Near-Infrared Fluorescence Probe for Visualizing Fluctuations of Peroxynitrite in Living Cells and Inflammatory Mouse Models
Abstract
1. Introduction
2. Experimental Section
2.1. Synthesis of Compounds
2.2. General Information
2.3. Spectroscopic Measurements in Solution
2.4. Determination of the Detection Limit
2.5. Density Functional Theory
2.6. Cell Culture and Imaging
2.7. Cytotoxicity Assays
2.8. Cell Selectivity Experiment
2.9. Experiments with Different Concentrations of SIN-1
2.10. Fluorescence Imaging in Mice
3. Results and Discussion
3.1. Spectral Properties of BDP-ENE-S-Py+ Responding to ONOO−
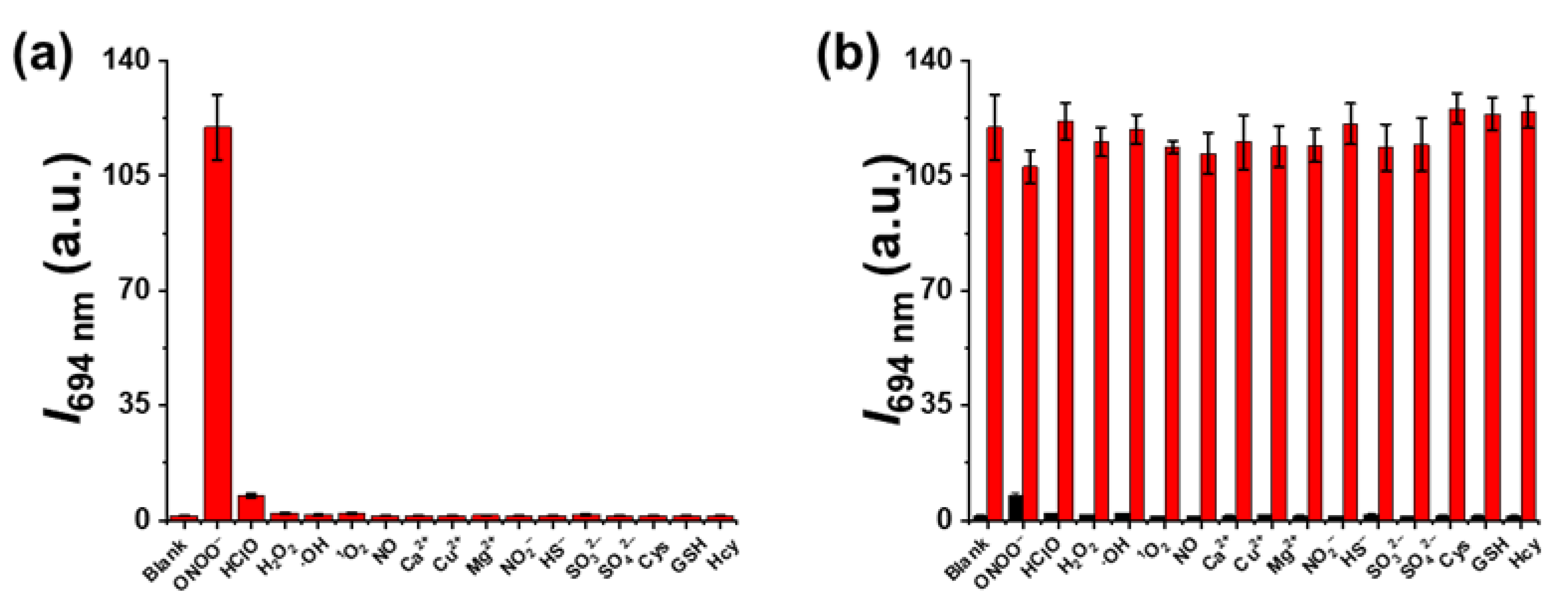
3.2. The Selective Response of BDP-ENE-S-Py+ to ONOO− and the Effect of pH
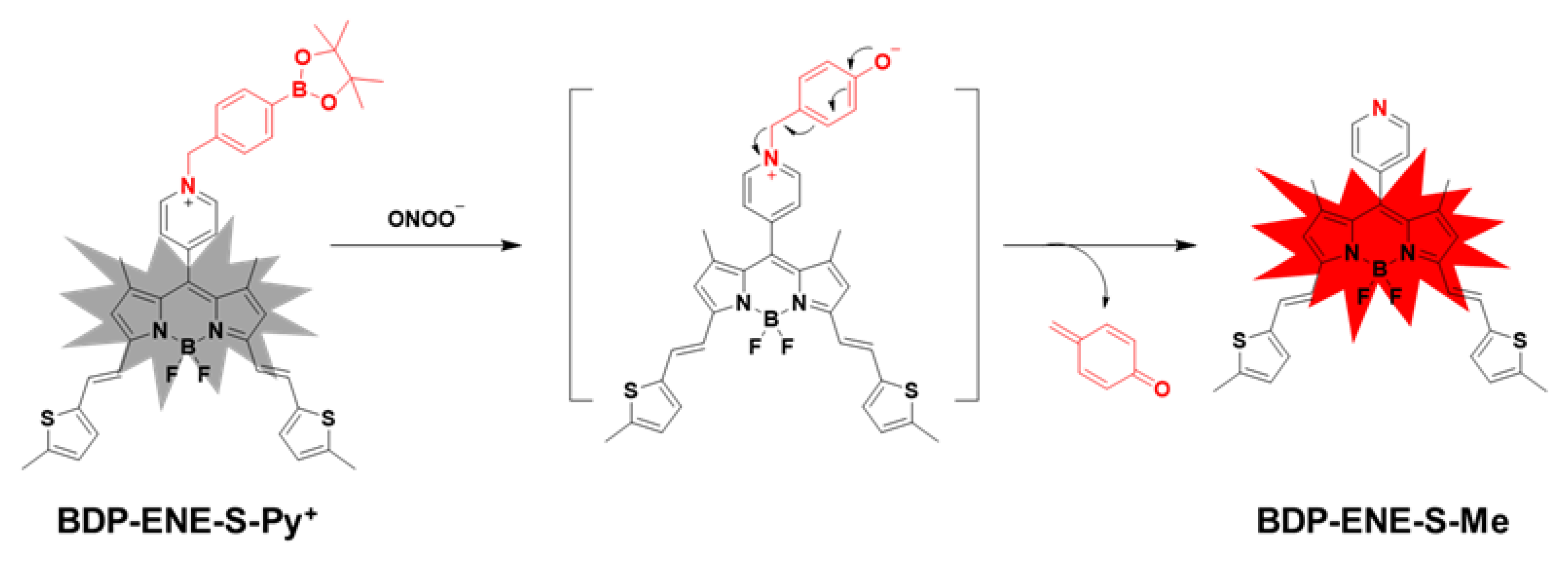
3.3. Sensing Mechanism of BDP-ENE-S-Py+
3.4. BDP-ENE-S-Py+ Intracellular Imaging
3.5. BDP-ENE-S-Py+ Imaging of ONOO− in Inflammatory Mice
4. Conclusions
Supplementary Materials
Author Contributions
Funding
Institutional Review Board Statement
Informed Consent Statement
Data Availability Statement
Acknowledgments
Conflicts of Interest
References
- Wang, Z.; Wang, W.; Wang, P.; Song, X.; Mao, Z.; Liu, Z. Highly sensitive near-infrared imaging of peroxynitrite fluxes in inflammation progress. Anal. Chem. 2021, 93, 3035–3041. [Google Scholar] [CrossRef] [PubMed]
- She, Z.; Chen, J.; Sun, L.; Zeng, F.; Wu, S. An NO-responsive probe for detecting acute inflammation using NIR-II fluorescence/optoacoustic imaging. Chem. Commun. 2022, 58, 13123–13126. [Google Scholar] [CrossRef] [PubMed]
- Furman, D.; Campisi, J.; Verdin, E.; Carrera-Bastos, P.; Targ, S.; Franceschi, C.; Ferrucci, L.; Gilroy, D.W.; Fasano, A.; Miller, G.W.; et al. Chronic inflammation in the etiology of disease across the life span. Nat. Med. 2019, 25, 1822–1832. [Google Scholar] [CrossRef]
- Crusz, S.M.; Balkwill, F.R. Inflammation and cancer: Advances and new agents. Nat. Rev. Clin. Oncol. 2015, 12, 584–596. [Google Scholar] [CrossRef] [PubMed]
- Fullerton, J.N.; Gilroy, D.W. Resolution of inflammation: A new therapeutic frontier. Nat. Rev. Drug Discov. 2016, 15, 551–567. [Google Scholar] [CrossRef]
- Zarrin, A.A.; Bao, K.; Lupardus, P.; Vucic, D. Kinase inhibition in autoimmunity and inflammation. Nat. Rev. Drug Discov. 2021, 20, 39–63. [Google Scholar] [CrossRef]
- Li, W.; Li, R.; Chen, R.; Ai, S.; Zhu, H.; Huang, L.; Lin, W. Activatable fluorescent-photoacoustic integrated probes with deep tissue penetration for pathological diagnosis and therapeutic evaluation of acute inflammation in mice. Anal. Chem. 2022, 94, 7996–8004. [Google Scholar] [CrossRef]
- Tay, M.Z.; Poh, C.M.; Renia, L.; MacAry, P.A.; Ng, L.F.P. The trinity of COVID-19: Immunity, inflammation and intervention. Nat. Rev. Immunol. 2020, 20, 363–374. [Google Scholar] [CrossRef]
- Anderton, H.; Wicks, I.P.; Silke, J. Cell death in chronic inflammation: Breaking the cycle to treat rheumatic disease. Nat. Rev. Rheumatol. 2020, 16, 496–513. [Google Scholar] [CrossRef]
- Wu, D.; Ryu, J.-C.; Chung, Y.W.; Lee, D.; Ryu, J.-H.; Yoon, J.-H.; Yoon, J. A far-red-emitting fluorescence probe for sensitive and selective detection of peroxynitrite in live cells and tissues. Anal. Chem. 2017, 89, 10924–10931. [Google Scholar] [CrossRef]
- Blough, N.V.; Zafiriou, O.C. Reaction of superoxide with nitric oxide to form peroxonitrite in alkaline aqueous solution. Inorg. Chem. 1985, 24, 3502–3504. [Google Scholar] [CrossRef]
- Zhu, M.; Zhou, H.; Ji, D.; Li, G.; Wang, F.; Song, D.; Deng, B.; Li, C.; Qiao, R. A near-infrared fluorescence probe for ultrafast and selective detection of peroxynitrite with large Stokes shift in inflamed mouse models. Dye. Pigment. 2019, 168, 77–83. [Google Scholar] [CrossRef]
- Sonawane, P.M.; Yudhistira, T.; Halle, M.B.; Roychaudhury, A.; Kim, Y.; Surwase, S.S.; Bhosale, V.K.; Kim, J.; Park, H.-S.; Kim, Y.-c.; et al. A water-soluble boronate masked benzoindocyanin fluorescent probe for the detection of endogenous mitochondrial peroxynitrite in live cells and zebrafish as inflammation models. Dye. Pigment. 2021, 191, 109371. [Google Scholar] [CrossRef]
- Shu, W.; Wu, Y.; Duan, Q.; Zang, S.; Su, S.; Jing, J.; Zhang, X. A highly selective fluorescent probe for monitoring exogenous and endogenous ONOO− fluctuations in HeLa cells. Dye. Pigment. 2020, 175, 108069. [Google Scholar] [CrossRef]
- Shu, W.; Wu, Y.; Shen, T.; Cui, J.; Kang, H.; Jing, J.; Zhang, X. A mitochondria-targeted far red fluorescent probe for ratiometric imaging of endogenous peroxynitrite. Dye. Pigment. 2019, 170, 107609. [Google Scholar] [CrossRef]
- Wood, Z.A.; Schroder, E.; Harris, J.R.; Poole, L.B. Structure, mechanism and regulation of peroxiredoxins. Trends Biochem. Sci. 2003, 28, 32–40. [Google Scholar] [CrossRef] [PubMed]
- Koppenol, W.H.; Moreno, J.J.; Pryor, W.A.; Ischiropoulos, H.; Beckman, J.S. Peroxynitrite, a cloaked oxidant formed by nitric oxide and superoxide. Chem. Res. Toxicol. 1992, 5, 834–842. [Google Scholar] [CrossRef]
- Lu, X.; Su, H.; Zhang, J.; Wang, N.; Wang, H.; Liu, J.; Zhao, W. Resorufin-based fluorescent probe with elevated water solubility for visualizing fluctuant peroxynitrite in progression of inflammation. Spectrochim. Acta A 2022, 267, 120620. [Google Scholar] [CrossRef]
- Chen, X.; Tian, X.; Shin, I.; Yoon, J. Fluorescent and luminescent probes for detection of reactive oxygen and nitrogen species. Chem. Soc. Rev. 2011, 40, 4783–4804. [Google Scholar] [CrossRef]
- Wu, D.; Chen, L.; Xu, Q.; Chen, X.; Yoon, J. Design principles, sensing mechanisms, and applications of highly specific fluorescent probes for HOCl/OCl−. Acc. Chem. Res. 2019, 52, 2158–2168. [Google Scholar] [CrossRef]
- Paloczi, J.; Varga, Z.V.; Hasko, G.; Pacher, P. Neuroprotection in oxidative stress-related neurodegenerative diseases: Role of endocannabinoid system modulation. Antioxid. Redox Sign. 2018, 29, 75–108. [Google Scholar] [CrossRef] [PubMed]
- Yu, J.; Shu, W.; Kang, H.; Han, R.; Zhang, X.; Zhang, R.; Jing, J.; Zhang, X. An ESIPT-based fluorescent probe with large Stokes shift for peroxynitrite detection in HeLa cells and zebrafish. Dye. Pigment. 2022, 204, 110334. [Google Scholar] [CrossRef]
- Chan, J.; Dodani, S.C.; Chang, C.J. Reaction-based small-molecule fluorescent probes for chemoselective bioimaging. Nat. Chem. 2012, 4, 973–984. [Google Scholar] [CrossRef] [PubMed]
- Wang, N.; Wang, H.; Zhang, J.; Ji, X.; Su, H.; Liu, J.; Wang, J.; Zhao, W. Endogenous peroxynitrite activated fluorescent probe for revealing anti-tuberculosis drug induced hepatotoxicity. Chin. Chem. Lett. 2022, 33, 1584–1588. [Google Scholar] [CrossRef]
- Wang, N.; Wang, H.; Zhang, J.; Ji, X.; Su, H.; Liu, J.; Wang, J.; Zhao, W. Diketopyrrolopyrrole-based sensor for over-expressed peroxynitrite in drug-induced hepatotoxicity via ratiometric fluorescence imaging. Sensor. Actuat. B-Chem. 2022, 352, 130992. [Google Scholar] [CrossRef]
- Ji, X.; Wang, N.; Zhang, J.; Xu, S.; Si, Y.; Zhao, W. Meso-pyridinium substituted BODIPY dyes as mitochondria-targeted probes for the detection of cysteine in living cells and In Vivo. Dye. Pigment. 2021, 187, 109089. [Google Scholar] [CrossRef]
- Zhang, J.; Wang, N.; Ji, X.; Tao, Y.; Wang, J.; Zhao, W. BODIPY-based fluorescent probes for biothiols. Chem. Eur. J. 2020, 26, 4172–4192. [Google Scholar] [CrossRef]
- Yang, X.; Lu, X.; Wang, J.; Zhang, Z.; Du, X.; Zhang, J.; Wang, J. Near-infrared fluorescent probe with a large stokes shift for detection of hydrogen sulfide in food spoilage, living cells, and zebrafish. J. Agric. Food Chem. 2022, 70, 3047–3055. [Google Scholar] [CrossRef]
- Qin, S.; Lu, H.; Zhang, J.; Ji, X.; Wang, N.; Liu, J.; Zhao, W.; Wang, J. An activatable reporter for fluorescence imaging drug-induced liver injury in diverse cell lines and In Vivo. Dye. Pigment. 2022, 203, 110345. [Google Scholar] [CrossRef]
- Fan, G.; Wang, N.; Zhang, J.; Ji, X.; Qin, S.; Tao, Y.; Zhao, W. BODIPY-based near-infrared fluorescent probe for diagnosis drug-induced liver injury via imaging of HClO in cells and In Vivo. Dye. Pigment. 2022, 199, 110073. [Google Scholar] [CrossRef]
- Lu, X.; Wang, N.; Tao, Y.; Wang, J.; Ji, X.; Liu, J.; Zhao, W.; Zhang, J. Optimizing phenyl selenide-based BODIPYs as fluorescent probes for diagnosing cancer and drug-induced liver injury via cysteine. Chem. Commun. 2022, 58, 12576–12579. [Google Scholar] [CrossRef] [PubMed]
- Wu, D.; Sedgwick, A.C.; Gunnlaugsson, T.; Akkaya, E.U.; Yoon, J.; James, T.D. Fluorescent chemosensors: The past, present and future. Chem. Soc. Rev. 2017, 46, 7105–7123. [Google Scholar] [CrossRef] [PubMed]
- Liu, Y.; Li, X.; Shi, W.; Ma, H. New cell-membrane-anchored near-infrared fluorescent probes for viscosity monitoring. Chem. Commun. 2022, 58, 12815–12818. [Google Scholar] [CrossRef]
- He, Z.; Ishizuka, T.; Hishikawa, Y.; Xu, Y. Click chemistry for fluorescence imaging via combination of a BODIPY-based ‘turn-on’ probe and a norbornene glucosamine. Chem. Commun. 2022, 58, 12479–12482. [Google Scholar] [CrossRef]
- Zhang, Y.; Chen, X.; Yuan, Q.; Bian, Y.; Li, M.; Wang, Y.; Gao, X.; Su, D. Enzyme-activated near-infrared fluorogenic probe with high-efficiency intrahepatic targeting ability for visualization of drug-induced liver injury. Chem. Sci. 2021, 12, 14855–14862. [Google Scholar] [CrossRef]
- Chen, X.; Niu, W.; Yuan, Q.; Zhang, Y.; Gao, X.; Su, D. Mapping the endogenous Zn2+ in situ during zebrafish embryogenesis by a fluorogenic sensor. Sensor. Actuat. B-Chem. 2023, 376, 132937. [Google Scholar] [CrossRef]
- Li, M.; Han, H.; Song, S.; Shuang, S.; Dong, C. AIE-based fluorescent boronate probe and its application in peroxynitrite imaging. Spectrochim. Acta A 2021, 261, 120044. [Google Scholar] [CrossRef]
- Wu, L.; Tian, X.; Lee, D.J.; Yoon, J.; Lim, C.S.; Kim, H.M.; James, T.D. Two-photon ESIPT-based fluorescent probe using 4-hydroxyisoindoline-1,3-dione for the detection of peroxynitrite. Chem. Commun. 2021, 57, 11084–11087. [Google Scholar] [CrossRef] [PubMed]
- Kang, H.; Shu, W.; Yu, J.; Gao, M.; Han, R.; Jing, J.; Zhang, R.; Zhang, X. A near-infrared fluorescent probe for ratiometric imaging peroxynitrite in Parkinson’s disease model. Sensor. Actuat. B-Chem. 2022, 359, 131393. [Google Scholar] [CrossRef]
- Zhang, K.; Wang, Z.; Hu, X.; Meng, J.; Bao, W.; Wang, X.; Ding, W.; Tian, Z. A long-wavelength turn-on fluorescent probe for intracellular nanomolar level peroxynitrite sensing with second-level response. Talanta 2020, 219, 121354. [Google Scholar] [CrossRef]
- Xiong, J.; Wang, W.; Wang, C.; Zhong, C.; Ruan, R.; Mao, Z.; Liu, Z. Visualizing peroxynitrite in microvessels of the brain with stroke using an engineered highly specific fluorescent probe. ACS Sensor. 2020, 5, 3237–3245. [Google Scholar] [CrossRef]
- Wang, W.; Xiong, J.; Song, X.; Wang, Z.; Zhang, F.; Mao, Z. Activatable two-photon near-infrared fluorescent probe tailored toward peroxynitrite In Vivo imaging in tumors. Anal. Chem. 2020, 92, 13305–13312. [Google Scholar] [CrossRef] [PubMed]
- Luo, X.; Cheng, Z.; Wang, R.; Yu, F. Indication of dynamic peroxynitrite fluctuations in the rat epilepsy model with a near-infrared two-photon fluorescent probe. Anal. Chem. 2021, 93, 2490–2499. [Google Scholar] [CrossRef]
- Jiang, G.; Li, C.; Lai, Q.; Liu, X.; Chen, Q.; Zhang, P.; Wang, J.; Tang, B.Z. An easily available ratiometric AIE probe for peroxynitrite In Vitro and In Vivo imaging. Sensor. Actuat. B-Chem. 2021, 329, 129223. [Google Scholar] [CrossRef]
- Gu, B.; Liu, M.; Dai, C.; Zhou, Z.; Tang, D.; Tang, S.; Shen, Y.; Li, H. Rational construction of a novel ratiometric far-red fluorescent probe with excellent water solubility for sensing mitochondrial peroxynitrite. Sensor. Actuat. B-Chem. 2021, 344, 130246. [Google Scholar] [CrossRef]
- Chen, S.; Vurusaner, B.; Pena, S.; Thu, C.T.; Mahal, L.K.; Fisher, E.A.; Canary, J.W. Two-photon, ratiometric, quantitative fluorescent probe reveals fluctuation of peroxynitrite regulated by arginase 1. Anal. Chem. 2021, 93, 10090–10098. [Google Scholar] [CrossRef]
- Feng, S.; Liu, D.; Feng, G. A dual-channel probe with green and near-infrared fluorescence changes for In Vitro and In Vivo detection of peroxynitrite. Anal. Chim. Acta. 2019, 1054, 137–144. [Google Scholar] [CrossRef] [PubMed]
- Sun, S.-G.; Ding, H.; Yuan, G.; Zhou, L. An efficient TP-FRET-based lysosome-targetable fluorescent probe for imaging peroxynitrite with two well-resolved emission channels in living cells, tissues and zebrafish. Anal. Chim. Acta. 2020, 1100, 200–207. [Google Scholar] [CrossRef]
- Li, Z.; Lu, J.; Pang, Q.; You, J. Construction of a near-infrared fluorescent probe for ratiometric imaging of peroxynitrite during tumor progression. Analyst 2021, 146, 5204–5211. [Google Scholar] [CrossRef]
- Yudhistira, T.; Mulay, S.V.; Lee, K.J.; Kim, Y.; Park, H.-S.; Churchill, D.G. Thiomaleimide functionalization for selective biological fluorescence detection of peroxynitrite as tested in HeLa and RAW 264.7 cells. Chem. Asian J. 2017, 12, 1927–1934. [Google Scholar] [CrossRef]
- Xin, F.; Zhao, J.; Shu, W.; Zhang, X.; Luo, X.; Tian, Y.; Xing, M.; Wang, H.; Peng, Y.; Tian, Y. A thiocarbonate-caged fluorescent probe for specific visualization of peroxynitrite in living cells and zebrafish. Analyst 2021, 146, 7627–7634. [Google Scholar] [CrossRef] [PubMed]
- Wang, X.; Tao, Y.; Zhang, J.; Chen, M.; Wang, N.; Ji, X.; Zhao, W. Selective detection and visualization of exogenous/endogenous hypochlorous acid in living cells using a BODIPY-based red-emitting fluorescent probe. Chem. Asian J. 2020, 15, 770–774. [Google Scholar] [CrossRef] [PubMed]
- Yang, X.; Wang, J.; Zhang, Z.; Zhang, B.; Du, X.; Zhang, J.; Wang, J. BODIPY-based fluorescent probe for cysteine detection and its applications in food analysis, test strips and biological imaging. Food Chem. 2023, 416, 135730. [Google Scholar] [CrossRef] [PubMed]
- Wang, N.; Lu, X.; Wang, J.; Wang, H.; Zhang, B.; Zhao, W.; Zhang, J. Quasi-LD-targeted and ONOO−-responsive fluorescent probe for investigating the interaction of nonalcoholic fatty liver with drug-induced liver injury. Anal. Chem. 2023, 95, 5967–5975. [Google Scholar] [CrossRef]







Disclaimer/Publisher’s Note: The statements, opinions and data contained in all publications are solely those of the individual author(s) and contributor(s) and not of MDPI and/or the editor(s). MDPI and/or the editor(s) disclaim responsibility for any injury to people or property resulting from any ideas, methods, instructions or products referred to in the content. |
© 2023 by the authors. Licensee MDPI, Basel, Switzerland. This article is an open access article distributed under the terms and conditions of the Creative Commons Attribution (CC BY) license (https://creativecommons.org/licenses/by/4.0/).
Share and Cite
Qin, S.; Ran, Y.; He, Y.; Lu, X.; Wang, J.; Zhao, W.; Zhang, J. Near-Infrared Fluorescence Probe for Visualizing Fluctuations of Peroxynitrite in Living Cells and Inflammatory Mouse Models. Chemosensors 2023, 11, 316. https://doi.org/10.3390/chemosensors11060316
Qin S, Ran Y, He Y, Lu X, Wang J, Zhao W, Zhang J. Near-Infrared Fluorescence Probe for Visualizing Fluctuations of Peroxynitrite in Living Cells and Inflammatory Mouse Models. Chemosensors. 2023; 11(6):316. https://doi.org/10.3390/chemosensors11060316
Chicago/Turabian StyleQin, Shuchun, Yiming Ran, Yitian He, Xiaoyan Lu, Jiamin Wang, Weili Zhao, and Jian Zhang. 2023. "Near-Infrared Fluorescence Probe for Visualizing Fluctuations of Peroxynitrite in Living Cells and Inflammatory Mouse Models" Chemosensors 11, no. 6: 316. https://doi.org/10.3390/chemosensors11060316
APA StyleQin, S., Ran, Y., He, Y., Lu, X., Wang, J., Zhao, W., & Zhang, J. (2023). Near-Infrared Fluorescence Probe for Visualizing Fluctuations of Peroxynitrite in Living Cells and Inflammatory Mouse Models. Chemosensors, 11(6), 316. https://doi.org/10.3390/chemosensors11060316

