía”, Spain (C-0050-2017).
Conflicts of Interest
The authors declare no conflict of interest.
References
- Igartua, C.; Mozaffari, S.V.; Nicolae, D.L.; Ober, C. Rare non-Coding variants are associated with plasma lipid traits in a founder population. Sci. Rep. 2017. [Google Scholar] [CrossRef] [PubMed]
- Teslovich, T.M.; Musunuru, K.; Smith, A.V.; Edmondson, A.C.; Stylianou, I.M.; Koseki, M.; Pirruccello, J.P.; Ripatti, S.; Chasman, D.I.; Willer, C.J.; et al. Biological, clinical and population relevance of 95 loci for blood lipids. Nature 2010. [Google Scholar] [CrossRef] [PubMed]
- Cole, C.B.; Nikpay, M.; McPherson, R. Gene-Environment interaction in dyslipidemia. Curr. Opin. Lipidol. 2015. [Google Scholar] [CrossRef] [PubMed]
- Klop, B.; Elte, J.W.F.; Cabezas, M.C. Dyslipidemia in Obesity: Mechanisms and Potential Targets. Nutrients 2013, 5, 1218–1240. [Google Scholar] [CrossRef]
- Boes, E.; Coassin, S.; Kollerits, B.; Heid, I.M.; Kronenberg, F. Genetic-Epidemiological evidence on genes associated with HDL cholesterol levels: A systematic in-depth review. Exp. Gerontol. 2009. [Google Scholar] [CrossRef]
- Rader, D.J. Molecular regulation of HDL metabolism and function: Implications for novel therapies. J. Clin. Investig. 2006. [Google Scholar] [CrossRef]
- Tailleux, A.; Duriez, P.; Fruchart, J.C.; Clavey, V. Apolipoprotein A-II, HDL metabolism and atherosclerosis. Atherosclerosis 2002. [Google Scholar] [CrossRef]
- Puppione, D.L.; Whitelegge, J.P.; Yam, L.M.; Schumaker, V.N. Mass spectral analysis of pig (Sus scrofa) apo HDL: Identification of pig apoA-II, a dimeric apolipoprotein. Comp. Biochem. Physiol.-B Biochem. Mol. Biol. 2005. [Google Scholar] [CrossRef]
- Deeb, S.S.; Takata, K.; Peng, R.L.; Kajiyama, G.; Albers, J.J. A splice-Junction mutation responsible for familial apolipoprotein A.-II deficiency. Am. J. Hum. Genet. 1990, 46, 822–827. [Google Scholar]
- Koike, T.; Kitajima, S.; Yu, Y.; Li, Y.; Nishijima, K.; Liu, E.; Sun, H.; Waqar, A.B.; Shibata, N.; Inoue, T.; et al. Expression of human ApoAII in transgenic rabbits leads to dyslipidemia: A new model for combined hyperlipidemia. Arterioscler. Thromb. Vasc. Biol. 2009. [Google Scholar] [CrossRef]
- Weng, W.; Breslow, J.L. Dramatically decreased high density lipoprotein cholesterol, increased remnant clearance, and insulin hypersensitivity in apolipoprotein A-II knockout mice suggest a complex role for apolipoprotein A-II in atherosclerosis susceptibility. Proc. Natl. Acad. Sci. USA 2002. [Google Scholar] [CrossRef] [PubMed]
- Allayee, H.; Castellani, L.W.; Cantor, R.M.; de Bruin, T.W.A.; Lusis, A.J. Biochemical and genetic association of plasma apolipoprotein A-II levels with familial combined hyperlipidemia. Circ. Res. 2003. [Google Scholar] [CrossRef] [PubMed]
- Castellani, L.W.; Goto, A.M.; Lusis, A.J. Studies with apolipoprotein A-II transgenic mice indicate a role for HDLs in adiposity and insulin resistance. Diabetes 2001. [Google Scholar] [CrossRef]
- Warden, C.H.; Hedrick, C.C.; Qiao, J.H.; Castellani, L.W.; Lusis, A.J. Atherosclerosis in transgenic mice overexpressing apolipoprotein A-II. Science (80-.) 1993. [Google Scholar] [CrossRef] [PubMed]
- Marzal-Casacuberta, A.; Blanco-Vaca, F.; Ishida, B.Y.; Julve-Gil, J.; Shen, J.; Calvet-Márquez, S.; González-Sastre, F.; Chan, L. Functional lecithin:cholesterol acyltransferase deficiency and high density lipoprotein deficiency in transgenic mice overexpressing human apolipoprotein A-II. J. Biol. Chem. 1996, 271, 6720–6728. [Google Scholar] [CrossRef] [PubMed]
- Schultz, J.R.; Gong, E.L.; McCall, M.R.; Nichols, A.V.; Clift, S.M.; Rubin, E.M. Expression of human apolipoprotein A-II and its effect on high density lipoproteins in transgenic mice. J. Biol. Chem. 1992, 88, 434–438. [Google Scholar]
- Corella, D.; Arnett, D.K.; Tsai, M.Y.; Kabagambe, E.K.; Peacock, J.M.; Hixson, J.E.; Straka, R.J.; Province, M.; Lai, C.Q.; Parnell, L.D.; et al. The-256T>C polymorphism in the apolipoprotein A-II gene promoter is associated with body mass index and food intake in the genetics of lipid lowering drugs and diet network study. Clin. Chem. 2007. [Google Scholar] [CrossRef]
- Zaki, M.E.; Amr, K.S.; Abdel-Hamid, M. Evaluating the association of APOA2 polymorphism with insulin resistance in adolescents. Meta Gene 2014. [Google Scholar] [CrossRef]
- Peloso, G.M.; Demissie, S.; Collins, D.; Mirel, D.B.; Gabriel, S.B.; Cupples, L.A.; Robins, S.J.; Schaefer, E.J.; Brousseau, M.E. Common genetic variation in multiple metabolic pathways influences susceptibility to low HDL-Cholesterol and coronary heart disease. J. Lipid Res. 2010. [Google Scholar] [CrossRef]
- Van’t Hooft, F.M.; Ruotolo, G.; Boquist, S.; De Faire, U.; Eggertsen, G.; Hamsten, A. Human evidence that the apolipoprotein A-II gene is implicated in visceral fat accumulation and metabolism of triglyceride-Rich lipoproteins. Circulation 2001. [Google Scholar] [CrossRef]
- Takada, D.; Emi, M.; Ezura, Y.; Nobe, Y.; Kawamura, K.; Iino, Y.; Katayama, Y.; Xin, Y.; Wu, L.L.; Larringa-Shum, S.; et al. Interaction between the LDL-Receptor gene bearing a novel mutation and a variant in the apolipoprotein a-II promoter: Molecular study in a 1135-member familial hypercholesterolemia kindred. J. Hum. Genet. 2002. [Google Scholar] [CrossRef] [PubMed]
- Lara-Castro, C.; Hunter, G.R.; Lovejoy, J.C.; Gower, B.A.; Fernández, J.R. Apolipoprotein A-II polymorphism and visceral adiposity in African-American and white women. Obes. Res. 2005. [Google Scholar] [CrossRef] [PubMed]
- Delgado-Lista, J.; Perez-Jimenez, F.; Tanaka, T.; Perez-Martinez, P.; Jimenez-Gomez, Y.; Marin, C.; Ruano, J.; Parnell, L.; Ordovas, J.M.; Lopez-Miranda, J. An apolipoprotein A-II polymorphism (-265T/C, rs5082) regulates postprandial response to a saturated fat overload in healthy men. J. Nutr. 2007. [Google Scholar] [CrossRef] [PubMed]
- Chen, S.N.; Cilingiroglu, M.; Todd, J.; Lombardi, R.; Willerson, J.T.; Gotto, A.M., Jr.; Ballantyne, C.M.; Marian, A.J. Candidate genetic analysis of plasma high-Density lipoprotein-Cholesterol and severity of coronary atherosclerosis. BMC Med. Genet. 2009. [Google Scholar] [CrossRef]
- Little, R.R. Glycated hemoglobin standardization-National Glycohemoglobin Standardization Program (NGSP) perpective. Clin. Chem. Lab. Med. 2003. [Google Scholar] [CrossRef]
- Matthews, D.R.; Hosker, J.P.; Rudenski, A.S.; Naylor, B.A.; Treacher, D.F.; Turner, R.C. Homeostasis model assessment: Insulin resistance and β-Cell function from fasting plasma glucose and insulin concentrations in man. Diabetologia 1985. [Google Scholar] [CrossRef]
- Zerbino, D.R.; Achuthan, P.; Akanni, W.; Amode, M.R.; Barrell, D.; Bhai, J.; Billis, K.; Cummins, C.; Gall, A.; Girón, C.G.; et al. Ensembl 2018. Nucleic Acids Res. 2018. [Google Scholar] [CrossRef]
- Sherry, S.T. dbSNP: the NCBI database of genetic variation. Nucleic Acids Res. 2001. [Google Scholar] [CrossRef]
- Messeguer, X.; Escudero, R.; Farré, D.; Núñez, O.; Martínez, J.; Albà, M.M. PROMO: Detection of known transcription regulatory elements using species-Tailored searches. Bioinformatics 2002. [Google Scholar] [CrossRef]
- Boyle, A.P.; Hong, E.L.; Hariharan, M.; Cheng, Y.; Schaub, M.A.; Kasowski, M.; Karczewski, K.J.; Park, J.; Hitz, B.C.; Weng, S.; et al. Annotation of functional variation in personal genomes using RegulomeDB. Genome Res. 2012. [Google Scholar] [CrossRef]
- Ward, L.D.; Kellis, M. HaploReg v4: Systematic mining of putative causal variants, cell types, regulators and target genes for human complex traits and disease. Nucleic Acids Res. 2016. [Google Scholar] [CrossRef]
- Xu, Z.; Taylor, J.A. SNPinfo: Integrating GWAS and candidate gene information into functional SNP selection for genetic association studies. Nucleic Acids Res. 2009. [Google Scholar] [CrossRef] [PubMed]
- Staley, J.R.; Blackshaw, J.; Kamat, M.A.; Ellis, S.; Surendran, P.; Sun, B.B.; Paul, D.S.; Freitag, D.; Burgess, S.; Danesh, J.; et al. PhenoScanner: A database of human genotype-Phenotype associations. Bioinformatics 2016. [Google Scholar] [CrossRef] [PubMed]
- Guo, L.; Du, Y.; Chang, S.; Zhang, K.; Wang, J. RSNPBase: A database for curated regulatory SNPs. Nucleic Acids Res. 2014. [Google Scholar] [CrossRef]
- RStudio Team. RStudio: Integrated Development for R. RStudio; RStudio, Inc.: Boston, MA, USA, 2015. [Google Scholar]
- Duesing, K.; Charpentier, G.; Marre, M.; Tichet, J.; Hercberg, S.; Balkau, B.; Froguel, P.; Gibson, F. Evaluating the association of common APOA2 variants with type 2 diabetes. BMC Med. Genet. 2009. [Google Scholar] [CrossRef] [PubMed]
- Smith, C.E.; Tucker, K.L.; Arnett, D.K.; Noel, S.E.; Corella, D.; Borecki, I.B.; Feitosa, M.F.; Aslibekyan, S.; Parnell, L.D.; Lai, C.-Q.; et al. Apolipoprotein A2 Polymorphism Interacts with Intakes of Dairy Foods to Influence Body Weight in 2 U.S. Populations. J. Nutr. 2013. [Google Scholar] [CrossRef] [PubMed]
- Noorshahi, N.; Sotoudeh, G.; Djalali, M.; Eshraghian, M.R.; Keramatipour, M.; Basiri, M.G.; Doostan, F.; Koohdani, F. APOA II genotypes frequency and their interaction with saturated fatty acids consumption on lipid profile of patients with type 2 diabetes. Clin. Nutr. 2016. [Google Scholar] [CrossRef] [PubMed]
- Al-Bustan, S.A.; Al-Serri, A.E.; Annice, B.G.; Alnaqeeb, M.A.; Ebrahim, G.A. Re-Sequencing of the APOAI promoter region and the genetic association of the -75G > A polymorphism with increased cholesterol and low density lipoprotein levels among a sample of the Kuwaiti population. BMC Med. Genet. 2013. [Google Scholar] [CrossRef]
- Phillips, C.M.; Goumidi, L.; Bertrais, S.; Field, M.R.; McManus, R.; Hercberg, S.; Lairon, D.; Planells, R.; Roche, H.M. Gene-Nutrient interactions and gender may modulate the association between ApoA1 and ApoB gene polymorphisms and metabolic syndrome risk. Atherosclerosis 2011. [Google Scholar] [CrossRef]
- Song, Y.Y.; Gong, R.R.; Zhang, Z.; Li, Y.H.; Fan, M.; Ou, G.J.; Fang, D.Z. Effects of apolipoprotein A1 gene rs670 and rs5069 polymorphisms on the plasma lipid profiles in healthy adolescents with different body mass index. Acta Acad. Med. Sin. 2014. [Google Scholar] [CrossRef]
- Song, Y.Y.; Gong, R.R.; Li, R.H.; Li, Y.J.; Zhang, Z.; Fang, D.Z. Effects of the + 83C/T polymorphism in apolipoprotein AI gene on the changes of serum biochemical traits of gluocse and lipid metabolism induced by high-Carbohydrate diets. J. Sichuan Univ. (Medical Sci. Ed.) 2011, 42, 32–36. [Google Scholar]
- Gordon, T.; Castelli, W.P.; Hjortland, M.C.; Kannel, W.B.; Dawber, T.R. High density lipoprotein as a protective factor against coronary heart disease. The Framingham study. Am. J. Med. 1977. [Google Scholar] [CrossRef]
- Mondul, A.M.; Weinstein, S.J.; Virtamo, J.; Albanes, D. Serum total and HDL cholesterol and risk of prostate cancer. Cancer Causes Control 2011. [Google Scholar] [CrossRef] [PubMed]
- Kucharska-Newton, A.M.; Rosamond, W.D.; Mink, P.J.; Alberg, A.J.; Shahar, E.; Folsom, A.R. HDL-Cholesterol and Incidence of Breast Cancer in the ARIC Cohort Study. Ann. Epidemiol. 2008. [Google Scholar] [CrossRef]
- Rosenson, R.S. Low HDL-C: A secondary target of dyslipidemia therapy. Am. J. Med. 2005. [Google Scholar] [CrossRef]
- Karadag, M.K.; Akbulut, M. Low HDL levels as the most common metabolic syndrome risk factor in heart failure. Int. Heart J. 2009. [Google Scholar] [CrossRef]
- Boucher, J.; Ramsamy, T.A.; Braschi, S.; Sahoo, D.; Neville, T.A.-M.; Sparks, D.L. Apolipoprotein A-II regulates HDL stability and affects hepatic lipase association and activity. J. Lipid Res. 2004. [Google Scholar] [CrossRef]
- Weng, W.; Brandenburg, N.A.; Zhong, S.; Halkias, J.; Wu, L.; Jiang, X.C.; Tall, A.; Breslow, J.L. ApoA-II maintains HDL levels in part by inhibition of hepatic lipase. Studies In apoA-II and hepatic lipase double knockout mice. J. Lipid Res. 1999, 40, 1064–1070. [Google Scholar]
- Zannis, V.I.; Kan, H.Y.; Kritis, A.; Zanni, E.; Kardassis, D. Transcriptional regulation of the human apolipoprotein genes. J. Control. Release 2001. [Google Scholar] [CrossRef]
- Le Beyec, J.; Benetollo, C.; Chauffeton, V.; Domiar, A.; Lafreniere, M.-J.; Chambaz, J.; Cardot, P.; Kalopissis, A.D. The -911/+29 sequence of human apolipoprotein A-II promoter is sufficient to confer liver restricted expression, developmental changes and response to a high fat diet in transgenic mice. Transgenics 1998, 2, 211–220. [Google Scholar]
- Cardot, P.; Chambaz, J.; Cladaras, C.; Zannis, V.I. Regulation of the human apoA-II gene by the synergistic action of factors binding to the proximal and distal regulatory elements. J. Biol. Chem. 1991, 266, 24460–24470. [Google Scholar] [PubMed]
- Wang, H.; Peng, D.-Q. New insights into the mechanism of low high-density lipoprotein cholesterol in obesity. Lipids Health Dis. 2011. [Google Scholar] [CrossRef] [PubMed]
- Mooradian, A.D.; Haas, M.J.; Wong, N.C.W. The effect of select nutrients on serum high-Density lipoprotein cholesterol and apolipoprotein A-I levels. Endocr. Rev. 2006. [Google Scholar] [CrossRef] [PubMed]
© 2020 by the authors. Licensee MDPI, Basel, Switzerland. This article is an open access article distributed under the terms and conditions of the Creative Commons Attribution (CC BY) license (http://creativecommons.org/licenses/by/4.0/).



