Impacts of Thermal Radiation and Heat Consumption/Generation on Unsteady MHD Convection Flow of an Oldroyd-B Fluid with Ramped Velocity and Temperature in a Generalized Darcy Medium
Abstract
1. Introduction
2. Mathematical Modeling
3. Analytical Solutions
4. Special Cases
4.1. Case 1
4.2. Case 2
4.3. Case 3
4.4. Case 4
5. Parametric Study
6. Conclusions
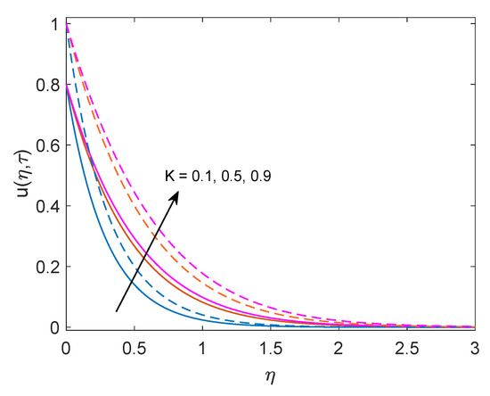
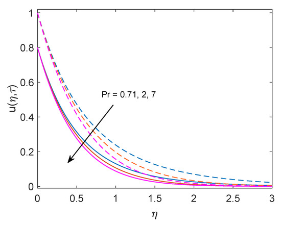
- An elevation in mass profile is seen with the enhancement in Gr, K, , and t. An increase in magnetic parameter (M) and relaxation time leads to lowering of velocity curves.
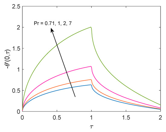
- Energy boundary layer decreases with elevation in Pr and addition of heat sink to the system. Increases in Nr and t and addition of a heat source increase the energy boundary layer.
- Nusselt number indicates that high values of Pr provide resistance to heat transfer while small values of Pr have greater thermal conductivity. Moreover, the rate of heat transfer from plate to fluid decays with increase in Nr and Q.
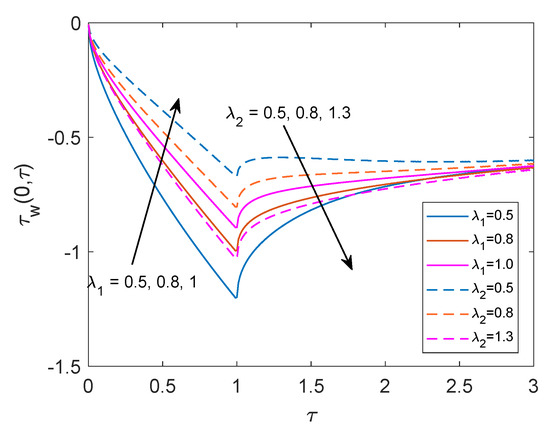
- Velocity on the plate decreases with increase in relaxation time and behaves oppositely for retardation time (skin friction).
Author Contributions
Funding
Acknowledgments
Conflicts of Interest
References
- RamReddy, C.; Naveen, P. Analysis of activation energy and thermal radiation on convective flow of a power-law fluid under convective heating and chemical reaction. Heat Transf. Res. 2019, 48, 2122–2154. [Google Scholar] [CrossRef]
- Kucuk, F.; Karakas, M.; Ayestaran, L. Well testing and analysis techniques for layered reservoirs. SPE Form. Eval. 1986, 1, 342–354. [Google Scholar] [CrossRef]
- Hashmi, S. Comprehensive Materials Processing; Newnes: Amsterdam, The Netherlands, 2014. [Google Scholar]
- Ueda, Y.; Murakawa, H.; Ma, N. Welding Deformation and Residual Stress Prevention; Elsevier: Amsterdam, The Netherlands, 2012. [Google Scholar]
- Pop, I.; Ingham, D.B. Convective Heat Transfer: Mathematical and Computational Modelling of Vviscous Fluids and Porous Media; Elsevier: Amsterdam, The Netherlands, 2001. [Google Scholar]
- Oldroyd, J.G. On the formulation of rheological equations of state. Proc. R. Soc. Lond. Ser. A Math. Phys. Sci. 1950, 200, 523–541. [Google Scholar]
- Aman, S.; Khan, I.; Ismail, Z.; Salleh, M.Z.; Al-Mdallal, Q.M. Heat transfer enhancement in free convection flow of CNTs Maxwell nanofluids with four different types of molecular liquids. Sci. Rep. 2017, 7, 2445. [Google Scholar] [CrossRef] [PubMed]
- Heymans, N.; Bauwens, J.C. Fractal rheological models and fractional differential equations for viscoelastic behavior. Rheol. Acta 1994, 33, 210–219. [Google Scholar] [CrossRef]
- Kundu, B. Exact analysis for propagation of heat in a biological tissue subject to different surface conditions for therapeutic applications. Appl. Math. Comput. 2016, 285, 204–216. [Google Scholar] [CrossRef]
- Schetz, J. On the approximate solution of viscous-flow problems. J. Appl. Mech. 1963, 30, 263–268. [Google Scholar] [CrossRef]
- Eichhorn, R. Discussion: “Free Convection From a Vertical Flat Plate with Step Discontinuities in Surface Temperature”(Hayday, AA, Bowlus, DA, and McGraw, RA, 1967, ASME J. Heat Transfer, 89, pp. 244–249). J. Heat Transfer. 1967, 89, 249–250. [Google Scholar] [CrossRef]
- Malhotra, C.P.; Mahajan, R.L.; Sampath, W.S.; Barth, K.L.; Enzenroth, R.A. Control of temperature uniformity during the manufacture of stable thin-film photovoltaic devices. Int. J. Heat Mass Transf. 2006, 49, 2840–2850. [Google Scholar] [CrossRef]
- Ahmed, N.; Dutta, M. Transient mass transfer flow past an impulsively started infinite vertical plate with ramped plate velocity and ramped temperature. Int. J. Phys. Sci. 2013, 8, 254–263. [Google Scholar]
- Seth, G.; Hussain, S.; Sarkar, S. Hydromagnetic natural convection flow with heat and mass transfer of a chemically reacting and heat absorbing fluid past an accelerated moving vertical plate with ramped temperature and ramped surface concentration through a porous medium. J. Egypt. Math. Soc. 2015, 23, 197–207. [Google Scholar] [CrossRef]
- Seth, G.; Sharma, R.; Sarkar, S. Natural Convection Heat and Mass Transfer Flow with Hall Current, Rotation, Radiation and Heat Absorption Past an Accelerated Moving Vertical Plate with Ramped Temperature. J. Appl. Fluid Mech. 2015, 8, 7–20. [Google Scholar]
- Seth, G.; Sarkar, S. MHD natural convection heat and mass transfer flow past a time dependent moving vertical plate with ramped temperature in a rotating medium with Hall effects, radiation and chemical reaction. J. Mech. 2015, 31, 91–104. [Google Scholar] [CrossRef]
- Chandran, P.; Sacheti, N.C.; Singh, A.K. Natural convection near a vertical plate with ramped wall temperature. Heat Mass Transf. 2005, 41, 459–464. [Google Scholar] [CrossRef]
- Narahari, M.; Bég, O.A.; Ghosh, S.K. Mathematical modelling of mass transfer and free convection current effects on unsteady viscous flow with ramped wall temperature. World J. Mech. 2011, 1, 176–184. [Google Scholar] [CrossRef]
- Khan, I. A note on exact solutions for the unsteady free convection flow of a Jeffrey fluid. Z. Für Naturforschung A 2015, 70, 397–401. [Google Scholar] [CrossRef]
- Mohd Zin, N.A.; Khan, I.; Shafie, S. Influence of thermal radiation on unsteady MHD free convection flow of Jeffrey fluid over a vertical plate with ramped wall temperature. Math. Probl. Eng. 2016, 2016, 6257071. [Google Scholar] [CrossRef]
- Maqbool, K.; Mann, A.; Tiwana, M. Unsteady MHD convective flow of a Jeffery fluid embedded in a porous medium with ramped wall velocity and temperature. Alex. Eng. J. 2018, 57, 1071–1078. [Google Scholar] [CrossRef]
- Myers, J.; Bellin, D. Ramp exercise protocols for clinical and cardiopulmonary exercise testing. Sport. Med. 2000, 30, 23–29. [Google Scholar] [CrossRef]
- Bruce, R. Evaluation of functional capacity and exercise tolerance of cardiac patients. Mod. Concepts Cardiovasc. Dis. 1956, 25, 321. [Google Scholar]
- Hayat, T.; Siddiqui, A.M.; Asghar, S. Some simple flows of an Oldroyd-B fluid. Int. J. Eng. Sci. 2001, 39, 135–147. [Google Scholar] [CrossRef]
- Asghar, S.; Parveen, S.; Hanif, S.; Siddiqui, A.M.; Hayat, T. Hall effects on the unsteady hydromagnetic flows of an Oldroyd-B fluid. Int. J. Eng. Sci. 2003, 41, 609–619. [Google Scholar] [CrossRef]
- Rajagopal, K.; Ruzicka, M.; Srinivasa, A. On the Oberbeck-Boussinesq approximation. Math. Model. Methods Appl. Sci. 1996, 6, 1157–1167. [Google Scholar] [CrossRef]
- Tiwana, M.H.; Mann, A.B.; Rizwan, M.; Maqbool, K.; Javeed, S.; Raza, S.; Khan, M.S. Unsteady Magnetohydrodynamic Convective Fluid Flow of Oldroyd-B Model Considering Ramped Wall Temperature and Ramped Wall Velocity. Mathematics 2019, 7, 676. [Google Scholar] [CrossRef]
- Rosseland, S. Astrophysik: Auf Atomtheoretischer Grundlage; Springer: Berlin/Heidelberg, Germany, 2013; Volume 11. [Google Scholar]
- Wilbur, R. Lepage. In Complex Variables and the Laplace transform for Engineers; McGraw Hill Book Company: New York, NY, USA, 1961. [Google Scholar]
- Durbin, F. Numerical inversion of Laplace transforms: An efficient improvement to Dubner and Abate’s method. Comput. J. 1974, 17, 371–376. [Google Scholar] [CrossRef]
- Seth, G.; Nandkeolyar, R.; Ansari, M.S. Effect of rotation on unsteady hydromagnetic natural convection flow past an impulsively moving vertical plate with ramped temperature in a porous medium with thermal diffusion and heat absorption. Int. J. Appl. Math. Mech. 2011, 7, 52–69. [Google Scholar]
- Khan, A.; Khan, I.; Ali, F.; Shafie, S. Effects of wall shear stress on unsteady MHD conjugate flow in a porous medium with ramped wall temperature. PLoS ONE 2014, 9, e90280. [Google Scholar] [CrossRef]



















| Pr | Nr | Q | Nu | |
|---|---|---|---|---|
| 0.3 | 7.0 | 0.5 | 0.5 | 1.2672 |
| 0.4 | 7.0 | 0.5 | 0.5 | 1.4366 |
| 0.5 | 7.0 | 0.5 | 0.5 | 1.5761 |
| 0.5 | 0.71 | 0.5 | 0.5 | 0.4984 |
| 0.5 | 2.0 | 0.5 | 0.5 | 0.8425 |
| 0.5 | 7.0 | 0.5 | 0.5 | 1.5761 |
| 0.5 | 7.0 | 0 | 0.5 | 1.9304 |
| 0.5 | 7.0 | 2 | 0.5 | 1.1145 |
| 0.5 | 7.0 | 3 | 0.5 | 0.9652 |
| 0.5 | 7.0 | 0.5 | 0 | 1.7235 |
| 0.5 | 7.0 | 0.5 | 1 | 1.4208 |
| 0.5 | 7.0 | 0.5 | 2 | 1.0814 |
| M | K | Gr | ||||
|---|---|---|---|---|---|---|
| 0.3 | 2.0 | 0.5 | 1.0 | 1.0 | 1.0 | −0.4013 |
| 0.4 | 2.0 | 0.5 | 1.0 | 1.0 | 1.0 | −0.4941 |
| 0.5 | 2.0 | 0.5 | 1.0 | 1.0 | 1.0 | −0.5845 |
| 0.5 | 3.0 | 0.5 | 1.0 | 1.0 | 1.0 | −0.6320 |
| 0.5 | 4.0 | 0.5 | 1.0 | 1.0 | 1.0 | −0.6768 |
| 0.5 | 5.0 | 0.5 | 1.0 | 1.0 | 1.0 | −0.7192 |
| 0.5 | 2.0 | 0.2 | 1.0 | 1.0 | 1.0 | −0.7192 |
| 0.5 | 2.0 | 0.5 | 1.0 | 1.0 | 1.0 | −0.5845 |
| 0.5 | 2.0 | 0.9 | 1.0 | 1.0 | 1.0 | −0.5396 |
| 0.5 | 2.0 | 0.5 | 0.5 | 1.0 | 1.0 | −0.8244 |
| 0.5 | 2.0 | 0.5 | 0.8 | 1.0 | 1.0 | −0.6567 |
| 0.5 | 2.0 | 0.5 | 1.0 | 1.0 | 1.0 | −0.5845 |
| 0.5 | 2.0 | 0.5 | 1.0 | 0.5 | 1.0 | −0.4252 |
| 0.5 | 2.0 | 0.5 | 1.0 | 0.8 | 1.0 | −0.5219 |
| 0.5 | 2.0 | 0.5 | 1.0 | 1.3 | 1.0 | −0.6763 |
| 0.5 | 2.0 | 0.5 | 1.0 | 1.0 | 0.5 | −0.5845 |
| 0.5 | 2.0 | 0.5 | 1.0 | 1.0 | 0.8 | −0.5455 |
| 0.5 | 2.0 | 0.5 | 1.0 | 1.0 | 1.3 | −0.5065 |
© 2020 by the authors. Licensee MDPI, Basel, Switzerland. This article is an open access article distributed under the terms and conditions of the Creative Commons Attribution (CC BY) license (http://creativecommons.org/licenses/by/4.0/).
Share and Cite
Anwar, T.; Khan, I.; Kumam, P.; Watthayu, W. Impacts of Thermal Radiation and Heat Consumption/Generation on Unsteady MHD Convection Flow of an Oldroyd-B Fluid with Ramped Velocity and Temperature in a Generalized Darcy Medium. Mathematics 2020, 8, 130. https://doi.org/10.3390/math8010130
Anwar T, Khan I, Kumam P, Watthayu W. Impacts of Thermal Radiation and Heat Consumption/Generation on Unsteady MHD Convection Flow of an Oldroyd-B Fluid with Ramped Velocity and Temperature in a Generalized Darcy Medium. Mathematics. 2020; 8(1):130. https://doi.org/10.3390/math8010130
Chicago/Turabian StyleAnwar, Talha, Ilyas Khan, Poom Kumam, and Wiboonsak Watthayu. 2020. "Impacts of Thermal Radiation and Heat Consumption/Generation on Unsteady MHD Convection Flow of an Oldroyd-B Fluid with Ramped Velocity and Temperature in a Generalized Darcy Medium" Mathematics 8, no. 1: 130. https://doi.org/10.3390/math8010130
APA StyleAnwar, T., Khan, I., Kumam, P., & Watthayu, W. (2020). Impacts of Thermal Radiation and Heat Consumption/Generation on Unsteady MHD Convection Flow of an Oldroyd-B Fluid with Ramped Velocity and Temperature in a Generalized Darcy Medium. Mathematics, 8(1), 130. https://doi.org/10.3390/math8010130

