Influence of Nickel Doping on Ultrahigh Toluene Sensing Performance of Core-Shell ZnO Microsphere Gas Sensor
Abstract
:1. Introduction
2. Materials and Methods
2.1. Synthesis of the Pure ZnO and Ni–ZnO Core-Shell Spheres
2.2. Characterization
2.3. Fabrication and Measurement Process of the Gas Sensors
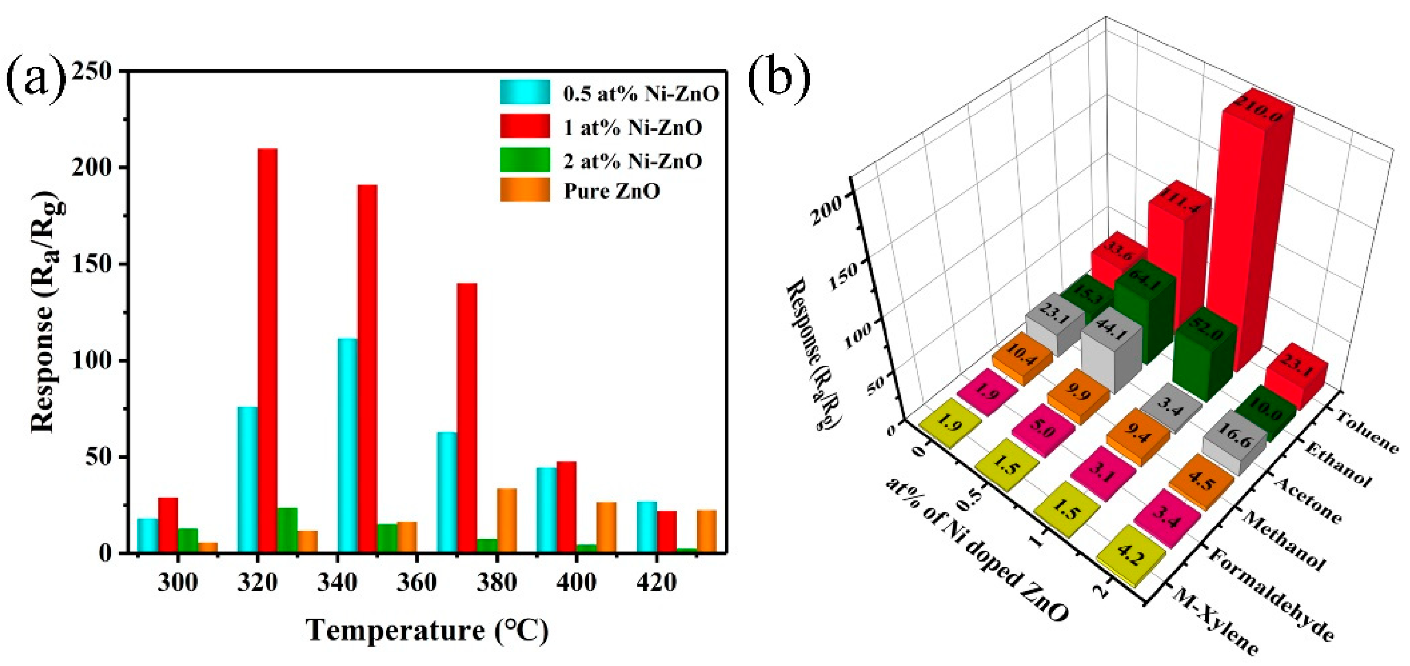
3. Results
Gas Sensing Characteristics
4. Discussion
5. Conclusions
Supplementary Materials
Author Contributions
Funding
Institutional Review Board Statement
Informed Consent Statement
Data Availability Statement
Conflicts of Interest
References
- Mirzaei, A.; Leonardi, S.G.; Neri, G. Detection of hazardous volatile organic compounds (VOCs) by metal oxide nanostructures-based gas sensors: A review. Ceram. Int. 2016, 42, 15119–15141. [Google Scholar] [CrossRef]
- Xu, J.M.; Cheng, J.P. The advances of Co3O4 as gas sensing materials: A review. J. Alloys Compd. 2016, 686, 753–768. [Google Scholar] [CrossRef]
- Sharma, B.; Sharma, A.; Joshi, M.; Myung, J.H. Sputtered SnO2/ZnO heterostructures for improved NO2 gas sensing properties. Chemosensors 2020, 8, 67. [Google Scholar] [CrossRef]
- Hui, G.Z.; Zhu, M.Y.; Yang, X.L.; Liu, J.J.; Pan, G.F.; Wang, Z.Y. Highly sensitive ethanol gas sensor based on CeO2/ZnO binary heterojunction composite. Mater. Lett. 2020, 278, 128453. [Google Scholar] [CrossRef]
- Guo, L.L.; Zhang, B.; Yang, X.L.; Zhang, S.S.; Wang, Y.; Wang, G.D. Sensing platform of PdO-ZnO-In2O3 nanofibers using MOF templated catalysts for triethylamine detection. Sens. Actuators B 2021, 343, 130126. [Google Scholar] [CrossRef]
- Li, S.H.; Xie, L.L.; He, M.; Hu, X.B.; Luo, G.F.; Chen, C.; Zhu, Z. Metal-Organic frameworks-derived bamboo-like CuO/In2O3 Heterostructure for high-performance H2S gas sensor with Low operating temperature. Sens. Actuators B 2020, 310, 127828. [Google Scholar] [CrossRef]
- Ueda, T.; Boehme, I.; Hyodo, T.; Shimizu, Y.; Weimar, U.; Barsan, N. Enhanced NO2 sensing properties of Au-loaded porous In2O3 gas sensors at low operating temperatures. Chemosensors 2020, 8, 72. [Google Scholar] [CrossRef]
- Yang, X.L.; Zhang, S.F.; Yu, Q.; Zhao, L.P.; Sun, P.; Wang, T.S.; Liu, F.; Yan, X.; Gao, Y.; Liang, X.; et al. One step synthesis of branched SnO2/ZnO heterostructures and their enhanced gas-sensing properties. Sens. Actuators B 2019, 281, 415–423. [Google Scholar] [CrossRef]
- Hiyoto, K.A.M.; Fisher, E.R. Utilizing plasma modified SnO2 paper gas sensors to better understand gas-surface interactions at low temperatures. J. Vac. Sci. Technol. A 2020, 38, 043202. [Google Scholar] [CrossRef]
- Zheng, L.; Bi, W.J.; Jin, Z.; Liu, S.T. Synthesis of hierarchical shell-core SnO2 microspheres and their gas sensing properties. Chin. Chem. Lett. 2020, 31, 2083–2086. [Google Scholar] [CrossRef]
- Ueda, T.; Maeda, T.; Huang, Z.D.; Higuchi, K.; Izawa, K.; Kamada, K.; Hyodo, T.; Shimizu, Y. Enhancement of methylmercaptan sensing response of WO3 semiconductor gas sensors by gas reactivity and gas diffusivity. Sens. Actuators B 2018, 273, 826–833. [Google Scholar] [CrossRef]
- Buyukkose, S. Highly selective and sensitive WO3 nanoflakes based ammonia sensor. Mater. Sci. Semicond. Process. 2020, 110, 104969. [Google Scholar] [CrossRef]
- Wang, C.Y.; Li, Y.H.; Qiu, P.P.; Duan, L.L.; Bi, W.; Chen, Y.; Guo, D.; Liu, Y.; Luo, W.; Deng, Y. Controllable synthesis of highly crystallized mesoporous TiO2/WO3 heterojunctions for acetone gas sensing. Chin. Chem. Lett. 2020, 31, 1119–1123. [Google Scholar] [CrossRef]
- Mokoena, T.P.; Tshabalala, Z.P.; Hillie, K.T.; Swart, H.C.; Motaung, D.E. The blue luminescence of p-type NiO nanostructured material induced by defects: H2S gas sensing characteristics at a relatively low operating temperature. Appl. Surf. Sci. 2020, 525, 146002. [Google Scholar] [CrossRef]
- Simion, C.E.; Ghica, C.; Mihalcea, C.G.; Ghica, D.; Mercioniu, I.; Somacescu, S.; Florea, Q.G.; Stanoiu, A. Insights about CO gas-sensing mechanism with NiO-based gas sensors the influence of humidity. Chemosensors 2021, 9, 244. [Google Scholar] [CrossRef]
- Alev, O.; Sarica, N.; Ozdemir, O.; Arslan, L.C.; Buyukkose, S.; Oztur, Z.Z. Cu-doped ZnO nanorods based QCM sensor for hazardous gases. J. Alloys Compd. 2020, 826, 154177. [Google Scholar] [CrossRef]
- Umar, A.; Algadi, H.; Kumar, R.; Akhtar, M.S.; Ibrahim, A.A.; Albargi, H.; Alhamami, M.A.M.; Alsuwian, T.; Zeng, W. Ultrathin leaf-shaped CuO nanosheets based sensor device for enhanced hydrogen sulfide gas sensing application. Chemosensors 2021, 9, 221. [Google Scholar] [CrossRef]
- Reynolds, D.C.; Look, D.C.; Jogai, B.; Hoelscher, J.E.; Sherriff, R.E.; Harris, M.T.; Callahan, M.J. Time-resolved photoluminescence lifetime measurements of the Γ5 and Γ6 free excitons in ZnO. J. Appl. Phys. 2000, 88, 2152–2153. [Google Scholar] [CrossRef]
- Norton, D.P.; Heo, Y.W.; Ivill, M.P.; Ip, K.; Pearton, S.J.; Chisholm, M.F. ZnO: Growth, doping & processing. Mater. Today 2004, 7, 34–40. [Google Scholar]
- Modaberi, M.R.; Rooydell, R.; Brahma, S.; Akande, A.A.; Mwakikunga, B.W.; Liu, C.P. Enhanced response and selectivity of H2S sensing through controlled Ni doping into ZnO nanorods by using single metal organic precursors. Sens. Acuators B 2018, 273, 1278–1290. [Google Scholar] [CrossRef]
- Liang, Y.C.; Liao, W.K.; Deng, X.S. Synthesis and substantially enhanced gas sensing sensitivity of homogeneously nanoscale Pd- and Au-particle decorated ZnO nanostructures. J. Alloys Compd. 2014, 599, 87–92. [Google Scholar] [CrossRef]
- Gardon, M.; Guilemany, J.M. A review on fabrication, sensing mechanisms and performance of metal oxide gas sensors. J. Mater. Sci. Mater. Electron. 2013, 24, 1410–1421. [Google Scholar] [CrossRef]
- Hu, J.; Gao, F.Q.; Sang, S.B.; Li, P.W.; Deng, X.; Zhang, W.D.; Chen, Y.; Lian, K. Optimization of Pd content in ZnO microstructures for high-performance gas detection. J. Mater. Sci. 2015, 50, 1935–1942. [Google Scholar] [CrossRef]
- Wang, W.C.; Tian, Y.T.; Wang, X.C.; He, H.; Xu, Y.R.; He, C.; Li, H. Ethanol sensing properties of porous ZnO spheres via hydrothermal route. J. Mater. Sci. 2013, 48, 3232–3238. [Google Scholar] [CrossRef]
- Khoang, N.D.; Hong, H.S.; Trung, D.D.; van Duy, N.; Hoa, N.D.; Thinh, D.D.; Van Hieu, N. On-chip growth of wafer-scale planar-type ZnO nanorod sensors for effective detection of CO gas. Sens. Actuators B 2013, 181, 529–536. [Google Scholar] [CrossRef]
- Zhang, W.H.; Zhang, W.D.; Zhou, J.F. Solvent thermal synthesis and gas-sensing properties of Fe-doped ZnO. J. Mater. Sci. 2010, 45, 209–215. [Google Scholar] [CrossRef]
- Luo, J.; Ma, S.Y.; Li, F.M.; Li, X.B.; Li, W.Q.; Cheng, L.; Mao, Y.Z.; Gz, D.J. The mesoscopic structure of flower-like ZnO nanorods for acetone detection. Mater. Lett. 2014, 121, 137–140. [Google Scholar] [CrossRef]
- Xiong, H.M. ZnO nanoparticles applied to bioimaging and drug delivery. Adv. Mater. 2013, 25, 5329–5335. [Google Scholar] [CrossRef]
- Huang, J.R.; Xu, X.J.; Gu, C.P.; Yang, M.; Yang, M.; Liu, J.H. Large-scale synthesis of hydrated tungsten oxide 3D architectures by a simple chemical solution route and their gas-sensing properties. J. Mater. Chem. 2011, 21, 13283–13289. [Google Scholar] [CrossRef]
- Li, H.Y.; Wang, X. Three-dimensional architectures constructed using two-dimensional nanosheets. Sci. China Chem. 2015, 58, 1792–1799. [Google Scholar] [CrossRef]
- Sohila, S.; Rajendran, R.; Yaakob, Z.; Teridi, M.A.M.; Sopian, K. Photoelectrochemical water splitting performance of flower like ZnO nanostructures synthesized by a novel chemical method. J. Mater. Sci. Mater. Electron. 2016, 27, 2846–2851. [Google Scholar] [CrossRef]
- Akamatsu, T.; Itoh, T.; Tsuruta, A.; Masuda, Y. CH3SH and H2S Sensing Properties of V2O5/WO3/TiO2 Gas Sensor. Chemosensors 2021, 9, 113. [Google Scholar] [CrossRef]
- Li, Y.M.; Hu, H.J.; Zhang, W.F.; Tian, Z.Q.; Jiang, X.Q.; Wang, Y.H.; Zhang, S.; Zhang, Q.; Jian, J.; Zou, J. Theoretical Study on the Electrochemical Catalytic Activity of Au-Doped Pt Electrode for Nitrogen Monoxide. Chemosensors 2022, 10, 178. [Google Scholar] [CrossRef]
- Guo, W.W.; Jian, L.J.; Wang, X.M.; Zeng, W. Hydrothermal synthesis of Ni-doped hydrangea-like Bi2WO6 and the enhanced gas sensing property to n-butanol. Sens. Actuators B 2022, 357, 131396. [Google Scholar] [CrossRef]
- Sun, Q.H.; Wu, Z.F.; Cao, B.B.; Chen, X.; Zhang, C.C.; Shaymurat, T.; Duan, H.; Zhang, J.; Zhang, M. Gas sensing performance of biomass carbon materials promoted by nitrogen doping and p-n junction. Appl. Surf. Sci. 2022, 592, 153254. [Google Scholar] [CrossRef]
- Park, H.; Kim, D.H.; Ma, B.S.; Shin, E.; Kim, Y.; Kim, T.S.; Kim, F.S.; Kim, I.D.; Kim, B.J. High-Performance, Flexible NO2 Chemiresistors Achieved by Design of Imine-Incorporated n-Type Conjugated Polymers. Adv. Sci. 2022, 9, 2200270. [Google Scholar] [CrossRef]
- Fan, Y.R.; Xu, Y.Y.; Wang, Y.X.; Sun, Y.Q. Fabrication and characterization of Co-doped ZnO nanodiscs for selective TEA sensor applications with high response, high selectivity and ppb-level detection limit. J. Alloys Compd. 2021, 876, 160170. [Google Scholar] [CrossRef]
- Lu, S.H.; Hu, X.F.; Zheng, H.; Qiu, J.W.; Tian, R.B.; Quan, W.J.; Min, X.; Ji, P.; Hu, Y.; Cheng, S.; et al. Highly selective, ppb-level xylene gas detection by Sn2+-doped NiO flower-like microspheres prepared by a one-step hydrothermal. Method Sens. 2019, 19, 2958. [Google Scholar] [CrossRef]
- Lee, C.S.; Li, H.Y.; Kim, B.Y.; Jo, Y.M.; Byun, H.G.; Hwang, I.S.; Abdel-Hady, F.; Wazzan, A.A.; Lee, J.-H. Discriminative detection of indoor volatile organic compounds using a sensor array based on pure and Fe-doped In2O3 nanofibers. Sens. Actuators B 2019, 285, 193–200. [Google Scholar] [CrossRef]
- Chacko, L.; Massera, E.; Aneesh, P.M. Enhancement in the selectivity and sensitivity of Ni and Pd functionalized MoS2 toxic gas sensors. J. Electrochem. Soc. 2020, 167, 106506. [Google Scholar] [CrossRef]
- Guo, W.W.; Zhao, B.Y.; Zhou, Q.L.; He, Y.Z.; Wang, Z.C.; Radacsi, N. Fe-doped ZnO/reduced graphene oxide nanocomposite with synergic enhanced gas sensing performance for the effective detection of formaldehyde. ACS Omega 2019, 4, 10252–10262. [Google Scholar] [CrossRef]
- Lu, Y.Y.; Zhan, W.W.; He, Y.; Wang, Y.T.; Kong, X.J.; Kuang, Q.; Xie, Z.; Zheng, X. MOF-templated synthesis of porous Co3O4 concave nanocubes with high specific surface area and their gas sensing properties. ACS Appl. Mater. Interfaces 2014, 6, 4186–4195. [Google Scholar] [CrossRef]
- Li, D.P.; Zhang, Y.; Xu, J.C.; Jin, H.X.; Jin, D.F.; Hong, B.; Peng, X.; Wang, P.; Ge, H.; Wang, X. Nanocasting synthesis and gas-sensing behavior of hematite nanowires. Phys. E Low-Dimens. Syst. Nanostruct. (Amst. Neth.) 2016, 84, 395–400. [Google Scholar] [CrossRef]
- Chen, H.D.; Jin, K.L.; Wang, P.F.; Xu, J.C.; Han, Y.B.; Jin, H.X.; Jin, D.F.; Peng, X.L.; Hong, B.; Li, J.; et al. Highly enhanced gas-sensing properties of indium-doped mesoporous hematite nanowires. J. Phys. Chem. Solids 2018, 120, 271–278. [Google Scholar] [CrossRef]
- Su, C.; Zhang, L.; Han, Y.T.; Ren, C.; Li, B.L.; Wang, T.; Zeng, M.; Su, Y.; Hu, N.; Zhou, Z.; et al. Glucose-assisted synthesis of hierarchical NiO-ZnO heterostructure with enhanced glycol gas sensing performance. Sens. Actuators B 2021, 329, 129167. [Google Scholar] [CrossRef]
- Sun, K.; Zhan, G.H.; Chen, H.D.; Lin, S.W. Low-operating-temperature NO2 sensor based on a CeO2/ZnO heterojunction. Sensors 2021, 21, 8269. [Google Scholar] [CrossRef] [PubMed]
- Zhao, Y.M.; Wang, S.; Zhai, X.; Shao, L.; Bai, X.J.; Liu, Y.L.; Wang, T.; Li, Y.; Zhang, L.; Fan, F.; et al. Construction of Zn/Ni bimetallic organic framework derived ZnO/NiO heterostructure with superior N-propanol sensing performance. ACS Appl. Mater. Interfaces 2021, 13, 9206–9215. [Google Scholar] [CrossRef] [PubMed]
- Duan, Z.H.; Zhao, Q.N.; Wang, S.; Huang, Q.; Yuan, Z.; Zhang, Y.J.; Jiang, Y.; Tai, H. Halloysite nanotubes: Natural, environmental-friendly and low-cost nanomaterials for high-performance humidity sensor. Sens. Actuators B 2020, 317, 128204. [Google Scholar] [CrossRef]
- Chen, X.X.; Shen, Y.B.; Zhou, P.F.; Zhong, X.X.; Li, G.D.; Han, C.; Wei, D.; Li, S. Bimetallic Au/Pd nanoparticles decorated ZnO nanowires for NO2 detection. Sens. Actuators B 2019, 289, 160–168. [Google Scholar] [CrossRef]
- Zhou, C.G.; Meng, F.Q.; Chen, K.; Yang, X.L.; Wang, T.S.; Sun, P.; Liu, F.; Yan, X.; Shimanoe, K.; Lu, G. High sensitivity and low detection limit of acetone sensor based on NiO/Zn2SnO4 p-n heterojunction octahedrons. Sens. Actuators B 2021, 339, 129912. [Google Scholar] [CrossRef]
- Wang, C.; Cui, X.B.; Liu, J.Y.; Zhou, X.; Cheng, X.Y.; Sun, P.; Hu, X.; Li, X.; Zheng, J.; Lu, G. Design of superior ethanol gas sensor based on Al-doped NiO nanorod-flowers. ACS Sens. 2016, 1, 131–136. [Google Scholar] [CrossRef]
- Wang, S.; Huang, D.; Xu, S.S.; Jiang, W.K.; Wang, T.; Hu, J.; Hu, N.; Su, Y.; Zhang, Y.; Yang, Z. Two-dimensional NiO nanosheets with enhanced room temperature NO2 sensing performance via Al doping. Phys. Chem. Chem. Phys. 2017, 19, 19043–19049. [Google Scholar] [CrossRef]
- Wang, L.L.; Lou, Z.; Zhang, R.; Zhou, T.T.; Deng, J.N.; Zhang, T. Hybrid Co3O4/SnO2 core-shell nanospheres as real-time rapid-response sensors for ammonia gas. ACS Appl. Mater. Interfaces 2016, 8, 6539–6545. [Google Scholar] [CrossRef]
- Korotcenkov, G.; Cho, B.K. Engineering approaches for the improvement of conductometric gas sensor parameters Part 1. Improvement of sensor sensitivity and selectivity (short survey). Sens. Actuators B 2013, 188, 709–728. [Google Scholar] [CrossRef]
- Li, F.; Gao, X.; Wang, R.; Zhang, T. Design of WO3-SnO2 core-shell nanofibers and their enhanced gas sensing performance based on different work function. Appl. Surf. Sci. 2018, 442, 30–37. [Google Scholar] [CrossRef]
- Kim, J.H.; Kim, H.W.; Kim, S.S. Self-heating effects on the toluene sensing of Pt-functionalized SnO2-ZnO core-shell nanowires. Sens. Actuators B 2017, 251, 781–794. [Google Scholar] [CrossRef]
- Chen, H.; Ao, S.R.; Li, G.D.; Gao, Q.; Zou, X.X.; Wei, C.D. Enhanced sensing performance to toluene and xylene by constructing NiGa2O4-NiO heterostructures. Sens. Actuators B 2019, 282, 331–338. [Google Scholar] [CrossRef]
- Nie, L.F.; Fan, G.J.; Wang, A.Q.; Zhang, L.; Guan, J.; Han, N.; Chen, Y. Finely dispersed and highly toluene sensitive NiO/NiGa2O4 heterostructures prepared from layered double hydroxides precursors. Sens. Actuators B 2021, 345, 130412. [Google Scholar] [CrossRef]
- Hermawan, A.; Asakura, Y.; Inada, M.; Yin, S. A facile method for preparation of uniformly decorated-spherical SnO2 by CuO nanoparticles for highly responsive toluene detection at high temperature. J. Mater. Sci. Technol. 2020, 51, 119–129. [Google Scholar] [CrossRef]
- Jamnik, D.J.S.S.I. Investigation of the PTCR effect in ZnO–NiO two-phase ceramics. Solid State Ion. 1997, 99, 125–135. [Google Scholar]
- Kim, H.J.; Lee, J.H. Highly sensitive and selective gas sensors using p-type oxide semiconductors: Overview. Sens. Actuators B 2014, 192, 607–627. [Google Scholar] [CrossRef]
- Jun, J.H.; Yun, J.; Cho, K.; Hwang, I.S.; Lee, J.H.; Kim, S. Necked ZnO nanoparticle-based NO2 sensors with high and fast response. Sens. Actuators B 2009, 140, 412–417. [Google Scholar] [CrossRef]
- Zhou, J.Y.; Bai, J.L.; Zhao, H.; Yang, Z.Y.; Gu, X.Y.; Huang, B.Y.; Zhao, C.H.; Cairang, L.; Sun, G.Z.; Zhang, Z.X.; et al. Gas sensing enhancing mechanism via doping-induced oxygen vacancies for gas sensors based on indium tin oxide nanotubes. Sens. Actuators B 2018, 265, 273–284. [Google Scholar] [CrossRef]
- Patil, V.L.; Vanalakar, S.A.; Patil, P.S.; Kim, J.H. Fabrication of nanostructured ZnO thin films based NO2 gas sensor via SILAR technique. Sens. Actuators B 2017, 239, 1185–1193. [Google Scholar] [CrossRef]
- Zhang, R.; Gao, S.; Zhou, T.T.; Tu, J.C.; Zhang, T. Facile preparation of hierarchical structure based on p-type Co3O4 as toluene detecting sensor. Appl. Surf. Sci. 2020, 503, 144167. [Google Scholar] [CrossRef]
- Zhang, R.; Xu, Z.W.; Zhou, T.T.; Fei, T.; Wang, R.; Zhang, T. Improvement of gas sensing performance for tin dioxide sensor through construction of nanostructures. JCIS 2019, 557, 673–682. [Google Scholar] [CrossRef]
- Kim, J.H.; Mirzaei, A.; Kim, H.W.; Kim, S.S. Variation of shell thickness in ZnO-SnO2 core-shell nanowires for optimizing sensing behaviors to CO, C6H6, and C7H8 gases. Sens. Actuators B 2020, 302, 127150. [Google Scholar] [CrossRef]
- Bai, J.L.; Zhao, C.H.; Gong, H.M.; Wang, Q.; Huang, B.Y.; Sun, G.Z.; Wang, Y.; Zhou, J.; Xie, E.; Wang, F. Debye-length controlled gas sensing performances in NiO@ZnO p-n junctional core-shell nanotubes. J. Phys. D Appl. Phys. 2019, 52, 285103. [Google Scholar] [CrossRef]
- Zhou, T.T.; Zhang, T.; Zeng, Y.; Zhang, R.; Lou, Z.; Deng, J.N.; Wang, L. Structure-driven efficient NiFe2O4 materials for ultra-fast response electronic sensing platform. Sens. Actuators B 2018, 255, 1436–1444. [Google Scholar] [CrossRef]
- Kim, H.R.; Choi, K.I.; Kim, K.M.; Kim, I.D.; Cao, G.Z.; Lee, J.H. Ultra-fast responding and recovering C2H5OH sensors using SnO2 hollow spheres prepared and activated by Ni templates. Chem. Commun. 2010, 46, 5061–5063. [Google Scholar] [CrossRef]
- Yang, M.; Lu, J.Y.; Wang, X.; Zhang, H.; Chen, F.; Sun, J.B.; Yang, J.; Sun, Y.; Lu, G. Acetone sensors with high stability to humidity changes based on Ru-doped NiO flower-like microspheres. Sens. Actuators B 2020, 313, 127965. [Google Scholar] [CrossRef]
- Luo, Y.B.; An, B.X.; Bai, J.L.; Wang, Y.R.; Cheng, X.; Wang, Q.; Li, J.; Yang, Y.; Wu, Z.; Xie, E. Ultrahigh-response hydrogen sensor based on PdO/NiO co-doped In2O3 nanotubes. J. Colloid Interface Sci. 2021, 599, 533–542. [Google Scholar] [CrossRef]










| Species | Peak (eV) | ZnO | 0.5 at% Ni–ZnO | 1 at% Ni–ZnO | 2 at% Ni–ZnO |
|---|---|---|---|---|---|
| OL | 529.9 | 60.0% | 55.9% | 53.0% | 53.7% |
| OV | 530.8 | 15.6% | 19.9% | 22.8% | 21.0% |
| OC | 531.7 | 24.4% | 24.2% | 24.2% | 25.3% |
| Sensing Material | Conc. in ppm | Operating Temperature (°C) | Response | Res/Rec (s) | LOD (ppm) | Ref. |
|---|---|---|---|---|---|---|
| WO3–SnO2 | 10 | 340 | 5.6 | 14.5/406 | - | [55] |
| SnO2–ZnO | 50 | 200 | 7.5 | 90/150 | 0.1 | [56] |
| NiGa2O4–NiO | 100 | 230 | 12.7 | 60/70 | 0.5 | [57] |
| NiO/NiGa2O4 | 5 | 200 | 10.54 | 600/- | - | [58] |
| CuO–SnO2 | 75 | 400 | 540 | 100/36 | 10 | [59] |
| Ni–ZnO | 100 | 320 | 210 | 2/77 | 0.5 | Present work |
Publisher’s Note: MDPI stays neutral with regard to jurisdictional claims in published maps and institutional affiliations. |
© 2022 by the authors. Licensee MDPI, Basel, Switzerland. This article is an open access article distributed under the terms and conditions of the Creative Commons Attribution (CC BY) license (https://creativecommons.org/licenses/by/4.0/).
Share and Cite
Li, Z.; Li, S.; Song, Z.; Yang, X.; Wang, Z.; Zhang, H.; Guo, L.; Sun, C.; Liu, H.; Shao, J.; et al. Influence of Nickel Doping on Ultrahigh Toluene Sensing Performance of Core-Shell ZnO Microsphere Gas Sensor. Chemosensors 2022, 10, 327. https://doi.org/10.3390/chemosensors10080327
Li Z, Li S, Song Z, Yang X, Wang Z, Zhang H, Guo L, Sun C, Liu H, Shao J, et al. Influence of Nickel Doping on Ultrahigh Toluene Sensing Performance of Core-Shell ZnO Microsphere Gas Sensor. Chemosensors. 2022; 10(8):327. https://doi.org/10.3390/chemosensors10080327
Chicago/Turabian StyleLi, Zhenhua, Sijia Li, Zijian Song, Xueli Yang, Ziyan Wang, Hao Zhang, Lanlan Guo, Caixuan Sun, Hongyan Liu, Junkai Shao, and et al. 2022. "Influence of Nickel Doping on Ultrahigh Toluene Sensing Performance of Core-Shell ZnO Microsphere Gas Sensor" Chemosensors 10, no. 8: 327. https://doi.org/10.3390/chemosensors10080327
APA StyleLi, Z., Li, S., Song, Z., Yang, X., Wang, Z., Zhang, H., Guo, L., Sun, C., Liu, H., Shao, J., Cheng, Y., & Pan, G. (2022). Influence of Nickel Doping on Ultrahigh Toluene Sensing Performance of Core-Shell ZnO Microsphere Gas Sensor. Chemosensors, 10(8), 327. https://doi.org/10.3390/chemosensors10080327

