Random Forest Analysis of Out-of-Pocket Health Expenditures Associated with Cardiometabolic Diseases, Lifestyle, Lipid Profile, and Genetic Information in São Paulo, Brazil
Abstract
1. Introduction
2. Material and Methods
2.1. Study Design and Population
2.2. Healthcare Expenditure and Socioeconomic and Demographic Variables
- Natural logarithm transformation—Due to zero inflation (a considerable number of individuals had no expenses associated with private health services), 0.001 were added to all original values of the variable so as to perform logarithm transformations. Importantly, throughout the study, we refer to “original variable” as the one with the extra 0.001.
- Logarithm with base 10.
- Two categories considering quartile distribution, i.e., values above the 2nd quartile (median) were defined as high expenditure, while values equal to or below the 2nd quartile were defined as low.
- Two categories considering its tertile distribution (combining 1st and 2nd tertiles in one category named low cost and the 3rd tertile considered high cost).
- Normalization of OOP costs by maximal and minimal values using the formula, Ny = (Oy − min(Oy)/(max(Oy) − min(Oy)); where Ny corresponds to the normalized health expenditure, Oy to the original health expenditure, and min(Oy) and max(Oy) correspond to the minimum and maximum values of the original health expenditure, respectively.
2.3. Biological and Cardiometabolic Characteristics
- Inflammation: inflammatory biomarkers such as interleukin (IL)-1β, IL-6, IL-10, C-reactive protein (CRP), monocyte chemoattractant protein 1 (MCP-1), and tumor necrosis factor-alpha (TNF-α).
- Glucose metabolism: insulin, fasting blood glucose concentrations, and absence or presence of insulin resistance according to the homeostasis model assessment of insulin resistance (HOMA-IR) [22].
- Anthropometry: body mass index (BMI), waist circumference, and waist circumference to height ratio). Individuals were categorized into presence or absence of overweight (including overweight [BMI ≥ 25–29.9] and obesity [BMI ≥ 30]) using BMI, according to age group.
- Cardiovascular: systolic and diastolic blood pressure.
- Lifestyle characteristics (alcohol and tobacco use, diet quality, and physical activity).
- Lipid profile: serum concentrations of HDL-c, LDL-c, TGL, HDL-c/LDL-c, total cholesterol, VLDL-c, and non-HDL-c.
2.4. Genetic Data and Risk Scores
2.5. Descriptive Statistics and Modeling of Healthcare Costs
3. Results
3.1. Descriptive Statistics and Correlation Between Lipid Traits and GWAS-Derived Genetic Risk Scores
3.2. Quantitative OOP Health Expenditures
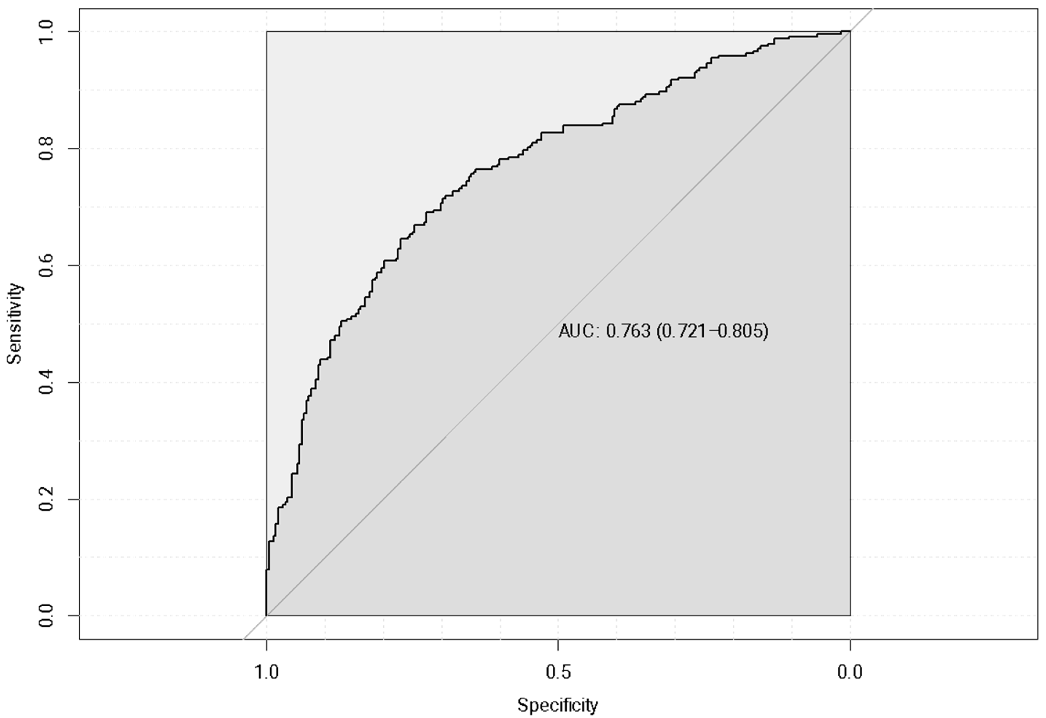
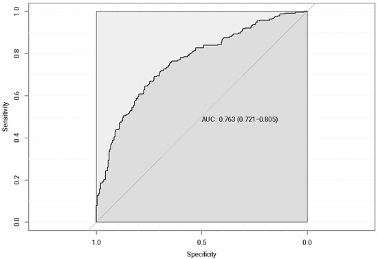
3.3. Categorical OOP Health Expenditures
4. Discussion
5. Conclusions
Supplementary Materials
Author Contributions
Funding
Institutional Review Board Statement
Informed Consent Statement
Data Availability Statement
Conflicts of Interest
References
- Pogosova, N. Costs Associated with Cardiovascular Disease Create a Significant Burden for Society and They Seem to Be Globally Underestimated. Eur. J. Prev. Cardiolog. 2019, 26, 1147–1149. [Google Scholar] [CrossRef]
- Giedrimiene, D.; King, R. Abstract 207: Burden of Cardiovascular Disease (CVD) on Economic Cost. Comparison of Outcomes in US and Europe. Circ. Cardiovasc. Qual. Outcomes 2017, 10, A207. [Google Scholar] [CrossRef]
- Beverly, J.K.; Budoff, M.J. Atherosclerosis: Pathophysiology of Insulin Resistance, Hyperglycemia, Hyperlipidemia, and Inflammation. J. Diabetes 2020, 12, 102–104. [Google Scholar] [CrossRef] [PubMed]
- Sascău, R.; Clement, A.; Radu, R.; Prisacariu, C.; Stătescu, C. Triglyceride-Rich Lipoproteins and Their Remnants as Silent Promoters of Atherosclerotic Cardiovascular Disease and Other Metabolic Disorders: A Review. Nutrients 2021, 13, 1774. [Google Scholar] [CrossRef] [PubMed]
- Lin, H.-Q. Prevalence of Dyslipidemia and Prediction of 10-Year CVD Risk among Older Adults Living in Southeast Coastal Regions in China: A Cross-Sectional Study. Clin. Interv. Aging 2019, 14, 1119–1129. [Google Scholar] [CrossRef]
- Annemans, L.; Azuri, J.; Al-Rasadi, K.; Al-Zakwani, I.; Daclin, V.; Mercier, F.; Danchin, N. Healthcare Resource Utilization in Patients on Lipid-Lowering Therapies Outside Western Europe and North America: Findings of the Cross-Sectional Observational International ChoLesterol Management Practice Study (ICLPS). Lipids Health Dis. 2020, 19, 64. [Google Scholar] [CrossRef]
- Hernández-Alcaraz, C.; Aguilar-Salinas, C.A.; Mendoza-Herrera, K.; Pedroza-Tobías, A.; Villalpando, S.; Shamah-Levy, T.; Rivera-Dommarco, J.; Hernández-Ávila, M.; Barquera, S. Dyslipidemia Prevalence, Awareness, Treatment and Control in Mexico: Results of the Ensanut 2012. Salud Publica Mex. 2020, 62, 137. [Google Scholar] [CrossRef]
- Bahia, L.; Coutinho, E.S.F.; Barufaldi, L.A.; De Azevedo Abreu, G.; Malhão, T.A.; Ribeiro De Souza, C.P.; Araujo, D.V. The Costs of Overweight and Obesity-Related Diseases in the Brazilian Public Health System: Cross-Sectional Study. BMC Public Health 2012, 12, 440. [Google Scholar] [CrossRef]
- De Oliveira, M.L.; Santos, L.M.P.; Da Silva, E.N. Direct Healthcare Cost of Obesity in Brazil: An Application of the Cost-of-Illness Method from the Perspective of the Public Health System in 2011. PLoS ONE 2015, 10, e0121160. [Google Scholar] [CrossRef]
- Na, X.; Chen, Y.; Ma, X.; Wang, D.; Wang, H.; Song, Y.; Hua, Y.; Wang, P.; Liu, A. Relations of Lifestyle Behavior Clusters to Dyslipidemia in China: A Compositional Data Analysis. Int. J. Environ. Res. Public Health 2021, 18, 7763. [Google Scholar] [CrossRef]
- Santos, A.C.; Willumsen, J.; Meheus, F.; Ilbawi, A.; Bull, F.C. The Cost of Inaction on Physical Inactivity to Public Health-Care Systems: A Population-Attributable Fraction Analysis. Lancet Glob. Health 2023, 11, e32–e39. [Google Scholar] [CrossRef] [PubMed]
- De Oliveira, C.M.; Pereira, A.C.; De Andrade, M.; Soler, J.M.; Krieger, J.E. Heritability of Cardiovascular Risk Factors in a Brazilian Population: Baependi Heart Study. BMC Med. Genet. 2008, 9, 32. [Google Scholar] [CrossRef] [PubMed]
- Willer, C.J. Discovery and refinement of loci associated with lipid levels. Nat. Genet. 2013, 45, 1274–1283. [Google Scholar] [CrossRef] [PubMed]
- Cadby, G.; Melton, P.E.; McCarthy, N.S.; Giles, C.; Mellett, N.A.; Huynh, K.; Hung, J.; Beilby, J.; Dubé, M.-P.; Watts, G.F.; et al. Heritability of 596 Lipid Species and Genetic Correlation with Cardiovascular Traits in the Busselton Family Heart Study. J. Lipid Res. 2020, 61, 537–545. [Google Scholar] [CrossRef]
- Richardson, T.G.; Sanderson, E.; Palmer, T.M.; Ala-Korpela, M.; Ference, B.A.; Davey Smith, G.; Holmes, M.V. Evaluating the Relationship between Circulating Lipoprotein Lipids and Apolipoproteins with Risk of Coronary Heart Disease: A Multivariable Mendelian Randomisation Analysis. PLoS Med. 2020, 17, e1003062. [Google Scholar] [CrossRef]
- Leite, J.M.R.S.; Pereira, J.L.; Damasceno, N.R.T.; Soler, J.M.P.; Fisberg, R.M.; Rogero, M.M.; Sarti, F.M. Association of Dyslipidemia with Single Nucleotide Polymorphisms of the Cholesteryl Ester Transfer Protein Gene and Cardiovascular Disease Risk Factors in a Highly Admixed Population. Clin. Nutr. ESPEN 2023, 58, 242–252. [Google Scholar] [CrossRef]
- Leite, J.M.; Pereira, J.L.; Alves de Souza, C.; Pavan Soler, J.M.; Mingroni-Netto, R.C.; Fisberg, R.M.; Rogero, M.M.; Sarti, F.M. Novel Loci Linked to Serum Lipid Traits Are Identified in a Genome-Wide Association Study of a Highly Admixed Brazilian Population—The 2015 ISA Nutrition. Lipids Health Dis. 2024, 23, 229. [Google Scholar] [CrossRef]
- Wehby, G.L.; Domingue, B.W.; Ullrich, F.; Wolinsky, F.D. Genetic Predisposition to Obesity and Medicare Expenditures. J. Gerontol. A Biol. Sci. Med. Sci. 2018, 73, 66–72. [Google Scholar] [CrossRef]
- Wehby, G.L.; Shane, D. Genetic variation in health insurance coverage. Int. J. Health Econ. Manag. 2019, 19, 301–316. [Google Scholar] [CrossRef]
- Fisberg, R.M.; Sales, C.H.; Fontanelli, M.D.; Pereira, J.L.; Alves, M.C.; Escuder, M.M.; César, C.L.; Goldbaum, M. 2015 Health Survey of São Paulo with Focus in Nutrition: Rationale, Design, and Procedures. Nutrients 2018, 10, 169. [Google Scholar] [CrossRef]
- Deaton, A. The Analysis of Household Surveys: A Microeconometric Approach to Development Policy; The World Bank: Washington, DC, USA, 1997. [Google Scholar]
- Geloneze, B.; Vasques, A.C.; Stabe, C.F.; Pareja, J.C.; Rosado, L.E.; Queiroz, E.C.; Tambascia, M.A. HOMA1-IR and HOMA2-IR Indexes in Identifying Insulin Resistance and Metabolic Syndrome: Brazilian Metabolic Syndrome Study (BRAMS). Arq. Bras. Endocrinol. Metabol. 2009, 53, 281–287. [Google Scholar] [CrossRef]
- Previdelli, Á.N.; Andrade, S.C.; Pires, M.M.; Ferreira, S.R.; Fisberg, R.M.; Marchioni, D.M. A Revised Version of the Healthy Eating Index for the Brazilian Population. Rev. Saude Publica 2011, 45, 794–798. [Google Scholar] [CrossRef] [PubMed]
- Thermo Fisher Scientific. Axiom Genotyping Solution Data Analysis User Guide; Pub. No. MAN0018363 A.0; Thermo Fisher Scientific: Waltham, MA, USA, 2020; pp. 1–160. [Google Scholar]
- Leite, J.M.; Soler, J.M.; Horimoto, A.R.; Alvim, R.O.; Pereira, A.C. Heritability and Sex-Specific Genetic Effects of Self-Reported Physical Activity in a Brazilian Highly Admixed Population. Hum. Hered. 2020, 84, 151–158. [Google Scholar] [CrossRef]
- McCaw, Z.R.; Lane, J.M.; Saxena, R.; Redline, S.; Lin, X. Operating Characteristics of the Rank-Based Inverse Normal Transformation for Quantitative Trait Analysis in Genome-Wide Association Studies. Biometrics 2020, 76, 1262–1272. [Google Scholar] [CrossRef] [PubMed]
- Diego, V.P.; de Chaves, R.N.; Blangero, J.; de Souza, M.C.; Santos, D.; Gomes, T.N.; dos Santos, F.K.; Garganta, R.; Katzmarzyk, P.T.; Maia, J.A. Sex-Specific Genetic Effects in Physical Activity: Results from a Quantitative Genetic Analysis. BMC Med. Genet. 2015, 16, 58. [Google Scholar] [CrossRef] [PubMed]
- Neshat, S.; Rezaei, A.; Farid, A.; Sarallah, R.; Javanshir, S.; Ahmadian, S.; Chatrnour, G.; Daneii, P.; Heshmat-Ghahdarijani, K. The Tangled Web of Dyslipidemia and Cancer: Is There Any Association? J. Res. Med. Sci. 2022, 27, 93. [Google Scholar] [CrossRef]
- Stanimirovic, J.; Radovanovic, J.; Banjac, K.; Obradovic, M.; Essack, M.; Zafirovic, S.; Gluvic, Z.; Gojobori, T.; Isenovic, E.R. Role of C-Reactive Protein in Diabetic Inflammation. Mediat. Inflamm. 2022, 2022, 3706508. [Google Scholar] [CrossRef]
- Boutari, C.; Hill, M.A.; Procaccini, C.; Matarese, G.; Mantzoros, C.S. The Key Role of Inflammation in the Pathogenesis and Management of Obesity and CVD. Metabolism 2023, 145, 155627. [Google Scholar] [CrossRef]
- Hendy, L.E.; Spees, L.P.; Tak, C.; Carpenter, D.M.; Thomas, K.C.; Roberts, M.C. An Evaluation of the Cost-Effectiveness of Population Genetic Screening for Familial Hypercholesterolemia in US Patients. Atherosclerosis 2024, 393, 117541. [Google Scholar] [CrossRef]
- Stevens, W.; Peneva, D.; Li, J.Z.; Liu, L.Z.; Liu, G.; Gao, R.; Lakdawalla, D.N. Estimating the Future Burden of Cardiovascular Disease and the Value of Lipid and Blood Pressure Control Therapies in China. BMC Health Serv. Res. 2016, 16, 175. [Google Scholar] [CrossRef]
- Kazi, D.S.; DeJong, C.; Chen, R.; Wadhera, R.K.; Tseng, C.W. The Inflation Reduction Act and Out-of-Pocket Drug Costs for Medicare Beneficiaries with Cardiovascular Disease. J. Am. Coll. Cardiol. 2023, 81, 2103–2111. [Google Scholar] [CrossRef]
- Boudreau, D.M.; Malone, D.C.; Raebel, M.A.; Fishman, P.A.; Nichols, G.A.; Feldstein, A.C.; Boscoe, A.N.; Ben-Joseph, R.H.; Magid, D.J.; Okamoto, L.J. Health Care Utilization and Costs by Metabolic Syndrome Risk Factors. Metab. Syndr. Relat. Disord. 2009, 7, 305–314. [Google Scholar] [CrossRef] [PubMed]
- Norris, E.T.; Wang, L.; Conley, A.B.; Rishishwar, L.; Mariño-Ramírez, L.; Valderrama-Aguirre, A.; Jordan, I.K. Genetic ancestry, admixture and health determinants in Latin America. BMC Genom. 2018, 19, 75–87. [Google Scholar] [CrossRef] [PubMed]
- Hou, K.; Bhattacharya, A.; Mester, R.; Burch, K.S.; Pasaniuc, B. On Powerful GWAS in Admixed Populations. Nat. Genet. 2021, 53, 1631–1633. [Google Scholar] [CrossRef] [PubMed]
- Lima, I.R.; Tada, M.T.; Oliveira, T.G.; Jannes, C.E.; Bensenor, I.; Lotufo, P.A.; Santos, R.D.; Krieger, J.E.; Pereira, A.C. Polygenic Risk Score for Hypercholesterolemia in a Brazilian Familial Hypercholesterolemia Cohort. Atheroscler. Plus 2022, 49, 47–55. [Google Scholar] [CrossRef]
- Mukamal, K.J.; Stampfer, M.J.; Rimm, E.B. Genetic instrumental variable analysis: Time to call mendelian randomization what it is. The example of alcohol and cardiovascular disease. Eur. J. Epidemiol. 2020, 35, 93–97. [Google Scholar] [CrossRef]
- Koellinger, P.D.; Okbay, A.; Kweon, H.; Schweinert, A.; Linnér, R.K.; Goebel, J.; Richter, D.; Reiber, L.; Zweck, B.M.; Belsky, D.W.; et al. Cohort profile: Genetic data in the German Socio-Economic Panel Innovation Sample (SOEP-G). PLoS ONE 2023, 29, e0294896. [Google Scholar] [CrossRef]










| Characteristic | Total N = 490 * |
|---|---|
| BHEI-R | 66 (61, 71) |
| CRP (mg/L) | 0.29 (0.10, 0.78) |
| TNF-α (pg/mL) | 11.1 (8.2, 14.3) |
| MCP1 (pg/mL) | 278 (214, 345) |
| IL6 (pg/mL) | 1 (1, 4) |
| IL1β (pg/mL) | 1.18 (0.91, 1.52) |
| IL10 (pg/mL) | 4.3 (3.1, 7.0) |
| Overweight | |
| No | 268 (55%) |
| Yes | 222 (45%) |
| Waist circumference (cm) | 91 (78, 103) |
| Waist circumference/height | 0.56 (0.47, 0.63) |
| SBP | 125 (115, 140) |
| DBP | 76 (68, 83) |
| Ln health expenditure | 5.0 (−6.9, 6.4) |
| Health expenditure (BRL) | 154 (0, 608) |
| Education score | 0.75 (0.38, 1.00) |
| Household income (BRL) | 828 (521, 1536) |
| Hypolipidemic drug use | |
| No | 449 (92%) |
| Yes | 41 (8.4%) |
| Ethnicity | |
| Yellow | 1 (0.2%) |
| White | 265 (54%) |
| Indigenous | 1 (0.2%) |
| Other | 22 (4.5%) |
| Brown (Pardo) | 154 (31%) |
| Black | 47 (9.6%) |
| Age group | |
| Adolescent | 145 (30%) |
| Adult | 163 (33%) |
| Older adult | 182 (37%) |
| Alcohol use | |
| No | 361 (74%) |
| Yes | 129 (26%) |
| Smoking | |
| Former smoker | 90 (18%) |
| Smoker | 58 (12%) |
| Never | 342 (70%) |
| TGL (mg/dL) | 100 (74, 143) |
| Total cholesterol (mg/dL) | 169 (140, 200) |
| Non-HDL-c (mg/dL) | 123 (96, 155) |
| LDLc (mg/dL) | 101 (78, 126) |
| HDL-c (mg/dL) | 43 (35, 53) |
| VLDLc (mg/dL) | 20 (15, 29) |
| LDL-c/HDL-c | 2.41 (1.66, 3.21) |
| DLP adj. | |
| No | 168 (34%) |
| Yes | 322 (66%) |
| PC1 | −0.003 (−0.009, 0.002) |
| PC2 | −0.013 (−0.018, −0.010) |
| Sex | |
| Female | 225 (46%) |
| Male | 265 (54%) |
| Age (years) | 49 (18, 64) |
| Diabetes | |
| No | 415 (85%) |
| Yes | 75 (15%) |
| HOMA-IR | 2.79 (1.82, 4.25) |
| Insulin resistance | |
| No | 247 (50%) |
| Yes | 243 (50%) |
| Insulin (µUI/mL) | 11 (8, 17) |
| Glucose (mg/dL) | 95 (88, 105) |
| Global PA (min/week) | 440 (170, 1154) |
| Leisure PA (min/week) | 0 (0, 135) |
| Quartile-based health expenditure | |
| Low | 248 (51%) |
| High | 242 (49%) |
| Tertile-based health expenditure | |
| Low | 330 (67%) |
| High | 160 (33%) |
| Normalized health expenditure | 154 (0, 608) |
| Inv total cholesterol | −0.01 (−0.70, 0.67) |
| Inv TGL | 0.00 (−0.67, 0.68) |
| Inv HDL-c | 0.00 (−0.67, 0.69) |
| Inv LDL-c | −0.02 (−0.67, 0.65) |
| Inv LDL-c/HDL-c | −0.01 (−0.66, 0.66) |
| Inv VLDL-c | 0.00 (−0.64, 0.70) |
| Inv non-HDL-c | −0.02 (−0.66, 0.66) |
| Inv BHEI-R | −0.03 (−0.69, 0.65) |
| Log10 health expenditure | 2.19 (−3.00, 2.78) |
| HDL-c GRS | |
| −0.555 | 41 (8.4%) |
| −0.277 | 177 (36%) |
| 0.000 | 224 (46%) |
| 0.004 | 5 (1.0%) |
| 0.282 | 20 (4.1%) |
| 0.559 | 23 (4.7%) |
| LDL-c/HDL-c GRS | |
| 0.000 | 218 (44%) |
| 0.251 | 206 (42%) |
| 0.502 | 66 (13%) |
| LDL-c GRS | 0.02 (−0.40, 0.47) |
| Non-HDL-c GRS | 0.23 (−0.17, 0.59) |
| TGL GRS | |
| 0.000 | 375 (77%) |
| 0.392 | 47 (9.6%) |
| 0.441 | 50 (10%) |
| 0.785 | 7 (1.4%) |
| 0.834 | 10 (2.0%) |
| 1.275 | 1 (0.2%) |
| Total cholesterol GRS | 0.00 (−0.25, 0.29) |
| VLDL-c GRS | |
| 0.000 | 425 (87%) |
| 0.405 | 58 (12%) |
| 0.811 | 7 (1.4%) |
| Variable | Estimate | Std. Error | z Value | p-Value | Odds Ratio | Lower CI | Upper CI |
|---|---|---|---|---|---|---|---|
| Overweight (Yes/No) | 0.558 | 0.235 | 2.377 | 0.017 | 1.747 | 1.106 | 2.780 |
| Income per capita | 0.001 | 0.000 | 5.015 | 0.000 | 1.001 | 1.000 | 1.001 |
| LDL-c (mg/dL) | −0.083 | 0.029 | −2.864 | 0.004 | 0.920 | 0.867 | 0.971 |
| LDL-c/HDL-c | 1.075 | 0.371 | 2.898 | 0.004 | 2.930 | 1.453 | 6.237 |
| PC2 | −43.889 | 16.500 | −2.660 | 0.008 | 0.000 | 0.000 | 0.000 |
| Age (years) | 0.014 | 0.007 | 2.066 | 0.039 | 1.014 | 1.001 | 1.028 |
| Glucose (mg/dL) | 0.006 | 0.003 | 2.107 | 0.035 | 1.006 | 1.001 | 1.013 |
| Inv LDL-c | 5.596 | 1.852 | 3.022 | 0.003 | 269.241 | 8.324 | 11,972.248 |
| Inv LDL-c/HDL-c | −2.828 | 1.011 | −2.796 | 0.005 | 0.059 | 0.007 | 0.381 |
Disclaimer/Publisher’s Note: The statements, opinions and data contained in all publications are solely those of the individual author(s) and contributor(s) and not of MDPI and/or the editor(s). MDPI and/or the editor(s) disclaim responsibility for any injury to people or property resulting from any ideas, methods, instructions or products referred to in the content. |
© 2024 by the authors. Licensee MDPI, Basel, Switzerland. This article is an open access article distributed under the terms and conditions of the Creative Commons Attribution (CC BY) license (https://creativecommons.org/licenses/by/4.0/).
Share and Cite
Leite, J.M.R.S.; Trindade, L.A.I.; Pereira, J.L.; de Souza, C.A.; Soler, J.M.P.; Mingroni-Netto, R.C.; Fisberg, R.M.; Rogero, M.M.; Sarti, F.M. Random Forest Analysis of Out-of-Pocket Health Expenditures Associated with Cardiometabolic Diseases, Lifestyle, Lipid Profile, and Genetic Information in São Paulo, Brazil. Healthcare 2024, 12, 2275. https://doi.org/10.3390/healthcare12222275
Leite JMRS, Trindade LAI, Pereira JL, de Souza CA, Soler JMP, Mingroni-Netto RC, Fisberg RM, Rogero MM, Sarti FM. Random Forest Analysis of Out-of-Pocket Health Expenditures Associated with Cardiometabolic Diseases, Lifestyle, Lipid Profile, and Genetic Information in São Paulo, Brazil. Healthcare. 2024; 12(22):2275. https://doi.org/10.3390/healthcare12222275
Chicago/Turabian StyleLeite, Jean Michel R. S., Lucas A. I. Trindade, Jaqueline L. Pereira, Camila A. de Souza, Júlia M. Pavan Soler, Regina C. Mingroni-Netto, Regina M. Fisberg, Marcelo M. Rogero, and Flavia M. Sarti. 2024. "Random Forest Analysis of Out-of-Pocket Health Expenditures Associated with Cardiometabolic Diseases, Lifestyle, Lipid Profile, and Genetic Information in São Paulo, Brazil" Healthcare 12, no. 22: 2275. https://doi.org/10.3390/healthcare12222275
APA StyleLeite, J. M. R. S., Trindade, L. A. I., Pereira, J. L., de Souza, C. A., Soler, J. M. P., Mingroni-Netto, R. C., Fisberg, R. M., Rogero, M. M., & Sarti, F. M. (2024). Random Forest Analysis of Out-of-Pocket Health Expenditures Associated with Cardiometabolic Diseases, Lifestyle, Lipid Profile, and Genetic Information in São Paulo, Brazil. Healthcare, 12(22), 2275. https://doi.org/10.3390/healthcare12222275

