Next Article in Journal
Remarks on the Preservation of the Almost Fixed Point Property Involving Several Types of Digitizations
Next Article in Special Issue
A Numerical Study on the Crack Development Behavior of Rock-Like Material Containing Two Intersecting Flaws
Previous Article in Journal
Existence, Nonexistence and Multiplicity of Positive Solutions for Singular Boundary Value Problems Involving φ-Laplacian
Previous Article in Special Issue
Study on Non-Commutativity Measure of Quantum Discord
 
 
Font Type:
Arial Georgia Verdana
Font Size:
Aa Aa Aa
Line Spacing:
Column Width:
Background:
Article

On the Gibbs Effect Based on the Quasi-Affine Dual Tight Framelets System Generated Using the Mixed Oblique Extension Principle

Department of Mathematics and Statistics, College of Natural and Health Sciences, Zayed University, 144543 Abu Dhabi, UAE
Mathematics 2019, 7(10), 952; https://doi.org/10.3390/math7100952
Submission received: 14 September 2019 / Revised: 25 September 2019 / Accepted: 2 October 2019 / Published: 12 October 2019
(This article belongs to the Special Issue Mathematical Physics II)

Abstract

Gibbs effect represents the non-uniform convergence of the nth Fourier partial sums in approximating functions in the neighborhood of their non-removable discontinuities (jump discontinuities). The overshoots and undershoots cannot be removed by adding more terms in the series. This effect has been studied in the literature for wavelet and framelet expansions. Dual tight framelets have been proven useful in signal processing and many other applications where translation invariance, or the resulting redundancy, is very important. In this paper, we will study this effect using the dual tight framelets system. This system is generated by the mixed oblique extension principle. We investigate the existence of the Gibbs effect in the truncated expansion of a given function by using some dual tight framelets representation. We also give some examples to illustrate the results.

1. Introduction

The Gibbs effect was first recognized over a century ago by Henry Wilbraham in 1848 (see Ref. [1]). However, in 1898 Albert Michelson and Samuel Stratton (see Ref. [2]) observed it via a mechanical machine that they used to calculate the Fourier partial sums of a square wave function. Soon after, Gibbs explained this effect in two publications [3,4]. In his first short paper, Gibbs failed to notice the phenomenon and the limits of the graphs of the Fourier partial sums was inaccurate. In the second paper, he published a correction and gave the description of overshoot at the point of jump discontinuity. In fact, Gibbs did not provide a proof for his argument but only in 1906 a detailed mathematical description of the effect was introduced and named after Gibbs phenomenon by Maxime (see Ref. [5]) as he believed Gibbs to be the first person noticing it. This phenomenon has been studied extensively in Fourier series and many other situations such as the classical orthogonal expansions (see Refs. [6,7,8]), spline expansion (see Refs. [9,10]), wavelets and framelets series (see Refs. [11,12,13,14,15,16,17]), sampling approximations (see Ref. [18]), and many other theoretical investigations (see Refs. [19,20,21,22,23]). By considering Fourier series, it is impossible to recover accurate point values of a periodic function with many finitely jump discontinuities from its Fourier coefficients. Wavelets and their generalizations (framelets) have great success in coefficients recovering and have many applications in signal processing and numerical approximations (see Refs. [24,25,26,27]). However, many of these applications are represented by smooth functions that have jump discontinuities. However, expanding these functions will create (most often) unpleasant ringing effect near the gaps. It is the aim of this article to analyze the Gibbs effect of dual tight framelets using a different/higher order of vanishing moments.
Let us recall the preliminary background by introducing some notations (e.g., see Refs. [28,29,30]). Let L 2 ( R ) denote the space of all square integrable functions over the space R , where
L 2 ( R ) = f : R R ; R | f | 2 < .
Definition 1
([31]). Let ψ L 2 ( R ) . For j , k Z , define the function ψ j , k by
ψ j , k = 2 j / 2 ψ ( 2 j · k ) .
Then, we say the function ψ is a wavelet if the set ψ j , k j , k Z forms an orthonormal basis for L 2 ( R ) .
Every square integrable function f L 2 ( R ) has a wavelet representation and this requires an orthonormal basis. However, the existence of such complete orthonormal basis is in general hard to construct and their representation is too restrictive and rigid. Therefore, frames were defined by the idea of an additional lower bound of the Bessel sequence which does not constitute an orthonormal set and are not linearly independent. In this paper, we will use dual tight framelets constructed by the mixed oblique extension principle (MOEP) (see Ref. [32]) which enables us to construct dual tight framelets for L 2 ( R ) of the form { ψ j , k , ψ ˜ j , k , = 1 , , r } j , k . The MOEP provides an important method to construct dual framelets from refinable functions and gives us a better number of vanishing moments for ψ and therefore a better imation orders. In fact, using the unitary extension principle UEP (see Ref. [32]), it is known that the approximation order of the system will not exceed 2, whereas the MOEP will give us a better approximation (see Ref. [33]). Please note that the MOEP is a generalization of the UEP and the oblique extension principle OEP. extension principle OEP (see Ref. [34]), which is again given to ensure that the system
{ ψ j , k , ψ ˜ j , k , = 1 , , r } j , k Z ,
forms a dual tight framelets for L 2 ( R ) . We refer the reader to Ref. [34] for the general setup of the MOEP.
Definition 2
([31]). A sequence Ψ = { ψ j , k , = 1 , , r } j , k of elements in L 2 ( R ) is a framelet for L 2 ( R ) if there exists constants A , B > 0 such that
A f 2 = 1 r j , k | f , ψ j , k | 2 B f 2 , f L 2 ( R ) .
The numbers A , B are called frame bounds. If we can choose A = B = 1 , then Ψ is called a tight framelet for L 2 ( R ) .
Please note that we obtain a family of functions Ψ ˜ = { ψ ˜ j , k , = 1 , , r } j , k such that
B 1 f 2 = 1 r j , k | f , ψ ˜ j , k | 2 A 1 f 2 , f L 2 ( R ) .
The family Ψ ˜ is called dual (reciprocal) framelet of the framelet Ψ . Equations (1) and (2) implies, respectively, the following equation
f , g = = 1 r j , k f , ψ ˜ j , k ψ j , k , g
It follows directly from Equation (3) that any function f L 2 ( R ) has the following framelet representation
f = = 1 r j Z k Z f , ψ ˜ j , k ψ j , k = = 1 r j Z k Z f , ψ j , k ψ ˜ j , k .
The framelet constructions of Ψ and Ψ ˜ require mother wavelets, called refinable functions ϕ and ϕ ˜ , where a compactly supported function ϕ L 2 ( R ) is said to be refinable if
ϕ ( x ) = 2 k Z h 0 [ k ] ϕ ( 2 x k ) ,
for some finite supported sequence h 0 [ k ] 2 ( Z ) . The sequence h 0 is called the low pass filter of ϕ . For convenience, we define ψ 0 , k ( · ) = ϕ 0 , k ( · ) and ψ ˜ 0 , k ( · ) = ϕ ˜ 0 , k ( · ) . Therefore, Equation (4) can be rewritten as
f = k f , ϕ ˜ ( · k ) ϕ ( · k ) + = 1 r j = 1 k Z f , ψ ˜ j , k ψ j , k
The above series expansion (6) can be truncated as
Q n f = = 1 r j < n k Z f , ψ ˜ j , k ψ j , k .
which is typical in kernel-based system identification approaches (see Ref. [35]).
Please note that Q n f can be described by a reproducing kernel Hilbert space which is given by a linear combination of its frame and dual frame product.
Q n f x = R f y D n x , y d y ,
where
D n x , y = = 1 r j < n k Z ψ ˜ j , k y ψ j , k x ,
is called the kernel of Q n f . Figure 1 shows the graphs of the kernel D 2 x , y for different framelets.
It is known from the approximation theory, see e.g., Refs. ([28,35]), that the truncated expansion (7) is equivalent to
Q n f = k Z f , ϕ ˜ n , k ϕ n , k , n Z + , f L 2 ( R ) .
The general setup is to construct a set of functions as the form of Ψ , which can be summarized as follows: Let V 0 be the closed space generated by ϕ ( · k ) k Z , i.e., V 0 = s p a n ¯ ϕ ( · k ) k Z , and V j = f ( 2 j x ) : f ( x ) V 0 , x R . Let V j , ϕ j Z be the multiresolution analysis (MRA) generated by the function ϕ and Ψ V 1 such that
ψ = 2 k Z h [ k ] ϕ ( 2 · k ) ,
where h [ k ] , k Z = 1 r is a finitely supported sequence called high pass filters of the system. Please note that from Equation (7), the functions ϕ , ψ and ϕ ˜ , ψ ˜ are playing a great role. They are used for computing the coefficients of the expansion of the function f in terms of ϕ and ψ , and recovering the projection of f onto V j from the coefficients f , ψ ˜ j , k . The Fourier transform of a function f L 2 ( R ) is defined to be
F ( f ) ( ω ) = f ^ ( ω ) = R f ( x ) e i ω x d x , ω R ,
and the Fourier series of a sequence h 2 ( Z ) is defined by
F ( h ) ( ω ) = h ^ ( ω ) = k Z h [ k ] e i ω k , ω R .

2. Gibbs Effect in Quasi-Affine Dual Tight Framelet Expansions

In this section, we study the Gibbs effect by using dual tight framelet in the quasi-affine tight framelet expansions generated via the MOEP. In general, and by using the expansion in Equation (7), we have lim n Q n f ( x ) = f ( x ) around x, where f is continuous except at many finite points. Hence, it is sufficient to study this effect by considering the following function
f x = 1 x , 0 < x 1 1 x , 1 x < 0 0 , else .
In fact, this function is useful in the sense that other functions that have the same type of gaps, can be represented as expansions in terms of f plus a continuous function at x = 0 . Please note that if we define S as
S ( x ) = ξ + 1 x , ξ < x ξ + 1 ξ 1 x , ξ 1 x < ξ 0 , else ,
then, S has a jump discontinuity at the point ξ and S ( x ) = f ( x ξ ) . Thus, we have the following result.
Theorem 1.
Any function with finitely many jump discontinuities can be written in terms of S plus a continuous function at the origin.
Proof. 
Let g be a discontinuous function with a jump discontinuity, say at x = ξ , of magnitude D. We could put several of these together for g but we would likely only be looking at one such function at a time. Suppose that S and g are in the same direction of the needed jump (i.e., if g ( ξ + ) > g ( ξ ) , then J ( ξ + ) > J ( ξ ) , and similarly for g ( ξ + ) < g ( ξ ) ) or multiply S by (− or +)D to create the needed jump in the same direction. Define
F ( x ) = ( + o r ) D S ( x ) + d ,
so that d is a constant that makes the jump endpoints of F and g matched at x = ξ . Our continuous function in the neighborhood of the point ξ will then be g ( x ) F ( x ) . □
The definition of the Gibbs effect under the quasi-projection approximation Q n is defined as follows.
Definition 3.
Suppose a function f is smooth and continuous everywhere except at x , i.e., limits lim x x + f ( x ) and lim x x f ( x ) exist, and that f x + & & f x . Define Q n f to be the truncated partial sum of Equation (7). We say that the framelet expansion of f exhibits the Gibbs effect at the right-hand side of x if there is a sequence d s > 0 converging to x , and
lim n , s Q n f ( d s ) > f ( x + ) , i f f x + > f x < f ( x + ) , i f f x + < f x .
Similarly, we can define the Gibbs effect on the left-hand side of x .
Let Ψ to be the system defined by Definition 2. Thus, the corresponding quasi-affine system X J Ψ generated by Ψ is defined by a collection of translations and dilation of the elements in Ψ such that
X J ( Ψ ) = ψ j , k : 1 r , j , k Z ,
where
ψ j , k = 2 j / 2 ψ ( 2 j · k ) , j J 2 j ψ ( 2 j · 2 j k ) ) , j < J .
In the study of our expansion, we consider J = 0 . Many applications in framelet and approximation theory are modeled by non-negative functions. One family of such important functions are the B-splines, where the B-spline B m of order m is defined by
B m = B m 1 B 1 = ( 0 , 1 ] B m 1 ( · x ) d x
where
B 1 = χ ( 0 , 1 ] .
Figure 2 shows the graphs of the B-splines B m for different order.
It is known that sparsity of the framelets representations is due to the vanishing moments of the underling refinable wavelet (see Ref. [29]). We say ψ has N vanishing moments if
x r ψ j , k ( x ) d x = 0 , f o r r = 0 , 1 , , N 1 ,
which is equivalent to that ψ ^ j , k ( r ) ( 0 ) = 0 , for all r = 0 , 1 , , N 1 . This implies that the framelet ψ j , k ( x ) is orthogonal to the polynomials 1 , x , , x N 1 . The following statement is well known in the literature [13] for wavelets, but we present the proof for the reader’s convenience by considering the general quasi-affine dual framelet system.
Proposition 1.
Assume that Ψ ˜ , Ψ is a quasi-affine dual framelet system for L 2 ( R ) and that ψ, where ψ Ψ has a vanishing moment of order N. Then for any polynomial d ( x ) of degree at most N 1 , we have
Q d = d ,
where Q = Q 0 is defined by Equation (9) for n = 0 .
Proof. 
From the definition of Ψ ˜ , Ψ , we know that all the generators must have a compact support. Therefore, we can find a positive integer A such that the support of all these generators lie in the interval [ A , A ] . Define
C B = χ [ B , B ] , w h e r e B A .
Let d ( · ) be a polynomial of degree at most N 1 . Then, by the vanishing moment property of ψ j , k we have
R C B d ( x ) ψ j , k d x = B B d ( x ) ψ j , k d x = 0 , w h e r e x < | B A | .
Now, the proof is completed by taking B and using Equations (6) and (13). Thus, we have
d ( · ) = C B d ( · ) = k d , ϕ ˜ 0 , k ϕ 0 , k ( · ) = Q d ( · ) .
 □
Now, we present some examples of dual tight framelets constructed by the MOEP in Ref. [34].
Example 1.
Let B 1 = ϕ = χ [ 0 , 1 ) . Define,
ψ 1 ( x ) = 529 1497 χ [ 0 , 1 ) ( 2 x ) + 173 489 χ [ 0 , 1 ) ( 2 x 1 ) , ψ ˜ 1 ( x ) = 1208 3415 χ [ 0 , 1 ) ( 2 x ) + 489 1384 χ [ 0 , 1 ) ( 2 x 1 ) .
Then, the resulting system generates a dual tight framelet for L 2 ( R ) . We illustrate the framelet and its dual framelet generators in Figure 3.
Example 2.
Let B 2 = ϕ = ϕ ˜ . Then,
F ( h 0 ) ( ξ ) = h 0 ^ ( ξ ) = h ˜ 0 ^ ( ξ ) = 0.25 ( 1 + cos ( ξ ) i sin ( ξ ) ) 2 .
Thus, by using the MOEP, one can find the following high pass filters,
h ^ 1 ( ξ ) = ( 1 cos ( ξ ) + i sin ( ξ ) ) 2 , h ^ 2 ( ξ ) = 16 sin 4 ( ξ / 2 ) ( cos ( ξ ) i sin ( ξ ) ) , h ˜ ^ 1 ( ξ ) = 1 480 e i ξ sin 4 ( ξ / 2 ) ( 32,668 + 57,569 cos ( ξ ) + 39,422 cos ( 2 ξ ) + 21,191 cos ( 3 ξ ) + 8428 cos ( 4 ξ ) + 2233 cos ( 5 ξ ) + 426 cos ( 6 ξ ) + 71 cos ( 7 ξ ) ) , h ˜ ^ 2 ( ξ ) = 1 480 e i ξ sin 2 ( ξ / 2 ) ( 614 726 cos ( ξ ) + 85 cos ( 2 ξ ) + 412 cos ( 3 ξ ) + 458 cos ( 4 ξ ) + 284 cos ( 5 ξ ) + 71 cos ( 6 ξ ) ) .
Then, ψ , ψ ˜ , = 1 , 2 forms a dual tight framelets for L 2 ( R ) . These functions have vanishing moments (vm) as follows, v m ( ψ 1 ) = v m ( ψ ˜ 2 ) = 2 while v m ( ψ 2 ) = v m ( ψ ˜ 1 ) = 4 . See Figure 4 for their graphs.
Example 3.
Let B 4 = ϕ = ϕ ˜ . Then,
h ^ 0 ( ξ ) = h ˜ ^ 0 ( ξ ) = 0.0625 ( 1 + cos ( ξ ) i sin ( ξ ) ) 4 .
We have the following high pass filters,
h ^ 1 ( ξ ) = ( 1 cos ( ξ ) + i sin ( ξ ) ) 4 , h ^ 2 ( ξ ) = 16 sin 4 ( ξ / 2 ) ( cos ( 3 ξ ) i sin ( 3 ξ ) ) .
The high pass filters for the dual framelets in 2 ( Z ) , where k Z , is given by
h ˜ 1 [ k ] = [ 311 3,870,720 , 311 967,680 , 865 387,072 , 473 64,512 , 1783 483,840 , 19,967 967,680 , 67,453 1,935,360 , 17,887 967,680 , 233,473 1,935,360 , 17,887 967,680 , 67,453 1,935,360 , 19,967 967,680 , 1783 483,840 , 473 64,512 , 865 387,072 , 311 967,680 , 311 3,870,720 ] , h ˜ 2 [ k ] = [ 311 483,840 , 311 120,960 , 2119 483,840 , 47 10,080 , 4111 483,840 , 5687 120,960 , 21,103 483,840 , 2627 15,120 , 21,103 483,840 , 5687 120,960 , 4111 483,840 , 47 10,080 , 2119 483,840 , 311 120,960 , 311 483,840 ] .
Then, ψ , ψ ˜ , = 1 , 2 forms a dual tight framelets for L 2 ( R ) . Here we have v m ( ψ 1 ) = v m ( ψ 2 ) = v m ( ψ ˜ 1 ) = v m ( ψ ˜ 2 ) = 4 . Their graphs are depicted in Figure 5.
Example 4.
Let B 4 = ϕ , and B 2 = ϕ ˜ . Thus,
h ^ 0 ( ξ ) = 0.0625 ( 1 + cos ( ξ ) i sin ( ξ ) ) 4 , a n d h ˜ ^ 0 ( ξ ) = 0.25 ( 1 + cos ( ξ ) i sin ( ξ ) ) 2 .
Then, we have the following tight framelets,
ψ 1 ( x ) = 8 x 3 / 3 i f 0 x 1 / 2 2 + 12 x 24 x 2 + 40 x 3 / 3 i f 1 / 2 < x 1 38 108 x + 96 x 2 80 x 3 / 3 i f 1 < x < 3 / 2 142 + 252 x 144 x 2 + 80 x 3 / 3 i f 3 / 2 x < 2 178 228 x + 96 x 2 40 x 3 / 3 i f 2 x < 5 / 2 ( 8 / 3 ) ( 3 + x ) 3 i f 5 / 2 x 3 0 i f o t h e r w i s e ,
ψ 2 ( x ) = ( 1 / 3 ) ( 1 + 2 x ) 3 i f 1 / 2 x 1 47 / 3 + 46 x 44 x 2 + 40 x 3 / 3 i f 1 < x < 3 / 2 358 / 3 224 x + 136 x 2 80 x 3 / 3 i f 3 / 2 x < 2 ( 2 / 3 ) ( 461 + 624 x 276 x 2 + 40 x 3 ) i f 2 x < 5 / 2 953 / 3 334 x + 116 x 2 40 x 3 / 3 i f 5 / 2 x 3 ( 1 / 3 ) ( 7 + 2 x ) 3 i f 3 < x 7 / 2 0 i f o t h e r w i s e
and the high pass filters for its dual tight framelets in 2 ( Z ) , where k Z , are given by:
h ˜ 1 [ k ] = [ 13 15,360 , 13 7680 , 61 7680 , 109 7680 , 733 15,360 , 35 256 , 409 1280 , 35 256 , 733 15,360 , 109 7680 , 61 7680 , 13 7680 , 13 15,360 , ] , h ˜ 2 [ k ] = [ 13 2560 , 13 1280 , 89 7680 , 1 30 , 199 3840 , 313 1920 , 199 3840 , 1 30 , 89 7680 , 13 1280 , 13 2560 ] .
Then, again ψ , ψ ˜ , = 1 , 2 forms a dual tight framelets for L 2 ( R ) . Here we have v m ( ψ 1 ) = v m ( ψ 2 ) = 2 , v m ( ψ ˜ 1 ) = v m ( ψ ˜ 2 ) = 4 . Their graphs are depicted in Figure 6.
We will use the framelet expansion defined by Equation (7) to present the numerical evidence of the Gibbs effect by determining the maximal overshoot and undershoot of the truncated expansion Q n f near the origin. The behavior of the truncated functions Q n of a function with jump discontinuities is related to the existence of the Gibbs phenomenon, which is unpleasant in application, and not so easy to avoid. Therefore, examining a series of representations to avoid it or at least reduce it, is very important.
Proposition 2.
For any two refinable compactly supported functions ϕ and ϕ ˜ in L 2 ( R ) . If
Q sgn 1 o n ( x , ) a n d Q sgn 1 o n ( , x ) ,
then Q n f exhibits no Gibbs effect.
Proof. 
Please note that ( Q n f ) ( 2 n x ) = Q ( f ( 2 n x ) ) for all n N . In particular, ( Q n sgn ) ( 2 n x ) = Q ( sgn ( 2 n x ) ) . Suppose that the truncated function Q n f do exhibit the Gibbs effect near x + . Thus, there exists an open interval U ( x , ) such that Q f ( x ) > 1 , x U . Therefore, u > x such that max x ( x , u ) Q f ( x ) = U > 1 . Define a sequence u n > x , n such that u n x as n (one can take u n = ϵ n + x such that ϵ n 0 as n ). Hence, max x ( x , u n ) Q n f ( x ) = max x ( x , u ) Q f ( x ) = U > 1 , a contradiction. Similarly, we can prove the case when x < x in the same fashion. □
Please note that it is important to use non-negative functions in framelet analysis due to its use in a variety of applications. One of those functions is the B-splines. The following statement will require such non-negativity to avoid the Gibbs effect.
Theorem 2.
Let ϕ and ϕ ˜ be any two non-negative refinable real valued compactly supported functions in L 2 ( R ) such that
sgn ( x ) ϕ ( x k ) > 0 a n d sgn ( x ) ϕ ˜ ( x k ) > 0 o n R .
Assume further k ϕ ( x k ) = 1 . If the vanishing moment of ϕ and ϕ ˜ is one, then Q ˜ f exhibit no Gibbs effect.
Proof. 
It suffices to show this for sgn ( x ) as f ( x ) = sgn ( x ) x on [ 1 , 1 ] . Please note that Proposition 1 is held for d = 1 , i.e.,
Q ˜ 1 = 1 .
Now, for x R , and since
sgn ( x ) , ϕ ( x k ) = ϕ ^ ( 0 ) ,
by assumption, we have
Q ˜ sgn ( x ) 1 = k sgn ( x ) , ϕ ( x k ) ϕ ˜ ( x k ) = k k ϕ ( x ) d x ϕ ˜ ( x k ) < 0 .
The other side is analogue. Thus, 1 Q ˜ sgn 1 for all x R . □

3. Results and Discussion

We present some numerical illustration by using the dual tight framelets which will generalize the result in Ref. [14]. The results show that if the dual framelet has vanishing moments of order of at least two, then Q n f must exhibit the Gibbs effect. However, Q n f has no Gibbs effect by using dual tight framelets of vanishing moments of order one.
Now we present an illustration for the Gibbs effect using the above dual tight framelets by showing the maximum overshoots, undershoots of f ( x ) , and some related graphs. This is to showcase the absence of the effect in Table 1 and Figure 7 and Figure 8.
In Figure 9 and Figure 10 we illustrate the graphs of the function Q f and Q sgn , receptively, generated using the B-splines dual tight framelets. In Table 2, Table 3 and Table 4 we show the approximated values for the overshoots and undershoots of Q n f . Figure 11, Figure 12, Figure 13 and Figure 14 illustrate the graphs of the Gibbs effect.

4. Conclusions

According to the above results, we show that the Gibbs effect is absent when the dual tight framelets of vanishing moments of order one are used to represent a function with jump discontinuities at the origin. Please note that increasing the vanishing moments, e.g., using the MOEP, will increase the approximation order of the framelet representation Q n f that used to expand the function f; however, the Gibbs effects cannot be avoided for any level of n. Quite a few examples of dual tight framelets, numerical results, and graphical illustrations have been presented for the absence and presence of Gibbs effect.

Funding

This research was funded by Zayed University Research Fund.

Acknowledgments

I would like to thank the anonymous reviewers for their valuable comments to improve the quality of the paper.

Conflicts of Interest

The author declares no conflict of interest.

Abbreviations

The following abbreviations are used in this manuscript:
L 2 ( R ) The space of all square integrable functions over R
ψ , ψ ˜ The wavelet and its dual function
Ψ , Ψ ˜ The framelets and its dual framelets system
UEPThe unitary extension principle
OEPThe oblique extension principle
MOEPThe mixed oblique extension principle
f , g The inner product of f and g
ϕ The refinable function
D n f The reproducing kernel Hilbert space of the function f
Q n f The truncated partial sum of the framelet system
h 0 [ k ] Low pass filter of the framelet system
h [ k ] High pass filters of the framelet system
V j The multiresolution analysis generated by the function ϕ
F ( f ) The Fourier transform of a function f
B m The B-spline of order m
v m ( f ) The vanishing moments of the function f

References and Note

  1. Wilbraham, H. On a certain periodic function. Camb. Dublin Math. J. 1848, 3, 198–201. [Google Scholar]
  2. Michelson, A.; Stratton, S. A new harmonic analyser. Philos. Mag. 1898, 45, 85–91. [Google Scholar] [CrossRef][Green Version]
  3. Gibbs, J.W. Fourier’s Series. Nature 1898, 59, 200. [Google Scholar] [CrossRef]
  4. Gibbs, J.W. Fourier’s Series. Nature 1899, 59, 606. [Google Scholar] [CrossRef]
  5. Maxime, B. Introduction to the theory of Fourier’s series. Ann. Math. 1906, 7, 81–152. [Google Scholar]
  6. Shim, H.T. A summability for Meyer wavelets. J. Appl. Math. Comput. 2002, 9, 657–666. [Google Scholar] [CrossRef]
  7. Shen, X. On Gibbs phenomenon in wavelet expansions. J. Math. Study 2002, 35, 343–357. [Google Scholar]
  8. Shen, X. Gibbs Phenomenon for Orthogonal Wavelets with Compact Support. In Advances in the Gibbs Phenomenon; Jerri, J., Ed.; Sampling Publishing: Potsdam, Germany, 2011; pp. 337–369. [Google Scholar]
  9. Foster, J.; Richards, F. The Gibbs phenomenon for piecewise-linear approximation. Am. Math. Mon. 1991, 98, 47–49. [Google Scholar] [CrossRef]
  10. Richards, F.B. A Gibbs phenomenon for spline functions. J. Approx. Theory 1991, 66, 334–351. [Google Scholar] [CrossRef][Green Version]
  11. Han, B. Gibbs Phenomenon of Framelet Expansions and Quasi-projection Approximation. J. Fourier Anal. Appl. 2018. [Google Scholar] [CrossRef]
  12. Gribonval, R.; Nielsen, M. On approximation with spline generated framelets. Constr. Approx. 2004, 20, 207–232. [Google Scholar]
  13. Kelly, S. Gibbs phenomenon for wavelets. Appl. Comp. Harmon. Anal. 1996, 3, 72–81. [Google Scholar] [CrossRef]
  14. Mohammad, M.; Lin, E.B. Gibbs phenomenon in tight framelet expansions. Commun. Nonlinear Sci. Numer. Simul. 2018, 55, 84–92. [Google Scholar] [CrossRef]
  15. Mohammad, M.; Lin, E.B. Gibbs Effects Using Daubechies and Coiflet Tight Framelet Systems. Contemp. Math. AMS 2018, 706, 271–282. [Google Scholar]
  16. Mohammad, M. Special B-spline Tight Framelet and It’s Applications. J. Adv. Math. Comput. Sci. 2018, 29, 1–18. [Google Scholar] [CrossRef]
  17. Shim, H.T.; Volkmer, H. On the Gibbs Phenomenon for Wavelet Expansions. J. Approx. Theory 1996, 84, 74–95. [Google Scholar] [CrossRef]
  18. Zygmund, A. Trigonometric Series, 2nd ed.; Cambridge Univ. Press: Cambridge, UK, 1959. [Google Scholar]
  19. Adcock, B.; Hansen, A. Stable reconstructions in Hilbert spaces and the resolution of the Gibbs phenomenon. Appl. Comput. Harmon. Anal. 2012, 32, 357–388. [Google Scholar] [CrossRef][Green Version]
  20. Conditions on shape preserving of stationary polynomial reproducing subdivision schemes.
  21. Aldwairi, M.; Flaifel, Y. Baeza-Yates and Navarro Approximate String Matching for Spam Filtering. In Proceedings of the Second International Conference on Innovative Computing Technology (INTECH 2012), Casablanca, Morocco, 18–20 September 2012; pp. 16–20. [Google Scholar]
  22. Gottlib, D.; Shu, C. On the Gibbs phenomenon and its resolution. SIAM Rev. 1997, 39, 644–668. [Google Scholar] [CrossRef]
  23. Jerri, A. The Gibbs Phenomenon in Fourier Analysis, Splines and Wavelet Approximations; Kluwer Academic Publishers: Dordrecht, The Netherlands, 1998. [Google Scholar]
  24. Li, B.; Chen, X. Wavelet-based numerical analysis: A review and classification. Finite Elem. Anal. Des. 2014, 81, 14–31. [Google Scholar] [CrossRef]
  25. Barg, A.; Glazyrin, A.; Okoudjou, K.A.; Yu, W. Finite two-distance tight frames. Linear Algebra Appl. 2015, 475, 163–175. [Google Scholar] [CrossRef]
  26. Ganiou, A.; Atindehou, D.; Kouagou, Y.B.; Okoudjou, K.A. On the frame set for the 2-spline. arXiv 2018, arXiv:1806.05614. [Google Scholar]
  27. Hussein, R.; Shaban, K.; El-Hag, H. Energy conservation-based thresholding for effective wavelet denoising of partial discharge signals. Sci. Meas. Technol. IET 2016, 10, 813–822. [Google Scholar] [CrossRef]
  28. Han, B. Framelets and wavelets: Algorithms, analysis, and applications. In Applied and Numerical Harmonic Analysis; Birkhauser/Springer: Cham, Switzerland, 2017; p. 724. [Google Scholar]
  29. Daubechies, I. Ten Lectures on Wavelets; SIAM: Philadelphia, PA, USA, 1992. [Google Scholar]
  30. Daubechies, I.; Grossmann, A.; Meyer, Y. Painless nonorthogonal expansions. J. Math. Phys. 1986, 27, 1271–1283. [Google Scholar] [CrossRef]
  31. Christensen, O. An Introduction to Frames and Riesz Bases; Birkhauser: Boston, MA, USA, 2003. [Google Scholar]
  32. Ron, A.; Shen, Z. Affine systems in L2(Rd): The analysis of the analysis operators. J. Funct. Anal. 1997, 148, 408–447. [Google Scholar] [CrossRef]
  33. Ron, A.; Shen, Z. Affine systems in L2( R d) II: Dual systems. J. Fourier Anal. Appl. 1997, 3, 617–637. [Google Scholar] [CrossRef]
  34. Daubechies, I.; Han, B.; Ron, A.; Shen, Z. Framelets: MRA-based constructions of wavelet frames. Appl. Comput. Harmon. 2003, 14, 1–46. [Google Scholar] [CrossRef]
  35. Zorzi, M.; Chiuso, A. The harmonic analysis of kernel functions. Automatica 2018, 94, 125–137. [Google Scholar] [CrossRef]
Figure 1. The graphs of the kernel, D 2 ( x , y ) , using the framelets of Example 2, 3 and 4, respectively.
Figure 1. The graphs of the kernel, D 2 ( x , y ) , using the framelets of Example 2, 3 and 4, respectively.
Mathematics 07 00952 g001
Figure 2. B-splines of order 1 through 8, respectively.
Figure 2. B-splines of order 1 through 8, respectively.
Mathematics 07 00952 g002
Figure 3. The graph of the Haar dual tight framelet of Example 1.
Figure 3. The graph of the Haar dual tight framelet of Example 1.
Mathematics 07 00952 g003
Figure 4. The graphs of the framelets and its dual framelets of Example 2.
Figure 4. The graphs of the framelets and its dual framelets of Example 2.
Mathematics 07 00952 g004
Figure 5. The graphs of the framelets and its dual framelets of Example 3.
Figure 5. The graphs of the framelets and its dual framelets of Example 3.
Mathematics 07 00952 g005
Figure 6. The graphs of the framelets and its dual framelets of Example 4.
Figure 6. The graphs of the framelets and its dual framelets of Example 4.
Mathematics 07 00952 g006
Figure 7. Illustration for the absence of the Gibbs effect using the quasi-operator Q n f of Example 1.
Figure 7. Illustration for the absence of the Gibbs effect using the quasi-operator Q n f of Example 1.
Mathematics 07 00952 g007
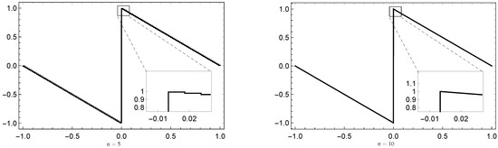
Figure 8. Illustration for the absence of the Gibbs effect using the quasi-operator Q n f of Example 1 for n = 5 , 10 , respectively.
Figure 8. Illustration for the absence of the Gibbs effect using the quasi-operator Q n f of Example 1 for n = 5 , 10 , respectively.
Mathematics 07 00952 g008
Figure 9. Graphs of Q f ( x ) by the B-splines of order 1 through 8, respectively.
Figure 9. Graphs of Q f ( x ) by the B-splines of order 1 through 8, respectively.
Mathematics 07 00952 g009
Figure 10. Graphs of Q sgn ( x ) by the B-splines of order 1 through 8, respectively.
Figure 10. Graphs of Q sgn ( x ) by the B-splines of order 1 through 8, respectively.
Mathematics 07 00952 g010
Figure 11. Illustration of the Gibbs effect using the quasi-operator Q n f of Example 2.
Figure 11. Illustration of the Gibbs effect using the quasi-operator Q n f of Example 2.
Mathematics 07 00952 g011
Figure 12. Illustration of the Gibbs effect using the quasi-operator Q n f of Example 3.
Figure 12. Illustration of the Gibbs effect using the quasi-operator Q n f of Example 3.
Mathematics 07 00952 g012
Figure 13. Illustration of the Gibbs effect using the quasi-operator Q n f of Example 4.
Figure 13. Illustration of the Gibbs effect using the quasi-operator Q n f of Example 4.
Mathematics 07 00952 g013
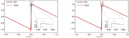
Figure 14. Gibbs effect illustrations by Q 5 f ( x ) of Example 3 and 4, respectively.
Figure 14. Gibbs effect illustrations by Q 5 f ( x ) of Example 3 and 4, respectively.
Mathematics 07 00952 g014
Table 1. Approximate maximum overshoot and undershoot in neighborhoods of x = 0 using Q n f of Example 1.
Table 1. Approximate maximum overshoot and undershoot in neighborhoods of x = 0 using Q n f of Example 1.
LevelMaximumMinimum
n = 2 0.907276 0.907276
n = 3 0.964562 0.964562
n = 5 0.994801 0.994802
n = 10 0.999968 0.999972
Table 2. Approximate maximum overshoot and undershoot in neighborhoods of x = 0 using Q n f of Example 2 for n = 2 , 3 , 5 , 10 .
Table 2. Approximate maximum overshoot and undershoot in neighborhoods of x = 0 using Q n f of Example 2 for n = 2 , 3 , 5 , 10 .
LevelMaximumMinimum
n = 2 1.0021 1.01204
n = 3 1.12708 1.12708
n = 5 1.22083 1.18958
n = 10 1.25111 1.25111
Table 3. Approximate maximum overshoot and undershoot in neighborhoods of x = 0 using Q n f of Example 3 for n = 2 , 3 , 5 , 10 .
Table 3. Approximate maximum overshoot and undershoot in neighborhoods of x = 0 using Q n f of Example 3 for n = 2 , 3 , 5 , 10 .
LevelMaximumMinimum
n = 2 0.997622 0.996194
n = 3 1.07451 1.07451
n = 5 1.13384 1.13384
n = 10 1.15337 1.15337
Table 4. Approximate maximum overshoot and undershoot in neighborhoods of x = 0 using Q n f of Example 4 for n = 2 , 3 , 5 , 10 .
Table 4. Approximate maximum overshoot and undershoot in neighborhoods of x = 0 using Q n f of Example 4 for n = 2 , 3 , 5 , 10 .
LevelMaximumMinimum
n = 2 1.08519 1.08526
n = 3 1.14823 1.14823
n = 5 1.19514 1.19514
n = 10 1.21028 1.21028

Share and Cite

MDPI and ACS Style

Mohammad, M. On the Gibbs Effect Based on the Quasi-Affine Dual Tight Framelets System Generated Using the Mixed Oblique Extension Principle. Mathematics 2019, 7, 952. https://doi.org/10.3390/math7100952

AMA Style

Mohammad M. On the Gibbs Effect Based on the Quasi-Affine Dual Tight Framelets System Generated Using the Mixed Oblique Extension Principle. Mathematics. 2019; 7(10):952. https://doi.org/10.3390/math7100952

Chicago/Turabian Style

Mohammad, Mutaz. 2019. "On the Gibbs Effect Based on the Quasi-Affine Dual Tight Framelets System Generated Using the Mixed Oblique Extension Principle" Mathematics 7, no. 10: 952. https://doi.org/10.3390/math7100952

APA Style

Mohammad, M. (2019). On the Gibbs Effect Based on the Quasi-Affine Dual Tight Framelets System Generated Using the Mixed Oblique Extension Principle. Mathematics, 7(10), 952. https://doi.org/10.3390/math7100952

Note that from the first issue of 2016, this journal uses article numbers instead of page numbers. See further details here.

Article Metrics

Back to TopTop