Next Article in Journal
Secure and Reversible Thumbnail-Preserving Encryption for Point Clouds via Spatial Subdivision and Chaotic Perturbation
Previous Article in Journal
Analytical Solutions and Analyses for the Deflection of Nonlinear Waves on Kirchhoff Plates Underlying a Pasternak-like Nonlinear Elastic Foundation
Previous Article in Special Issue
A Multi-Tier Vehicular Edge–Fog Framework for Real-Time Traffic Management in Smart Cities
 
 
Font Type:
Arial Georgia Verdana
Font Size:
Aa Aa Aa
Line Spacing:
Column Width:
Background:
Article

Fractional Solutions and Quasi-Periodic Dynamics of the M-Fractional Weakly Nonlinear Dispersive Water Waves Model: A Bifurcation Perspective

Department of Mathematics and Statistics, College of Science, King Faisal University, P.O. Box 400, Al-Ahsa 31982, Saudi Arabia
*
Author to whom correspondence should be addressed.
Mathematics 2026, 14(1), 79; https://doi.org/10.3390/math14010079
Submission received: 11 November 2025 / Revised: 22 December 2025 / Accepted: 22 December 2025 / Published: 25 December 2025

Abstract

In this paper, we study the time-space truncated M-fractional model of shallow water waves in a weakly nonlinear dispersive media that characterizes the nano-solitons of ionic wave propagation along microtubules in living cells. A fractional wave transformation is applied, reducing the model to a third-order differential equation formulated as a conservative Hamiltonian system. The stability of the equilibrium points is analyzed, and the corresponding phase portraits are constructed, providing valuable insights into the expected types of solutions. Utilizing the dynamical systems approach, a variety of predicted exact fractional solutions are successfully derived, including solitary, periodic and unbounded singular solutions. One of the most notable features of this approach is its ability to identify the real propagation regions of the desired waves from both physical and mathematical perspectives. The impacts of the fractional order and gravitational force variations on the solution profiles are systematically analyzed and graphically illustrated. Moreover, the quasi-periodic dynamics and chaotic behavior of the model are explored.

1. Introduction

A wide range of natural phenomena can be modeled by nonlinear partial differential equations, with parameters and functional forms typically derived from experimental observations. Such mathematical formulations provide a rigorous framework for understanding the underlying dynamics of these systems and have consequently drawn substantial attention from both mathematicians and physicists. Numerous analytical, semi-analytical, and numerical approaches have been developed to obtain various classes of exact and approximate solutions. These contributions have played a pivotal role in advancing research across diverse scientific disciplines, including engineering, biology, population ecology, plasma physics, solid-state physics, fluid mechanics, quantum mechanics, thermodynamics, and nonlinear optics, among others. Some of the most prominent techniques for constructing wave solutions include the Darboux transformation [1], the bilinear method [2], the extended generalized ( G / G ) -expansion method [3], the extended ( G / G 2 ) -expansion method [4], the extended auxiliary function method [5,6], Lie point symmetries, reductions, conservation laws [7], the multiple exponential functions method [8], the modified Sardar-sub equation method [9], the bifurcation theory of planar systems method [10,11], the extended direct algebraic method [12], a complete discriminant system method [13], the Hamiltonian mechanics framework [14], the compact difference method [15], etc.
By combining differential equations with fractional differentiation theory, the distinctive impact of fractional derivatives on natural phenomena has been revealed—offering an alternative to classical differentiation, which relies on integer-order derivatives. The fractional-order differential operator is more suitable in situations where infinite variations are present and their effects cannot be ignored. Additionally, the fractional-order operator enables different predictions of motion and provides a more comprehensive framework, as it includes integer-order derivatives as a special case. The theory of fractional differentiation has been extensively developed, and various fractional operators have been introduced, such as the Riemann–Liouville, Caputo, Grunwald–Letnikov and Weyl operators [16], the conformable derivative [17], the Katugampola operator [18], the truncated M-fractional operator [19], the Atangana–Baleanu operator [20] and others, each of which has its strengths and weaknesses. A great deal of research has been conducted on famous equations into which fractional differentiation is introduced, such as the truncated M-fractional derivative [21,22], conformable derivative [23]. Riemann–Liouville operator [24] and Lioville–Caputo [25].
The qualitative behavior of solutions to fractional partial differential equations differs substantially from that of their classical counterparts due to the nonlocal nature of fractional operators. Time–fractional derivatives introduce memory effects that cause solutions to relax more slowly, while space–fractional derivatives generate heavy-tailed profiles. These properties lead to richer dynamical behavior, including slower propagation fronts, and solution profiles that may be less smooth than in the integer-order case. To properly describe such solutions, several notions of solvability are employed. A strong solution is sufficiently smooth so that all fractional derivatives appearing in the equation are well defined in the classical sense. A weak solution satisfies the fractional PDE in an integral or variational form, typically after multiplying by test functions and integrating by parts [26,27]. A mild solution is defined via the associated integral formulation, often using the fractional semigroup or resolvent operator, and is constructed through convolution with kernels such as the Mittag–Leffler function [28]. These different concepts of solutions allow one to treat the reduced regularity, memory dependence, and anomalous behavior intrinsic to fractional dynamical systems.

Physical and Biological Motivation for the Truncated M-Fractional Model

The choice of the truncated M-fractional derivative in modeling ionic wave propagation along microtubules is motivated by its mathematical properties and their relevance to the biophysical behavior observed in intracellular environments. Unlike classical fractional operators (e.g., Riemann–Liouville or Caputo), which introduce strong non-local memory effects and heavy-tailed profiles, the truncated M-fractional derivative is designed to capture short-range memory and moderate anomalous diffusion phenomena that are particularly relevant in the crowded, viscoelastic cytoplasm of living cells.
Microtubules are dynamic cytoskeletal structures that exhibit viscoelastic mechanical properties and are surrounded by a heterogeneous, crowded medium. Ionic waves traveling along microtubules are influenced by the following:
  • Short-range memory effects: Due to the viscoelastic nature of the cytoplasmic matrix, wave propagation retains a finite memory of past states over short timescales, rather than the infinite memory associated with classical fractional models.
  • Anomalous drift and diffusion: Experimental studies suggest that intracellular transport and signal propagation often exhibit sub-diffusive or weakly super-diffusive behavior, which can be captured by fractional operators with tunable order p.
  • Finite interaction ranges: The truncated nature of the M-fractional operator aligns with the finite correlation lengths of interactions in biological media, avoiding unrealistic long-range dependencies.
    The truncated M-fractional derivative, defined via the truncated Mittag-Leffler function, preserves key differentiation rules (product, chain, quotient) and reduces to the classical derivative when p = 1 . This makes it particularly suitable for modeling systems where memory effects are present but decay over finite intervals, the fractional order p can be tuned to reflect the degree of viscoelasticity or disorder in the medium, and analytical tractability is desired for deriving exact or semi-analytical solutions.
Thus, our model bridges a gap between purely integer-order models (which ignore memory) and strongly non-local fractional models (which may overestimate memory effects). By using the truncated M-fractional framework, we aim to provide a more physiologically relevant description of ionic wave dynamics in microtubules, capturing essential features such as memory, anomalous wave spreading, and tunable dispersion, all of which are observed in experimental biophysical studies of intracellular transport and signaling.
Our aim in this study is not simply to apply the dynamical systems approach, but rather to systematically unify and extend the analysis of the nonlinear time-space fractional model of shallow water waves in a weakly nonlinear dispersive media by employing a Hamiltonian framework and bifurcation theory tools.
The structure of this work is organized as follows: In Section 2, preliminaries including truncated M-fractional derivatives and a wave transformation are presented as well as phase portrait analysis of the dynamical system corresponding to the governing model. Section 3 is devoted to deriving fractional wave solutions to the dynamical system. In Section 4, the graphical and physical illustrations of the effects of the fractional order and the involved physical parameters on the solution profiles are presented. In Section 5, we investigate the quasi-periodic and chaotic behavior of the governing equation under the influence of an external force. Section 6 summarizes the main points in a conclusion.

2. Preliminaries

To have a self contained article we state the definition and basic concepts for Truncated M-fractional differentiation.

2.1. Truncated M-Fractional Differentiation

The application of the truncated M-fractional derivative operator addresses certain limitations of various fractional operators, like the chain, quotient and product rules, as well as the mean value theorem. First, the truncated M-fractional derivative operator relies on the definition of the Mittag–Leffler function.
Definition 1 
([19]). The truncated Mittag–Leffler function M γ n ( z ) of one parameter is defined as
M γ n ( z ) = j = 0 n z j Γ ( γ j + 1 ) ,
for γ > 0 and z C .
In the following, a type of truncated M-fractional derivative of order p is stated:
Definition 2 
([19]). Let M γ n ( z ) be a function of truncated Mittag–Leffler with γ > 0 , and let f : ( 0 , ) R , 0 < p < 1 . A truncated M-fractional derivative of order p for f is defined as
D p , γ n ( f ( t ) ) = lim σ 0 f ( t M γ n ( σ t p ) ) f ( t ) σ ,
for all t > 0 .
The significant properties of the truncated M-fractional differentiation are listed below.
Theorem 1 
([19]). Let f 1 , f 2 be p-truncated M-fractional differentiable functions for t > 0 , and let a , b R . Then the following rules are verified:
1. 
D p , γ n ( a f 1 + b f 2 ) ( t ) = a   D p , γ n f 1 ( t ) + b   D p , γ n f 2 ( t ) .
2. 
D p , γ n ( t r ) = r Γ ( γ + 1 ) t r p , for all  r R .
3. 
D p , γ n ( f 1 f 2 ) ( t ) = f 1 ( t ) D p , γ n f 2 ( t ) + f 2 ( t ) D p , γ n f 1 ( t ) .
4. 
D p , γ n f 1 f 2 ( t ) = 1 f 2 2 ( t ) f 2 ( t ) D p , γ n f 1 ( t ) f 1 ( t ) n D p , γ f 2 ( t ) .
5. 
D p , γ n ( c ) = 0 ,  where c is a constant.
6. 
D p , γ n ( f ) ( t ) = t 1 p Γ ( γ + 1 ) d f ( t ) d t , for differentiable f.
7. 
D p , γ n ( f g ) ( t ) = f ( g ( t ) ) D p , γ n g ( t ) , if f is differentiable at  g ( t ) .

2.2. The Model of Weakly Nonlinear Dispersive Shallow Water Waves

The nonlinear differential equation describing weakly nonlinear shallow water waves and governing ionic wave propagation along microtubules in living cells is
u t t λ σ u x x + 1 2 σ ( u t 2 ) x σ 2 3 u x x t t = 0 ,
where u = u ( x , t ) represents either the displacement or the velocity of the water particles, λ refers to the gravitational force and σ is the wave height. This equation is used to model wave propagation in weakly dispersive and nonlinear media. It has been investigated by numerous researchers to explore the behavior of wave dynamics inside microtubes. In [29], a set of traveling wave solutions of Equation (3) has been evaluated by the method of the extended Jacob elliptic function expansion. In [30], the Adomian decomposition and modified Riccati-expansion methods are used in Equation (3). The solutions obtained have been utilized to establish the initial and boundary conditions. In [31], the Paul Painlevé approach has been used on Equation (3) to achieve impressive solitary wave solutions. In [32], Lie group analysis has been applied to build solitary wave solutions by using the extended direct algebraic method. In [33], the auxiliary equation and Sardar sub-equation approaches have been utilized to Equation (3) and a family of different types of solutions has been constructed.
In this paper, we study a fractional-order model in the truncated M-fractional derivative concept.
This work is motivated by the critical need for realistic models of ionic wave propagation along microtubules in living cells, where weakly nonlinear dispersive media and memory effects are substantial. We introduce a nonlinear time-space fractional weakly nonlinear dispersive water wave model to address this gap; namely, we consider
D t t p , μ n u λ σ D x x p , μ n u + 1 2 σ D x p , μ n ( D t p , μ n u ) 2 σ 2 3 D x x t t p , μ n u = 0 ,
where D . p , μ n , for μ > 0 and 0 < p 1 , is the truncated M-fractional derivative of order p. In [34], an extended direct algebraic method is applied to a fractional model (4) with Atangana–Baleanu in the sense of Riemann–Liouville and the truncated M-fractional derivative, and different types of soliton solutions have been obtained. The weakly nonlinear shallow water wave partial differential equation plays a significant role in the physical nonlinear phenomena in ocean science, because the exact solutions are extensively used in ocean engineering and applied science [34].
Equation (3) often yields smooth solutions, and the wave propagation has a well-defined speed, while the solutions of fractional Equation (4) often exhibit heavy tails (infinity variations), and slower or faster spreading, and the analytical solutions are more complex. Such a sort of fractional operator has permitted us the generalization of the classical partial differential model. A truncated M-fractional derivative is a part of the family of fractional derivatives because their order is a real number 0 < p < 1 , and they are designed to generalize the concept of differentiation to non-integer order. It reduces to the ordinary derivative when p = 1 , and agrees with fractional calculus axioms. But it does not produce strong nonlocal memory effects.
In this study, a wave transformation is employed to reduce Equation (4) to an ordinary differential equation corresponding to a dynamical system. We study a bifurcation of the system, which leads us to construct a variety of new analytical solutions generalizing and extending previously known results and restoring them when p tends to 1. We investigate how variations in the fractional-order and physical parameters affect wave solution profiles. Finally, we study the quasi-periodic and chaotic behavior of the dynamic system.

2.3. Bifurcation Analysis of the Related Dynamical System

First, we apply a fractional wave transformation based on the order of the fractional differential operator, as defined within the neoteric concept of truncated M-fractional differentiation. Namely, we take
u ( x , t ) = Ψ ( ζ ) , ζ = Γ ( μ + 1 ) p ( c x p ω t p ) ,
where μ > 0 , 0 < p 1 , c , ω are real constants and Ψ ( ζ ) is a real function of ζ that relates to the truncated M-fractional operator. Utilizing the definition and properties of the truncated M-fractional differentiation, one obtains
D x p , μ n u = c Ψ ( ζ ) , D x x p , μ n u = c 2 Ψ ( ζ ) , D t p , μ n u = ω Ψ ( ζ ) , D t t p , μ n u = ω 2 Ψ ( ζ ) , D x x t t p , μ n u = c 2 ω 2 Ψ ( 4 ) ( ζ ) ,
where ′ refers to the ordinary derivative with respect to ζ . Inserting Equation (6) into Equation (4), we get
( ω 2 λ σ c 2 ) Ψ ( ζ ) + ω 2 c 2 σ ( Ψ 2 ( ζ ) ) σ 2 ω 2 c 2 3 Ψ ( 4 ) ( ζ ) = 0 .
Integrating Equation (7) once with respect to ζ and set Ψ ( ζ ) = U ( ζ ) to reduce the order, we have
( ω 2 λ σ c 2 ) U ( ζ ) + ω 2 c 2 σ U 2 ( ζ ) σ 2 ω 2 c 2 3 U ( ζ ) = k ,
where k is the integration constant. This is the point of analyze Equation (8) using bifurcation theory of dynamical system. Therefore, if we insert P = U , Equation (8) is equivalent to the planner dynamical system
U ( ζ ) = P ( ζ ) , P ( ζ ) = k 0 + k 1 U ( ζ ) + k 2 U 2 ( ζ ) ,
where
k 0 = 3 k σ 2 c 2 ω 2 , k 1 = 3 ( ω 2 λ σ c 2 ) σ 2 c 2 ω 2 , k 2 = 3 2 σ 3 c .
System (9) is conservative when · ( U , P ) = 0 and 1 D -Hamiltonian with the Hamiltonian function
H = P 2 2 k 0 U k 1 2 U 2 k 2 3 U 3 .
The first integral, which is called also in the literature as a conserved quantity, for Equation (9) admits the form
P 2 2 k 0 U k 1 2 U 2 k 2 3 U 3 = v ,
where v is the value of the first integral which takes a constant value through any phase orbit.
Second, to analyze the phase portrait of Equation (9) and know how the system develops, the equilibrium points play a key role in understanding the long-term behavior of the system [35]. The equilibrium points can be obtained by setting U ( ζ ) = 0 and P ( ζ ) = 0 , which yield P = 0 and U = k 1 ± k 1 2 4 k 0 k 2 2 k 2 . Hence we have three situations:
  • If Δ = k 1 2 4 k 0 k 2 = 0 , then one equilibrium point follows; ( q 0 , 0 ) where q 0 = k 1 2 k 2 .
  • If Δ > 0 , then two equilibrium points follow; ( q 1 , 2 , 0 ) where q 1 , 2 = k 1 ± Δ 2 k 2 .
  • If Δ < 0 , there are no equilibrium points.
To shed light on the system behavior when it is near that point, the stability of the equilibrium points describes whether small perturbation from equilibrium causes the system to return to the equilibrium, move away from it, or exhibit another behavior. The Jacobian matrix of Equation (9) at a point ( q , 0 ) is J = 0 1 k 1 + 2 k 2 q 0 and the related eigenvalues are given by
λ 1 , 2 = ± k 1 + 2 k 2 q .
Therefore, at the equilibrium point ( q 0 , 0 ) , λ 1 , 2 = 0 , indicating that ( q 0 , 0 ) is a planar cusp singularity, in the case that Δ = 0 as shown in Figure 1. While in the case that Δ > 0 , λ 1 , 2 = ± Δ 1 4 at the equilibrium point ( q 1 , 0 ) , indicating that ( q 1 , 0 ) is a saddle point, and λ 1 , 2 = ± i Δ 1 4 at the equilibrium point ( q 2 , 0 ) , indicating that ( q 2 , 0 ) is a center point. The phase plane of Equation (9), in this case, is shown in Figure 2 which provides a homoclinic orbit (in red) at the equilibrium point ( q 1 , 0 ) , a family of periodic orbits (in blue) around the equilibrium point ( q 2 , 0 ) , and a series of unbounded orbits outside the unique separatrix layer.
Each point in the phase plane represents a possible state of the system, and the orbits show how the system’s state changes. A bifurcation occurs when a small change in a system’s parameters causes a qualitative change in its structure. The significant values of the parameter v are those calculated at the equilibrium points, namely,
v 0 = H ( q 0 , 0 ) = k 1 ( 6 k 0 k 2 k 1 2 ) 12 k 2 2 , v 1 = H ( q 1 , 0 ) = ( k 1 + k 1 2 4 k 0 k 2 ) ( k 1 2 8 k 0 k 2 k 1 k 1 2 4 k 0 k 2 ) 24 k 2 2 , v 2 = H ( q 2 , 0 ) = ( k 1 k 1 2 4 k 0 k 2 ) ( k 1 2 8 k 0 k 2 + k 1 k 1 2 4 k 0 k 2 ) 24 k 2 2 .
The bifurcation analysis performed above provides the structural foundation for the remainder of this study. In particular, the equilibrium points, phase portraits, and conserved quantity determine the admissible propagation regions in phase space. These regions are not merely mathematical artifacts; they directly specify where physically meaningful ionic wave solutions can exist. In the next section, we exploit this bifurcation structure to systematically construct exact fractional wave solutions, ensuring that each solution corresponds to a real, dynamically admissible propagation regime.

3. Derivation and Consistency of Fractional Solutions

Guided by the phase-plane structure and real propagation regions identified through bifurcation theory, we now derive explicit fractional traveling wave solutions. Each solution corresponds to a specific class of phase orbits—periodic, solitary, or unbounded—and therefore inherits a clear dynamical interpretation. This approach ensures consistency between the mathematical solutions and the underlying wave dynamics relevant to ionic propagation along microtubules.
The conserved quantity (12) can be rewritten as
d U ( ζ ) L ( U ( ζ ) ) = 2 3 d ζ ,
where
L ( U ) = k 2 U 3 + 3 k 1 2 U 2 + 3 k 0 U + 3 v .
It follows, by integrating both sides, that
U ( ζ 0 ) U ( ζ ) d U ( ζ ) L ( U ( ζ ) ) = 2 3 ( ζ ζ 0 ) ,
where ζ 0 is a constant. Calculating the integration in Equation (17) requires careful consideration when selecting the range of parameters involved. However, based on the bifurcation theorem discussed in the previous section, it is possible to determine the appropriate parameter ranges that ensure the existence of real propagation regions.
Figure 3, Figure 4, Figure 5 and Figure 6 show the curves of the function L ( U ( ζ ) ) at all possible values of the parameter v about the bifurcation values v 0 , v 1 and v 2 . The curves are related to their corresponding orbits included in the phase portrait with the same colors. This provides an idea of discovering the regions within which the integration is possible and guaranteeing real propagation, in addition to knowing the subregions on which the solution is bounded.
Theorem 2. 
If system (9) has a solution ( U ( ζ ; k 0 , k 1 , k 2 ) , P ( ζ ; k 0 , k 1 , k 2 ) ) , then ( U ( ζ ; k 0 , k 1 , k 2 ) , P ( ζ ; k 0 , k 1 , k 2 ) ) is also a solution.
In light of Theorem 2, and to avoid redundancy of solutions and reader fatigue, we focus only on cases where k 2 > 0 . According to bifurcation analysis above, we have the following:
Case
A:  Δ = 0 . In this case, from Figure 1a, the system has an orbit at v = v 0 , in red, separating two blue and green families of orbits when v < v 0 and v > v 0 , respectively.
For v < v 0 , the blue curve of L ( U ) in Figure 3a intersects U -axis in a point, say r 1 , where r 1 > q 0 and in this case, L ( U ) = k 2 ( U r 1 ) ( U m 1 ) ( U m 1 ¯ ) , where m 1 and m 1 ¯ are complex conjugated numbers. Calculating the integration in Equation (17) over the interval ( r 1 , ) with U ( ζ 0 ) = r 1 , we obtain a novel solution of Equation (8) given by
U 1 ( ζ ) = r 1 A + 2 A cn ( 2 A k 2 3 ( ζ ζ 0 ) , A r 1 + Re m 1 2 A ) + 1 ,
where cn ( u , k ) is an elliptic Jacobi function [36], and A 2 = ( r 1 Re m 1 ) 2 + ( Im m 1 ) 2 .
For v = v 0 , the red curve of L ( U ) in Figure 3b intersects U -axis in the equilibrium q 0 . In this case, L ( U ) = k 2 ( U q 0 ) 3 . Calculating the integration in Equation (17) over the interval ( q 0 , ) with U ( ζ 0 ) = u 0 > q 0 ) , we get
U 2 ( ζ ) = 4 ( 2 k 2 3 ( ζ ζ 0 ) + 2 u 0 q 0 ) 2 k 1 2 k 2 .
For v > v 0 , the green curve of L ( U ) in Figure 3c intersects the U -axis in a point less than q 0 , and we obtain a solution in the same structure as the solution in Equation (18) but with a different amplitude, period, and phase shift. The regions of real propagation in the case that k 2 < 0 are illustrated in Figure 4a–c, within which another set of solutions can be derived according to Theorem 2.
Case
B:  Δ > 0 . In this case, from Figure 2a, the system has two efficient orbits in red and black, at v = v 1 and v = v 2 , respectively, separating three families of orbits related to the value of v: the brown family of unbounded orbits, the blue family of periodic and unbounded orbits and the green family of unbounded orbits as v ( , v 2 ) , v ] v 2 , v 1 [ and v ( v 1 , ) , respectively.
For v ( , v 2 ) ( v 1 , ) , both of the brown and green curves of L ( U ) in Figure 5a and Figure 5e intersect the U -axis in a point, and consequently, an analogous solution in Equation (18) is obtained but, of course, with a different amplitude, period, and phase shift.
For v = v 2 , the black curve of L ( U ) in Figure 5b intersects the U -axis in the equilibrium q 2 and a point r 2 . In this case, L ( U ) = k 2 ( U q 2 ) 2 ( U r 2 ) . The integration in Equation (17) over the interval ( q 2 , ) with U ( ζ 0 ) = r 2 implies
U 3 ( ζ ) = q 2 + ( r 2 q 2 ) sec 2 ( k 2 ( r 2 q 2 ) 6 ( ζ ζ 0 ) ) .
For v ] v 2 , v 1 [ , the blue curve of L ( U ) in Figure 5c intersects the U -axis in three points, say r 3 , r 4 and r 5 , and in this case, L ( U ) = k 2 ( U r 3 ) ( U r 4 ) ( U r 5 ) . If we assume r 3 < r 4 < r 5 , then there are two separated intervals of real propagation ] r 3 , r 4 [ ] r 5 , [ . The integration in Equation (17) over the first interval ( r 3 , r 4 ) with U ( ζ 0 ) = r 3 gives a novel solution of Equation (8) given by
U 4 ( ζ ) = r 4 ( r 4 r 3 ) cn 2 ( k 2 ( r 5 r 3 ) 6 ( ζ ζ 0 ) , r 4 r 3 r 5 r 3 ) .
While the integration over the second interval ( r 5 , ) with U ( ζ 0 ) = r 5 , creates a novel solution in the form
U 5 ( ζ ) = r 3 + ( r 5 r 3 ) ns 2 ( k 2 ( r 5 r 3 ) 6 ( ζ ζ 0 ) , r 4 r 3 r 5 r 3 ) ,
where ns ( u , k ) = 1 / sn ( u , k ) is an elliptic Jacobi function [36].
For v = v 1 , the red curve of L ( U ) in Figure 5d intersects the U -axis in the equilibrium q 1 and r 6 , where r 6 < q 2 < q 1 . In this case, L ( U ) = k 2 ( U q 1 ) 2 ( U r 6 ) and there are two intervals of real propagation ( r 6 , q 1 ) ( q 1 , ) . Calculating the integration in Equation (17) over the intervals ( r 6 , q 1 ) and ( q 1 , ) with U ( ζ 0 ) = r 6 and U ( ζ 0 ) = u 0 > q 1 , respectively, we get
U 6 ( ζ ) = q 1 q 1 r 6 sec h 2 ( k 2 ( q 1 r 6 ) 6 ( ζ ζ 0 ) ) ,
and
U 7 ( ζ ) = q 1 + q 1 r 6 csc h 2 ( k 2 ( q 1 r 6 ) 6 ( ζ ζ 0 ) + cot h 1 ( u 0 r 6 q 1 r 6 ) ) .
Let us verify the consistency of the solutions we obtained by applying the degeneracy technique. As v ( v 2 , v 1 ) v 1 , the periodic solution in Equation (21) is expected to degenerate into the soliton solution in Equation (23), as well as the singular solution in Equation (22) is expected to degenerate into the singular solution in Equation (24). To prove this, we refer to the phase plane of system (9) in Figure 5, and observe that as v ( v 2 , v 1 ) v 1 , the family of periodic orbits approaches the homoclinic orbit in red, as well as the family of unbounded orbits in blue approaches the unbounded separatrix orbits in red. In this case, r 4 = r 5 q 1 and r 3 r 6 , and by substituting into solutions in (21) and (22), we obtain, respectively,
U 4 ( ζ ) = q 1 ( q 1 r 6 ) cn 2 ( k 2 ( q 1 r 6 ) 6 ( ζ ζ 0 ) , 1 ) ,
and
U 5 ( ζ ) = r 6 + ( q 1 r 6 ) ns 2 ( k 2 ( q 1 r 6 ) 6 ( ζ ζ 0 ) , 1 ) ,
which, after some simple calculations, are exactly the soliton solution to Equation (23) and the singular solution to Equation (24), respectively, since cn ( y , 1 ) sec h ( y ) and sn ( y , 1 ) tan h ( y ) .
Similarly, the real propagation regions for the case k < 0 are illustrated in Figure 6a–e, within which an additional family of solutions can be obtained in accordance with Theorem 2.
Remark 1. 
In [29], the authors used the extended Jacobian elliptic function expansion method, which presupposes the solution in the form of a sum of specific elliptic functions. By applying the modified Riccati-expansion method and Adomian decomposition method [30], a set of trigonometric and hyperbolic function solutions are derived. The Paul–Painleve approach [31] has been used to achieve new solitary wave solutions in exponential form. In [32], Lie group analysis and the new extended direct algebraic approach are used to build a wider family of solitary wave solutions, including trigonometric and hyperbolic functions. A similar set of solutions is established by the auxiliary equation approach, the Sardar subequation approach and the extended direct algebraic approach [33,34]. In contrast, in our approach, the elliptic-function solutions are derived analytically rather than being assumed in advance.

4. Graphical and Physical Illustrations of Solutions

While the analytical solutions obtained in the previous section characterize the possible waveforms, their physical relevance emerges through their dependence on the fractional order and key system parameters. In this section, we illustrate how variations in these parameters deform the wave profiles and propagation regions. Such deformations provide insight into how environmental heterogeneity and intracellular conditions may influence ionic wave propagation in biological microtubules.
Assume c = 3 / 4 , k = 3 / 16 , λ = 13 / 9 , σ = 1 , ω = 1 and μ = 1 . In this case, k 0 = 1 , k 1 = 1 , k 2 = 2 , Δ > 0 ; the equilibria are ( 1 2 , 0 ) and ( 1 , 0 ) , at which v 1 = 7 24 and v 2 = 5 6 .
Therefore, by taking v = 2 5 ( v 2 , v 1 ) , it follows that r 3 = 1.487299040 , r 4 = 0.3657334280 and r 5 = 1.103032468 , and hence, by taking ζ 0 = 0 , the periodic solution in Equation (21) and singular solution in Equation (22) are reduced to the forms
U 04 ( x , t ) = 0.3657334 1.1215656 cn 2 ( 0.6969126 x p 0.92921679 t p p , 0.6580133 ) ,
and
U 05 ( x , t ) = 1.4872990 + 2.5903315 ns 2 ( 0.69691259 x p 0.92921679 t p p , 0.65801329 ) ,
respectively. Figure 7a–c and Figure 8a–c show the phase orbits with the structures of the corresponding periodic solution to Equation(27) and singular one to Equation (28) in both 3D and their 2D projections when t = 1 , in the case that p = 1 . The period of solution to Equation (27) is 2 K ( m ) ( 0.6580132949 ) / 0.6969125896 = 5.168832259 , where K ( m ) is the complete elliptic integral of the first kind.
On the other hand, by taking v = v 1 , with the same values of the parameters, it follows that r 6 = 7 / 4 and so, the soliton solution in Equation (23) is reduced to the form
U 06 ( x , t ) = 0.5 2.25 sec h 2 ( 0.649519052 x p 0.8660254038 t p p ) .
Figure 9 shows the structure of Equation (29) in both 3D and its 2D projection when t = 3 in the case of p = 1 .
To realize the impacts of both the fractional order and the involved parameters on the solutions profiles, it is more convenient to consider bounded solutions, namely, the Equations (21) and (23) above.

4.1. Impact of the Fractional Order

In this subsection, we show the impact of the fractional order p by varying it through the interval ( 0 , 1 ] . It is instructive to compare the present truncated M-fractional model with the classical case ( p = 1 ). In the classical limit p = 1 , the model reduces to the standard weakly nonlinear dispersive wave equation, yielding fixed propagation regions and rigid wave profiles determined solely by the physical parameters. In contrast, the truncated M-fractional operator introduces a continuous fractional order p ( 0 , 1 ) that allows smooth deformation of the wave structure.
Figure 10a–c show the impact of the fractional order p on the 3D periodic Equation (27) by taking p = 1 compared to p = 0.7 and p = 0.4 , respectively. Figure 11 provides the 2D representation in the x U plane for the same values of p as in Figure 10 by fixing t = 1 . We observe that the further the fractional operator p moves away from 1 and close to zero, the wave loses its regular periodicity so that the wavelength gradually increases, while the wave height remains constant and is not affected by varying p.
On another note, Figure 12a–c illustrate how the order p affects the 3D Equation (28) for the cases p = 1 compared to p = 0.7 and p = 0.4 . Figure 13 presents the corresponding 2D profiles in the x- U plane for the same values of p with t fixed at 1. The plots indicate that as p decreases from 1 toward zero, the wave becomes wider and gradually, loses its regular wave shapes.
Finally, Figure 14a–c show the impact of the fractional order p on the 3D Equation (29) by taking p = 1 compared to p = 0.7 and p = 0.4 , respectively. Figure 15 provides the 2D representation in the x- U plane for the same values of p by fixing t = 7 . It is observed that as the value of fractional order p moves further from 1 and gets closer to zero, the width of the soliton wave increases while maintaining a constant wave height.
As demonstrated in Figure 10, Figure 11, Figure 12, Figure 13, Figure 14 and Figure 15, decreasing p leads to wider wave profiles and enlarged real propagation regions while preserving wave amplitude. Such behavior cannot be captured by the integer-order model. From a biological viewpoint, this added flexibility may correspond to experimentally observed variability in ionic wave propagation along microtubules, where heterogeneity, molecular interactions, and environmental fluctuations can modify wave spreading and localization without necessarily changing wave intensity.

4.2. Impacts of the Key Physical Parameters

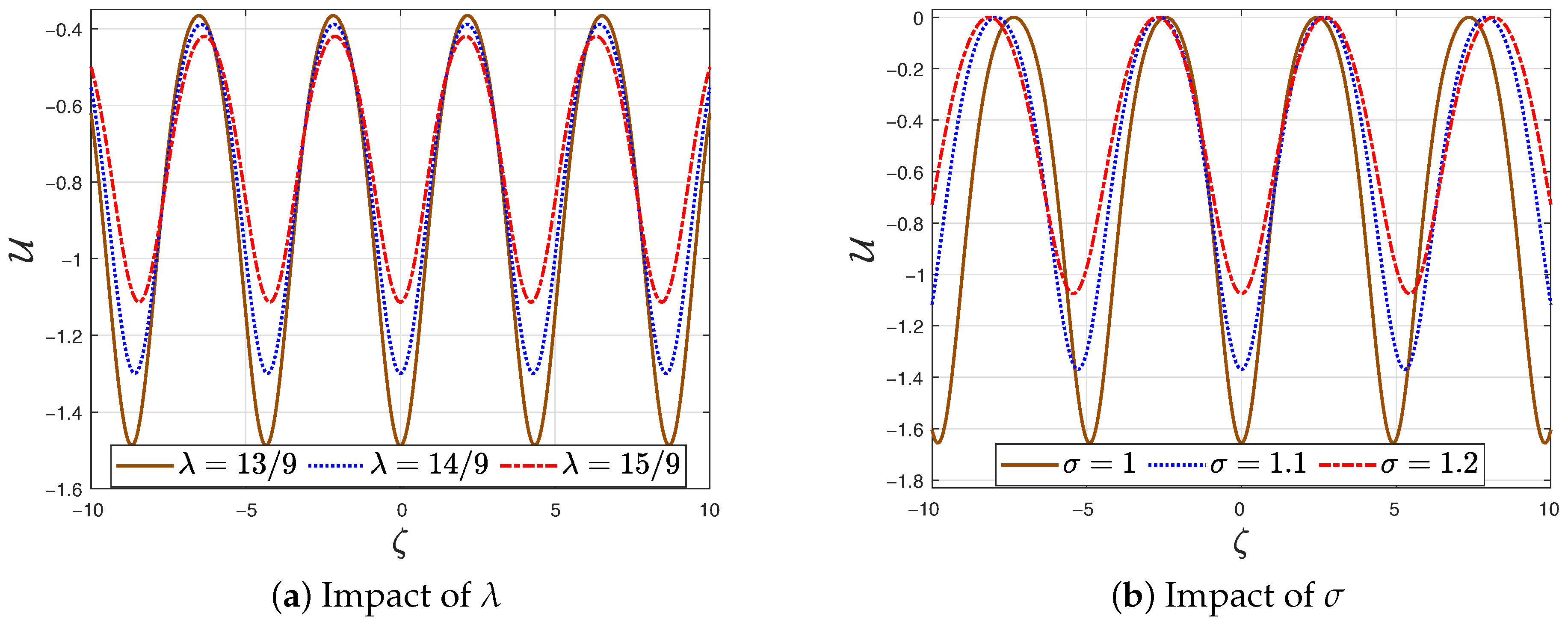
This subsection is devoted to seeing the influences of the gravitational force λ and wave height parameter σ upon both periodic and solitary waves in Equations (27) and (29) above, with p fixed at 1. Figure 16a shows the effect of λ on the periodic wave. It illustrates that as the gravitational force λ gradually increases (we took λ = 13 / 9 , λ = 14 / 9 and λ = 15 / 9 ), the wave compresses, leading to a decrease in both the wavelength and the wave height due to a reduction in the amplitude and wave period.
In contrast, Figure 16b shows that the wave is affected also by changes in the σ parameter. As σ increases (we took σ = 1 , σ = 1.1 and σ = 1.2 ), the wavelength expands, leading to a wider wave and a longer wave period. Additionally, the wave height decreases, reducing its overall amplitude.
On the other hand, Figure 17a shows that the solitary wave is not significantly affected by changes in the gravitation parameter λ . The only noticeable effect is the wave being shifted without any other alterations.
Conversely, Figure 17b shows that the solitary wave is affected by changes in the σ parameter. As σ increases, the width of the wave expands, and the wave height also changes so that lim σ 0 U ( ζ ) arises.

5. Quasi-Periodic Dynamics and Chaotic Behaviors

The periodic and solitary wave solutions discussed above describe ordered regimes of ionic wave propagation. However, biological systems are often subject to external perturbations and fluctuating stimuli. Motivated by this, we now examine how the previously identified propagation regimes respond to external forcing, and how their underlying bifurcation structure facilitates transitions from regular motion to quasi-periodic and chaotic dynamics. Quasi-periodicity is a property of a dynamical system characterized by a recurring pattern that lacks exact repetition, combining regularity with an element of unpredictability. This occurs when the dynamical system involves two or more incommensurate frequencies. On the other hand, the system is chaotic if it is sensitive to initial conditions, where it exhibits irregular and non-periodic behavior, and never settles into a recurring pattern. In this section, we investigate the quasi-periodic and chaotic behavior of the studied model. To recognize that, let an external force, chaotic term, e 0 sin ( f Γ ( μ + 1 ) p ( c x p ω t p ) ) be added into Equation (4), it takes the form
D t t p , μ n u λ σ D x x p , μ n u + 1 2 σ D x p , μ n ( D t p , μ n u ) 2 σ 2 3 D x x t t p , μ n u = e 0 sin ( f Γ ( μ + 1 ) p ( c x p ω t p ) ) .
So, applying the same steps as in Section 2, we obtain
( ω 2 λ σ c 2 ) U ( ζ ) + ω 2 c 2 σ U 2 ( ζ ) σ 2 ω 2 c 2 3 U ( ζ ) + θ 0 sin ( f ζ ) = k ,
where θ 0 = 3 e 0 f σ 2 ω 2 c 2 . The dynamical system from Equation (9), yields the perturbed system
U ( ζ ) = P ( ζ ) , P ( ζ ) = k 0 + k 1 U ( ζ ) + k 2 U 2 ( ζ ) + θ 0 cos ( Θ ) , Θ ( ζ ) = f ,
where Θ = f ζ . The constants f and θ 0 are the frequency and intensity of the additional force. Initially, Figure 18 refers to the behavior of the periodic solution of the unperturbed system, that is, in the absence of external force, by taking c = 3 / 4 , k = 3 / 16 , λ = 13 / 9 , σ = 1 , ω = 1 and μ = 1 with the initial condition ( U ( 0 ) , U ( 0 ) ) = ( 0 , 0.2 ) . Figure 18a,b show the 2D phase plane and 3D phase space representations, while Figure 18c,d show the periodicity of both functions U ( ζ ) and U ( ζ ) , respectively.
In contrast, when the external force is considerable, the regular periodic motion is missing, and it turns to quasi-periodic. When θ 0 = 0.1 and f = 1.732 , with the above values of parameters and the same initial condition, Figure 19 shows the wave-like periodic behavior of the perturbed system from Equation (30). Finally, for certain limit values of the frequency f and intensity θ 0 of the additional force, the motion completely loses its periodic nature, leading to unpredictable chaotic behavior as represented in Figure 20a–d.
We now evaluate the Lyapunov exponents of Equation (32) using the same parameter values as in Figure 20. These exponents, computed numerically, serve as a powerful indicator for assessing the stability and potential chaotic behavior of complex dynamical systems. Their correct interpretation, however, requires a thorough understanding of the system’s internal dynamics, since Lyapunov exponents are highly sensitive to the system’s specific properties. The Lyapunov exponents of the perturbed system are presented in Table 1.
Figure 21 presents the time-domain analysis of the Lyapunov exponent Λ . A positive exponent Λ 1 = 0.0443 signifies chaotic behavior, whereas a negative one Λ 2 = 0.0419 indicates stability or convergence.
In particular, the emergence of a positive Lyapunov exponent under external forcing indicates strong sensitivity to initial conditions, implying that ionic wave propagation becomes highly irregular and less predictable. This behavior reflects a loss of robustness of coherent ion-wave transport when the system is subjected to sufficiently strong external perturbations. From a biological perspective, this suggests that external stimuli (such as electromagnetic or mechanical forcing) can significantly alter or disrupt ordered ionic signaling along microtubules. Conversely, the bounded chaotic regime also implies that, by appropriately tuning the forcing amplitude and frequency, one may achieve partial controllability of the wave dynamics, potentially switching between regular, quasi-periodic, and chaotic transport modes.

6. Conclusions

In this study, we have investigated the fractional model of shallow water waves in a weakly nonlinear dispersive media, which plays a crucial role in describing the propagation of ionic waves along microtubules in living cells. Motivated by the localized and heterogeneous nature of intracellular ionic transport, we employ the truncated M-fractional derivative as a phenomenological tool to model short-range memory and anomalous drift effects that are not adequately captured by either classical or strongly nonlocal fractional operators. A fractional wave transformation reduced the model to a third-order differential equation formulated as a conservative Hamiltonian system. The stability of the equilibrium points was analyzed, and the corresponding phase portraits were constructed. Utilizing the dynamical systems approach, a variety of exact fractional solutions were derived. This analysis emphasized the regions of real propagation of the waves from both physical and mathematical perspectives. The influences of fractional order and key physical parameters on the solution profiles were investigated and graphically illustrated. The results revealed that as p decreases from 1 toward zero, the periodic wave gradually loses its regular periodicity, leading to an increase in its wavelength, while the solitary wave becomes wider. During the variation in p, the height of both waves remains unchanged. Concerning the gravitational parameter λ , it is observed that as λ gradually increases, the periodic wave compresses, resulting in a reduction in both the wavelength and the wave height, while as σ gradually increases, the wavelength expands with a decrease in the wave height. Taken together, the bifurcation structure, exact fractional solutions, and chaotic regimes form a unified framework that links mathematical dynamics to the robustness, adaptability, and controllability of ionic wave propagation in biological systems. The proposed methodology can be extended to other evolution equations that can be formulated as conservative dynamic systems possessing conserved quantities. The future work will focus on analyzing chaotic regimes with control strategies with more quantification and extending the framework to other fractional operators and physical applications.

Author Contributions

Conceptualization, M.E. and K.A.; methodology, M.E. and K.A.; software, M.E.; formal analysis, M.E. and K.A.; writing—original draft, K.A.; writing—review and editing, M.E. and K.A.; visualization, M.E. and K.A.; supervision, M.E. All authors have read and agreed to the published version of the manuscript.

Funding

This work was supported by the Deanship of Scientific Research, Vice Presidency for Graduate Studies and Scientific Research, King Faisal University, Saudi Arabia [Grant No. KFU252712].

Data Availability Statement

The original contributions presented in this study are included in the article. Further inquiries can be directed to the corresponding author.

Acknowledgments

The authors acknowledge the Deanship of Scientific Research at King Faisal University for the financial support.

Conflicts of Interest

The authors have no conflicts of interest.

References

  1. Ma, J.L.; Li, B.Q. Higher-order hybrid rogue wave and breather interaction dynamics for the AB system in two-layer fluids. Math. Comput. Simulat. 2024, 221, 489–502. [Google Scholar] [CrossRef]
  2. Ma, J.L.; Wazwaz, A.M.; Li, B.Q. Soliton resonances, soliton molecules, soliton oscillations and heterotypic solitons for the nonlinear Maccari system. Nonlinear Dyn. 2023, 111, 18331–18344. [Google Scholar] [CrossRef]
  3. Mohanty, S.K.; Dev, A.N.; Sahoo, S.K.; Emadifar, H.; Arora, G. Exact Solutions of the Generalized ZK and Gardner Equations by Extended Generalized (G/G)-Expansion Method. Adv. Math. Phys. 2023, 2023, 3965804. [Google Scholar] [CrossRef]
  4. Jhangeer, A.; Munawar, M.; Riaz, M.B.; Baleanu, D. Construction of traveling waves patterns of (1+ n)-dimensional modified Zakharov-Kuznetsov equation in plasma physics. Results Phys. 2020, 19, 103330. [Google Scholar] [CrossRef]
  5. Elbrolosy, M.; Alhamud, M.; Elmandouh, A. Analytical solutions to the fractional stochastic (3+ 1) equation of fluids with gas bubbles using an extended auxiliary function method. Alex. Eng. J. 2024, 92, 254–266. [Google Scholar] [CrossRef]
  6. Elmandouh, A.; Aljuaidan, A.; Elbrolosy, M. The integrability and modification to an auxiliary function method for solving the strain wave equation of a flexible rod with a finite deformation. Mathematics 2024, 12, 383. [Google Scholar] [CrossRef]
  7. Ali, M.N.; Seadawy, A.R.; Husnine, S.M. Lie point symmetries, conservation laws and exact solutions of (1+ n)-dimensional modified Zakharov-Kuznetsov equation describing the waves in plasma physics. Pramana 2018, 91, 48. [Google Scholar] [CrossRef]
  8. Alhussain, Z.A. Exploring multi-soliton patterns, bifurcation analysis, and chaos in (2+ 1) dimensions: A study on nonlinear dynamics. Ain Shams Eng. J. 2024, 15, 102917. [Google Scholar] [CrossRef]
  9. Mann, N.; Kumar, S. Dynamics of different soliton solutions, phase portraits, bifurcation analysis, and chaotic behavior in the Benney-Luke equation represent surface waves in a shallow channel with surface tension effects. Qual. Theory Dyn. Syst. 2025, 24, 196. [Google Scholar] [CrossRef]
  10. Saha, A.; Pradhan, B.; Natiq, H. Multiperiodic and chaotic wave phenomena of collective ion dynamics under KP-type equation in a magnetised nonextensive plasma. Phys. Scr. 2022, 97, 095604. [Google Scholar] [CrossRef]
  11. Elmandouh, A. Bifurcation, Quasi-Periodic, Chaotic Pattern, and Soliton Solutions to Dual-Mode Gardner Equation. Mathematics 2025, 13, 841. [Google Scholar] [CrossRef]
  12. Zhang, X.Z.; Siddique, I.; Mehdi, K.B.; Elmandouh, A.; Inc, M. Novel exact solutions, bifurcation of nonlinear and supernonlinear traveling waves for M-fractional generalized reaction Duffing model and the density dependent M-fractional diffusion reaction equation. Results Phys. 2022, 37, 105485. [Google Scholar] [CrossRef]
  13. Chen, D.; Shi, D.; Chen, F. Qualitative analysis and new traveling wave solutions for the stochastic Biswas-Milovic equation. AIMS Math. 2025, 10, 4092–4119. [Google Scholar] [CrossRef]
  14. Qiao, C.; Long, X.; Yang, L.; Zhu, Y.; Cai, W. Calculation of a dynamical substitute for the real Earth–Moon system based on Hamiltonian analysis. Astrophys. J. 2025, 991, 46. [Google Scholar] [CrossRef]
  15. Bo, Y.; Tian, D.; Liu, X.; Jin, Y. Discrete maximum principle and energy stability of the compact difference scheme for two-dimensional Allen-Cahn equation. J. Funct. Spaces 2022, 2022, 8522231. [Google Scholar] [CrossRef]
  16. de Oliveira, E.C.; Machado, J.A. A review of definitions for fractional derivatives and integral. Math. Probl. Eng. 2014, 2014, 238459. [Google Scholar] [CrossRef]
  17. Khalil, R.; Al Horani, M.; Yousef, A.; Sababheh, M. A new definition of fractional derivative. J. Comput. Appl. Math. 2014, 264, 65–70. [Google Scholar] [CrossRef]
  18. Katugampola, U.N. A new fractional derivative with classical properties. arXiv 2014, arXiv:1410.6535. [Google Scholar] [CrossRef]
  19. Sousa, J.V.D.C.; de Oliveira, E.C. A new truncated M-fractional derivative type unifying some fractional derivative types with classical properties. Inter. J. Anal. Appl. 2017, 16, 83–96. [Google Scholar] [CrossRef]
  20. Atangana, A.; Baleanu, D. New fractional derivatives with nonlocal and non-singular kernel: Theory and application to heat transfer model. arXiv 2016, arXiv:1602.03408. [Google Scholar] [CrossRef]
  21. Elbrolosy, M. Qualitative analysis and new exact solutions for the extended space-fractional stochastic (3 + 1)-dimensional Zakharov-Kuznetsov equation. Phys. Scr. 2024, 99, 075225. [Google Scholar] [CrossRef]
  22. Alabedalhadi, M.; Al-Omari, S.; Al-Smadi, M.; Alhazmi, S. Traveling wave solutions for time-fractional mKdV-ZK equation of weakly nonlinear ion-acoustic waves in magnetized electron–positron plasma. Symmetry 2023, 15, 361. [Google Scholar] [CrossRef]
  23. Alhamud, M.; Elbrolosy, M.; Elmandouh, A. New analytical solutions for time-fractional stochastic (3 + 1)-dimensional equations for fluids with gas bubbles and hydrodynamics. Fractal Fract. 2022, 7, 16. [Google Scholar] [CrossRef]
  24. San, S.; Sargin, S. Dynamical properties and novel wave solutions of the time-fractional extended (2 + 1)-dimensional Zakharov-Kuznetsov equation in plasma physics. Opt. Quant. Electron 2023, 55, 741. [Google Scholar] [CrossRef]
  25. Ganie, A.H.; Mofarreh, F.; Khan, A. A fractional analysis of Zakharov-Kuznetsov equations with the Liouville—Caputo operator. Axioms 2023, 12, 609. [Google Scholar] [CrossRef]
  26. Kian, Y.; Yamamoto, M. Well-posedness for weak and strong solutions of non-homogeneous initial boundary value problems for fractional diffusion equations. Fract. Calc. Appl. Anal. 2021, 24, 168–201. [Google Scholar] [CrossRef]
  27. Li, L.; Liu, J.G. Some compactness criteria for weak solutions of time fractional PDEs. SIAM J. Math. Anal. 2018, 50, 3963–3995. [Google Scholar] [CrossRef]
  28. Sin, C.S.; In, H.C.; Kim, K.C. Existence and uniqueness of mild solutions to initial value problems for fractional evolution equations. Adv. Differ. Eq. 2018, 2018, 61. [Google Scholar] [CrossRef]
  29. Zahran, E.H.M. Exact traveling wave solutions for Nano-solitons of Ionic waves propagation along Microtubules in living cells and Nano-Ionic currents of MTs. World J. Nano Sci. Eng. 2015, 5, 78–87. [Google Scholar] [CrossRef]
  30. Abdel-Aty, A.H.; Khater, M.M.A.; Attia, R.A.M.; Eleuch, H. Exact traveling and nano-solitons wave solitons of the ionic waves propagating along microtubules in living cells. Mathematics 2020, 8, 697. [Google Scholar] [CrossRef]
  31. Bekir, A.; Zahran, E.H.M. Exact and numerical solutions for the nanosoliton of ionic waves propagating through microtubules in living cells. Pramana 2021, 95, 158. [Google Scholar] [CrossRef]
  32. Almusawa, H.; Jhangeer, A. Soliton solutions, Lie symmetry analysis and conservation laws of ionic waves traveling through microtubules in live cells. Results Phys. 2022, 43, 106028. [Google Scholar] [CrossRef]
  33. Ouahid, L.; Abdou, M.A.; Al Shahrani, J.S.; Abdel-Baset, A.M.; Ali Akgul, A.; Hassani, M.K. A new plentiful solutions for nanosolitons of ionic (NSIW) waves spread the length of microtubules in (MLC) living cells. Sci. Rep. 2025, 15, 6190. [Google Scholar] [CrossRef]
  34. Jhangeer, A.; Faridi, W.A.; Asjad, M.I.; Inc, M. A comparative study about the propagation of water waves with fractional operators. J. Ocean Eng. Sci. 2022, in press. [Google Scholar] [CrossRef]
  35. Nemytskii, V.V. Qualitative Theory of Differential Equations; Princeton University Press: Princeton, NJ, USA, 2015. [Google Scholar] [CrossRef]
  36. Byrd, P.F.; Friedman, M.D. Handbook of Elliptic Integrals for Engineers and Physicists; Springer: Berlin/Heidelberg, Germany, 2013. [Google Scholar] [CrossRef]
Figure 1. The phase plane for Equation (9) at Δ = 0 . The black point refers to the equilibrium point ( q 0 , 0 ) .
Figure 1. The phase plane for Equation (9) at Δ = 0 . The black point refers to the equilibrium point ( q 0 , 0 ) .
Mathematics 14 00079 g001
Figure 2. The phase plane for Equation (9) at Δ > 0 . The black points refer to the equilibrium points ( q 1 , 2 , 0 ) .
Figure 2. The phase plane for Equation (9) at Δ > 0 . The black points refer to the equilibrium points ( q 1 , 2 , 0 ) .
Mathematics 14 00079 g002
Figure 3. The representation of L ( U ) when Δ = 0 and k 2 > 0 . The shaded areas indicate the real propagation regions. The red point refers to the equilibrium point ( q 0 , 0 ) .
Figure 3. The representation of L ( U ) when Δ = 0 and k 2 > 0 . The shaded areas indicate the real propagation regions. The red point refers to the equilibrium point ( q 0 , 0 ) .
Mathematics 14 00079 g003
Figure 4. The representation of L ( U ) when Δ = 0 and k 2 < 0 . The shaded areas indicate the real propagation regions. The red point refers to the equilibrium point ( q 0 , 0 ) .
Figure 4. The representation of L ( U ) when Δ = 0 and k 2 < 0 . The shaded areas indicate the real propagation regions. The red point refers to the equilibrium point ( q 0 , 0 ) .
Mathematics 14 00079 g004
Figure 5. The representation of L ( U ) when Δ > 0 and k 2 > 0 . The shaded areas indicate the real propagation regions. The red points refer to the equilibrium points ( q 1 , 2 , 0 ) .
Figure 5. The representation of L ( U ) when Δ > 0 and k 2 > 0 . The shaded areas indicate the real propagation regions. The red points refer to the equilibrium points ( q 1 , 2 , 0 ) .
Mathematics 14 00079 g005
Figure 6. The representation of L ( U ) when Δ > 0 and k 2 < 0 . The shaded areas indicate the real propagation regions. The red points refer to the equilibrium points ( q 1 , 2 , 0 ) .
Figure 6. The representation of L ( U ) when Δ > 0 and k 2 < 0 . The shaded areas indicate the real propagation regions. The red points refer to the equilibrium points ( q 1 , 2 , 0 ) .
Mathematics 14 00079 g006
Figure 7. The representation of Equation (27) for order p = 1 .
Figure 7. The representation of Equation (27) for order p = 1 .
Mathematics 14 00079 g007
Figure 8. The representation of Equation (28) for order p = 1 .
Figure 8. The representation of Equation (28) for order p = 1 .
Mathematics 14 00079 g008
Figure 9. The representation of Equation (29) for order p = 1 .
Figure 9. The representation of Equation (29) for order p = 1 .
Mathematics 14 00079 g009
Figure 10. The impact of fractional order p on the 3D profile of Equation (27).
Figure 10. The impact of fractional order p on the 3D profile of Equation (27).
Mathematics 14 00079 g010
Figure 11. Comparison between 2D classical and M-fractional wave profiles of Equation (27).
Figure 11. Comparison between 2D classical and M-fractional wave profiles of Equation (27).
Mathematics 14 00079 g011
Figure 12. The impact of fractional order p on the 3D profile of Equation (28).
Figure 12. The impact of fractional order p on the 3D profile of Equation (28).
Mathematics 14 00079 g012
Figure 13. Comparison between 2D classical and M-fractional wave profiles of Equation (28).
Figure 13. Comparison between 2D classical and M-fractional wave profiles of Equation (28).
Mathematics 14 00079 g013
Figure 14. The impact of fractional order p on the 3D profile of solution (29).
Figure 14. The impact of fractional order p on the 3D profile of solution (29).
Mathematics 14 00079 g014
Figure 15. Comparison between 2D classical and M-fractional wave profiles of solution (29).
Figure 15. Comparison between 2D classical and M-fractional wave profiles of solution (29).
Mathematics 14 00079 g015
Figure 16. The impact of the parameters of periodic solution for p = 1 .
Figure 16. The impact of the parameters of periodic solution for p = 1 .
Mathematics 14 00079 g016
Figure 17. The impact of the parameters of the soliton solution for p = 1 .
Figure 17. The impact of the parameters of the soliton solution for p = 1 .
Mathematics 14 00079 g017
Figure 18. The periodic behavior of the unperturbed system from Equation (9) where c = 3 / 4 , k = 3 / 16 , λ = 13 / 9 , σ = 1 , ω = 1 and μ = 1 with the initial condition ( U ( 0 ) , U ( 0 ) ) = ( 0 , 0.2 ) . The red dot indicates the initial point.
Figure 18. The periodic behavior of the unperturbed system from Equation (9) where c = 3 / 4 , k = 3 / 16 , λ = 13 / 9 , σ = 1 , ω = 1 and μ = 1 with the initial condition ( U ( 0 ) , U ( 0 ) ) = ( 0 , 0.2 ) . The red dot indicates the initial point.
Mathematics 14 00079 g018
Figure 19. The periodic behavior of the perturbed system from Equation (32), where c = 3 / 4 , k = 3 / 16 , λ = 13 / 9 , σ = 1 , ω = 1 and μ = 1 with the initial condition ( U ( 0 ) , U ( 0 ) ) = ( 0 , 0.2 ) when θ 0 = 0.1 and f = 1.732 . The red dot indicates the initial point.
Figure 19. The periodic behavior of the perturbed system from Equation (32), where c = 3 / 4 , k = 3 / 16 , λ = 13 / 9 , σ = 1 , ω = 1 and μ = 1 with the initial condition ( U ( 0 ) , U ( 0 ) ) = ( 0 , 0.2 ) when θ 0 = 0.1 and f = 1.732 . The red dot indicates the initial point.
Mathematics 14 00079 g019
Figure 20. The chaotic behavior of the perturbed system (32) where c = 3 / 4 , k = 3 / 16 , λ = 13 / 9 , σ = 1 , ω = 1 and μ = 1 with the initial condition ( U ( 0 ) , U ( 0 ) ) = ( 0 , 0.2 ) when θ 0 = 0.6 and f = 2.12 . The red dot indicates the initial point.
Figure 20. The chaotic behavior of the perturbed system (32) where c = 3 / 4 , k = 3 / 16 , λ = 13 / 9 , σ = 1 , ω = 1 and μ = 1 with the initial condition ( U ( 0 ) , U ( 0 ) ) = ( 0 , 0.2 ) when θ 0 = 0.6 and f = 2.12 . The red dot indicates the initial point.
Mathematics 14 00079 g020
Figure 21. Lyapunov exponents for Equation (32), where c = 3 / 4 , k = 3 / 16 , λ = 13 / 9 , σ = 1 , ω = 1 and μ = 1 with the initial condition ( U ( 0 ) , U ( 0 ) ) = ( 0 , 0.2 ) when θ 0 = 0.6 and f = 2.12 .
Figure 21. Lyapunov exponents for Equation (32), where c = 3 / 4 , k = 3 / 16 , λ = 13 / 9 , σ = 1 , ω = 1 and μ = 1 with the initial condition ( U ( 0 ) , U ( 0 ) ) = ( 0 , 0.2 ) when θ 0 = 0.6 and f = 2.12 .
Mathematics 14 00079 g021
Table 1. Lyapunov exponents iterations.
Table 1. Lyapunov exponents iterations.
Time Λ 1 Λ 2 Λ 3 Time Λ 1 Λ 2 Λ 3
10 0.0021 0.006 0.00 70 0.0454 0.0429 0.00
20 0.0743 0.0717 0.00 80 0.0487 0.0462 0.00
30 0.0734 0.0709 0.00 90 0.0474 0.0449 0.00
40 0.0742 0.0717 0.00 100 0.0503 0.0478 0.00
50 0.0694 0.0669 0.00 110 0.0442 0.0417 0.00
60 0.0686 0.0661 0.00 120 0.0506 0.0481 0.00
Disclaimer/Publisher’s Note: The statements, opinions and data contained in all publications are solely those of the individual author(s) and contributor(s) and not of MDPI and/or the editor(s). MDPI and/or the editor(s) disclaim responsibility for any injury to people or property resulting from any ideas, methods, instructions or products referred to in the content.

Share and Cite

MDPI and ACS Style

Elbrolosy, M.; Alarfaj, K. Fractional Solutions and Quasi-Periodic Dynamics of the M-Fractional Weakly Nonlinear Dispersive Water Waves Model: A Bifurcation Perspective. Mathematics 2026, 14, 79. https://doi.org/10.3390/math14010079

AMA Style

Elbrolosy M, Alarfaj K. Fractional Solutions and Quasi-Periodic Dynamics of the M-Fractional Weakly Nonlinear Dispersive Water Waves Model: A Bifurcation Perspective. Mathematics. 2026; 14(1):79. https://doi.org/10.3390/math14010079

Chicago/Turabian Style

Elbrolosy, Mamdouh, and Kawther Alarfaj. 2026. "Fractional Solutions and Quasi-Periodic Dynamics of the M-Fractional Weakly Nonlinear Dispersive Water Waves Model: A Bifurcation Perspective" Mathematics 14, no. 1: 79. https://doi.org/10.3390/math14010079

APA Style

Elbrolosy, M., & Alarfaj, K. (2026). Fractional Solutions and Quasi-Periodic Dynamics of the M-Fractional Weakly Nonlinear Dispersive Water Waves Model: A Bifurcation Perspective. Mathematics, 14(1), 79. https://doi.org/10.3390/math14010079

Note that from the first issue of 2016, this journal uses article numbers instead of page numbers. See further details here.

Article Metrics

Back to TopTop