Safety, Tolerability, and EEG-Based Target Engagement of STP1 (PDE3,4 Inhibitor and NKCC1 Antagonist) in a Randomized Clinical Trial in a Subgroup of Patients with ASD
Abstract
1. Introduction
2. Materials and Methods
2.1. Diagnosis and Main Criteria for Eligibility
2.2. Drug Manufacturing
2.3. Study Design and Dosing
2.4. Primary Outcomes
2.5. Secondary Pharmacokinetics (PK) Outcomes
2.6. Exploratory Pharmacodynamic (PD) Outcomes
- Electrophysiological Parameters
- b.
- Clinical parameters
2.7. Analysis Populations
3. Results
3.1. Patient Disposition and Demographics
3.2. Adverse Events
3.3. Pharmacokinetic Analysis
- PK profile of STP1 in Blood
- b.
- Excretion of ibudilast and bumetanide in urine following treatment with STP1
3.4. Exploratory Outcomes: PD Parameters
- NIH-TCB Crystalized Composite
- b.
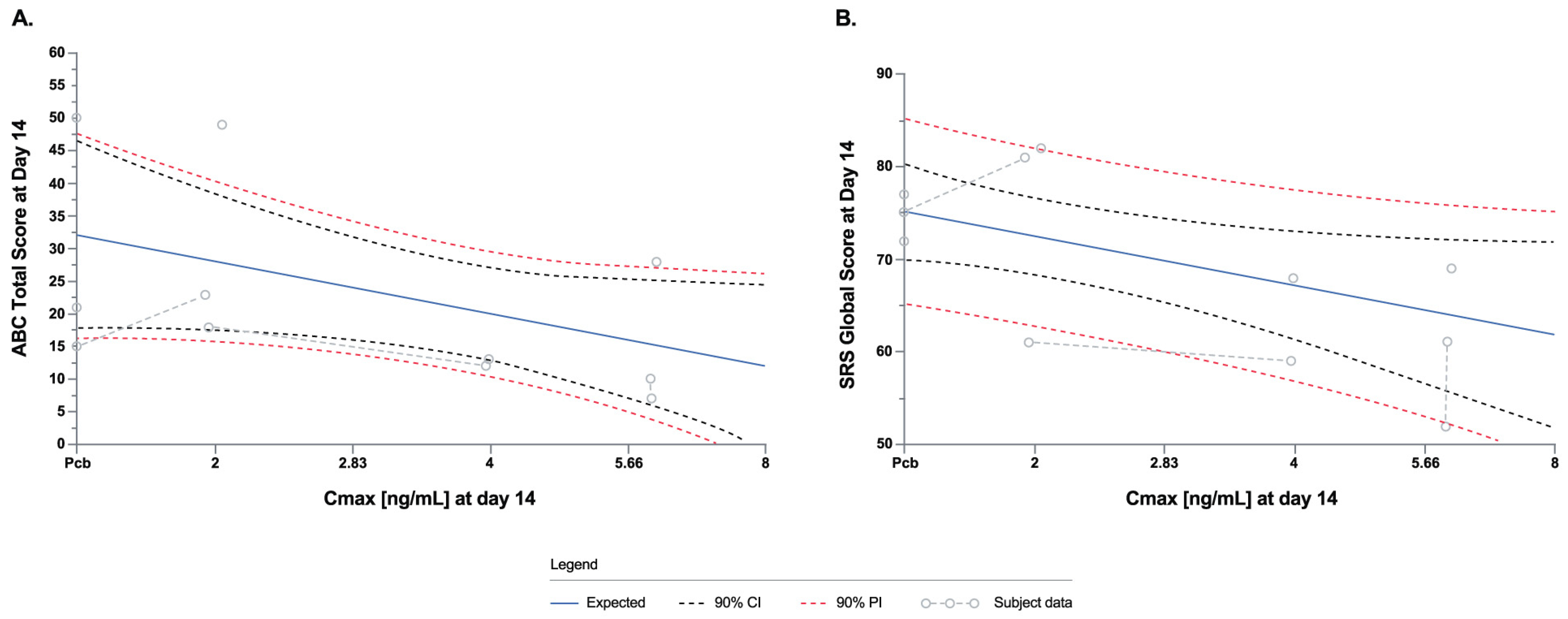
- Exploratory Outcomes: Aberrant Behavior Checklist-Community (ABC-C) and Social Responsiveness Scale, 2nd Edition (SRS-2)
- c.
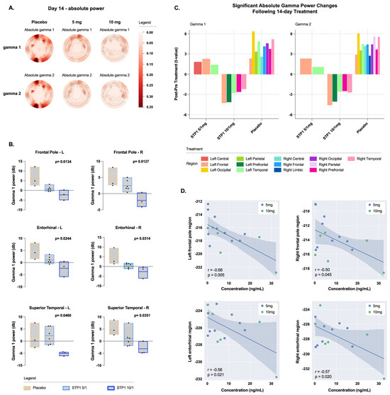
- Exploratory Outcomes: EEG-Gamma Bands
- d.
- Exploratory Outcomes; Gamma Bands in Brain Regions of Interest
- e.
- Exploratory Outcomes; EEG-Alpha Bands
- f.
- Exploratory Outcomes: EEG-Complex Auditory Synchronization
- g.
- Exploratory Outcomes: PK/PD Modeling Analysis
4. Discussion
Supplementary Materials
Author Contributions
Funding
Institutional Review Board Statement
Informed Consent Statement
Data Availability Statement
Acknowledgments
Conflicts of Interest
References
- Baxter, A.J. The epidemiology and global burden of autism spectrum disorders. Psychol. Med. 2015, 45, 601–613. [Google Scholar] [CrossRef] [PubMed]
- Maenner, M.J. Prevalence and Characteristics of Autism Spectrum Disorder among Children Aged 8 Years—Autism and Developmental Disabilities Monitoring Network, 11 Sites, United States, 2018. MMWR Surveill. Summ. 2021, 70, 1–16. [Google Scholar] [CrossRef] [PubMed]
- American Psychiatric Association. Diagnostic and Statistical Manual of Mental Disorders; American Psychiatric Association: Washington, DC, USA, 2013. [Google Scholar]
- Syriopoulou-Delli, C.K.; Papaefstathiou, E. Review of cluster analysis of phenotypic data in Autism Spectrum Disorders: Distinct subtypes or a severity gradient model? Int. J. Dev. Disabil. 2020, 66, 13–21. [Google Scholar] [CrossRef] [PubMed]
- Masi, A.; DeMayo, M.M.; Glozier, N.; Guastella, A.J. An Overview of Autism Spectrum Disorder, Heterogeneity and Treatment Options. Neurosci. Bull. 2017, 33, 183–193. [Google Scholar] [CrossRef] [PubMed]
- Perez-Cano, L.; Sirci, F.; Ariz-Extreme, I.; Boloc, D.; Azidane, S.; López, J.; Vera, R.; Durham, L.; Guney, E. DEPI v3: A systems biology and artificial intelligence based patient stratification and drug positioning platform for neurodevelopmental disorders. In Proceedings of the RExPO22, Maastricht, The Netherlands, 2–3 September 2022. [Google Scholar]
- Pérez-Cano, L.; Boccuto, L.; Sirci, F.; Hidalgo, J.M.; Valentini, S.; Bosio, M. Characterization of a clinically and biologically defined subgroup of patients with autism spectrum disorder and identification of a tailored combination treatment. Biomedicines 2024, 12, 991. [Google Scholar] [CrossRef] [PubMed]
- Gibson, L.C.D. The inhibitory profile of Ibudilast against the human phosphodiesterase enzyme family. Eur. J. Pharmacol. 2006, 538, 39–42. [Google Scholar] [CrossRef] [PubMed]
- Huang, Z. Preferential inhibition of human phosphodiesterase 4 by ibudilast. Life Sci. 2006, 78, 2663–2668. [Google Scholar] [CrossRef] [PubMed]
- Russell, J.M. Sodium-Potassium-Chloride Cotransport. Physiol. Rev. 2000, 80, 211–276. [Google Scholar] [CrossRef]
- Capsoni, S. Targeting the Cation-Chloride Co-Transporter NKCC1 to Re-Establish GABAergic Inhibition and an Appropriate Excitatory/Inhibitory Balance in Selective Neuronal Circuits: A Novel Approach for the Treatment of Alzheimer’s Disease. Brain Sci. 2022, 12, 783. [Google Scholar] [CrossRef]
- Zikopoulos, B.; Barbas, H. Altered neural connectivity in excitatory and inhibitory cortical circuits in autism. Front. Hum. Neurosci. 2013, 7, 609. [Google Scholar] [CrossRef]
- Libero, L.E.; Nordahl, C.W.; Li, D.D.; Ferrer, E.; Rogers, S.J.; Amaral, D.G. Persistence of megalencephaly in a subgroup of young boys with autism spectrum disorder. Autism Res. 2016, 9, 1169–1182. [Google Scholar] [CrossRef] [PubMed]
- Bruining, H.; Passtoors, L.; Goriounova, N.; Jansen, F.; Hakvoort, B.; de Jonge, M.; Poil, S.-S. Paradoxical Benzodiazepine Response: A Rationale for Bumetanide in Neurodevelopmental Disorders? Pediatrics 2015, 136, e539–e543. [Google Scholar] [CrossRef]
- Sprengers, J.J.; van Andel, D.M.; Zuithoff, N.P.A.; Keijzer-Veen, M.G.; Schulp, A.J.A.; Scheepers, F.E.; Lilien, M.R.; Oranje, B.; Bruining, H. Bumetanide for Core Symptoms of Autism Spectrum Disorder (BAMBI): A Single Center, Double-Blinded, Participant-Randomized, Placebo-Controlled, Phase-2 Superiority Trial. J. Am. Acad. Child Adolesc. Psychiatry 2021, 60, 865–876. [Google Scholar] [CrossRef] [PubMed]
- Delorme, A.; Makeig, S. EEGLAB: An open source toolbox for analysis of single-trial EEG dynamics including independent component analysis. J. Neurosci. Methods 2004, 134, 9–21. [Google Scholar] [CrossRef]
- Wang, D.; Negra, R. Design of a dual-band rectifier for wireless power transmission. In Proceedings of the 2013 IEEE Wireless Power Transfer (WPT), Perugia, Italy, 15–16 May 2013. [Google Scholar]
- Ethridge, L.E.; White, S.P.; Mosconi, M.W.; Wang, J.; Pedapati, E.V.; Erickson, C.A.; Byerly, M.J.; Sweeney, J.A. Neural synchronization deficits linked to cortical hyper-excitability and auditory hypersensitivity in fragile X syndrome. Mol. Autism 2017, 8, 22. [Google Scholar] [CrossRef]
- Rolan, P.; Gibbons, J.A.; He, L.; Chang, E.; Jones, D.; Gross, M.I.; Davidson, J.B.; Sanftner, L.M.; Johnson, K.W. Ibudilast in healthy volunteers: Safety, tolerability and pharmacokinetics with single and multiple doses. Br. J. Clin. Pharmacol. 2008, 66, 792–801. [Google Scholar] [CrossRef]
- Pedapati, E.V.; Schmitt, L.M.; Ethridge, L.E.; Miyakoshi, M.; Sweeney, J.A.; Liu, R.; Smith, E.; Shaffer, R.C.; Dominick, K.C.; Gilbert, D.L.; et al. Neocortical localization and thalamocortical modulation of neuronal hyperexcitability contribute to Fragile X Syndrome. Commun. Biol. 2022, 5, 442. [Google Scholar] [CrossRef] [PubMed]
- Juarez-Martinez, E.L.; van Andel, D.M.; Sprengers, J.J.; Avramiea, A.E.; Oranje, B.; Scheepers, F.E.; Jansen, F.; Mansvelder, H.D.; Linkenkaer-Hansen, K.; Bruining, H. Bumetanide Effects on Resting-State EEG in Tuberous Sclerosis Complex in Relation to Clinical Outcome: An Open-Label Study. Front. Neurosci. 2022, 16, 879451. [Google Scholar] [CrossRef]
- Halladay, S.C.; Sipes, I.G.; Carter, D.E. Diuretic effect and metabolism of bumetanide in man. Clin. Pharmacol. Ther. 1977, 22, 179–187. [Google Scholar] [CrossRef]
- Antoine, M.W.; Langberg, T.; Schnepel, P.; Feldman, D.E. Increased Excitation-Inhibition Ratio Stabilizes Synapse and Circuit Excitability in Four Autism Mouse Models. Neuron 2019, 101, 648–661.e644. [Google Scholar] [CrossRef]
- Goswami, U. Speech rhythm and language acquisition: An amplitude modulation phase hierarchy perspective. Ann. N. Y. Acad. Sci. 2019, 1453, 67–78. [Google Scholar] [CrossRef] [PubMed]
- Mably, A.J.; Colgin, L.L. Gamma oscillations in cognitive disorders. Curr. Opin. Neurobiol. 2018, 52, 182–187. [Google Scholar] [CrossRef] [PubMed]
- Jonak, C.R.; Lovelace, J.W.; Ethell, I.M.; Razak, K.A.; Binder, D.K. Multielectrode array analysis of EEG biomarkers in a mouse model of Fragile X Syndrome. Neurobiol. Dis. 2020, 138, 104794. [Google Scholar] [CrossRef] [PubMed]







| STP1 5/1 mg (n = 6) | STP1 10/1 mg (n = 3) | Placebo (n = 3) | Overall a (n = 12) | ||
|---|---|---|---|---|---|
| Age (years), n | 6 | 3 | 3 | 12 | |
| Mean (SD) | 18.67 (0.82) | 19.67 (1.53) | 19.67 (2.89) | 19.17 (1.59) | |
| Height (cm), n | 6 | 3 | 3 | 12 | |
| Mean (SD) | 175.50 (10.60) | 171.33 (14.15) | 174.67 (11.15) | 174.25 (10.64) | |
| Weight (kg), n | 6 | 3 | 3 | 12 | |
| Mean (SD) | 114.22 (23.46) | 109.80 (31.23) | 78.13 (26.32) | 104.09 (28.32) | |
| BMI (kg/m2), n | 6 | 3 | 3 | 12 | |
| Mean (SD) | 36.80 (5.02) | 37.07 (6.89) | 25.17 (5.84) | 33.96 (7.38) | |
| HC 0–2 y (cm), n | 5 | 2 | 3 | 10 | |
| Mean (SD) | 47.48 (5.03) | 44.05 (7.85) | 47.03 (4.27) | 46.66 (4.91) | |
| SB5-ABIQ, n | 6 | 3 | 3 | 12 | |
| Mean (SD) | 74.17 (18.06) | 70.33 (21.08) | 82.00 (13.08) | 75.17 (16.73) | |
| NIH-TCB (CCC), n | 4 | 3 | 3 | 10 | |
| Mean (SD) | 87.56 (6.65) | 83.98 (9.50) | 98.00 (14.19) | 89.44 (10.84) | |
| SRS-2, n | 6 | 3 | 2 | 11 | |
| Mean (SD) | 72.00 (9.65) | 62.33 (4.16) | 75.50 (9.19) | 70.00 (9.20) | |
| ABC-C (irritability), n | 6 | 3 | 2 | 11 | |
| Mean (SD) | 10.00 (11.33) | 7.33 (12.70) | 2.0 (2.83) | 7.82 (10.34) | |
| Sex, n (p) | 6 | 3 | 3 | 12 | |
| Male Female | 5 (0.83) 1 (0.17) | 2 (0.67) 1 (0.33) | 2 (0.67) 1 (0.33) | 9 (0.75) 3 (0.25) | |
| Race, n (p) | 6 | 3 | 3 | 12 | |
| American Indian | 0 (0.00) | 0 (0.00) | 0 (0.00) | 0 (0.00) | |
| Asian | 0 (0.00) | 0 (0.00) | 0 (0.00) | 0 (0.00) | |
| Black | 1 (0.17) | 1 (0.33) | 0 (0.00) | 2 (0.17) | |
| Hawaiian | 0 (0.00) | 0 (0.00) | 0 (0.00) | 0 (0.00) | |
| White | 5 (0.83) | 2 (0.67) | 3 (1.00) | 10 (0.83) | |
| Other | 0 (0.00) | 0 (0.00) | 0 (0.00) | 0 (0.00) | |
| Ethnicity, n (p) | 6 | 3 | 3 | 12 | |
| Hispanic | 0 (0.00) | 0 (0.00) | 0 (0.00) | 0 (0.00) | |
| Not Hispanic | 6 (1.00) | 3 (1.00) | 3 (1.00) | 12 (1.00) | |
| STP1 5/1 mg (n = 6) | STP1 10/1 mg (n = 3) | Placebo (n = 3) | ||||||||
|---|---|---|---|---|---|---|---|---|---|---|
| Mild | Moderate | Severe | Mild | Moderate | Severe | Mild | Moderate | Severe | ||
| Total Number of AEs | 5 | 0 | 0 | 2 | 0 | 0 | 2 | 0 | 0 | |
| Patients with at least one AE | 4 (0.67) | 0 (0.00) | 0 (0.00) | 2 (0.67) | 0 (0.00) | 0 (0.00) | 2 (0.67) | 0 (0.00) | 0 (0.00) | |
| Gastrointrestinal disorders | 2 (0.33) | 0 (0.00) | 0 (0.00) | 0 (0.00) | 0 (0.00) | 0 (0.00) | 2 (0.67) | 0 (0.00) | 0 (0.00) | |
| Diarrhea | 1 (0.17) | 0 (0.00) | 0 (0.00) | 0 (0.00) | 0 (0.00) | 0 (0.00) | 0 (0.00) | 0 (0.00) | 0 (0.00) | |
| Nausea | 1 (0.17) | 0 (0.00) | 0 (0.00) | 0 (0.00) | 0 (0.00) | 0 (0.00) | 2 (0.67) | 0 (0.00) | 0 (0.00) | |
| Infections | 0 (0.00) | 0 (0.00) | 0 (0.00) | 2 (0.67) | 0 (0.00) | 0 (0.00) | 0 (0.00) | 0 (0.00) | 0 (0.00) | |
| Infection | 0 (0.00) | 0 (0.00) | 0 (0.00) | 1 (0.33) | 0 (0.00) | 0 (0.00) | 0 (0.00) | 0 (0.00) | 0 (0.00) | |
| Upper respiratory tract infection | 0 (0.00) | 0 (0.00) | 0 (0.00) | 1(0.33) | 0 (0.00) | 0 (0.00) | 0 (0.00) | 0 (0.00) | 0 (0.00) | |
| Psychiatric disorders | 1 (0.17) | 0 (0.00) | 0 (0.00) | 0 (0.00) | 0 (0.00) | 0 (0.00) | 0 (0.00) | 0 (0.00) | 0 (0.00) | |
| Trichotillomania | 1 (0.17) | 0 (0.00) | 0 (0.00) | 0 (0.00) | 0 (0.00) | 0 (0.00) | 0 (0.00) | 0 (0.00) | 0 (0.00) | |
| Renal and urinary disorders | 1 (0.17) | 0 (0.00) | 0 (0.00) | 0 (0.00) | 0 (0.00) | 0 (0.00) | 0 (0.00) | 0 (0.00) | 0 (0.00) | |
| Pollakiuria | 1 (0.17) | 0 (0.00) | 0 (0.00) | 0 (0.00) | 0 (0.00) | 0 (0.00) | 0 (0.00) | 0 (0.00) | 0 (0.00) | |
| Respiratory, thoracic, and mediastinal disorders | 1 (0.17) | 0 (0.00) | 0 (0.00) | 0 (0.00) | 0 (0.00) | 0 (0.00) | 0 (0.00) | 0 (0.00) | 0 (0.00) | |
| Dyspnoea | 1 (0.17) | 0 (0.00) | 0 (0.00) | 0 (0.00) | 0 (0.00) | 0 (0.00) | 0 (0.00) | 0 (0.00) | 0 (0.00) | |
| Ibudilast 5 mg (STP1 5/1 mg) | n | Ibudilast 10 mg (STP1 10/1 mg) | n | Bumetanide 1 mg (STP1 5/1 mg) | n | Bumetanide 1 mg (STP1 10/1 mg) | n | |
|---|---|---|---|---|---|---|---|---|
| Day 1 | ||||||||
| Cmax, (ng/mL) | 6.45 ± 5.48 | 6 | 18.23 ± 5.05 | 3 | 15.08 ± 9.31 | 6 | 11.45 ± 4.48 | 3 |
| Tmax (h) | 4.68 ± 1.62 | 6 | 4.00 ± 1.96 | 3 | 1.76 ± 0.62 | 6 | 2.07 ± 0.09 | 3 |
| AUC0-tau(6 h) (hrs×ng/mL) | 27.21 ± 18.95 | 4 | 72.48 | 1 | 42.21 ± 22.38 | 5 | 27.21 | 1 |
| AUC0-last (hrs×ng/mL) | 21.55 ± 17.88 | 6 | 66.09 ± 28.63 | 3 | 48.35 ± 25.00 | 6 | 37.85 ± 19.80 | 3 |
| Vz/F (mL) | - | 0 | - | 0 | 95,235.99 | 1 | - | 0 |
| Cl/F (mL/h) | - | 0 | - | 0 | 32,873.83 | 1 | - | 0 |
| Day 7 | ||||||||
| Steady-state concentration | 7.94 ± 3.93 | 6 | 18.07 ± 7.08 | 3 | na | na | na | na |
| Day 14 | ||||||||
| Steady-state concentration | 8.61 ± 4.33 | 6 | 19.84 ± 11.46 | 3 | na | na | na | na |
| Cmax (ng/mL) | 14.95 ± 6.66 | 6 | 33.37 ± 15.52 | 3 | 21.74 | 6 | 11.09 ± 7.84 | 3 |
| Tmax (h) | 3.66 ± 1.99 | 6 | 3.99 ± 2.00 | 3 | 1.54 | 6 | 1.64 ± 0.59 | 3 |
| Ctrough (ng/mL) | 6.16 ± 3.99 | 6 | 15.64 ± 9.70 | 3 | 1.00 ± 0.00 | 6 | 1.00 ± 0.00 | 3 |
| t1/2 (h) | 67.28 ± 38.67 | 6 | 16.71 ± 10.36 | 3 | 1.83 ± 0.50 | 6 | 1.65 | 1 |
| AUC0-tau(6 h) (h×ng/mL) | 66.86 ± 34.96 | 6 | 158.52 ± 88.37 | 3 | 50.23 ± 25.06 | 5 | 32.61 ± 14.92 | 3 |
| AUC0-last (h×ng/mL)/dose | 1019.53 ± 875.64 | 6 | 390.48 ± 259.84 | 3 | 55.08 ± 25.06 | 6 | 33.01 ± 14.90 | 3 |
| Vz/F (mL) | 597,563.58 ± 552,913.71 | 6 | 397,451.90 ± 282,049.30 | 3 | 47,158.13 ± 19,241.59 | 6 | 43,460.94 | 1 |
| Cl/F (mL/h) | 9123.07 ± 9799.35 | 6 | 19,955.24 ± 14,255.34 | 3 | 19,349.81 ± 10,827.27 | 5 | 18,224.58 | 1 |
Disclaimer/Publisher’s Note: The statements, opinions and data contained in all publications are solely those of the individual author(s) and contributor(s) and not of MDPI and/or the editor(s). MDPI and/or the editor(s) disclaim responsibility for any injury to people or property resulting from any ideas, methods, instructions or products referred to in the content. |
© 2024 by the authors. Licensee MDPI, Basel, Switzerland. This article is an open access article distributed under the terms and conditions of the Creative Commons Attribution (CC BY) license (https://creativecommons.org/licenses/by/4.0/).
Share and Cite
Erickson, C.A.; Perez-Cano, L.; Pedapati, E.V.; Painbeni, E.; Bonfils, G.; Schmitt, L.M.; Sachs, H.; Nelson, M.; De Stefano, L.; Westerkamp, G.; et al. Safety, Tolerability, and EEG-Based Target Engagement of STP1 (PDE3,4 Inhibitor and NKCC1 Antagonist) in a Randomized Clinical Trial in a Subgroup of Patients with ASD. Biomedicines 2024, 12, 1430. https://doi.org/10.3390/biomedicines12071430
Erickson CA, Perez-Cano L, Pedapati EV, Painbeni E, Bonfils G, Schmitt LM, Sachs H, Nelson M, De Stefano L, Westerkamp G, et al. Safety, Tolerability, and EEG-Based Target Engagement of STP1 (PDE3,4 Inhibitor and NKCC1 Antagonist) in a Randomized Clinical Trial in a Subgroup of Patients with ASD. Biomedicines. 2024; 12(7):1430. https://doi.org/10.3390/biomedicines12071430
Chicago/Turabian StyleErickson, Craig A., Laura Perez-Cano, Ernest V. Pedapati, Eric Painbeni, Gregory Bonfils, Lauren M. Schmitt, Hannah Sachs, Meredith Nelson, Lisa De Stefano, Grace Westerkamp, and et al. 2024. "Safety, Tolerability, and EEG-Based Target Engagement of STP1 (PDE3,4 Inhibitor and NKCC1 Antagonist) in a Randomized Clinical Trial in a Subgroup of Patients with ASD" Biomedicines 12, no. 7: 1430. https://doi.org/10.3390/biomedicines12071430
APA StyleErickson, C. A., Perez-Cano, L., Pedapati, E. V., Painbeni, E., Bonfils, G., Schmitt, L. M., Sachs, H., Nelson, M., De Stefano, L., Westerkamp, G., de Souza, A. L. S., Pohl, O., Laufer, O., Issachar, G., Blaettler, T., Hyvelin, J.-M., & Durham, L. A. (2024). Safety, Tolerability, and EEG-Based Target Engagement of STP1 (PDE3,4 Inhibitor and NKCC1 Antagonist) in a Randomized Clinical Trial in a Subgroup of Patients with ASD. Biomedicines, 12(7), 1430. https://doi.org/10.3390/biomedicines12071430

