Performance Evaluation of Machine Learning Algorithms for Sarcopenia Diagnosis in Older Adults
Abstract
:1. Introduction
Apply Machine Learning Methods for Sarcopenia
2. Methods
2.1. Sample Size
2.2. Study Design and Participants
2.3. Measurement of Muscle Mass, Muscle Strength, and Gait Speed
2.4. Anthropometric Measurement
2.5. SARCF
2.6. Statistical Analysis
2.7. Performance Measures
2.8. Variable Importance
3. Results
3.1. Characteristics of Participants
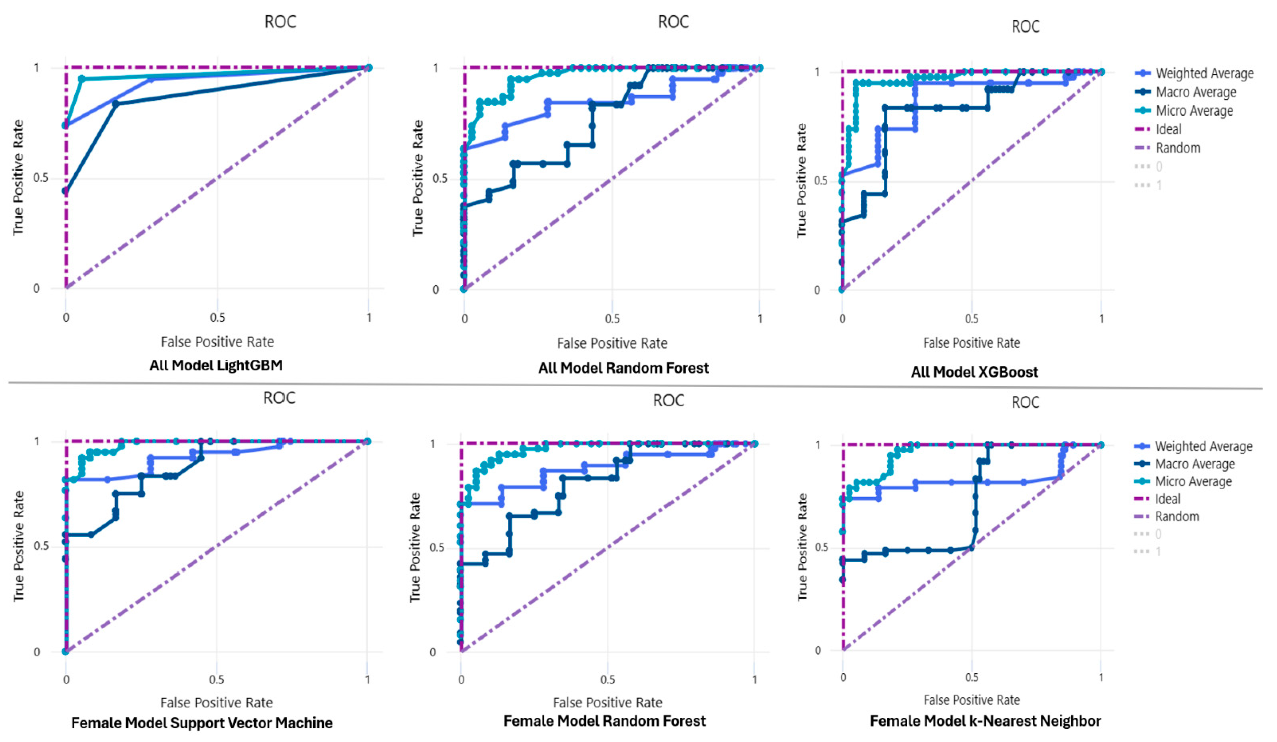
3.2. Variables and Diagnostic Performance of Machine Learning Algorithms
4. Discussion
4.1. Key Points
- These results highlight that ML algorithms can support clinicians in the early diagnosis of sarcopenia without using the BIA and/or DXA.
- Early diagnosis and therapeutic intervention for individuals prone to suffering sarcopenia decrease the risks of disability, hospitalization, and mortality.
- Early diagnosis of sarcopenia models will have a significant economical contribution to the healthcare system.
4.2. Study Limitations
Supplementary Materials
Author Contributions
Funding
Institutional Review Board Statement
Informed Consent Statement
Data Availability Statement
Conflicts of Interest
References
- Cruz-Jentoft, A.J.; Bahat, G.; Bauer, J.; Boirie, Y.; Bruyère, O.; Cederholm, T.; Cooper, C.; Landi, F.; Rolland, Y.; Sayer, A.A.; et al. Sarcopenia: Revised European consensus on definition and diagnosis. Age Ageing 2019, 48, 16–31. [Google Scholar] [CrossRef]
- Cooper, R.; Kuh, D.; Hardy, R.; Mortality Review Group. Objectively measured physical capability levels and mortality: Systematic review and meta-analysis. BMJ 2010, 341, c4467. [Google Scholar] [CrossRef] [PubMed]
- Cooper, R.; Kuh, D.; Cooper, C.; Gale, C.R.; Lawlor, D.A.; Matthews, F.; Hardy, R.; The FALCon and HALCyon Study Teams. Objective measures of physical capability and subsequent health: A systematic review. Age Ageing 2011, 40, 14–23. [Google Scholar] [CrossRef] [PubMed]
- Dodds, R.M.; Syddall, H.E.; Cooper, R.; Kuh, D.; Cooper, C.; Sayer, A.A. Global variation in grip strength: A systematic review and meta-analysis of normative data. Age Ageing 2016, 45, 209–216. [Google Scholar] [CrossRef] [PubMed]
- Norman, K.; Otten, L. Financial impact of sarcopenia or low muscle mass—A short review. Clin. Nutr. 2019, 38, 1489–1495. [Google Scholar] [CrossRef] [PubMed]
- Cao, L.; Morley, J.E. Sarcopenia Is Recognized as an Independent Condition by an International Classification of Disease, Tenth Revision, Clinical Modification (ICD-10-CM) Code. J. Am. Med. Dir. Assoc. 2016, 17, 675–677. [Google Scholar] [CrossRef]
- Yang, L.; Yao, X.; Shen, J.; Sun, G.; Sun, Q.; Tian, X.; Li, X.; Li, X.; Ye, L.; Zhang, Z.; et al. Comparison of revised EWGSOP criteria and four other diagnostic criteria of sarcopenia in Chinese community-dwelling elderly residents. Exp. Gerontol. 2020, 130, 110798. [Google Scholar] [CrossRef]
- Reiss, J.; Iglseder, B.; Alzner, R.; Mayr-Pirker, B.; Pirich, C.; Kässmann, H.; Kreutzer, M.; Dovjak, P.; Reiter, R. Consequences of applying the new EWGSOP2 guideline instead of the former EWGSOP guideline for sarcopenia case finding in older patients. Age Ageing 2019, 48, 719–724. [Google Scholar] [CrossRef]
- Hajaoui, M.; Locquet, M.; Beaudart, C.; Reginster, J.-Y.; Petermans, J.; Bruyère, O. Sarcopenia: Performance of the SARC-F Questionnaire According to the European Consensus Criteria, EWGSOP1 and EWGSOP2. J. Am. Med. Dir. Assoc. 2019, 20, 1182–1183. [Google Scholar] [CrossRef]
- Drey, M.; Ferrari, U.; Schraml, M.; Kemmler, W.; Schoene, D.; Franke, A.; Freiberger, E.; Kob, R.; Sieber, C. German Version of SARC-F: Translation, Adaption, and Validation. J. Am. Med. Dir. Assoc. 2020, 21, 747–751.e1. [Google Scholar] [CrossRef]
- Piotrowicz, K.; Głuszewska, A.; Czesak, J.; Fedyk-Łukasik, M.; Klimek, E.; Sánchez-Rodríguez, D.; Skalska, A.; Gryglewska, B.; Grodzicki, T.; Gąsowski, J. SARC-F as a case-finding tool for sarcopenia according to the EWGSOP2. National validation and comparison with other diagnostic standards. Aging Clin. Exp. Res. 2021, 33, 1821–1829. [Google Scholar] [CrossRef] [PubMed]
- Cao, L.; Chen, S.; Zou, C.; Ding, X.; Gao, L.; Liao, Z.; Liu, G.; Malmstrom, T.K.; Morley, J.E.; Flaherty, J.H.; et al. A pilot study of the SARC-F scale on screening sarcopenia and physical disability in the Chinese older people. J. Nutr. Health Aging 2014, 18, 277–283. [Google Scholar] [CrossRef] [PubMed]
- Woo, J.; Leung, J.; Morley, J.E. Validating the SARC-F: A Suitable Community Screening Tool for Sarcopenia? J. Am. Med. Dir. Assoc. 2014, 15, 630–634. [Google Scholar] [CrossRef] [PubMed]
- Ida, S.; Murata, K.; Nakadachi, D.; Ishihara, Y.; Imataka, K.; Uchida, A.; Monguchi, K.; Kaneko, R.; Fujiwara, R.; Takahashi, H. Development of a Japanese version of the SARC-F for diabetic patients: An examination of reliability and validity. Aging Clin. Exp. Res. 2016, 29, 935–942. [Google Scholar] [CrossRef]
- Malmstrom, T.K.; Miller, D.K.; Simonsick, E.M.; Ferrucci, L.; Morley, J.E. SARC-F: A symptom score to predict persons with sarcopenia at risk for poor functional outcomes. J. Cachexia Sarcopenia Muscle 2016, 7, 28–36. [Google Scholar] [CrossRef]
- Parra-Rodríguez, L.; Szlejf, C.; García-González, A.I.; Malmstrom, T.K.; Cruz-Arenas, E.; Rosas-Carrasco, O. Cross-Cultural Adaptation and Validation of the Spanish-Language Version of the SARC-F to Assess Sarcopenia in Mexican Community-Dwelling Older Adults. J. Am. Med. Dir. Assoc. 2016, 17, 1142–1146. [Google Scholar] [CrossRef]
- Kemmler, W.; Sieber, C.; Freiberger, E.; von Stengel, S. The SARC-F Questionnaire: Diagnostic Overlap with Established Sarcopenia Definitions in Older German Men with Sarcopenia. Gerontology 2017, 63, 411–416. [Google Scholar] [CrossRef]
- Kim, S.; Kim, M.; Won, C.W. Validation of the Korean Version of the SARC-F Questionnaire to Assess Sarcopenia: Korean Frailty and Aging Cohort Study. J. Am. Med. Dir. Assoc. 2018, 19, 40–45.e1. [Google Scholar] [CrossRef]
- Fu, X.; Tian, Z.; Thapa, S.; Sun, H.; Wen, S.; Xiong, H.; Yu, S. Comparing SARC-F with SARC-CalF for screening sarcopenia in advanced cancer patients. Clin. Nutr. 2020, 39, 3337–3345. [Google Scholar] [CrossRef]
- da Luz, M.C.L.; Pinho, C.P.S.; Bezerra, G.K.; de Lemos, M.D.C.C.; da Silva Diniz, A.; Cabral, P.C. SARC-F and SARC-CalF in screening for sarcopenia in older adults with Parkinson’s disease. Exp. Gerontol. 2021, 144, 111183. [Google Scholar] [CrossRef]
- Wijnhoven, H.A.H.; Schilp, J.; van Bokhorst-de van der Schueren, M.A.E.; de Vet, H.C.W.; Kruizenga, H.M.; Deeg, D.J.H.; Ferrucci, L.; Visser, M. Development and validation of criteria for determining undernutrition in community-dwelling older men and women: The Short Nutritional Assessment Questionnaire 65+. Clin. Nutr. 2012, 31, 351–358. [Google Scholar] [CrossRef] [PubMed]
- Roberts, H.C.; Denison, H.J.; Martin, H.J.; Patel, H.P.; Syddall, H.; Cooper, C.; Sayer, A.A. A review of the measurement of grip strength in clinical and epidemiological studies: Towards a standardised approach. Age Ageing 2011, 40, 423–429. [Google Scholar] [CrossRef]
- Leong, D.P.; Teo, K.K.; Rangarajan, S.; Lopez-Jaramillo, P.; Avezum, A.; Orlandini, A.; Seron, P.; Ahmed, S.H.; Rosengren, A.; Kelishadi, R.; et al. Prognostic value of grip strength: Findings from the Prospective Urban Rural Epidemiology (PURE) study. Lancet 2015, 386, 266–273. [Google Scholar] [CrossRef] [PubMed]
- Ibrahim, K.; May, C.; Patel, H.P.; Baxter, M.; Sayer, A.A.; Roberts, H. A feasibility study of implementing grip strength measurement into routine hospital practice (GRImP): Study protocol. Pilot Feasibility Stud. 2016, 2, 27. [Google Scholar] [CrossRef] [PubMed]
- Francis, P.; Toomey, C.; Mc Cormack, W.; Lyons, M.; Jakeman, P. Measurement of maximal isometric torque and muscle quality of the knee extensors and flexors in healthy 50- to 70-year-old women. Clin. Physiol. Funct. Imaging 2017, 37, 448–455. [Google Scholar] [CrossRef] [PubMed]
- Cruz-Jentoft, A.J.; Baeyens, J.P.; Bauer, J.M.; Boirie, Y.; Cederholm, T.; Landi, F.; Martin, F.C.; Michel, J.-P.; Rolland, Y.; Schneider, S.M.; et al. Sarcopenia: European consensus on definition and diagnosis. Age Ageing 2010, 39, 412–423. [Google Scholar] [CrossRef]
- Rolland, Y.; Cournot, M.; Nourhashémi, F.; Reynish, W.; Rivière, D.; Vellas, B.; Grandjean, H.; Lauwers-Cances, V.; Nourhashémi, F.; Rivière, D.; et al. Sarcopenia, Calf Circumference, and Physical Function of Elderly Women: A Cross-Sectional Study. J. Am. Geriatr. Soc. 2003, 51, 1120–1124. [Google Scholar] [CrossRef]
- Landi, F.; Onder, G.; Russo, A.; Liperoti, R.; Tosato, M.; Martone, A.M.; Capoluongo, E.; Bernabei, R. Calf circumference, frailty and physical performance among older adults living in the community. Clin. Nutr. 2014, 33, 539–544. [Google Scholar] [CrossRef]
- Schaap, L.A.; Pluijm, S.M.; Deeg, D.J.; Visser, M. Inflammatory Markers and Loss of Muscle Mass (Sarcopenia) and Strength. Am. J. Med. 2006, 119, 526.e9–526.e17. [Google Scholar] [CrossRef]
- Beaudart, C.; Zaaria, M.; Pasleau, F.; Reginster, J.-Y.; Bruyère, O. Health Outcomes of Sarcopenia: A Systematic Review and Meta-Analysis. PLoS ONE 2017, 12, e0169548. [Google Scholar] [CrossRef]
- Tosato, M.; Marzetti, E.; Cesari, M.; Savera, G.; Miller, R.R.; Bernabei, R.; Landi, F.; Calvani, R. Measurement of muscle mass in sarcopenia: From imaging to biochemical markers. Aging Clin. Exp. Res. 2017, 29, 19–27. [Google Scholar] [CrossRef] [PubMed]
- Beaudart, C.; McCloskey, E.; Bruyère, O.; Cesari, M.; Rolland, Y.; Rizzoli, R.; Araujo De Carvalho, I.; Amuthavalli Thiyagarajan, J.; Bautmans, I.; Bertière, M.-C.; et al. Sarcopenia in daily practice: Assessment and management. BMC Geriatr. 2016, 16, 170. [Google Scholar] [CrossRef] [PubMed]
- Cui, M.; Gang, X.; Gao, F.; Wang, G.; Xiao, X.; Li, Z.; Li, X.; Ning, G.; Wang, G. Risk Assessment of Sarcopenia in Patients with Type 2 Diabetes Mellitus Using Data Mining Methods. Front. Endocrinol. 2020, 11, 123. [Google Scholar] [CrossRef] [PubMed]
- Castillo-Olea, C.; Soto, B.G.-Z.; Lozano, C.C.; Zuñiga, C. Automatic Classification of Sarcopenia Level in Older Adults: A Case Study at Tijuana General Hospital. Int. J. Environ. Res. Public Health 2019, 16, 3275. [Google Scholar] [CrossRef]
- Efe, M.; Saraç, Z.F.; Savaş, S.; Kılavuz, A.; Akçiçek, S.F. Sarcopenia prevalence and the quality of life in older adults: A study from Turkey’s east. Ege Tıp Dergisi 2021, 60, 52–59. [Google Scholar] [CrossRef]
- Sergi, G.; De Rui, M.; Veronese, N.; Bolzetta, F.; Berton, L.; Carraro, S.; Bano, G.; Coin, A.; Manzato, E.; Perissinotto, E. Assessing appendicular skeletal muscle mass with bioelectrical impedance analysis in free-living Caucasian older adults. Clin. Nutr. 2015, 34, 667–673. [Google Scholar] [CrossRef]
- Bahat, G.; Tufan, A.; Tufan, F.; Kilic, C.; Selçuk Akpinar, T.; Kose, M.; Erten, N.; Karan, M.A.; Cruz-Jentoft, A.J. Cut-off points to identify sarcopenia according to European Working Group on Sarcopenia in Older People (EWGSOP) definition. Clin. Nutr. 2016, 35, 1557–1563. [Google Scholar] [CrossRef]
- Bahat, G.; Beaudart, C.; Bruyère, O.; Reginster, J.Y.; Oren, M.M.; Karan, M.A.; Reginster, J.Y.; Bruyère, O.; Beaudart, C. Cross-cultural adaptation and validation of the SARC-F to assess sarcopenia: Methodological report from European Union Geriatric Medicine Society Sarcopenia Special Interest Group. Eur. Geriatr. Med. 2017, 9, 23–28. [Google Scholar] [CrossRef]
- What Is Automated Machine Learning (AutoML)? Available online: https://learn.microsoft.com/en-us/azure/machine-learning/concept-automated-ml?view=azureml-api-2 (accessed on 4 July 2023).
- Chicco, D.; Jurman, G. The advantages of the Matthews correlation coefficient (MCC) over F1 score and accuracy in binary classification evaluation. BMC Genom. 2020, 21, 6. [Google Scholar] [CrossRef]
- James, G.; Witten, D.; Hastie, T.; Tibshirani, R. An Introduction to Statistical Learning; Springer: New York, NY, USA, 2013. [Google Scholar]
- Malmstrom, T.K.; Morley, J.E. SARC-F: A Simple Questionnaire to Rapidly Diagnose Sarcopenia. J. Am. Med. Dir. Assoc. 2013, 14, 531–532. [Google Scholar] [CrossRef]
- Tournadre, A.; Vial, G.; Capel, F.; Soubrier, M.; Boirie, Y. Sarcopenia. Jt. Bone Spine 2019, 86, 309–314. [Google Scholar] [CrossRef] [PubMed]
- Kang, Y.-J.; Yoo, J.-I.; Ha, Y.-C. Sarcopenia feature selection and risk prediction using machine learning. Medicine 2019, 98, e17699. [Google Scholar] [CrossRef] [PubMed]
- Ko, J.B.; Kim, K.B.; Shin, Y.S.; Han, H.; Han, S.K.; Jung, D.Y.; Hong, J.S. Predicting Sarcopenia of Female Elderly from Physical Activity Performance Measurement Using Machine Learning Classifiers. Clin. Interv. Aging 2021, 16, 1723–1733. [Google Scholar] [CrossRef] [PubMed]
- Agnes, T.; Vishal, K.; Girish, N. Regression model for the prediction of risk of sarcopenia among older adults. Muscle Ligaments Tendons J. 2019, 9, 425–432. [Google Scholar] [CrossRef]
- Seok, M.; Kim, W. Sarcopenia Prediction for Elderly People Using Machine Learning: A Case Study on Physical Activity. Healthcare 2023, 11, 1334. [Google Scholar] [CrossRef]
- Raza, A.; Ullah, N.; Khan, J.A.; Assam, M.; Guzzo, A.; Aljuaid, H. DeepBreastCancerNet: A Novel Deep Learning Model for Breast Cancer Detection Using Ultrasound Images. Appl. Sci. 2023, 13, 2082. [Google Scholar] [CrossRef]
- Ullah, N.; Khan, M.S.; Khan, J.A.; Choi, A.; Anwar, M.S. A Robust End-to-End Deep Learning-Based Approach for Effective and Reliable BTD Using MR Images. Sensors 2022, 22, 7575. [Google Scholar] [CrossRef]



| Diagnostic Test | Gold Standard | ||
| Positive | Negative | ||
| Positive | TP | FP | |
| Negative | FN | TN | |
| TP: true positive; TN: true negative; FN: false negative; FP: false positive. | |||
| Variables | Sex | Mean ± SD | Med [Min–Max] | Test Statistics; p-Value |
|---|---|---|---|---|
| Age (year) | Female | 72.4 ± 5.6 | 71.0 [65.0–88.0] | U = 2848.5 p = 0.005 |
| Male | 75.4 ± 6.7 | 74.0 [65.0–90.0] | ||
| Height (cm) | Female | 153.1 ± 6.3 | 153.0 [133.0–172.0] | t = −10.789 p < 0.001 |
| Male | 165.6 ± 7.8 | 166.5 [142.0–179.0] | ||
| BMI (kg/m2) | Female | 29.4 ± 5.5 | 29.1 [16.6–47.7] | U = 2951.0 p = 0.012 |
| Male | 27.3 ± 4.3 | 26.6 [18.6–39] | ||
| MNA score | Female | 25.3 ± 3 | 26 [13–30] | U = 3471 p = 0.343 |
| Male | 25.5 ± 3.3 | 26.5 [12.5–29.5] | ||
| SARC-F score | Female | 2.9 ± 2.3 | 2.0 [0.0–9.0] | U = 2742.0 p = 0.002 |
| Male | 1.7 ± 1.7 | 1.0 [0.0–6.0] | ||
| Handgrip strength (HS) (kg) | Female | 21.1 ± 5.5 | 21.0 [6.0–41.0] | U = 957.0 p < 0.001 |
| Male | 30.9 ± 6.3 | 31.0 [18.0–43.0] | ||
| Walking speed m/s | Female | 1.0 ± 0.3 | 1.0 [0.1–1.8] | t = −1.893 p = 0.060 |
| Male | 1.1 ± 0.3 | 1.1 [0.4–1.8] | ||
| Calf circumference (cm) | Female | 37.9 ± 4.2 | 38.0 [26–48] | t = −0.252 p = 0.802 |
| Male | 38 ± 3.6 | 38 [32–45] | ||
| Mid-upper arm circumference (MUAC) (cm) | Female | 30.7 ± 3.7 | 30.5 [21–43] | t = 2.197 p = 0.029 |
| Male | 29.5 ± 3.1 | 29 [24–38] |
| Variables | Sex | Total n (%) | Test Statistics; p-Value | ||
|---|---|---|---|---|---|
| Female n (%) | Male n (%) | ||||
| Smoking | Yes | 9 (6.8) | 6 (10.3) | 15 (7.9) | X2 = 0.689 p = 0.406 |
| No | 123 (93.2) | 52 (89.7) | 175 (92.1) | ||
| Hypertension | Yes | 79 (59.8) | 24 (41.4) | 103 (54.2) | X2 = 5.537 p = 0.019 |
| No | 53 (40.2) | 34 (58.6) | 87 (45.8) | ||
| Diabetes Mellitus | Yes | 31 (23.5) | 15 (25.9) | 46 (24.2) | X2 = 0.124 p = 0.725 |
| No | 101 (76.5) | 43 (74.1) | 144 (75.8) | ||
| Malnutrition status | Yes | 5 (3.8) | 3 (5.2) | 8 (4.2) | X2 = 0.192 p = 0.702 |
| No | 127 (96.2) | 55 (94.8) | 182 (95.8) | ||
| Sarcopenia | Healthy | 115 (87.1) | 47 (81.0) | 162 (85.3) | X2 = 1.188 p = 0.276 |
| Possible sarcopenia | 17 (12.9) | 11 (19.0) | 28 (14.7) | ||
| ALL Model | LightGBM | RF | XGBoost |
|---|---|---|---|
| Accuracy | 0.931 | 0.894 | 0.867 |
| AUC | 0.975 | 0.937 | 0.927 |
| F1 score | 0.921 | 0.871 | 0.852 |
| Matthews correlation coefficient | 0.676 | 0.544 | 0.533 |
| Precision | 0.932 | 0.885 | 0.863 |
| Recall | 0.921 | 0.892 | 0.874 |
| Female Model | SVM | RF | KNN |
| Accuracy | 0.939 | 0.924 | 0.917 |
| AUC | 0.979 | 0.958 | 0.953 |
| F1 score | 0.918 | 0.934 | 0.927 |
| Matthews correlation coefficient | 0.679 | 0.782 | 0.693 |
| Precision | 0.934 | 0.952 | 0.914 |
| Recall | 0.929 | 0.953 | 0.857 |
| Variable Importance of Models | |||
|---|---|---|---|
| ALL Model | Female Model | ||
| Variable | Importance | Variable | Importance |
| Handgrip strength ** | 1.071 | Handgrip strength ** | 1.798 |
| Sex | 0.839 | Age | 0.613 |
| BMI | 0.328 | Mid-upper arm circumference | 0.336 |
| Mid-upper arm circumference | 0.279 | BMI | 0.171 |
| Walking speed ** | 0.243 | SARCF ** | 0.123 |
| HT | 0.172 | HT | 0.119 |
| DM | 0.155 | Walking speed ** | 0.109 |
| Age | 0.134 | MNA | 0.068 |
| Calf circumference | 0.118 | Calf circumference | 0.041 |
| SARCF ** | 0.085 | ||
| MNA | 0.030 | ||
![]() | |||
Disclaimer/Publisher’s Note: The statements, opinions and data contained in all publications are solely those of the individual author(s) and contributor(s) and not of MDPI and/or the editor(s). MDPI and/or the editor(s) disclaim responsibility for any injury to people or property resulting from any ideas, methods, instructions or products referred to in the content. |
© 2023 by the authors. Licensee MDPI, Basel, Switzerland. This article is an open access article distributed under the terms and conditions of the Creative Commons Attribution (CC BY) license (https://creativecommons.org/licenses/by/4.0/).
Share and Cite
Ozgur, S.; Altinok, Y.A.; Bozkurt, D.; Saraç, Z.F.; Akçiçek, S.F. Performance Evaluation of Machine Learning Algorithms for Sarcopenia Diagnosis in Older Adults. Healthcare 2023, 11, 2699. https://doi.org/10.3390/healthcare11192699
Ozgur S, Altinok YA, Bozkurt D, Saraç ZF, Akçiçek SF. Performance Evaluation of Machine Learning Algorithms for Sarcopenia Diagnosis in Older Adults. Healthcare. 2023; 11(19):2699. https://doi.org/10.3390/healthcare11192699
Chicago/Turabian StyleOzgur, Su, Yasemin Atik Altinok, Devrim Bozkurt, Zeliha Fulden Saraç, and Selahattin Fehmi Akçiçek. 2023. "Performance Evaluation of Machine Learning Algorithms for Sarcopenia Diagnosis in Older Adults" Healthcare 11, no. 19: 2699. https://doi.org/10.3390/healthcare11192699
APA StyleOzgur, S., Altinok, Y. A., Bozkurt, D., Saraç, Z. F., & Akçiçek, S. F. (2023). Performance Evaluation of Machine Learning Algorithms for Sarcopenia Diagnosis in Older Adults. Healthcare, 11(19), 2699. https://doi.org/10.3390/healthcare11192699


