Assessing the Impact of Computable Type 2 Diabetes Phenotypes on Predicting Healthcare Utilization Using Electronic Health Records and Administrative Claims
Abstract
1. Introduction
2. Materials and Methods
2.1. Data Source and Study Population
2.2. Variables and Measures
2.3. Statistical Analysis
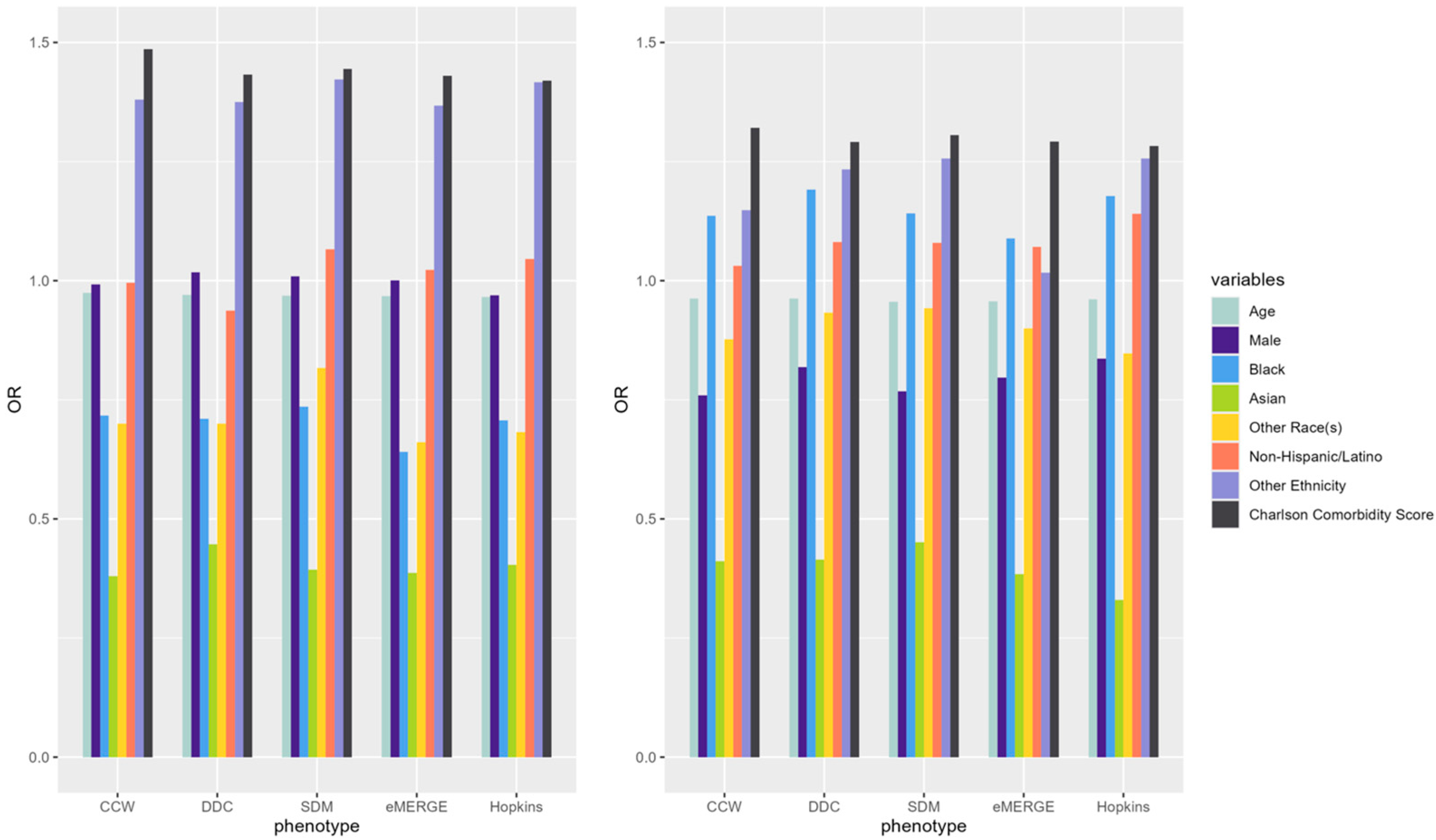
3. Results
4. Discussion
5. Conclusions
Author Contributions
Funding
Institutional Review Board Statement
Informed Consent Statement
Data Availability Statement
Acknowledgments
Conflicts of Interest
Abbreviations
| AUC | area under the curve |
| CCW | CMS Chronic Conditions Data Warehouse |
| CI | confidence interval |
| DDC | Durham Diabetes Coalition |
| Dx | diagnosis |
| EHR | electronic health record |
| eMERGE | eMERGE Northwestern Group |
| ER | emergency room |
| IP | inpatient |
| JHMI | Johns Hopkins Medical Institute |
| Lx | laboratory |
| NDC | National Drug Codes |
| NPV | negative predictive value |
| OR | odds ratio |
| PPV | positive predictive value |
| Rx | medication |
| SDM | Surveillance Prevention and Management of Diabetes Mellitus (SUPREME-DM) |
| T2D | type 2 diabetes |
Appendix A



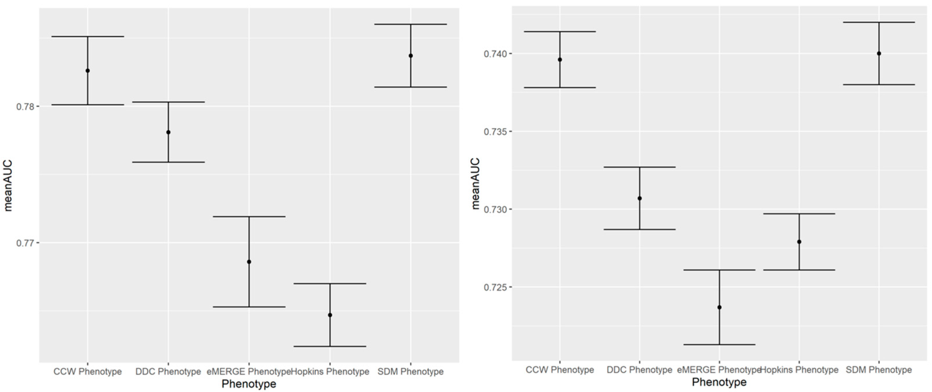
| Outcome Year | Phenotype | Mean AUC [95% CI] | Mean Sensitivity [95% CI] | Mean Specificity [95% CI] | Mean PPV [95% CI] | Mean NPV [95% CI] |
|---|---|---|---|---|---|---|
| IP 2018 | CCW | 0.7670 [0.7647, 0.7693] | 0.7013 [0.6961, 0.7065] | 0.7142 [0.7092, 0.7192] | 0.3417 [0.3384, 0.3450] | 0.9191 [0.918, 0.9202] |
| DDC | 0.7562 [0.7540, 0.7584] | 0.6829 [0.6776, 0.6882] | 0.7091 [0.7038, 0.7144] | 0.2907 [0.2878, 0.2936] | 0.9280 [0.9272, 0.9288] | |
| Hopkins | 0.7424 [0.7402, 0.7446] | 0.6659 [0.6603, 0.6715] | 0.7042 [0.6984, 0.7100] | 0.2750 [0.2720, 0.2780] | 0.9264 [0.9256, 0.9272] | |
| SDM | 0.7588 [0.7566, 0.7610] | 0.6962 [0.6908, 0.7016] | 0.7010 [0.6953, 0.7067] | 0.2941 [0.2909, 0.2973] | 0.9285 [0.9276, 0.9294] | |
| eMERGE | 0.7483 [0.7457, 0.7509] | 0.6740 [0.6684, 0.6796] | 0.6962 [0.6909, 0.7015] | 0.2789 [0.2761, 0.2817] | 0.9249 [0.9240, 0.9258] | |
| ER 2018 | CCW | 0.7427 [0.7407, 0.7447] | 0.7034 [0.6988, 0.708] | 0.6702 [0.6663, 0.6741] | 0.3581 [0.3558, 0.3604] | 0.8965 [0.8953, 0.8977] |
| DDC | 0.7344 [0.7325, 0.7363] | 0.6966 [0.6924, 0.7008] | 0.6617 [0.6580, 0.6654] | 0.2978 [0.2959, 0.2997] | 0.9139 [0.9130, 0.9148] | |
| Hopkins | 0.7305 [0.7287, 0.7323] | 0.6939 [0.6892, 0.6986] | 0.6572 [0.6529, 0.6615] | 0.2959 [0.2940, 0.2978] | 0.9120 [0.9110, 0.9130] | |
| SDM | 0.7404 [0.7385, 0.7423] | 0.7043 [0.6994, 0.7092] | 0.6642 [0.6600, 0.6684] | 0.3047 [0.3027, 0.3067] | 0.9151 [0.9141, 0.9161] | |
| eMERGE | 0.7365 [0.7341, 0.7389] | 0.6960 [0.6908, 0.7012] | 0.6678 [0.6627, 0.6729] | 0.2920 [0.2895, 0.2945] | 0.9181 [0.9171, 0.9191] | |
| IP 2017 | CCW | 0.7826 [0.7801, 0.7851] | 0.6860 [0.6813, 0.6907] | 0.7628 [0.7578, 0.7678] | 0.3433 [0.3392, 0.3474] | 0.9311 [0.9302, 0.932] |
| DDC | 0.7781 [0.7759, 0.7803] | 0.6900 [0.6852, 0.6948] | 0.7489 [0.7446, 0.7532] | 0.2878 [0.2849, 0.2907] | 0.9429 [0.9422, 0.9436] | |
| Hopkins | 0.7647 [0.7624, 0.7670] | 0.6818 [0.6769, 0.6867] | 0.7229 [0.7175, 0.7283] | 0.2612 [0.2581, 0.2643] | 0.9409 [0.9402, 0.9416] | |
| SDM | 0.7837 [0.7814, 0.7860] | 0.7047 [0.6994, 0.7100] | 0.7385 [0.7328, 0.7442] | 0.2895 [0.2858, 0.2932] | 0.9434 [0.9427, 0.9441] | |
| eMERGE | 0.7686 [0.7653, 0.7719] | 0.6851 [0.6794, 0.6908] | 0.7390 [0.7338, 0.7442] | 0.2745 [0.2707, 0.2783] | 0.9425 [0.9416, 0.9434] | |
| ER 2017 | CCW | 0.7396 [0.7378, 0.7414] | 0.6770 [0.6733, 0.6807] | 0.6774 [0.6742, 0.6806] | 0.3996 [0.3974, 0.4018] | 0.8689 [0.8678, 0.8700] |
| DDC | 0.7307 [0.7287, 0.7327] | 0.6816 [0.6775, 0.6857] | 0.6591 [0.6555, 0.6627] | 0.3333 [0.3311, 0.3355] | 0.8924 [0.8913, 0.8935] | |
| Hopkins | 0.7279 [0.7261, 0.7297] | 0.6757 [0.6712, 0.6802] | 0.6585 [0.6544, 0.6626] | 0.3313 [0.3292, 0.3334] | 0.8904 [0.8893, 0.8915] | |
| SDM | 0.7400 [0.7380, 0.7420] | 0.6913 [0.6861, 0.6965] | 0.6661 [0.6625, 0.6697] | 0.3446 [0.3427, 0.3465] | 0.8949 [0.8936, 0.8962] | |
| eMERGE | 0.7237 [0.7213, 0.7261] | 0.6711 [0.6651, 0.6771] | 0.6632 [0.6580, 0.6684] | 0.3190 [0.3167, 0.3213] | 0.8960 [0.8947, 0.8973] |
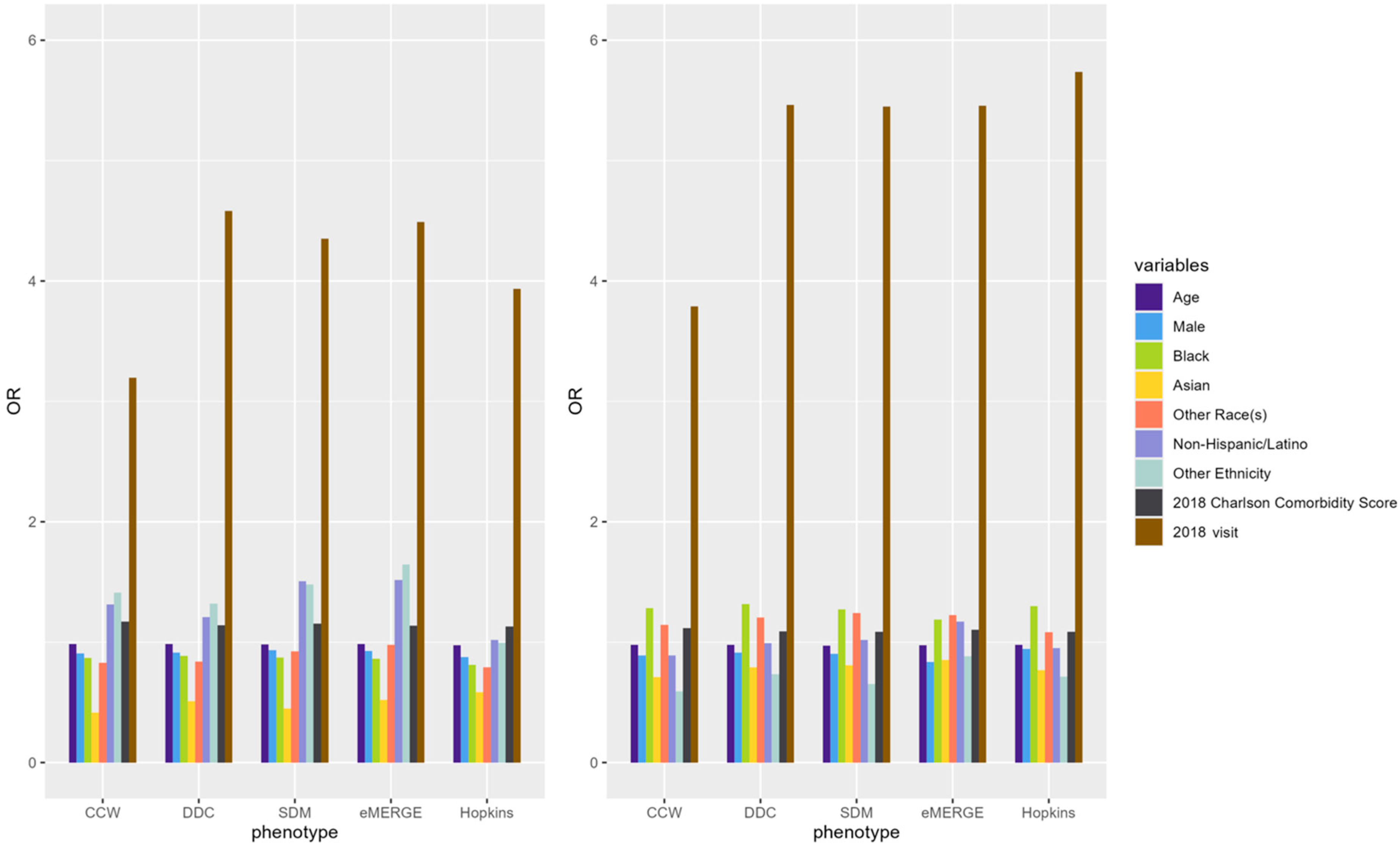
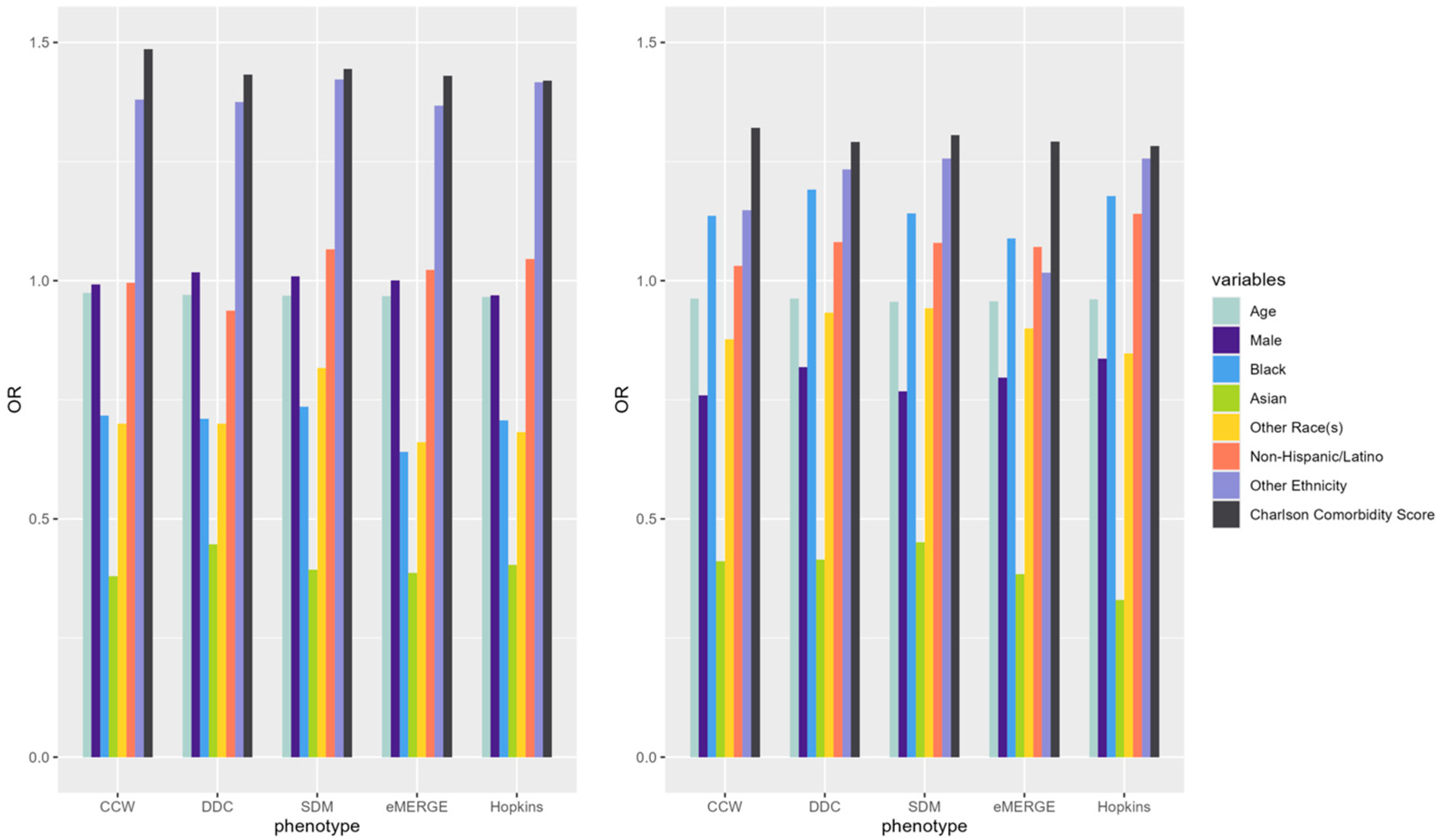
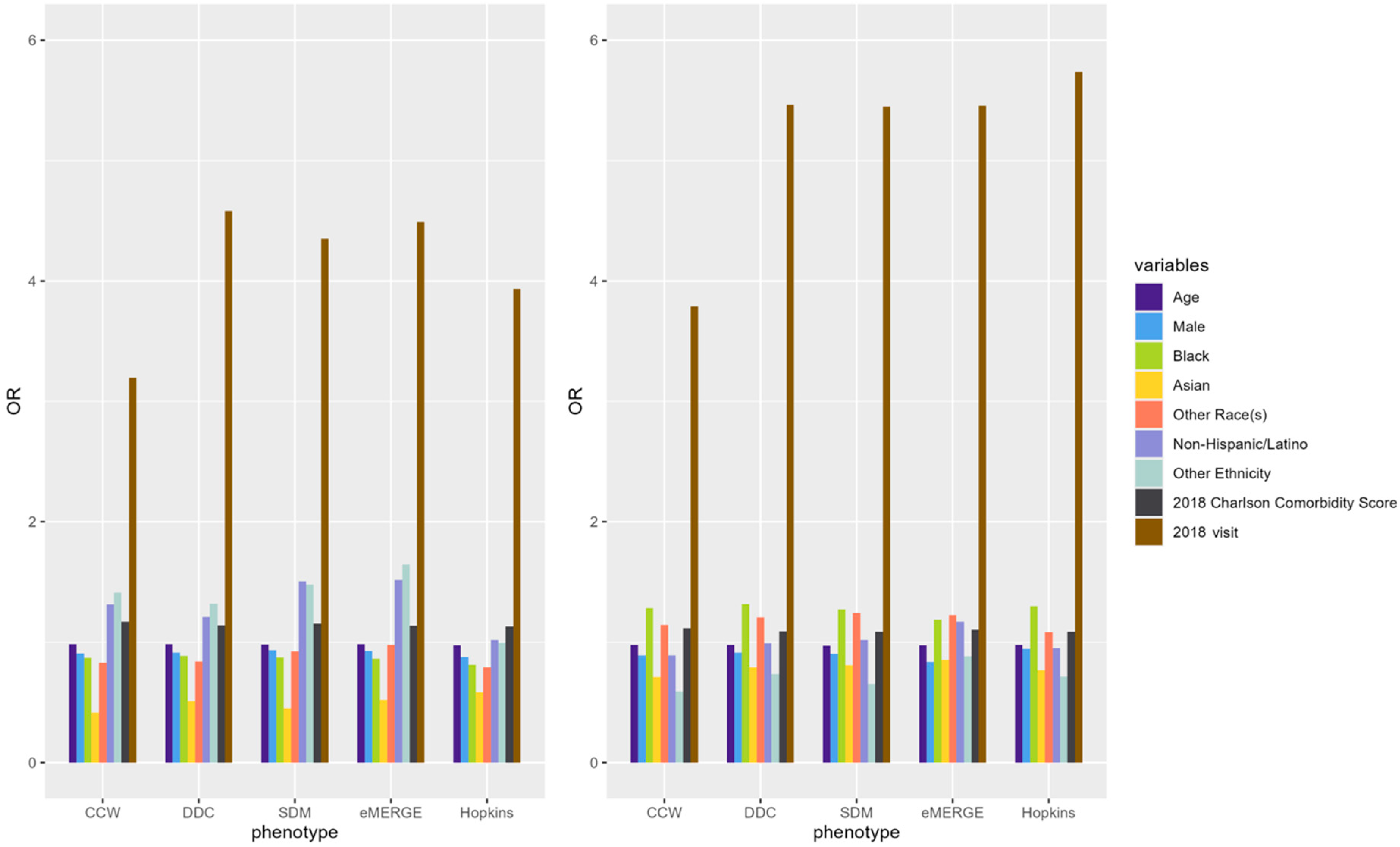
| Phenotype | Variable | IP 2019 Odds Ratio | p-Value | ER 2019 Odds Ratio | p-Value |
|---|---|---|---|---|---|
| CCW | Age | 0.975 [0.967, 0.983] | <0.001 | 0.963 [0.956, 0.969] | <0.001 |
| Female | Reference Group | Reference Group | |||
| Male | 0.993 [0.831, 1.186] | 0.668 | 0.767 [0.654, 0.901] | 0.004 | |
| White | Reference Group | Reference Group | |||
| Black | 0.717 [0.594, 0.865] | 0.003 | 1.140 [0.962, 1.349] | 0.183 | |
| Asian | 0.382 [0.223, 0.655] | 0.001 | 0.401 [0.242, 0.664] | 0.001 | |
| Other Race(s) | 0.710 [0.465, 1.084] | 0.156 | 0.888 [0.606, 1.300] | 0.557 | |
| Hispanic/Latino | Reference Group | Reference Group | |||
| Non-Hispanic/Latino | 0.971 [0.584, 1.615] | 0.701 | 1.030 [0.652, 1.628] | 0.705 | |
| Other Ethnicity | 1.341 [0.736, 2.446] | 0.386 | 1.139 [0.656, 1.976] | 0.587 | |
| Charlson Comorbidity Score | 1.488 [1.440, 1.537] | <0.001 | 1.322 [1.284, 1.360] | <0.001 | |
| DDC | Age | 0.970 [0.963, 0.977] | <0.001 | 0.962 [0.956, 0.968] | <0.001 |
| Female | Reference Group | Reference Group | |||
| Male | 1.027 [0.871, 1.211] | 0.649 | 0.819 [0.704, 0.952] | 0.019 | |
| White | Reference Group | Reference Group | |||
| Black | 0.712 [0.599, 0.846] | 0.001 | 1.184 [1.011, 1.386] | 0.070 | |
| Asian | 0.445 [0.273, 0.724] | 0.003 | 0.415 [0.255, 0.676] | 0.001 | |
| Other Race(s) | 0.697 [0.468, 1.039] | 0.116 | 0.935 [0.651, 1.341] | 0.661 | |
| Hispanic/Latino | Reference Group | Reference Group | |||
| Non-Hispanic/Latino | 0.933 [0.586, 1.484] | 0.670 | 1.070 [0.697, 1.644] | 0.671 | |
| Other Ethnicity | 1.346 [0.773, 2.347] | 0.347 | 1.218 [0.723, 2.051] | 0.480 | |
| Charlson Comorbidity Score | 1.429 [1.389, 1.470] | <0.001 | 1.294 [1.261, 1.328] | <0.001 | |
| eMERGE | Age | 0.968 [0.959, 0.976] | <0.001 | 0.957 [0.950, 0.964] | <0.001 |
| Female | Reference Group | Reference Group | |||
| Male | 1.007 [0.823, 1.233] | 0.652 | 0.792 [0.660, 0.952] | 0.033 | |
| White | Reference Group | Reference Group | |||
| Black | 0.642 [0.518, 0.795] | <0.001 | 1.101 [0.907, 1.337] | 0.393 | |
| Asian | 0.393 [0.218, 0.707] | 0.003 | 0.388 [0.220, 0.686] | 0.002 | |
| Other Race(s) | 0.653 [0.401, 1.061] | 0.116 | 0.893 [0.576, 1.386] | 0.595 | |
| Hispanic/Latino | Reference Group | Reference Group | |||
| Non-Hispanic/Latino | 0.991 [0.549, 1.789] | 0.731 | 1.058 [0.619, 1.807] | 0.664 | |
| Other Ethnicity | 1.312 [0.650, 2.649] | 0.465 | 1.013 [0.525, 1.951] | 0.687 | |
| Charlson Comorbidity Score | 1.432 [1.383, 1.482] | <0.001 | 1.294 [1.254, 1.335] | <0.001 | |
| Hopkins | Age | 0.967 [0.960, 0.973] | <0.001 | 0.961 [0.955, 0.966] | <0.001 |
| Female | Reference Group | Reference Group | |||
| Male | 0.977 [0.829, 1.151] | 0.646 | 0.836 [0.719, 0.972] | 0.047 | |
| White | Reference Group | Reference Group | |||
| Black | 0.701 [0.592, 0.831] | <0.001 | 1.165 [0.997, 1.362] | 0.089 | |
| Asian | 0.390 [0.236, 0.646] | 0.001 | 0.331 [0.197, 0.558] | <0.001 | |
| Other Race(s) | 0.684 [0.454, 1.030] | 0.103 | 0.843 [0.578, 1.230] | 0.422 | |
| Hispanic/Latino | Reference Group | Reference Group | |||
| Non-Hispanic/Latino | 1.064 [0.655, 1.728] | 0.652 | 1.119 [0.715, 1.751] | 0.586 | |
| Other Ethnicity | 1.441 [0.809, 2.569] | 0.268 | 1.234 [0.718, 2.123] | 0.479 | |
| Charlson Comorbidity Score | 1.418 [1.379, 1.458] | <0.001 | 1.284 [1.252, 1.317] | <0.001 | |
| SDM | Age | 0.968 [0.960, 0.976] | <0.001 | 0.956 [0.949, 0.963] | <0.001 |
| Female | Reference Group | Reference Group | |||
| Male | 1.011 [0.845, 1.209] | 0.717 | 0.767 [0.651, 0.905] | 0.005 | |
| White | Reference Group | Reference Group | |||
| Black | 0.726 [0.600, 0.879] | 0.004 | 1.143 [0.958, 1.363] | 0.195 | |
| Asian | 0.379 [0.213, 0.674] | 0.002 | 0.460 [0.274, 0.774] | 0.008 | |
| Other Race(s) | 0.819 [0.534, 1.255] | 0.403 | 0.938 [0.629, 1.398] | 0.660 | |
| Hispanic/Latino | Reference Group | Reference Group | |||
| Non-Hispanic/Latino | 1.075 [0.635, 1.819] | 0.657 | 1.044 [0.644, 1.694] | 0.663 | |
| Other Ethnicity | 1.439 [0.772, 2.683] | 0.299 | 1.204 [0.676, 2.145] | 0.523 | |
| Charlson Comorbidity Score | 1.447 [1.403, 1.493] | <0.001 | 1.307 [1.270, 1.344] | <0.001 |


| Phenotype | Variable | IP 2019 Odds Ratio | p-Value | ER 2019 Odds Ratio | p-Value |
|---|---|---|---|---|---|
| CCW | Age | 0.986 [0.978, 0.994] | 0.002 | 0.976 [0.970, 0.983] | <0.001 |
| Female | Reference Group | Reference Group | |||
| Male | 0.907 [0.758, 1.084] | 0.339 | 0.890 [0.765, 1.036] | 0.180 | |
| White | Reference Group | Reference Group | |||
| Black | 0.869 [0.720, 1.049] | 0.195 | 1.282 [1.088, 1.511] | 0.009 | |
| Asian | 0.412 [0.247, 0.689] | 0.002 | 0.707 [0.486, 1.029] | 0.102 | |
| Other Race(s) | 0.823 [0.527, 1.286] | 0.431 | 1.140 [0.789, 1.646] | 0.508 | |
| Hispanic/Latino | Reference Group | Reference Group | |||
| Non-Hispanic/Latino | 1.297 [0.747, 2.255] | 0.415 | 0.885 [0.572, 1.370] | 0.569 | |
| Other Ethnicity | 1.388 [0.712, 2.709] | 0.386 | 0.587 [0.334, 1.031] | 0.094 | |
| Charlson Comorbidity Score | 1.172 [1.134, 1.211] | <0.001 | 1.115 [1.082, 1.149] | <0.001 | |
| Previous Visit in 2018 | 3.194 [2.662, 3.832] | <0.001 | 3.786 [3.262, 4.394] | <0.001 | |
| DDC | Age | 0.983 [0.977, 0.990] | <0.001 | 0.979 [0.973, 0.985] | <0.001 |
| Female | Reference Group | Reference Group | |||
| Male | 0.913 [0.770, 1.082] | 0.349 | 0.914 [0.791, 1.055] | 0.275 | |
| White | Reference Group | Reference Group | |||
| Black | 0.883 [0.741, 1.053] | 0.228 | 1.315 [1.128, 1.533] | 0.002 | |
| Asian | 0.506 [0.318, 0.804] | 0.009 | 0.787 [0.550, 1.125] | 0.247 | |
| Other Race(s) | 0.832 [0.544, 1.271] | 0.457 | 1.197 [0.846, 1.693] | 0.368 | |
| Hispanic/Latino | Reference Group | Reference Group | |||
| Non-Hispanic/Latino | 1.197 [0.723, 1.981] | 0.518 | 0.986 [0.657, 1.482] | 0.693 | |
| Other Ethnicity | 1.293 [0.692, 2.419] | 0.469 | 0.728 [0.428, 1.238] | 0.295 | |
| Charlson Comorbidity Score | 1.142 [1.109, 1.176] | <0.001 | 1.088 [1.059, 1.118] | <0.001 | |
| Previous Visit in 2018 | 4.578 [3.860, 5.430] | <0.001 | 5.458 [4.750, 6.271] | <0.001 | |
| eMERGE | Age | 0.983 [0.974, 0.991] | 0.001 | 0.973 [0.966, 0.980] | <0.001 |
| Female | Reference Group | Reference Group | |||
| Male | 0.927 [0.757, 1.136] | 0.507 | 0.835 [0.702, 0.993] | 0.073 | |
| White | Reference Group | Reference Group | |||
| Black | 0.861 [0.695, 1.067] | 0.238 | 1.186 [0.983, 1.431] | 0.106 | |
| Asian | 0.514 [0.300, 0.880] | 0.031 | 0.848 [0.565, 1.272] | 0.454 | |
| Other Race(s) | 0.964 [0.585, 1.589] | 0.624 | 1.215 [0.804, 1.837] | 0.393 | |
| Hispanic/Latino | Reference Group | Reference Group | |||
| Non-Hispanic/Latino | 1.489 [0.769, 2.886] | 0.301 | 1.159 [0.692, 1.941] | 0.555 | |
| Other Ethnicity | 1.601 [0.723, 3.545] | 0.301 | 0.865 [0.448, 1.670] | 0.596 | |
| Charlson Comorbidity Score | 1.136 [1.095, 1.179] | <0.001 | 1.103 [1.066, 1.141] | <0.001 | |
| Previous Visit in 2018 | 4.483 [3.641, 5.520] | <0.001 | 5.450 [4.599, 6.459] | <0.001 | |
| Hopkins | Age | 0.976 [0.969, 0.982] | <0.001 | 0.978 [0.972, 0.983] | <0.001 |
| Female | Reference Group | Reference Group | |||
| Male | 0.874 [0.742, 1.028] | 0.148 | 0.942 [0.817, 1.086] | 0.448 | |
| White | Reference Group | Reference Group | |||
| Black | 0.810 [0.686, 0.957] | 0.027 | 1.297 [1.116, 1.507] | 0.003 | |
| Asian | 0.580 [0.385, 0.874] | 0.020 | 0.766 [0.539, 1.089] | 0.178 | |
| Other Race(s) | 0.787 [0.523, 1.184] | 0.312 | 1.076 [0.756, 1.533] | 0.592 | |
| Hispanic/Latino | Reference Group | Reference Group | |||
| Non-Hispanic/Latino | 1.010 [0.629, 1.622] | 0.689 | 0.942 [0.622, 1.428] | 0.646 | |
| Other Ethnicity | 0.980 [0.539, 1.784] | 0.668 | 0.704 [0.412, 1.204] | 0.263 | |
| Charlson Comorbidity Score | 1.131 [1.099, 1.164] | <0.001 | 1.087 [1.058, 1.117] | <0.001 | |
| Previous Visit in 2018 | 3.932 [3.342, 4.626] | <0.001 | 5.733 [5.002, 6.571] | <0.001 | |
| SDM | Age | 0.982 [0.974, 0.991] | <0.001 | 0.973 [0.966, 0.979] | <0.001 |
| Female | Reference Group | Reference Group | |||
| Male | 0.933 [0.775, 1.124] | 0.478 | 0.903 [0.772, 1.057] | 0.258 | |
| White | Reference Group | Reference Group | |||
| Black | 0.870 [0.715, 1.059] | 0.216 | 1.271 [1.070, 1.510] | 0.016 | |
| Asian | 0.444 [0.257, 0.766] | 0.006 | 0.802 [0.538, 1.195] | 0.334 | |
| Other Race(s) | 0.917 [0.575, 1.463] | 0.650 | 1.233 [0.839, 1.812] | 0.348 | |
| Hispanic/Latino | Reference Group | Reference Group | |||
| Non-Hispanic/Latino | 1.485 [0.814, 2.709] | 0.249 | 1.011 [0.636, 1.607] | 0.681 | |
| Other Ethnicity | 1.445 [0.699, 2.986] | 0.385 | 0.643 [0.354, 1.168] | 0.205 | |
| Charlson Comorbidity Score | 1.153 [1.116, 1.192] | <0.001 | 1.084 [1.052, 1.118] | <0.001 | |
| Previous Visit in 2018 | 4.346 [3.594, 5.255] | <0.001 | 5.443 [4.664, 6.352] | <0.001 |

| Outcome Year | Phenotype | Mean AUC [95% CI] | Mean Sensitivity [95% CI] | Mean Specificity [95% CI] | Mean PPV [95% CI] | Mean NPV [95% CI] |
|---|---|---|---|---|---|---|
| IP 2019 | CCW | 0.7032 [0.7004, 0.7060] | 0.6254 [0.6186, 0.6322] | 0.6775 [0.6692, 0.6858] | 0.3105 [0.3066, 0.3144] | 0.8871 [0.8860, 0.8882] |
| DDC | 0.7168 [0.7144, 0.7192] | 0.6244 [0.6167, 0.6321] | 0.6914 [0.6818, 0.7010] | 0.2738 [0.2692, 0.2784] | 0.9093 [0.9083, 0.9103] | |
| Hopkins | 0.7088 [0.7061, 0.7115] | 0.6368 [0.6284, 0.6452] | 0.6673 [0.6583, 0.6763] | 0.2825 [0.2787, 0.2863] | 0.9004 [0.8991, 0.9017] | |
| SDM | 0.7161 [0.713, 0.7192] | 0.6342 [0.6253, 0.6431] | 0.6790 [0.6691, 0.6889] | 0.2658 [0.2614, 0.2702] | 0.9114 [0.9102, 0.9126] | |
| eMERGE | 0.7163 [0.7132, 0.7194] | 0.6051 [0.5960, 0.6142] | 0.7280 [0.7159, 0.7401] | 0.2931 [0.2860, 0.3002] | 0.9107 [0.9096, 0.9118] | |
| ER 2019 | CCW | 0.7319 [0.7299, 0.7339] | 0.6707 [0.6667, 0.6747] | 0.7068 [0.7026, 0.7110] | 0.5371 [0.5343, 0.5399] | 0.8093 [0.8078, 0.8108] |
| DDC | 0.7498 [0.7481, 0.7515] | 0.6583 [0.654, 0.6626] | 0.7533 [0.7484, 0.7582] | 0.5034 [0.4993, 0.5075] | 0.8537 [0.8525, 0.8549] | |
| Hopkins | 0.7552 [0.7532, 0.7572] | 0.6714 [0.6669, 0.6759] | 0.7532 [0.7484, 0.7580] | 0.5161 [0.5122, 0.5200] | 0.8546 [0.8534, 0.8558] | |
| SDM | 0.7520 [0.7498, 0.7542] | 0.6527 [0.6488, 0.6566] | 0.7595 [0.7554, 0.7636] | 0.5047 [0.5009, 0.5085] | 0.8539 [0.8526, 0.8552] | |
| eMERGE | 0.7548 [0.7526, 0.7570] | 0.6621 [0.6575, 0.6667] | 0.7624 [0.7574, 0.7674] | 0.5057 [0.5014, 0.5100] | 0.8607 [0.8594, 0.8620] |
References
- Spotnitz, M.; Acharya, N.; Cimino, J.J.; Murphy, S.; Namjou, B.; Crimmins, N.; Walunas, T.; Liu, C.; Crosslin, D.; Benoit, B.; et al. A metadata framework for computational phenotypes. JAMIA Open 2023, 6, ooad032. [Google Scholar] [CrossRef] [PubMed] [PubMed Central]
- Visweswaran, S.; Zhang, L.Y.; Bui, K.; Sadhu, E.M.; Samayamuthu, M.J.; Morris, M.M. Sharing and Reusing Computable Phenotype Definitions. medRxiv 2023. [Google Scholar] [CrossRef] [PubMed]
- Richesson, R.L.; Rusincovitch, S.A.; Wixted, D.; Batch, B.C.; Feinglos, M.N.; Miranda, M.L.; Hammond, W.E.; Califf, R.M.; Spratt, S.E. A comparison of phenotype definitions for diabetes mellitus. J. Am. Med. Inform. Assoc. 2013, 20, e319–e326. [Google Scholar] [CrossRef] [PubMed] [PubMed Central]
- National Diabetes Statistics Report 2020. Estimate of Diabetes and Its Burden in the United States. Available online: https://diabetesresearch.org/wp-content/uploads/2022/05/national-diabetes-statistics-report-2020.pdf (accessed on 23 October 2023).
- American Diabetes Association. Economic Costs of Diabetes in the U.S. in 2017. Diabetes Care 2018, 41, 917–928. [Google Scholar] [CrossRef] [PubMed] [PubMed Central]
- US Department of Health and Human Services. Office of Disease Prevention and Health Promotion. Diabetes. Available online: https://health.gov/healthypeople/objectives-and-data/browse-objectives/diabetes (accessed on 24 October 2023).
- He, T.; Belouali, A.; Patricoski, J.; Lehmann, H.; Ball, R.; Anagnostou, V.; Kreimeyer, K.; Botsis, T. Trends and opportunities in computable clinical phenotyping: A scoping review. J. Biomed. Inform. 2023, 140, 104335. [Google Scholar] [CrossRef] [PubMed]
- Kharrazi, H.; Chi, W.; Chang, H.Y.; Richards, T.M.; Gallagher, J.M.; Knudson, S.M.; Weiner, J.P. Comparing Population-based Risk-stratification Model Performance Using Demographic, Diagnosis and Medication Data Extracted from Outpatient Electronic Health Records Versus Administrative Claims. Med. Care 2017, 55, 789–796. [Google Scholar] [CrossRef] [PubMed]
- Office of the National Coordinator for Health Information Technology. ‘National Trends in Hospital and Physician Adoption of Electronic Health Records,’ Health IT Quick-Stat #61. Available online: https://www.healthit.gov/data/quickstats/national-trends-hospital-and-physician-adoption-electronic-health-records (accessed on 21 October 2023).
- Kharrazi, H.; Gonzalez, C.P.; Lowe, K.B.; Huerta, T.R.; Ford, E.W. Forecasting the Maturation of Electronic Health Record Functions Among US Hospitals: Retrospective Analysis and Predictive Model. J. Med. Internet Res. 2018, 20, e10458. [Google Scholar] [CrossRef] [PubMed] [PubMed Central]
- Kharrazi, H.; Lasser, E.C.; Yasnoff, W.A.; Loonsk, J.; Advani, A.; Lehmann, H.P.; Chin, D.C.; Weiner, J.P. A proposed national research and development agenda for population health informatics: Summary recommendations from a national expert workshop. J. Am. Med. Inform. Assoc. 2017, 24, 2–12. [Google Scholar] [CrossRef] [PubMed] [PubMed Central]
- Optum. The Benefit of Using Both Claims Data and Electronic Medical Records Data in Health Care Analysis. Available online: https://www.optum.com/content/dam/optum/resources/whitePapers/Benefits-of-using-both-claims-and-EMR-data-in-HC-analysis-WhitePaper-ACS.pdf (accessed on 20 October 2023).
- Kirby, J.C.; Speltz, P.; Rasmussen, L.V.; Basford, M.; Gottesman, O.; Peissig, P.L.; Pacheco, J.A.; Tromp, G.; Pathak, J.; Carrell, D.S.; et al. PheKB: A catalog and workflow for creating electronic phenotype algorithms for transportability. J. Am. Med. Inform. Assoc. 2016, 23, 1046–1052. [Google Scholar] [CrossRef] [PubMed] [PubMed Central]
- Pandya, C.J.; Chang, H.Y.; Kharrazi, H. Electronic Health Record-Based Risk Stratification: A Potential Key Ingredient to Achieving Value-Based Care. Popul. Health Manag. 2021, 24, 654–656. [Google Scholar] [CrossRef] [PubMed]
- Kharrazi, H.; Anzaldi, L.J.; Hernandez, L.; Davison, A.; Boyd, C.M.; Leff, B.; Kimura, J.; Weiner, J.P. The value of unstructured electronic health record data in geriatric syndrome case identification. J. Am. Geriatr. Soc. 2018, 66, 1499–1507. [Google Scholar] [CrossRef] [PubMed]
- Sood, P.D.; Liu, S.; Lehmann, H.; Kharrazi, H. Assessing the Effect of Electronic Health Record Data Quality on Identifying Patients with Type 2 Diabetes: Cross-Sectional Study. JMIR Med. Inform. 2024, 12, e56734. [Google Scholar] [CrossRef] [PubMed] [PubMed Central]
- Sentinel Initiative (FDA). Mini-Sentinel Methods. Validating Type 1 and Type 2 Diabetes Mellitus in the Mini-Sentinel Distributed Database Using the Surveillance, Prevention, and Management of Diabetes Mellitus (SUPREME-DM). Available online: https://divisionofresearch.kaiserpermanente.org/publications/validating-type-1-and-type-2-diabetes-mellitus-in-the-mini-sentinel-distributed-database-using-the-surveillance-prevention-and-management-of-diabetes-mellitus-supreme-dm-datalink/ (accessed on 20 October 2023).
- Jennifer Pacheco and Will Thompson. Northwestern University. Type 2 Diabetes Mellitus. PheKB. 2012. Available online: https://phekb.org/phenotype/18 (accessed on 19 October 2023).
- NIH Collaboratory. Type 2 Diabetes Mellitus Phenotype Definitions. 2014. Available online: https://dcricollab.dcri.duke.edu/sites/NIHKR/SitePages/StandardSearch.aspx?k=Type%202%20Diabetes%20Mellitus%20Phenotype%20Definitions#k=Type%202%20Diabetes%20Mellitus%20Phenotype%20Definitions.%202014#l=1033 (accessed on 10 January 2018).
- Centers for Medicare and Medicaid Services. Chronic Conditions Warehouse. Diabetes CCW Chronic Conditions Algorithm. Available online: https://www2.ccwdata.org/documents/10280/19139608/ccw-cond-algo-diabetes.pdf (accessed on 10 October 2023).
- National Bureau of Economic Research. ICD-9-CM to and from ICD-10-CM and ICD-10-PCS Crosswalk or General Equivalence Mappings. Available online: https://www.nber.org/research/data/icd-9-cm-and-icd-10-cm-and-icd-10-pcs-crosswalk-or-general-equivalence-mappings (accessed on 24 October 2023).
- National Library of Medicine. RxNav Navigating RxNorm Drugs. Available online: https://mor.nlm.nih.gov/RxNav/ (accessed on 21 October 2023).
- Charlson, M.E.; Pompei, P.; Ales, K.L.; MacKenzie, C.R. A new method of classifying prognostic comorbidity in longitudinal studies: Development and validation. J. Chronic Dis. 1987, 40, 373–383. [Google Scholar] [CrossRef] [PubMed]
- The R Project for Statistical Computing. R Project. Available online: https://www.r-project.org (accessed on 20 October 2023).
- Chang, H.Y.; Richards, T.M.; Shermock, K.M.; Elder Dalpoas, S.; Hong, J.K.; Alexander, G.C.; Weiner, J.P.; Kharrazi, H. Evaluating the impact of prescription fill rates on risk stratification model performance. Med. Care. 2017, 55, 1052–1060. [Google Scholar] [CrossRef] [PubMed]
- Kharrazi, H.; Chang, H.Y.; Heins, S.; Weiner, J.P.; Gudzune, K.A. Assessing the Impact of Body Mass Index Information on the Performance of Risk Adjustment Models in Predicting Health Care Costs and Utilization. Med Care. 2018, 56, 1042–1050. [Google Scholar] [CrossRef] [PubMed] [PubMed Central]
- Hatef, E.; Rouhizadeh, M.; Tia, I.; Lasser, E.; Hill-Briggs, F.; Marsteller, J.; Kharrazi, H. Assessing the Availability of Data on Social and Behavioral Determinants in Structured and Unstructured Electronic Health Records: A Retrospective Analysis of a Multilevel Health Care System. JMIR Med. Inform. 2019, 7, e13802. [Google Scholar] [CrossRef] [PubMed] [PubMed Central]
- Laursen, H.V.B.; Jørgensen, E.P.; Vestergaard, P.; Ehlers, L.H. A Systematic Review of Cost-Effectiveness Studies of Newer Non-Insulin Antidiabetic Drugs: Trends in Decision-Analytical Models for Modelling of Type 2 Diabetes Mellitus. Pharmacoeconomics 2023, 41, 469–1514. [Google Scholar] [CrossRef] [PubMed] [PubMed Central]
- The Johns Hopkins ACG Case-Mix System Reference Manual Version 7.0. Baltimore: Johns Hopkins Bloomberg School of Public Health. 2005. Available online: https://www.hopkinsacg.org/ (accessed on 1 May 2025).
- Perkins, N.J.; Schisterman, E.F. The inconsistency of optimal cut points obtained using two criteria based on the receiver operating characteristic curve. Am. J. Epidemiol. 2006, 163, 670–675. [Google Scholar] [CrossRef] [PubMed]
- Sood, P.D.; Liu, S.; Pandya, C.; Kalyani, R.R.; Lehmann, H.P.; Kharrazi, H. Measuring the Impact of Data Quality and Computable Phenotypes on Potential Racial Disparities in Predicting Healthcare Utilization Among Type 2 Diabetes Populations. J. Racial Ethn. Health Disparities 2025. [Google Scholar] [CrossRef] [PubMed]



| Population Spec | Raw Data | CCW | DDC | SDM | eMERGE | Hopkins | p-Value |
|---|---|---|---|---|---|---|---|
| N | 15,338 | 8410 | 11,413 | 9194 | 7584 | 11,528 | |
| Age | |||||||
| Mean (SD) | 49.5 (13.2) | 51.8 (11.2) | 51.4 (12.2) | 52.9 (11.1) | 52.5 (11.5) | 51.0 (12.4) | <0.001 |
| Sex | |||||||
| Female (%) | 9393 (61.2) | 5022 (59.7) | 6869 (60.2) | 5367 (58.4) | 4441 (58.6) | 7042 (61.1) | <0.001 |
| Male (%) | 5943 (38.7) | 3387 (40.3) | 4542 (39.8) | 3826 (41.6) | 3143 (41.4) | 4484 (38.9) | |
| Race | |||||||
| White (%) | 5380 (35.1) | 2804 (33.3) | 3863 (33.8) | 3032 (33.0) | 2557 (33.7) | 3853 (33.4) | 0.066 |
| Black (%) | 7904 (51.5) | 4431 (52.7) | 5997 (52.5) | 4900 (53.3) | 3918 (51.7) | 6114 (53.0) | |
| Asian (%) | 826 (5.4) | 485 (5.8) | 623 (5.5) | 508 (5.5) | 468 (6.2) | 640 (5.6) | |
| Other (%) | 1228 (8.0) | 690 (8.2) | 930 (8.1) | 754 (8.2) | 641 (8.5) | 921 (8.0) | |
| Ethnicity | |||||||
| Hispanic (%) | 728 (4.7) | 379 (4.5) | 532 (4.7) | 421 (4.6) | 346 (4.6) | 532 (4.6) | 0.385 |
| Non-Hispanic (%) | 13,962 (91.0) | 7616 (90.6) | 10,350 (90.7) | 8322 (90.5) | 6881 (90.7) | 10,484 (90.9) | |
| Charlson Comorbidity Score | |||||||
| Mean (SD) | 2.31 (2.47) | 2.68 (2.40) | 2.53 (2.41) | 2.74 (2.40) | 2.54 (2.37) | 2.48 (2.43) | <0.001 |
| Number of IP Admissions | |||||||
| Mean (SD) | 2.89 (8.74) | 3.57 (10.0) | 2.88 (8.88) | 3.03 (9.28) | 2.70 (8.37) | 2.81 (8.90) | <0.001 |
| Number of ER Admissions | |||||||
| Mean (SD) | 2.46 (6.86) | 3.13 (7.46) | 2.45 (6.60) | 2.49 (6.42) | 2.40 (7.25) | 2.54 (7.32) | <0.001 |
| Outcome Year | Phenotype | Mean AUC [95% CI] | Mean Sensitivity [95% CI] | Mean Specificity [95% CI] | Mean PPV [95% CI] | Mean NPV [95% CI] |
|---|---|---|---|---|---|---|
| IP 2019 | CCW | 0.7996 [0.7974, 0.8018] | 0.7436 [0.7385, 0.7487] | 0.7268 [0.7222, 0.7314] | 0.3150 [0.3119, 0.3181] | 0.9440 [0.9431, 0.9449] |
| DDC | 0.7849 [0.7827, 0.7871] | 0.7242 [0.7188, 0.7296] | 0.7209 [0.7161, 0.7257] | 0.2629 [0.2603, 0.2655] | 0.9503 [0.9495, 0.9511] | |
| Hopkins | 0.7792 [0.7769, 0.7815] | 0.7099 [0.7026, 0.7172] | 0.7148 [0.7076, 0.7220] | 0.2580 [0.2543, 0.2617] | 0.9469 [0.9460, 0.9478] | |
| SDM | 0.7975 [0.7950, 0.8000] | 0.7279 [0.7222, 0.7336] | 0.7343 [0.7285, 0.7401] | 0.2793 [0.2758, 0.2828] | 0.9506 [0.9498, 0.9514] | |
| eMERGE | 0.7858 [0.7831, 0.7885] | 0.7228 [0.7155, 0.7301] | 0.7250 [0.7183, 0.7317] | 0.2574 [0.2538, 0.2610] | 0.9525 [0.9516, 0.9534] | |
| ER 2019 | CCW | 0.7371 [0.7349, 0.7393] | 0.6719 [0.6667, 0.6771] | 0.6956 [0.6906, 0.7006] | 0.3251 [0.3221, 0.3281] | 0.9071 [0.9060, 0.9082] |
| DDC | 0.7303 [0.7282, 0.7324] | 0.6724 [0.6667, 0.6781] | 0.6796 [0.6740, 0.6852] | 0.2669 [0.2644, 0.2694] | 0.9232 [0.9223, 0.9241] | |
| Hopkins | 0.7296 [0.7275, 0.7317] | 0.6761 [0.6698, 0.6824] | 0.6731 [0.6674, 0.6788] | 0.2642 [0.2620, 0.2664] | 0.9232 [0.9222, 0.9242] | |
| SDM | 0.7383 [0.7361, 0.7405] | 0.6807 [0.6739, 0.6875] | 0.6851 [0.6786, 0.6916] | 0.2749 [0.2720, 0.2778] | 0.9250 [0.9239, 0.9261] | |
| eMERGE | 0.7321 [0.7298, 0.7344] | 0.6879 [0.6813, 0.6945] | 0.6644 [0.6583, 0.6705] | 0.2560 [0.2537, 0.2583] | 0.9273 [0.9263, 0.9283] |
Disclaimer/Publisher’s Note: The statements, opinions and data contained in all publications are solely those of the individual author(s) and contributor(s) and not of MDPI and/or the editor(s). MDPI and/or the editor(s) disclaim responsibility for any injury to people or property resulting from any ideas, methods, instructions or products referred to in the content. |
© 2025 by the authors. Licensee MDPI, Basel, Switzerland. This article is an open access article distributed under the terms and conditions of the Creative Commons Attribution (CC BY) license (https://creativecommons.org/licenses/by/4.0/).
Share and Cite
Sood, P.D.; Liu, S.; Pandya, C.; Kharrazi, H. Assessing the Impact of Computable Type 2 Diabetes Phenotypes on Predicting Healthcare Utilization Using Electronic Health Records and Administrative Claims. Healthcare 2025, 13, 2292. https://doi.org/10.3390/healthcare13182292
Sood PD, Liu S, Pandya C, Kharrazi H. Assessing the Impact of Computable Type 2 Diabetes Phenotypes on Predicting Healthcare Utilization Using Electronic Health Records and Administrative Claims. Healthcare. 2025; 13(18):2292. https://doi.org/10.3390/healthcare13182292
Chicago/Turabian StyleSood, Priyanka D., Star Liu, Chintan Pandya, and Hadi Kharrazi. 2025. "Assessing the Impact of Computable Type 2 Diabetes Phenotypes on Predicting Healthcare Utilization Using Electronic Health Records and Administrative Claims" Healthcare 13, no. 18: 2292. https://doi.org/10.3390/healthcare13182292
APA StyleSood, P. D., Liu, S., Pandya, C., & Kharrazi, H. (2025). Assessing the Impact of Computable Type 2 Diabetes Phenotypes on Predicting Healthcare Utilization Using Electronic Health Records and Administrative Claims. Healthcare, 13(18), 2292. https://doi.org/10.3390/healthcare13182292

