Bell Polynomial Approach for Time-Inhomogeneous Linear Birth–Death Process with Immigration
Abstract
1. Introduction
2. The Model
- with rate for ,
- with rate for ,
- (1)
- we determine the transition probabilities for and ;
- (2)
- we calculate the probabilities as a convolution between and the transition probabilities of the process for , and .
2.1. Determination of the Transition Probabilities Starting from the Zero State
2.2. Determination of the Transition Probabilities Starting from
2.3. Time-Homogeneous Case
3. Special Discrete Processes
3.1. Time-Inhomogeneous Poisson Process
3.2. Time-Inhomogeneous Linear Birth Process
3.3. Time-Inhomogeneous Linear Death Process
3.4. Time-Inhomogeneous Linear Birth–Death Process
Time-Homogeneous Linear Birth–Death Process
3.5. Time-Inhomogeneous Linear Death Process with Immigration
Time-Homogeneous Linear Death Process with Immigration
3.6. Time Inhomogeneous Linear Birth Process with Immigration
Time-Homogeneous Linear Birth Immigration Process
3.7. Generalized Polya Process
3.8. Generalized Polya-Death Process
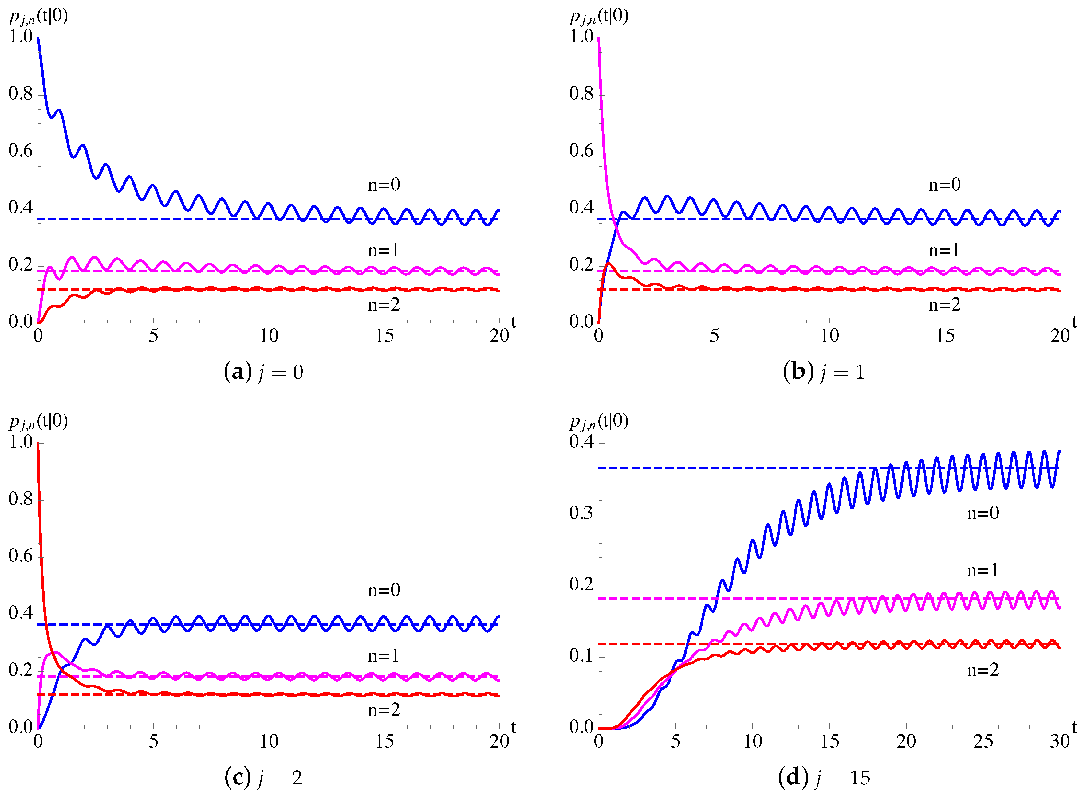
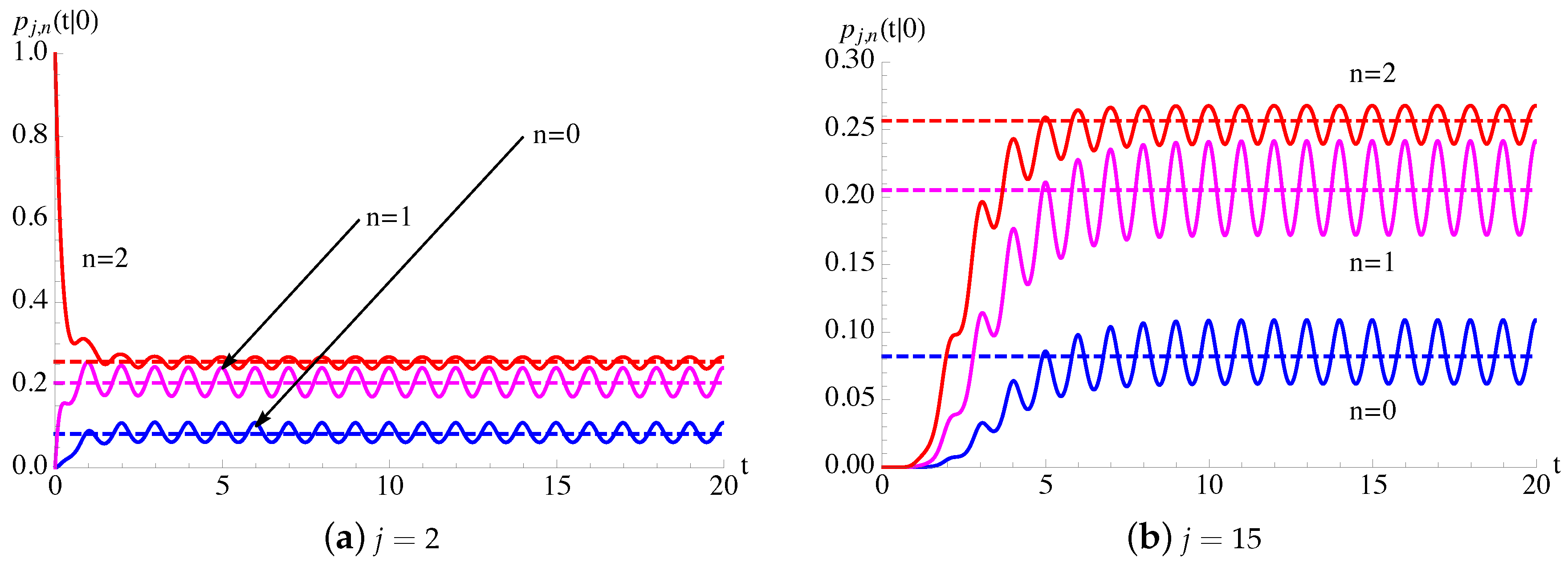
4. A Time-Inhomogeneous Birth–Death Process with Finite State-Space
- -
- the generating function of a binomial random variable for ;
- -
- the generating function of the convolution of the transition probabilities of two independent binomial variables and for ,
- -
- the generating function of a binomial random variable for .
Time-Homogeneous Prendiville Process
5. Conclusions
Author Contributions
Funding
Acknowledgments
Conflicts of Interest
Appendix A. Proof of Proposition 1
Appendix B. Proof of Proposition 2
Appendix C. Proof of Proposition 3
Appendix D. Proof of Proposition 4
Appendix E. Proof of Proposition 5
References
- Bailey, N.T.J. The Elements of Stochastic Processes with Applications to the Natural Sciences; John Wiley & Sons, Inc.: New York, NY, USA, 1964. [Google Scholar]
- Conolly, B. Lecture Notes on Queueing Systems; Ellis Horwood Ltd.: Chichester, NY, USA, 1975; ISBN 0470168579. [Google Scholar]
- Feldman, M.W. Mathematical Evolutionary Theory; Princeton University Press: Princeton, NJ, USA, 1989. [Google Scholar]
- Iosifescu, M.; Tautu, F. Stochastic Processes and Applications in Biology and Medicine II. Models; Springer: Berlin/Heidelberg, Germany, 1973; ISBN 978-3-642-80755-8. [Google Scholar]
- Medhi, J. Stochastic Models in Queueing Theory; Academic Press: Amsterdam, The Netherlands, 2003. [Google Scholar]
- Ricciardi, L.M. Stochastic population theory: Birth and death processes. In Mathematical Ecology; Hallam, T.G., Levin, S.A., Eds.; Springer: Berlin/Heidelberg, Germany, 1986; Volume 17, pp. 155–190. [Google Scholar]
- Thieme, H.R. Mathematics in Population Biology; Princeton University Press: Princeton, NJ, USA, 2003. [Google Scholar]
- Di Crescenzo, A.; Giorno, V.; Nobile, A.G. Constructing transient birth–death processes by means of suitable transformations. Appl. Math. Comp. 2016, 281, 152–171. [Google Scholar] [CrossRef]
- Crawford, F.W.; Suchard, M.A. Transition probabilities for general birth–death processes with applications in ecology, genetics, and evolution. J. Math. Biol. 2012, 65, 553–580. [Google Scholar] [CrossRef]
- Giorno, V.; Nobile, A.G. First-passage times and related moments for continuous-time birth–death chains. Ric. Mat. 2019, 68, 629–659. [Google Scholar] [CrossRef]
- Lenin, R.B.; Parthasarathy, P.R.; Scheinhardt, W.R.W.; van Doorn, E.A. Families of birth–death processes with similar time-dependent behaviour. J. Appl. Probab. 2000, 37, 835–849. [Google Scholar] [CrossRef]
- Tavaré, S. The birth process with immigration, and the genealogical structure of large populations. J. Math. Biol. 1987, 25, 161–168. [Google Scholar] [CrossRef]
- Crawford, F.W.; Ho, L.S.T.; Suchard, M.A. Computational methods for birth–death processes. Wiley Interdiscip. Rev. Comput. Stat. 2018, 10. [Google Scholar] [CrossRef] [PubMed]
- Di Crescenzo, A.; Giorno, V.; Krishna Kumar, B.; Nobile, A.G. M/M/1 queue in two alternating environments and its heavy traffic approximation. J. Math. Anal. Appl. 2018, 458, 973–1001. [Google Scholar] [CrossRef]
- Giorno, V.; Nobile, A.G.; Pirozzi, E. A state-dependent queueing system with asymptotic logarithmic distribution. J. Math. Anal. Appl. 2018, 458, 949–966. [Google Scholar] [CrossRef]
- Di Crescenzo, A.; Giorno, V.; Krishna Kumar, B.; Nobile, A.G. A double-ended queue with catastrophes and repairs, and a jump-diffusion approximation. Methodol. Comput. Appl. Probab. 2012, 14, 937–954. [Google Scholar] [CrossRef]
- Dharmaraja, S.; Di Crescenzo, A.; Giorno, V.; Nobile, A.G. A continuous-time Ehrenfest model with catastrophes and its jump-diffusion approximation. J. Stat. Phys. 2015, 161, 326–345. [Google Scholar] [CrossRef]
- Giorno, V.; Nobile, A.G. On a Bilateral Linear Birth and Death Process in the Presence of Catastrophe. In Computer Aided Systems Theory-EUROCAST 2013, Part I; LNCS 8111; Moreno-Diaz, R., Pichler, F., Quesada-Arencibia, A., Eds.; Springer: Berlin/Heidelberg, Germany, 2013; pp. 28–35. [Google Scholar]
- Economou, A.; Fakinos, D. Alternative approaches for the transient analysis of Markov chains with catastrophes. J. Stat. Theory Pract. 2008, 2, 183–197. [Google Scholar] [CrossRef][Green Version]
- Kapodistria, S.; Phung-Duc, T.; Resing, J. Linear birth/immigration-death process with binomial catastrophes. Prob. Eng. Inf. Sci. 2016, 30, 79–111. [Google Scholar] [CrossRef]
- Branson, D. Inhomogeneous birth–death and birth–death-immigration processes and the logarithmic series distribution. Stoch. Process. Appl. 1991, 39, 131–137. [Google Scholar] [CrossRef]
- Di Crescenzo, A.; Giorno, V.; Krishna Kumar, B.; Nobile, A.G. A time-non-homogeneous double-ended queue with failures and repairs and its continuous approximation. Mathematics 2018, 6, 81. [Google Scholar] [CrossRef]
- Giorno, V.; Nobile, A.G.; Spina, S. On some time non-homogeneous queueing systems with catastrophes. Appl. Math. Comput. 2014, 245, 220–234. [Google Scholar] [CrossRef]
- Giveen, S.M. A taxicab problem with time-dependent arrival rates. SIAM Rev. 1963, 5, 119–127. [Google Scholar] [CrossRef]
- Zeifman, A.; Satin, Y.; Korolev, V.; Shorgin, S. On truncations for weakly ergodic inhomogeneous birth and death processes. Int. J. Appl. Math. Comput. Sci. 2014, 24, 503–518. [Google Scholar] [CrossRef]
- Satin, Y.; Zeifman, A.; Kryukova, A. On the rate of convergence and limiting characteristics for a nonstationary queueing model. Mathematics 2019, 7, 678. [Google Scholar] [CrossRef]
- Giorno, V.; Nobile, A.G. On a class of birth–death processes with time-varying intensity functions. Appl. Math. Comput. 2020, 379. [Google Scholar] [CrossRef]
- Dong, J.; Whitt, W. Using a birth-and-death process to estimate the steady-state distribution of a periodic queue. Naval Res. Logist. 2015, 62, 664–685. [Google Scholar] [CrossRef]
- Giorno, V.; Nobile, A.G.; Ricciardi, L.M. On some time-nonhomogeneous diffusion approximations to queueing systems. Adv. Appl. Prob. 1987, 19, 974–994. [Google Scholar] [CrossRef]
- Whitt, W. The steady-state distribution of the Mt/M/∞ queue with sinusoidal arrival rate function. Oper. Res. Lett. 2014, 42, 311–318. [Google Scholar] [CrossRef]
- Bodrova, A.; Chechkin, A.V.; Cherstvy, A.G.; Metzler, R. Quantifying non-ergodic dynamics of force-free granular gases. Phys. Chem. Chem. Phys. 2015, 17, 21791–21798. [Google Scholar] [CrossRef]
- Bodrova, A.S.; Chechkin, A.V.; Cherstvy, A.G.; Safdari, H.; Sokolov, I.M.; Metzler, R. Underdamped scaled Brownian motion: (non-)existence of the overdamped limit in anomalous diffusion. Sci. Rep. 2016, 6, 30520. [Google Scholar] [CrossRef] [PubMed]
- Karlin, S.; McGregor, J. Linear growth, birth and death processes. J. Math. Mech. 1958, 7, 643–662. [Google Scholar] [CrossRef]
- Konno, H. On the exact solution of a generalized Polya process. Adv. Math. Phys. 2010, 504267. [Google Scholar] [CrossRef]
- Kendall, D.G. On the generalized “birth-and-death” process. Ann. Math. Stat. 1948, 19, 1–15. [Google Scholar] [CrossRef]
- Van Den Broek, J.; Heesterbeek, H. Nonhomogeneous birth and death models for epidemic outbreak data. Biostatistics 2007, 8, 453–467. [Google Scholar] [CrossRef] [PubMed]
- Tavaré, S. The linear birth–death process: An inferential retrospective. Adv. Appl. Probab. 2018, 50, 253–269. [Google Scholar] [CrossRef]
- Ohkubo, J. Karlin-McGregor-like formula in a simple time-inhomogeneous birth–death process. J. Phys. A Math. Theor. 2014, 47, 405001. [Google Scholar] [CrossRef]
- Ohkubo, J. Lie algebraic discussions for time-inhomogeneous linear birth–death processes with immigration. J. Stat. Phys. 2014, 157, 380–391. [Google Scholar] [CrossRef][Green Version]
- Di Crescenzo, A.; Nobile, A.G. Diffusion approximation to a queueing system with time dependent arrival and service rates. Queueing Syst. 1995, 19, 41–62. [Google Scholar] [CrossRef]
- Zheng, Q. Note on the non-homogeneous Prendiville process. Math. Biosci. 1998, 148, 1–5. [Google Scholar] [CrossRef]
- Giorno, V.; Nobile, A.G.; Spina, S. Some Remarks on the Prendiville Model in the Presence of Jumps. In Computer Aided Systems Theory—EUROCAST 2019; Moreno-Díaz, R., Pichler, F., Quesada-Arencibia, A., Eds.; LNCS 12013; Springer: Cham, Switzerland, 2020; pp. 150–157. [Google Scholar]
- Giorno, V.; Negri, C.; Nobile, A.G. A solvable model for a finite capacity queueing system. J. Appl. Prob. 1985, 22, 903–911. [Google Scholar] [CrossRef]
- Williams, W.E. Partial Differential Equations; Clarendon Press: Oxford, UK, 1980. [Google Scholar]
- Comtet, L. Advanced Combinatorics: The Art of Finite and Infinite Expansions; D. Reidel Publishing Company: Boston, MA, USA, 1974. [Google Scholar]














| Name | Abbreviation | Intensity Functions |
|---|---|---|
| Time-inhomogeneous Poisson process | , | |
| Time-inhomogeneous birth process | , | |
| Time-inhomogeneous death process | , | |
| Time-inhomogeneous birth–death process | ||
| Time-inhomogeneous death process with immigration | ||
| Time-inhomogeneous birth process with immigration | ||
| Generalized Polya process | ||
| Generalized Polya-death process |
© 2020 by the authors. Licensee MDPI, Basel, Switzerland. This article is an open access article distributed under the terms and conditions of the Creative Commons Attribution (CC BY) license (http://creativecommons.org/licenses/by/4.0/).
Share and Cite
Giorno, V.; Nobile, A.G. Bell Polynomial Approach for Time-Inhomogeneous Linear Birth–Death Process with Immigration. Mathematics 2020, 8, 1123. https://doi.org/10.3390/math8071123
Giorno V, Nobile AG. Bell Polynomial Approach for Time-Inhomogeneous Linear Birth–Death Process with Immigration. Mathematics. 2020; 8(7):1123. https://doi.org/10.3390/math8071123
Chicago/Turabian StyleGiorno, Virginia, and Amelia G. Nobile. 2020. "Bell Polynomial Approach for Time-Inhomogeneous Linear Birth–Death Process with Immigration" Mathematics 8, no. 7: 1123. https://doi.org/10.3390/math8071123
APA StyleGiorno, V., & Nobile, A. G. (2020). Bell Polynomial Approach for Time-Inhomogeneous Linear Birth–Death Process with Immigration. Mathematics, 8(7), 1123. https://doi.org/10.3390/math8071123

