The TRPV1 Channel Modulator Imidazo[1,2-a]Indole Derivative Exhibits Pronounced and Versatile Anti-Inflammatory Activity In Vivo
Abstract
1. Introduction
2. Materials and Methods
2.1. Chemicals
2.2. Animals
2.3. Experimental Research In Vivo Models
2.3.1. Acute Exudative Inflammation
2.3.2. Acute Systemic Inflammation
2.3.3. Chronic Proliferative Inflammation
2.3.4. Chronic Immune Inflammation
2.4. Biochemical Analysis
2.5. Quantitative Real Time PCR
2.6. Statistical Analysis
3. Results
3.1. Effect of SV-1010 on Acute Exudative Inflammation
3.2. Effect of SV-1010 on Acute Systemic Inflammation
3.3. Effect of SV-1010 on Chronic Proliferative Inflammation
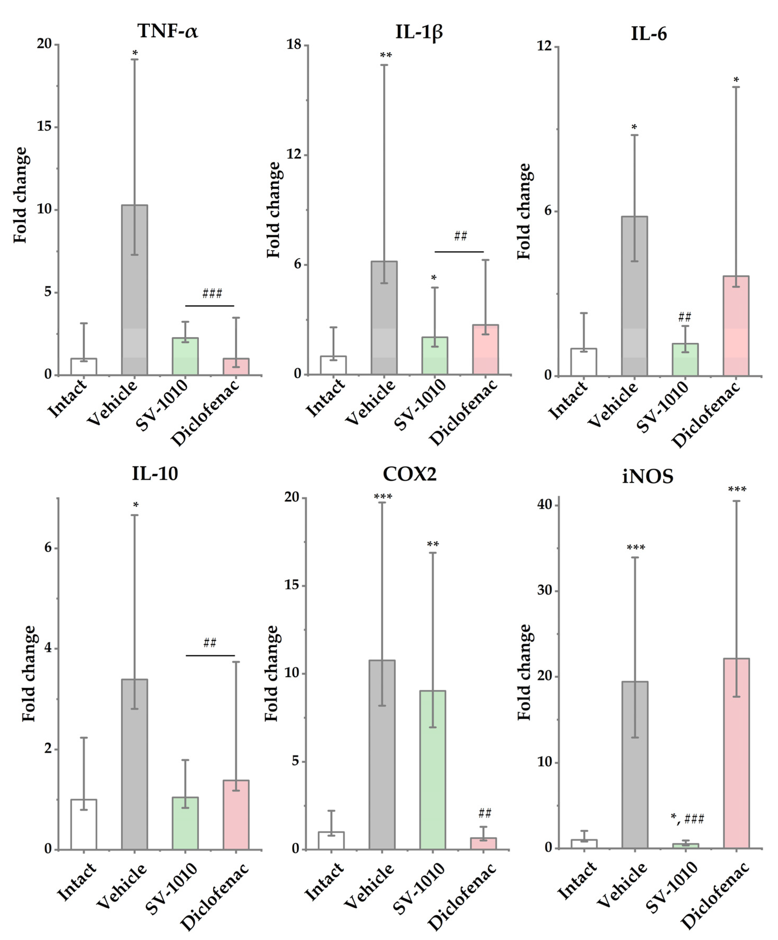
3.4. The Effect of SV-1010 on Chronic Immune Inflammation
4. Discussion
5. Conclusions
6. Patents
Supplementary Materials
Author Contributions
Funding
Institutional Review Board Statement
Informed Consent Statement
Data Availability Statement
Conflicts of Interest
Abbreviations
| AA | Arachidonic acid |
| AH | Aconitate hydratase |
| ANOVA | One-way analysis of variance |
| AST | Aspartate aminotransferase |
| BAS | Basophils |
| BChL | Biochemiluminescence parameters |
| cDNA | Complementary DNA |
| CFA | Complete Freund’s adjuvant |
| CIC | Circulating immune complexes |
| CK-MB | Creatine kinase-MB |
| COX-2 | Cyclooxygenase-2 |
| DCs | Diene conjugates |
| ED50 | Average effective dose |
| EOZ | Eosinophils |
| ESR | Erythrocyte sedimentation rate |
| GSH | Reduced glutathione |
| HGB | Hemoglobin |
| HTC | Hematocrit |
| i.g. | Intragastrically administration |
| Imax | Maximum flash intensity |
| iNOS | Inducible nitric oxide synthase |
| i.p. | Intraperitoneal injection |
| LD50 | Average lethal dose |
| LIM | Lymphocytes |
| LPS | Lipopolysaccharides |
| MON | Monocytes |
| NEU | Neutrophils |
| NSAIDs | Non-steroidal anti-inflammatory drugs |
| PCT | Plateletcrit |
| PGE2 | Prostaglandin E2 |
| PLT | Platelets |
| RA | Rheumatoid arthritis |
| RBC | Red blood cells |
| ROS | Reactive oxygen species |
| S | Chemiluminescence light sum |
| SI | Systemic inflammation |
| tgα2 | Tangent to the chemiluminescence curve |
| TI | Therapeutic index |
| TLR4 | Toll-like receptor 4 |
| TNF-α | Tumor Necrosis Factor alpha |
| TRPV1 | Transient receptor potential vanilloid type 1 channel |
| WBC | White blood cells |
References
- Soares, C.L.R.; Wilairatana, P.; Silva, L.R.; Moreira, P.S.; Vilar Barbosa, N.M.M.; da Silva, P.R.; Coutinho, H.D.M.; de Menezes, I.R.A.; Felipe, C.F.B. Biochemical aspects of the inflammatory process: A narrative review. Biomed. Pharmacother. 2023, 168, 115764. [Google Scholar] [CrossRef]
- Serhan, C.N. Pro-resolving lipid mediators are leads for resolution physiology. Nature 2014, 510, 92–101. [Google Scholar] [CrossRef] [PubMed]
- Zhang, Y.; Chen, H.; Zhang, W.; Cai, Y.; Shan, P.; Wu, D.; Zhang, B.; Liu, H.; Khan, Z.A.; Liang, G. Arachidonic acid inhibits inflammatory responses by binding to myeloid differentiation factor-2 (MD2) and preventing MD2/toll-like receptor 4 signaling activation. Biochim. Biophys. Acta-Mol. Basis Dis. 2020, 1866, 165683. [Google Scholar] [CrossRef]
- Martínez-Colón, G.J.; Moore, B.B. Prostaglandin E2 as a Regulator of Immunity to Pathogens. Pharmacol. Ther. 2018, 185, 135–146. [Google Scholar] [CrossRef] [PubMed]
- Guay, J.; Bateman, K.; Gordon, R.; Mancini, J.; Riendeau, D. Carrageenan-induced paw edema in rat elicits a predominant prostaglandin E2 (PGE2) response in the central nervous system associated with the induction of microsomal PGE2 synthase-1. J. Biol. Chem. 2004, 279, 24866–24872. [Google Scholar] [CrossRef] [PubMed]
- Calixto, J.B.; Cabrini, D.A.; Ferreira, J.; Campos, M.M. Kinins in pain and inflammation. Pain 2000, 87, 1–5. [Google Scholar] [CrossRef]
- Kim, M.; Sur, B.; Villa, T.; Yun, J.; Yeol, S.; Oh, S. Gintonin regulates in fl ammation in human IL-1 b -stimulated fi broblast-like synoviocytes and carrageenan/kaolin-induced arthritis in rats through LPAR2. J. Ginseng Res. 2021, 45, 575–582. [Google Scholar] [CrossRef]
- Facchin, B.M.; dos Reis, G.O.; Vieira, G.N.; Mohr, E.T.B.; da Rosa, J.S.; Kretzer, I.F.; Demarchi, I.G.; Dalmarco, E.M. Inflammatory biomarkers on an LPS-induced RAW 264.7 cell model: A systematic review and meta-analysis. Inflamm. Res. 2022, 71, 741–758. [Google Scholar] [CrossRef]
- Li, S.; Wang, S.; Yin, Y.; De, G.; Li, C.; Wang, Z.; Cao, W. Electroacupuncture alleviates zymosan-induced colorectal hypersensitivity. J. Tradit. Chin. Med. 2025, 45, 32–38. [Google Scholar]
- Galenko-Yaroshevsky, P.A.; Zelenskaya, A.V.; Suzdalev, K.F.; Chuyan, E.N.; Ravaeva, M.Y.; Murashko, R.A.; Glechyan, T.R.; Sergeeva, A.V.; Leychenko, E.V.; Chubinskiy-Nadezhdin, V.I.; et al. Analgesic activity of imidazo[1, 2-a]indole derivative and its involvement of TRPV1 and κ-opioid receptors. Res. Results Pharmacol. 2025, 11, 17–37. [Google Scholar]
- Suzdalev, K.F.; Vikrischuk, N.I.; Prikhodko, K.A.; Shasheva, E.Y.; Kurbatov, S.V.; Bogus, S.K.; Galenko-Yaroshevsky, P.A. Synthesis of Imidazo[1,2-a]Indoles from 2-Chloroindole-3-Carbaldehyde. Chem. Heterocycl. Comp. 2016, 52, 303–308. [Google Scholar] [CrossRef]
- Percie du Sert, N.; Hurst, V.; Ahluwalia, A.; Alam, S.; Avey, M.T.; Baker, M.; Browne, W.J.; Clark, A.; Cuthill, I.C.; Dirnagl, U.; et al. The ARRIVE guidelines 2.0: Updated guidelines for reporting animal research. PLoS Biol. 2020, 18, e3000410. [Google Scholar] [CrossRef]
- Mironov, A.N. Guidelines for Conducting Preclinical Studies of Drugs; Grif and K: Moscow, Russia, 2012; ISBN 978-5-8125-1466-3. (In Russian) [Google Scholar]
- Zatsepina, E.E. Comparative analysis of the anti-inflammatory activity of some non-steroidal anti-inflammatory drugs. Int. Res. J. 2022, 9, 1–4. [Google Scholar]
- Lugovskaya, S.A.; Morozova, V.T.; Pochtar, M.E.; Dolgov, V.V. Laboratory Hematology; LLC “Publishing House Triada”: Tver, Russia, 2006; ISBN 5-94789-156-5. (In Russian) [Google Scholar]
- Piskarev, I.M.; Trofimova, S.V.; Burkhina, O.E.; Ivanova, I.P. Investigation of the level of free-radical processes in substrates and biological samples using induced chemiluminescence. Biophysics 2015, 60, 400–408. [Google Scholar] [CrossRef]
- Recknagel, R.O.; Ghoshal, A.K. Lipoperoxidation of rat liver microsomal lipids induced by carbon tetrachloride. Nature 1966, 210, 1162–1163. [Google Scholar] [CrossRef]
- Góth, L. A simple method for determination of serum catalase activity and revision of reference range. Clin. Chim. Acta 1991, 196, 143–151. [Google Scholar] [CrossRef]
- Ellis, H.R. On “Tissue sulfhydryl groups” by George L.Ellman. Arch. Biochem. Biophys. 2022, 726, 109174. [Google Scholar] [CrossRef]
- Afanasyev, V.G.; Zaytsev, V.S.; Wolfson, T.I. To the micromethod of determination of citric acid in blood serum by photoelectric colorimeter. Lab. Delo 1973, 4, 115–116. [Google Scholar]
- Lowry, O.H.; Rosebrough, N.J.; Farr, A.L.; Randall, R.J. Protein measurement with the Folin phenol reagent. J. Biol. Chem. 1951, 193, 265–275. [Google Scholar] [CrossRef]
- Livak, K.J.; Schmittgen, T.D. Analysis of relative gene expression data using real-time quantitative PCR and the 2−ΔΔCT method. Methods 2001, 25, 402–408. [Google Scholar] [CrossRef]
- Matyushkin, A.I.; Ivanova, E.A.; Alekseeva, S.V.; Kachalov, K.S.; Voronina, T.A. Comparison of the severity of inflammation in rats with primary and secondary immunological responses to a full Freund’s adjuvant injection. Biomedicine 2019, 15, 75–87. [Google Scholar] [CrossRef]
- Huang, G.J.; Pan, C.H.; Wu, C.H. Sclareol exhibits anti-inflammatory activity in both lipopolysaccharide-stimulated macrophages and the λ-carrageenan-induced paw edema model. J. Nat. Prod. 2012, 75, 54–59. [Google Scholar] [CrossRef] [PubMed]
- Gladkikh, I.N.; Sintsova, O.V.; Leychenko, E.V.; Kozlov, S.A. TRPV1 ion channel: Structural features, activity modulators, and therapeutic potential. Biochemistry 2021, 86, S50–S70. [Google Scholar] [CrossRef] [PubMed]
- Yiangou, Y.; Facer, P.; Dyer, N.H.C.; Chan, C.L.H.; Knowles, C.; Williams, N.S.; Anand, P. Vanilloid receptor 1 immunoreactivity in inflamed human bowel. Lancet 2001, 357, 1338–1339. [Google Scholar] [CrossRef] [PubMed]
- Cook, A.D.; Christensen, A.D.; Tewari, D.; McMahon, S.B.; Hamilton, J.A. Immune Cytokines and Their Receptors in Inflammatory Pain. Trends Immunol. 2018, 39, 240–255. [Google Scholar] [CrossRef]
- Alawi, K.; Keeble, J. The paradoxical role of the transient receptor potential vanilloid 1 receptor in inflammation. Pharmacol. Ther. 2010, 125, 181–195. [Google Scholar] [CrossRef]
- O’Mahony, L.; Akdis, M.; Akdis, C.A. Regulation of the immune response and inflammation by histamine and histamine receptors. J. Allergy Clin. Immunol. 2011, 128, 1153–1162. [Google Scholar] [CrossRef]
- Rocha, A.C.C.; Fernandes, E.S.; Quintão, N.L.M.; Campos, M.M.; Calixto, J.B. Relevance of tumour necrosis factor-α for the inflammatory and nociceptive responses evoked by carrageenan in the mouse paw. Br. J. Pharmacol. 2006, 148, 688–695. [Google Scholar] [CrossRef]
- Halici, Z.; Dengiz, G.O.; Odabasoglu, F.; Suleyman, H.; Cadirci, E.; Halici, M. Amiodarone has anti-inflammatory and anti-oxidative properties: An experimental study in rats with carrageenan-induced paw edema. Eur. J. Pharmacol. 2007, 566, 215–221. [Google Scholar] [CrossRef]
- Zhao, J.F.; Ching, L.C.; Kou, Y.R.; Lin, S.J.; Wei, J.; Shyue, S.K.; Lee, T.S. Activation of TRPV1 prevents OxLDL-induced lipid accumulation and TNF-α-Induced inflammation in macrophages: Role of liver X receptor α. Mediat. Inflamm. 2013, 2013, 925171. [Google Scholar] [CrossRef]
- Assas, B.M.; Abdulaal, W.H.; Wakid, M.H.; Zakai, H.A.; Miyan, J.; Pennock, J.L. The use of flow cytometry to examine calcium signalling by TRPV1 in mixed cell populations. Anal. Biochem. 2017, 527, 13–19. [Google Scholar] [CrossRef]
- Talbot, S.; Dias, J.P.; Lahjouji, K.; Bogo, M.R.; Campos, M.M.; Gaudreau, P.; Couture, R. Activation of TRPV1 by capsaicin induces functional Kinin B 1 receptor in rat spinal cord microglia. J. Neuroinflammation 2012, 9, 16. [Google Scholar] [CrossRef]
- Miyake, T.; Shirakawa, H.; Nakagawa, T.; Kaneko, S. Activation of mitochondrial Transient Receptor Potential Vanilloid 1 channel contributes to microglial migration. Glia 2015, 63, 1870–1882. [Google Scholar] [CrossRef]
- Ching, L.C.; Kou, Y.R.; Shyue, S.K.; Su, K.H.; Wei, J.; Cheng, L.C.; Yu, Y.B.; Pan, C.C.; Lee, T.S. Molecular mechanisms of activation of endothelial nitric oxide synthase mediated by transient receptor potential vanilloid type 1. Cardiovasc. Res. 2011, 91, 492–501. [Google Scholar] [CrossRef]
- Takeuchi, O.; Akira, S. Pattern recognition receptors and inflammation. Cell 2010, 140, 805–820. [Google Scholar] [CrossRef]




| Parameter | Group | |||
|---|---|---|---|---|
| Control (Intact) | Control (−) | Diclofenac | SV-1010 | |
| WBC, ×109cells/L | 6.82 ± 2.72 | 3.12 ± 2.27 * | 3.44 ± 1.29 * | 3.31 ± 1.46 * |
| NEU, % | 20.85 ± 7.15 | 22.86 ± 9.62 | 14.54 ± 4.90 * | 17.28 ± 5.48 |
| LYM, % | 71.67 ± 8.65 | 69.40 ± 7.07 | 74.77 ± 6.63 | 73.29 ± 5.55 |
| MON, % | 3.23 ± 1.09 | 5.02 ± 0.69 * | 2.77 ± 0.84 # | 3.27 ± 0.09 # |
| EOZ, % | 3.71 ± 1.07 | 6.30 ± 1.30 * | 4.84 ± 1.63 *# | 4.22 ± 2.06 *# |
| BAS,% | 0.00 ± 0.00 | 0.22 ± 0.03 | 0.00 ± 0.00 | 0.29 ± 0.07 |
| RBC, 1012cells/L | 9.67 ± 0.36 | 9.44 ± 0.32 | 9.45 ± 0.52 | 9.71 ± 3.08 |
| HTC, % | 0.47 ± 0.01 | 0.46 ± 0.02 | 0.47 ± 0.02 | 0.40 ± 0.15 |
| PLT, ×109 cells/L | 481.33 ± 106.31 | 679.60 ± 215.91 * | 361.00 ± 109.02 *# | 512.57 ± 180.10 # |
| PCT, % | 2.63 ± 0.64 | 3.77 ± 1.18 * | 1.84 ± 0.63 *# | 2.98 ± 1.27 # |
| HGB, g/L | 167.44 ± 20.59 | 170.00 ± 21.99 | 167.11 ± 19.05 | 170.13 ± 56.18 |
| Parameter | Control (Intact) | Control (−) | Diclofenac | SV-1010 |
|---|---|---|---|---|
| ESR, mm/h | 3.5 ± 0.87 | 8.4 ± 2.09 * | 3.5 ± 0.81 # | 2.33 ± 0.74 #^ |
| CIC, a.u. | 19.5 ± 3.9 | 24.0 ± 5.1 * | 22.0 ± 4.9 | 20.0 ± 5.5 # |
| CK-MB, U/mL | 115.1 ± 22.2 | 505.4 ± 120.3 * | 622.9 ± 122.4 # | 207.1 ± 58.3 #^ |
| AST, U/mL | 0.245 ± 0.052 | 0.287 ± 0.074 * | 0.405 ± 0.103 # | 0.225 ± 0.048 #^ |
| Imax Heart, mV | 51.5 ± 11.2 | 65.4 ± 12.4 * | 79.8 ± 10.6 # | 50.1 ± 12.4 #^ |
| Imax Serum, mV | 68.5 ± 15.8 | 102.5 ± 23.6 * | 93.2 ± 14.2 # | 80.8 ± 22.3 # |
| S Heart, mV*s | 485.2 ± 105.1 | 715.4 ± 157.0 * | 800.3 ± 104 # | 476.1 ± 107.7 #^ |
| S Serum, mV*s | 903.2 ± 205.0 | 1197.4 ± 247.6 * | 1327.4 ± 223.8 | 948.1 ± 374.5 #^ |
| tgα2 Heart | 7.1 ± 1.5 | 8.5 ± 2.0 * | 9.4 ± 1.7 | 7.1 ± 2.1 #^ |
| tgα2 Serum | 14.0 ± 3.1 | 24.1 ± 5.7 * | 26.8 ± 3.2 | 24.6 ± 6.0 |
| DCs Heart, µmol/g | 17.7 ± 4.1 | 40.5 ± 7.2 * | 47.5 ± 5.2 # | 20.2 ± 4.2 #^ |
| DCs Serum, µmol/mL | 7.5 ± 1.6 | 14.9 ± 4.3 * | 14.1 ± 1.5 | 7.0 ± 3.1 #^ |
| AH Heart, U/g | 2.38 ± 0.53 | 1.01 ± 0.32 * | 0.87 ± 0.61 | 1.83 ± 0.38 #^ |
| AH Serum, U/mL | 1.12 ± 0.25 | 0.37 ± 0.16 * | 0.36 ± 0.23 | 0.74 ± 0.22 #^ |
| AH Heart, U/mg protein | 0.198 ± 0.048 | 0.125 ± 0.029 * | 0.105 ± 0.044 | 0.194 ± 0.032 #^ |
| AH Serum, U/mg protein | 0.060 ± 0.014 | 0.015 ± 0.010 * | 0.014 ± 0.015 | 0.029 ± 0.012 #^ |
| Citrate Heart, μmol/mL | 0.205 ± 0.047 | 0.318 ± 0.120 * | 0.349 ± 0.059 | 0.296 ± 0.063 |
| Citrate Serum, μmol/mL | 0.574 ± 0.137 | 0.931 ± 0.193 * | 0.956 ± 0.178 | 0.769 ± 0.170 #^ |
| Catalase Heart, U/g | 0.652 ± 0.154 | 0.958 ± 0.207 * | 0.877 ± 0.154 # | 0.712 ± 0.168 #^ |
| Catalase Serum, U/mL | 0.093 ± 0.020 | 0.227 ± 0.031 * | 0.110 ± 0.032 # | 0.099 ± 0.023 # |
| Catalase Heart, U/mg protein | 0.074 ± 0.016 | 0.117 ± 0.028 * | 0.102 ± 0.018 # | 0.078 ± 0.018 #^ |
| Catalase Serum, U/mg protein | 0.008 ± 0.002 | 0.020 ± 0.005 * | 0.012 ± 0.004 # | 0.008 ± 0.002 #^ |
| GSH Heart, μmol/mL | 0.291 ± 0.065 | 0.430 ± 0.030 * | 0.503 ± 0.069 # | 0.400 ± 0.063 ^ |
| GSH Serum, μmol/mL | 0.372 ± 0.087 | 0.474 ± 0.071 * | 0.518 ± 0.082 | 0.523 ± 0.051 |
Disclaimer/Publisher’s Note: The statements, opinions and data contained in all publications are solely those of the individual author(s) and contributor(s) and not of MDPI and/or the editor(s). MDPI and/or the editor(s) disclaim responsibility for any injury to people or property resulting from any ideas, methods, instructions or products referred to in the content. |
© 2025 by the authors. Licensee MDPI, Basel, Switzerland. This article is an open access article distributed under the terms and conditions of the Creative Commons Attribution (CC BY) license.
Share and Cite
Galenko-Yaroshevsky, P.A.; Zelenskaya, A.V.; Suzdalev, K.F.; Popova, T.N.; Kvetkina, A.N.; Shamatova, M.M.; Chuyan, E.N.; Ravaeva, M.Y.; Murashko, R.A.; Glechyan, T.R.; et al. The TRPV1 Channel Modulator Imidazo[1,2-a]Indole Derivative Exhibits Pronounced and Versatile Anti-Inflammatory Activity In Vivo. Biomedicines 2026, 14, 60. https://doi.org/10.3390/biomedicines14010060
Galenko-Yaroshevsky PA, Zelenskaya AV, Suzdalev KF, Popova TN, Kvetkina AN, Shamatova MM, Chuyan EN, Ravaeva MY, Murashko RA, Glechyan TR, et al. The TRPV1 Channel Modulator Imidazo[1,2-a]Indole Derivative Exhibits Pronounced and Versatile Anti-Inflammatory Activity In Vivo. Biomedicines. 2026; 14(1):60. https://doi.org/10.3390/biomedicines14010060
Chicago/Turabian StyleGalenko-Yaroshevsky, Pavel A., Anait V. Zelenskaya, Konstantin F. Suzdalev, Tatyana N. Popova, Aleksandra N. Kvetkina, Margarita M. Shamatova, Elena N. Chuyan, Marina Yu. Ravaeva, Roman A. Murashko, Tereza R. Glechyan, and et al. 2026. "The TRPV1 Channel Modulator Imidazo[1,2-a]Indole Derivative Exhibits Pronounced and Versatile Anti-Inflammatory Activity In Vivo" Biomedicines 14, no. 1: 60. https://doi.org/10.3390/biomedicines14010060
APA StyleGalenko-Yaroshevsky, P. A., Zelenskaya, A. V., Suzdalev, K. F., Popova, T. N., Kvetkina, A. N., Shamatova, M. M., Chuyan, E. N., Ravaeva, M. Y., Murashko, R. A., Glechyan, T. R., Sergeeva, A. V., Ishkhanyan, N. N., Gulevskaya, O. N., Chubinskiy-Nadezhdin, V. I., Kryl’skii, E. D., Priymenko, N. A., Klimovich, A. A., Leychenko, E. V., & Kozlov, S. A. (2026). The TRPV1 Channel Modulator Imidazo[1,2-a]Indole Derivative Exhibits Pronounced and Versatile Anti-Inflammatory Activity In Vivo. Biomedicines, 14(1), 60. https://doi.org/10.3390/biomedicines14010060

