The Impact of Rebate Distribution on Fairness Concerns in Supply Chains
Abstract
1. Introduction
2. Literature Review
3. Model Description
3.1. Prior Assumptions
- (1)
- Distributor obtains a higher proportion of the distribution.
- (2)
- Distributor and retailer obtain the same distribution ratio.
- (3)
- Retailer obtains a higher proportion of the distribution.
3.2. Model Development
3.2.1. Symbol Description
3.2.2. Model Development
- Situation I: both distributor and retailer are fairness neutral
- Situation II: only retailers have fairness concerns
- Situation III: only distributors have fairness concerns
4. Numerical Simulation
4.1. Both Distributor and Retailer Are Fairness Neutral
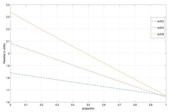
4.2. Simulation Calculation and Data Analysis of Retailer Fairness Concern
4.3. Simulation Calculation and Data Analysis of Distributor Fairness Concerns
5. Conclusions
Author Contributions
Funding
Institutional Review Board Statement
Informed Consent Statement
Data Availability Statement
Conflicts of Interest
References
- Ho, T.H.; Su, X.; Wu, Y. Distributional and Peer-Induced Fairness in Supply Chain Contract Design. Prod. Oper. Manag. 2014, 23, 161–175. [Google Scholar] [CrossRef]
- Güth, W.; Schmittberger, R.; Schwarze, B. An experimental analysis of ultimatum bargaining. J. Econ. Behav. Organ. 1982, 3, 367–388. [Google Scholar] [CrossRef]
- Pucci, T.; Casprini, E.; Galati, A.; Zanni, L. The virtuous cycle of stakeholder engagement in developing a sustainability culture: Salcheto winery. J. Bus. Res. 2020, 119, 364–376. [Google Scholar] [CrossRef]
- Giacomarra, M.; Crescimanno, M.; Sakka, G.; Galati, A. Stakeholder engagement toward value co-creation in the F&B packaging industry. EuroMed J. Bus. 2019, 15, 315–331. [Google Scholar] [CrossRef]
- Spengler, J.J. Vertical Integration and Antitrust Policy. J. Political Econ. 1950, 58, 347–352. [Google Scholar] [CrossRef]
- Nie, T.F.; He, B.Y.; Du, S.F. Supply chain operations considering fairness concerns with bargaining disagreement point. J. Manag. Sci. China 2017, 20, 92–102. [Google Scholar]
- Rabin, M. Incorporating Fairness into Game Theory and Economics. Am. Econ. Rev. 1993, 83, 1281–1302. [Google Scholar]
- Thaler, C.R.H. Anomalies: Ultimatums, Dictators and Manners. J. Econ. Perspect. 1995, 9, 209–219. [Google Scholar]
- Cui, T.H.; Raju, J.S.; Zhang, Z.J. Fairness and Channel Coordination. Manag. Sci. 2007, 53, 1303–1314. [Google Scholar] [CrossRef]
- Caliskan-Demirag, O.; Chen, Y.; Li, J. Channel coordination under fairness concerns and nonlinear demand. Eur. J. Oper. Res. 2010, 207, 1321–1326. [Google Scholar] [CrossRef]
- Gerchak, Y.; Wang, Y. Revenue-Sharing vs. Wholesale-Price Contracts in Assembly Systems with Random Demand. Prod. Oper. Manag. 2009, 13, 23–33. [Google Scholar] [CrossRef]
- Ullah, M.; Khan, I.; Sarkar, B. Dynamic Pricing in a Multi-Period Newsvendor Under Stochastic Price-Dependent Demand. Mathematics 2019, 7, 520. [Google Scholar] [CrossRef]
- Cachon, G.P.; Lariviere, M.A. Supply Chain Coordination with Revenue-Sharing Contracts: Strengths and Limitations. Manag. Sci. 2005, 51, 30–44. [Google Scholar] [CrossRef]
- Jian, J.; Zhang, Y.; Jiang, L.; Su, J. Coordination of Supply Chains with Competing Manufacturers considering Fairness Concerns. Complex 2020, 2020, 4372603. [Google Scholar] [CrossRef]
- Liang, J. Optimal Online Referral Strategy and Incentive Mechanism in Offline to Online (O2O)Supply Chain. Manag. Rev. 2019, 31, 242–253. [Google Scholar]
- Katok, E.; Olsen, T.; Pavlov, V. Wholesale Pricing under Mild and Privately Known Concerns for Fairness. Prod. Oper. Manag. 2014, 23, 285–302. [Google Scholar] [CrossRef]
- Wei, G.; Li, K. A Review of Economic Theoretical Model on Fairness Preference. Lect. Notes Manag. Sci. 2013, 19, 38–43. [Google Scholar]
- Sarkar, B.; Zhang, C.; Majumder, A.; Sarkar, M.; Seo, Y.W. A distribution free newsvendor model with consignment policy and retailer’s royalty reduction. Int. J. Prod. Res. 2018, 56, 5025–5044. [Google Scholar] [CrossRef]
- Mela, C.F.; Gupta, S.; Lehmann, D.R. The long-term impact of promotion and advertising on consumer brand choice. J. Mark. Res. 1997, 34, 248–261. [Google Scholar] [CrossRef]
- Liu, B.; Cai, G.; Tsay, A.A. Advertising in Asymmetric Competing Supply Chains. Prod. Oper. Manag. 2014, 23, 1845–1858. [Google Scholar] [CrossRef]
- Taylor, T.A. Supply Chain Coordination Under Channel Rebates with Sales Effort Effects. Manag. Sci. 2002, 48, 992–1007. [Google Scholar] [CrossRef]
- Manikas, A.; Godfrey, M. Service Chain Coordination Using Salvage Manipulation. Int. J. Manag. Mark. Res. 2016, 7, 15–27. [Google Scholar]
- Krishnan, H.; Kapuscinski, R.; Butz, D.A. Quick Response and Retailer Effort. Manag. Sci. 2010, 56, 962–977. [Google Scholar] [CrossRef]
- Krishnan, H.; Kapuscinski, R.; Butz, D.A. Coordinating Contracts for Decentralized Supply Chains with Retailer Promotional Effort. Manag. Sci. 2004, 50, 48–63. [Google Scholar] [CrossRef]
- Yue, J.; Austin, J.; Huang, Z.; Chen, B. Pricing and advertisement in a manufacturer–retailer supply chain. Eur. J. Oper. Res. 2013, 231, 492–502. [Google Scholar] [CrossRef]
- Song, J.; Li, F.; Wu, D.D.; Liang, L.; Dolgui, A. Supply chain coordination through integration of innovation effort and advertising support. Appl. Math. Model. 2017, 49, 108–123. [Google Scholar] [CrossRef]
- Ma, P.; Shang, J.; Wang, H. Enhancing corporate social responsibility: Contract design under information asymmetry. Omega 2017, 67, 19–30. [Google Scholar] [CrossRef]
- Fehr, E.; Schmidt, K.M. A Thoery of fairness, competition and cooperation. Q. J. Econ. 1999, 114, 817–868. [Google Scholar] [CrossRef]






| U | ||||||
|---|---|---|---|---|---|---|
| 0.1 | 0.2 | 0.418 | 0.792 | 0.604 | 1.821 | 2.425 |
| 0.5 | 0.418 | 0.723 | 0.575 | 2.039 | 2.614 | |
| 0.8 | 0.418 | 0.676 | 0.555 | 2.267 | 2.822 | |
| 0.2 | 0.2 | 0.436 | 0.771 | 0.642 | 1.803 | 2.445 |
| 0.5 | 0.436 | 0.699 | 0.611 | 1.994 | 2.605 | |
| 0.8 | 0.436 | 0.650 | 0.590 | 2.197 | 2.786 | |
| 0.3 | 0.2 | 0.454 | 0.750 | 0.681 | 1.784 | 2.465 |
| 0.5 | 0.454 | 0.675 | 0.646 | 1.949 | 2.596 | |
| 0.8 | 0.454 | 0.624 | 0.624 | 2.127 | 2.751 | |
| 0.4 | 0.2 | 0.472 | 0.729 | 0.719 | 1.765 | 2.484 |
| 0.5 | 0.472 | 0.651 | 0.682 | 1.905 | 2.586 | |
| 0.8 | 0.472 | 0.598 | 0.657 | 2.058 | 2.715 | |
| 0.5 | 0.2 | 0.490 | 0.708 | 0.757 | 1.746 | 2.504 |
| 0.5 | 0.490 | 0.627 | 0.717 | 1.860 | 2.577 | |
| 0.8 | 0.490 | 0.572 | 0.690 | 1.990 | 2.680 | |
| 0.6 | 0.2 | 0.508 | 0.687 | 0.795 | 1.728 | 2.523 |
| 0.5 | 0.508 | 0.603 | 0.752 | 1.816 | 2.568 | |
| 0.8 | 0.508 | 0.546 | 0.724 | 1.922 | 2.645 | |
| 0.7 | 0.2 | 0.526 | 0.666 | 0.833 | 1.709 | 2.542 |
| 0.5 | 0.526 | 0.579 | 0.787 | 1.772 | 2.559 | |
| 0.8 | 0.526 | 0.520 | 0.756 | 1.854 | 2.610 | |
| 0.8 | 0.2 | 0.544 | 0.645 | 0.871 | 1.691 | 2.562 |
| 0.5 | 0.544 | 0.555 | 0.822 | 1.728 | 2.550 | |
| 0.8 | 0.544 | 0.494 | 0.789 | 1.787 | 2.575 | |
| 0.9 | 0.2 | 0.562 | 0.624 | 0.909 | 1.672 | 2.581 |
| 0.5 | 0.562 | 0.531 | 0.856 | 1.685 | 2.541 | |
| 0.8 | 0.562 | 0.468 | 0.821 | 1.720 | 2.541 | |
| 1.0 | 0.2 | 0.580 | 0.603 | 0.946 | 1.654 | 2.600 |
| 0.5 | 0.580 | 0.507 | 0.890 | 1.641 | 2.532 | |
| 0.8 | 0.580 | 0.442 | 0.853 | 1.654 | 2.507 |
| 0.1 | 0.2 | 0.524 | 0.862 | 0.648 | 1.685 | 2.334 |
| 0.5 | 0.331 | 0.862 | 0.375 | 1.519 | 1.894 | |
| 0.8 | 0.202 | 0.862 | 0.109 | 1.407 | 1.517 | |
| 0.2 | 0.2 | 0.545 | 0.844 | 0.698 | 1.660 | 2.359 |
| 0.5 | 0.355 | 0.844 | 0.447 | 1.500 | 1.947 | |
| 0.8 | 0.228 | 0.844 | 0.201 | 1.392 | 1.593 | |
| 0.3 | 0.2 | 0.566 | 0.826 | 0.748 | 1.635 | 2.383 |
| 0.5 | 0.379 | 0.826 | 0.519 | 1.480 | 1.999 | |
| 0.8 | 0.254 | 0.826 | 0.293 | 1.377 | 1.670 | |
| 0.4 | 0.2 | 0.587 | 0.808 | 0.797 | 1.609 | 2.406 |
| 0.5 | 0.403 | 0.808 | 0.591 | 1.460 | 2.051 | |
| 0.8 | 0.280 | 0.808 | 0.385 | 1.360 | 1.745 | |
| 0.5 | 0.2 | 0.608 | 0.790 | 0.846 | 1.583 | 2.429 |
| 0.5 | 0.427 | 0.790 | 0.663 | 1.439 | 2.102 | |
| 0.8 | 0.306 | 0.790 | 0.477 | 1.343 | 1.821 | |
| 0.6 | 0.2 | 0.629 | 0.772 | 0.895 | 1.556 | 2.451 |
| 0.5 | 0.451 | 0.772 | 0.734 | 1.418 | 2.152 | |
| 0.8 | 0.332 | 0.772 | 0.569 | 1.326 | 1.895 | |
| 0.7 | 0.2 | 0.650 | 0.754 | 0.944 | 1.529 | 2.472 |
| 0.5 | 0.475 | 0.754 | 0.806 | 1.396 | 2.202 | |
| 0.8 | 0.358 | 0.754 | 0.662 | 1.308 | 1.969 | |
| 0.8 | 0.2 | 0.671 | 0.736 | 0.992 | 1.501 | 2.493 |
| 0.5 | 0.499 | 0.736 | 0.877 | 1.374 | 2.251 | |
| 0.8 | 0.384 | 0.736 | 0.754 | 1.289 | 2.043 | |
| 0.9 | 0.2 | 0.692 | 0.718 | 1.040 | 1.473 | 2.513 |
| 0.5 | 0.523 | 0.718 | 0.948 | 1.351 | 2.299 | |
| 0.8 | 0.410 | 0.718 | 0.846 | 1.270 | 2.116 | |
| 1 | 0.2 | 0.713 | 0.700 | 1.087 | 1.444 | 2.532 |
| 0.5 | 0.547 | 0.700 | 1.019 | 1.328 | 2.347 | |
| 0.8 | 0.436 | 0.700 | 0.939 | 1.250 | 2.189 |
| UR | US | UR − US | ||
|---|---|---|---|---|
| 0.1 | 0.2 | 2.425 | 2.334 | 0.091 |
| 0.5 | 2.614 | 1.894 | 0.720 | |
| 0.8 | 2.822 | 1.517 | 1.305 | |
| 0.2 | 0.2 | 2.445 | 2.359 | 0.086 |
| 0.5 | 2.605 | 1.947 | 0.658 | |
| 0.8 | 2.786 | 1.593 | 1.193 | |
| 0.3 | 0.2 | 2.465 | 2.383 | 0.082 |
| 0.5 | 2.596 | 1.999 | 0.597 | |
| 0.8 | 2.751 | 1.67 | 1.081 | |
| 0.4 | 0.2 | 2.484 | 2.406 | 0.078 |
| 0.5 | 2.586 | 2.051 | 0.535 | |
| 0.8 | 2.715 | 1.745 | 0.970 | |
| 0.5 | 0.2 | 2.504 | 2.429 | 0.075 |
| 0.5 | 2.577 | 2.102 | 0.475 | |
| 0.8 | 2.68 | 1.821 | 0.859 | |
| 0.6 | 0.2 | 2.523 | 2.451 | 0.072 |
| 0.5 | 2.568 | 2.152 | 0.416 | |
| 0.8 | 2.645 | 1.895 | 0.750 | |
| 0.7 | 0.2 | 2.542 | 2.472 | 0.070 |
| 0.5 | 2.559 | 2.202 | 0.357 | |
| 0.8 | 2.61 | 1.969 | 0.641 | |
| 0.8 | 0.2 | 2.562 | 2.493 | 0.069 |
| 0.5 | 2.55 | 2.251 | 0.299 | |
| 0.8 | 2.575 | 2.043 | 0.532 | |
| 0.9 | 0.2 | 2.581 | 2.513 | 0.068 |
| 0.5 | 2.541 | 2.299 | 0.242 | |
| 0.8 | 2.541 | 2.116 | 0.425 | |
| 1 | 0.2 | 2.6 | 2.532 | 0.068 |
| 0.5 | 2.532 | 2.347 | 0.185 | |
| 0.8 | 2.507 | 2.189 | 0.318 |
Publisher’s Note: MDPI stays neutral with regard to jurisdictional claims in published maps and institutional affiliations. |
© 2021 by the authors. Licensee MDPI, Basel, Switzerland. This article is an open access article distributed under the terms and conditions of the Creative Commons Attribution (CC BY) license (https://creativecommons.org/licenses/by/4.0/).
Share and Cite
Jiang, X.; Zhou, J. The Impact of Rebate Distribution on Fairness Concerns in Supply Chains. Mathematics 2021, 9, 778. https://doi.org/10.3390/math9070778
Jiang X, Zhou J. The Impact of Rebate Distribution on Fairness Concerns in Supply Chains. Mathematics. 2021; 9(7):778. https://doi.org/10.3390/math9070778
Chicago/Turabian StyleJiang, Xi, and Jinsheng Zhou. 2021. "The Impact of Rebate Distribution on Fairness Concerns in Supply Chains" Mathematics 9, no. 7: 778. https://doi.org/10.3390/math9070778
APA StyleJiang, X., & Zhou, J. (2021). The Impact of Rebate Distribution on Fairness Concerns in Supply Chains. Mathematics, 9(7), 778. https://doi.org/10.3390/math9070778
