Next Article in Journal
From Reliability Modelling to Cognitive Orchestration: A Paradigm Shift in Aircraft Predictive Maintenance
Previous Article in Journal
Berry–Esseen Bounds of Residual Density Estimators in the First-Order Autoregressive Model with the α-Mixing Errors
 
 
Font Type:
Arial Georgia Verdana
Font Size:
Aa Aa Aa
Line Spacing:
Column Width:
Background:
Article

Research on Supply Chain Advertising Strategies for Big Data-Driven E-Commerce Platforms: Head or Newcomer?

Business School, Yangzhou University, Yangzhou 225100, China
*
Author to whom correspondence should be addressed.
Mathematics 2026, 14(1), 75; https://doi.org/10.3390/math14010075
Submission received: 25 October 2025 / Revised: 12 December 2025 / Accepted: 22 December 2025 / Published: 25 December 2025
(This article belongs to the Section C1: Difference and Differential Equations)

Abstract

Under the influence of the long-tail effect, market segmentation and personalized demand provide room for small brands to grow. Meanwhile, consumer behavior patterns have also shifted, with increased acceptance of low-priced, highly practical goods. This paper constructs a two-tier competitive supply chain model. The manufacturer invests in big data from e-commerce platforms and decides on the production of products by combining sales data and consumer preferences. The two retailers are a head brand retailer, which is larger, and a newcomer brand retailer, which is smaller, and both consider advertising to expand their markets. The paper distinguishes four types of advertising strategies (NA, R1A, R2A, BA). Secondly, the differential game model is used to discuss the optimal solutions of different advertising strategies under the relevant situations of demand perturbation and demand non-perturbation. Again, empirical analyses are used to verify the robustness of the model by fitting it with the simulation model. Finally, the paper further extends the model to the symmetric domain to explore the optimal retailer capacity in the market, and comes to the following conclusions (1) In the case of non-disturbed demand, the differences in retailer size and competitiveness can promote a more efficient allocation of resources, and the advertisements placed by small brands are the most effective in terms of market share and profitability, which can also improve the overall performance of the supply chain. (2) Demand perturbation makes the unilateral advertisers more susceptible to external disturbances, and the profit is uncertain while the advertisers’ investment increases. (3) In the expansion model, the maximum capacity of small-brand retailers is 3. When retailers exceed 3, it is difficult for other retail brands to enter the market.

1. Introduction

“When a typhoon hits, even pigs can fly”—Lei Jun.
This vivid metaphor reveals that under specific economic conditions, even resource-constrained newcomer brands can achieve rapid growth by leveraging external factors. Shifts in market dynamics and consumer demand present numerous opportunities for newcomers, enabling them to compete with head brands through cost advantages and effective advertising strategies, thereby securing a foothold in the market. Advertising, as a crucial marketing tool, significantly boosts brand visibility and drives consumer purchases. For instance, Bosideng in Shanghai, China, strengthened its brand recognition and reputation through advertising, steadily increasing its share in the down jacket market. This propelled it to become an industry leader, securing the top spot globally in both sales volume and revenue for down jackets in 2021.
However, advertising effectiveness depends not only on ad quality and placement strategy but also on the scale of competitors. Companies of different sizes competing through advertising exert varying impacts on market share. For head brands versus newcomer brands, advertising outcomes and their effects on market share and profits show significant differences. Head brands typically possess high brand recognition and market share, where advertising can further solidify their market position. Newcomer brands, however, may expand their market share through innovative advertising strategies and precise market positioning. In consumer behavior research, traditional market environments primarily relied on offline methods like questionnaire surveys and field interviews for data collection. Modern research approaches leveraging big data technology, however, can integrate multi-dimensional data sources—such as user profiles from e-commerce platforms—to construct dynamic, real-time consumer behavior models. With the advancement of e-commerce big data technology, more companies are utilizing e-commerce big data platforms to optimize supply chain management, uncover market trends and consumer preferences, and thereby precisely target their advertising audiences. The integration of e-commerce big data technology with advertising not only enhances targeting precision and effectiveness but also reduces campaign costs while improving content quality and dissemination impact. For instance, Uniqlo in Ube, Japan, partnered with MediaV in Shanghai, China, to adopt a CPC (cost-per-click) bidding model, automatically converting to CPM (cost-per-thousand impressions) during RTB (real-time bidding) to optimize costs. Simultaneously, by integrating multiple audience targeting methods—including visitor retargeting, generic interest targeting, and shopping interest targeting—they achieve precise ad placement across the entire network.
Furthermore, demand uncertainty can lead to imbalances between supply and demand in the market, triggering fluctuations. Studying demand disturbances provides deeper insights into the patterns of market equilibrium shifts, offering valuable references for corporate decision-makers. For instance, during the pandemic, demand for Lianhua Qingwen surged significantly for Yiling Pharmaceutical in Shijiazhuang City, China. However, after the pandemic subsided, demand rapidly declined and returned to normal levels. However, the company failed to adjust its production strategy promptly, resulting in inventory backlogs of Lianhua Qingwen. With products nearing expiration dates and unsellable, the company is projected to incur a massive loss of approximately 1.15 billion yuan in Q4 2024. In summary, when manufacturers leverage e-commerce platforms to capture consumer preferences, the current bottleneck for newcomer brands lies in how to utilize advertising campaigns to achieve brand resurgence—regardless of demand disturbances.
Despite extensive discussions in existing literature on supply chain advertising and differential games, significant gaps remain. First, while scholars such as Jørgensen laid the foundation for cooperative advertising differential games [1], He et al. examined cooperative advertising in O2O supply chains [2], and Dass et al. analyzed the ripple effects of advertising expenditures [3], most studies have failed to systematically examine competitive dynamics in asymmetric two-tier supply chains composed of head and newcomer brands. Traditional models often assume retailers are symmetric or fail to explicitly differentiate their scale and market power, limiting their explanatory power for the competitive landscape where “big fish” and “small fish” coexist in real markets. Second, existing studies applying differential games often overlook the impact of external demand shocks on this asymmetric competitive structure, failing to reveal how advertising strategies of retailers of different sizes affect their own and the overall supply chain’s robustness under uncertainty.
To address these research gaps, this paper constructs a two-tier supply chain model comprising one manufacturer and two asymmetric retailers. The manufacturer invests in big data from e-commerce platforms and decides on the production of products by combining sales data and consumer preferences. The two retailers are a head brand retailer, which is larger, and a newcomer brand retailer, which is smaller, and both consider advertising to expand their markets. We aim to address the following research questions:
  • How do differences in retailer size and competitiveness influence corporate advertising strategies under stable demand conditions, and what impact does this have on overall supply chain performance?
  • How will unstable demand conditions affect retailers’ advertising strategies?
  • What is the maximum capacity for small-brand retailers?
To address the questions, this paper distinguishes four types of advertising strategies, i.e., no advertising, one-sided advertising by the head brand, one-sided advertising by the newcomer brand, and two-sided advertising. Secondly, the differential game model is used to discuss the optimal solutions of different advertising strategies under the relevant situations of demand perturbation and demand non-perturbation. Again, empirical analyses are used to verify the robustness of the model by fitting it with the simulation model. Finally, the paper further extends the model to the symmetric domain to explore the optimal retailer capacity in the market.
The contributions of this paper are as follows: First, it incorporates retailer competition factors into supply chain research, employing time-differential games to align closely with market realities and provide precise decision-making support for supply chain management. Second, it integrates retail methodologies leveraging e-commerce big data technology with advertising strategies to form innovative retail models, enhancing sales efficiency and brand competitiveness. Third, it introduces external disturbance factors such as market volatility and policy changes, making the model more realistic and improving the supply chain’s ability to respond to uncertainty. Fourth, model simulations and real-world data fitting validate the model’s accuracy and reliability. Fifth, expanding into n-dimensional space within symmetric markets explores optimal retailer capacity. Sixth, findings reveal significant growth opportunities for niche brands in the current market environment, providing theoretical support for their development and offering new perspectives for supply chain managers.
The structure of this paper is as follows: Section 2 presents a literature review, Section 3 elaborates on the model assumptions and notation system, Section 4 systematically compares advertising strategies of firms in symmetric and asymmetric markets under the absence of demand shocks, Section 5 reveals managerial implications through numerical analysis, Section 6 extends the analysis to the presence of demand shocks, and Section 7 summarizes the research findings. Detailed proofs are provided in the Appendix A, Appendix B, Appendix C, Appendix D, Appendix E, Appendix F, Appendix G.

2. Literature Review

The relevant literature covers three aspects: supply chain advertising, digital technologies in supply chains, and supply chain management.

2.1. Supply Chain Advertising

Extensive scholarly research has been conducted on supply chain advertising, covering areas such as the impact of advertising strategies on cooperative and competitive dynamics within supply chains, the regulation of supply chain financial risks through advertising strategies, and the role of advertising strategies in supply chain crisis management. Regarding the influence of advertising strategies on cooperative and competitive structures, Asghari et al. examined the effects of elasticity in closed-loop supply chains on advertising plans, finding that prices of similar products and their substitutability significantly impact manufacturers’ profitability [4]. Li et al., focusing on cooperative advertising in O2O supply chains, demonstrated that bilateral cooperative advertising outperforms unilateral models when agents’ online profit shares are high [5]. Dass et al. observed that fluctuations in advertising expenditures trigger cascading effects within supply chains, promoting coordination among members and reducing inefficiencies [3]. Tu et al. examined advertising strategies during supply chain crisis management, finding that product hazard crises lead members to reduce both quality and advertising investments [6]. He et al. studied cooperative advertising in two-period supply chains, concluding that manufacturers do not provide identical advertising subsidies for two generations of products released in the same period [2]. Additionally, some literature addresses advertising strategies and their determinants in commercial contexts. For instance, Bi et al. examined the relationship between advertising and financing decisions in online supply chains composed of e-platforms and capital-constrained retailers. They found advertising reduces risk and is always beneficial, with e-platforms supporting retailers only when retailers determine advertising levels [7]. Jorgensen holds that advertising placement exerts a positive impact on brands [1]. Aust and Buscher studied cooperative advertising, pricing strategies, and whether competing retailers cooperate with each other. They found that cooperation between the two retailers is more beneficial to manufacturers but offers no benefits to the retailers themselves [8].
Existing supply chain advertising research primarily focuses on cooperation between manufacturers and retailers or competition among symmetric retailers, without explicitly distinguishing competitors’ scale and market position. Furthermore, most existing studies examine static or deterministic environments, rarely accounting for dynamic random disturbances. This paper proposes constructing an asymmetric competition differential game model featuring “head brands versus newcomer brands,” thereby overcoming the limitations of traditional symmetric models.

2.2. Digital Technologies in Supply Chains

Research on digital technologies in supply chains has predominantly focused on their application within supply chains and insights into digital transformation trends. However, studies examining the application of digital technologies on consumer platforms remain scarce. In recent years, numerous scholars globally have explored the use of digital technologies in supply chains. For instance, Yang et al. identified technological sophistication and supply chain collaboration as two critical factors, proposing a two-dimensional framework for digital technology adoption ranging from low to high levels [9]. Benzidia et al. investigated the benefits of BDA-AI in supply chain integration processes and its impact on environmental performance, finding that BDA-AI technology use significantly influences environmental process integration and green supply chain collaboration [10]. Mwangakala et al. explored the potential of emerging digital technologies to promote equity in agricultural supply chains, examining the deployment levels of these technologies across various aspects of agricultural supply chains [11]. Arunmozhi et al. identified that blockchain and AI technologies can enhance supply chain sustainability by improving product traceability and transparency [12]. Escribà-Gelonch et al. organized digital twin technologies for each step of the agricultural lifecycle—including agriculture, plant technology, post-harvest, and farm infrastructure—and found them beneficial for agricultural production and supply chains [13]. Digital transformation enhances core competitiveness, alleviates financing constraints, improves internal control quality, and increases R&D investment. Consequently, it influences corporate digital technology innovation and elevates the quality of such innovation [14]. Liu found that the breadth and depth of digital technology adoption exert a significant positive influence on corporate green technology innovation performance. Furthermore, the embeddedness and structural embeddedness of digital technology innovation networks exert a significant positive moderating effect on the relationship between digital technology adoption and green human resource allocation [15]. Li found that the development of digital technologies can significantly enhance ecological efficiency, and that the ways in which digital technology development promotes digital entrepreneurship exhibit significant differences [16].
The literature in this field typically views digital technology as a tool for enhancing efficiency or transparency, rather than directly linking it to marketing strategies. This paper, however, explores the correlation between investments in big data technology and market share.

2.3. Supply Chain Management

In the field of supply chain management, numerous scholars have dedicated their research to exploring how different supply chain structures and strategies influence member decision-making and overall performance. Wei et al. examined a three-tier closed-loop supply chain and found that manufacturers integrating retail and collection channels could enhance recycling rates and maximize profits [17]. Zhu et al. discovered that downstream competition inhibits upstream battery R&D, affecting the BEV market size and manufacturer profitability [18]. Chen et al. examined strategic inventory and consumer rebate behaviors in one-to-one supply chains between manufacturers and retailers, finding that the absence of horizontal competition improves supply chain performance. Introducing consumer rebates and strategic inventory can mitigate dual marginalization [19]. Yun et al. studied supply chains under uncertain market competition, investigating information leakage incentives and the effectiveness of contract types in addressing information asymmetry [20].
Research on supply chain management typically focuses on specific operational decisions or particular supply chain structures, but few studies have simultaneously integrated the three elements of “big data-driven product quality decisions,” “advertising competition among asymmetric retailers,” and “external demand random disturbances” within a single analytical framework.
In the aforementioned studies, while research has addressed the impact of advertising strategies on aspects such as supply chain competition, few investigations have explored the comprehensive effects of retailers utilizing manufacturers’ e-commerce big data technologies for advertising on overall supply chain performance and member decision-making. Furthermore, current research has relatively limited application of differential games within secondary competitive supply chains composed of head brands and newcomer brands.
In summary, this study aims to explore advertising decisions for head/newcomer brands across the entire secondary supply chain, both with and without external demand disturbances. Therefore, we first construct a secondary supply chain comprising a product manufacturer and two asymmetric retailers, utilizing e-commerce big data technology and advertising strategies to achieve precise production and expand market share. Second, a differential game model is employed to derive optimal solutions for various advertising strategies under both demand-disturbed and undisturbed scenarios. Third, empirical analysis and simulation model fitting validate the model’s robustness. Finally, the model is extended to symmetric settings to determine optimal retailer capacity and reveal its associated properties.

3. Model Description

This paper examines a two-tier supply chain comprising a manufacturer and two asymmetric retailers.
Hypothesis 1.
The manufacturer serves as the product provider, by investing in big data from e-commerce platforms, manufacturers can determine product quality based on sales data and consumer preferences to expand market scale, achieving a unit profit margin of r. The market features two retailers: a head brand retailer and an emerging brand retailer. Head brands refer to mature brands that have high brand recognition, extensive channel coverage, and formidable resource barriers within specific markets or categories. Newcomer brands are young brands that rapidly rise within existing markets and challenge the status quo through innovative products, differentiated positioning, or disruptive business models. The head brand retailer operates on a larger scale, while the newcomer brand retailer is smaller. Both consider advertising to expand their market presence. For example, Helena Rubinstein (HR) In New York, NY, USA and Judo’s in Shanghai, China differentiated advertising strategies reflect significant differences in brand positioning and target customer selection. The unit profit margins for the two retailers are r1 and r2, respectively. When launching new products, newcomer brand retailers adopt a high-volume, low-margin strategy. For instance, when Xiaomi Technology in Beijing, China, entered the smartphone market in early 2011, it implemented a pricing strategy with a comprehensive hardware net profit margin not exceeding 5%. Its flagship models were priced 30–50% lower than contemporaneous competitors. By leveraging direct-to-consumer sales via the internet to reduce channel costs, Xiaomi achieved shipments of 7.19 million units in its first year, successfully carving out a breakthrough in the red ocean market. Therefore, this paper assumes. Assuming r1 > r2, without loss of generality, supply chain members share the same discount rate ρ > 0. The key symbols covered in this paper are summarized in Table 1.
Hypothesis 2.
Unlike previous studies, this paper considers the manufacturer’s big data technology cost Cm(t) and the advertising investment costs CA1(t) and CA2(t) of the two retailers, which can be written as C m = 1 2 M ( t ) 2 , C A 1 = 1 2 A 1 t 2 , C A 2 = 1 2 A 2 t 2 . Enhanced consumer preferences directly boost purchasing intent, while improved product quality attracts greater demand by increasing utility. Both factors exert a positive influence on market demand. Therefore, market demand [21] can be expressed as:
D x t , G t = i = 1 2 D i t = i = 1 2 a i B a s i c   m a r k e t   d e m a n d + 2 μ G t I m p a c t   o f   D i g i t a l   I n t e l l i g e n c e   T e c h n o l o g i e s + i = 1 2 η i x i t A d v e r t i s i n g   I m p a c t , i { 1 , 2 }
Market demand consists of three components: baseline market demand, market share shifts driven by investments in e-commerce big data technology, and market share shifts driven by advertising expenditures. Manufacturers control product quality, and improvements in product quality increase market demand. Retailers decide whether to advertise, at which point consumers respond to advertisements—that is, consumer preferences. The higher consumer preference for advertising, the greater the increase in market share driven by advertising. Here, μ > 0 represents the impact of product quality on market demand, η > 0 represents consumer preferences, and a ≥ 0 denotes baseline market demand.
Hypothesis 3.
Product quality evolution is a dynamic process over time, represented by differential equations that depend on manufacturers’ investment intensity. In other words, manufacturers’ technological investments directly drive product quality improvements. This paper expresses the dynamic process of product quality evolution [22] as follows:
G ˙ t = α M t δ G t , G 0 = G 0 > 0
In the equation, G(t) represents the product quality at time t, and G0 denotes the initial product quality. α indicates the sensitivity of the manufacturer’s big data technology investment, while δ signifies the degradation of product quality over time.
Hypothesis 4.
Retailers can further increase consumer preference for innovative products through advertising promotions. Therefore, retailers choose to promote products to consumers. According to the V-W model [23], the dynamic relationship between the increase in market share induced by retailers and the quantity of advertising is:
x ˙ 1 t = λ 1 A 1 t x 2 t C o m p e t i t o r   m a r k e t   s h a r e   c a p t u r e d   b y   R e t a i l e r   1 τ 1 A 2 t x 1 t M a r k e t   s h a r e   c a p t u r e d   b y   c o m p e t i t o r s   f r o m   R e t a i l e r   1 x ˙ 2 t = λ 2 A 2 t x 1 t C o m p e t i t o r   m a r k e t   s h a r e   c a p t u r e d   b y   R e t a i l e r   2 τ 2 A 1 t x 2 t M a r k e t   s h a r e   c a p t u r e d   b y   c o m p e t i t o r s   f r o m   R e t a i l e r   2 x i 0 = x 0 > 0
Here, λ denotes the retailer’s advertising effectiveness, while τ represents the decay constant. Equation (3) indicates that market share changes depend on two influences: the first term reflects a positive factor, representing the competitive market share gained by the retailer itself through advertising; the second term accounts for market share losses caused by other factors, such as market share captured by competitors through their advertising efforts [24].
This paper models big data investment and advertising decisions as a Stackelberg game, deriving a closed-loop equilibrium solution via the Hamilton–Jacobi–Bellman equation. The manufacturer serves as the leader, while two retailers act as followers. The decision sequence is described as follows: In the first stage, the manufacturer determines the level of investment in big data technology, M(t). In the second stage, the two competing retailers simultaneously determine their advertising investment levels, A(t). The decision sequence is illustrated in Figure 1 below.
This paper derives a closed-loop equilibrium solution using the Hamilton–Jacobi–Bellman equation. Based on the discussion in the introduction, four advertising strategies are considered: no advertising (neither the incumbent brand nor the challenger brand advertises), unilateral advertising by the incumbent brand, unilateral advertising by the challenger brand, and bilateral advertising (both the incumbent and challenger brands advertise). The logical diagram is shown in Figure 2.

4. Supply Chain Modeling and Analysis

Demand disturbances and non-disturbances directly impact market equilibrium. Demand uncertainty leads to imbalances between supply and demand in the market, thereby triggering fluctuations. Therefore, this section constructs supply chain models under both undisturbed and demand-disturbed conditions to comprehensively analyze the market.

4.1. Construction and Analysis of Supply Chain Models Under No Disturbance

4.1.1. No Advertising Strategy (NA): Neither Established Brands nor Newcomer Brands Engage in Advertising Campaigns

Due to uncertainties in advertising effectiveness, the long-term nature of brand building, and careful considerations of alternative marketing methods, both head brands and newcomer brands may choose not to invest in advertising. This strategy does not entail a complete abandonment of advertising, but rather a greater emphasis on the rational allocation of marketing resources and sustained brand development to achieve sustainable market growth. For instance, BYD in Shenzhen City, China, China’s top-selling new energy vehicle manufacturer, maintained an advertising expense ratio of just 0.68% in 2023, with per-vehicle advertising costs at only 1225.62 yuan—significantly below industry averages. Its market success primarily relies on robust technological R&D and exceptional product quality. Its emerging off-road brand, Formula Leopard 5, has captured market share through the technical backing of its DMO Super Hybrid Platform and precise scenario-based marketing. Leveraging the parent brand’s technological prestige and user community growth, it has achieved low-cost market penetration, validating the feasibility of newcomer brands “substituting advertising with product excellence”.
In this scenario, as the leader, the manufacturer first determines the level of investment in big data technology, M(t). Subsequently, the two competing retailers simultaneously decide not to run advertisements. The objective function for each member in the supply chain is:
π ˜ C N A ( t ) = 0 e ρ t r ( a 1 + a 2 + 2 μ G ( t ) ) 1 2 M t 2 d t π ˜ R 1 N A ( t ) = 0 e ρ t r 1 ( a 1 + μ G ( t ) ) d t π ˜ R 2 N A ( t ) = 0 e ρ t r 2 ( a 2 + μ G ( t ) ) d t
The proof process is analogous to R1A in the Appendix A (omitted).

4.1.2. Top Brand Single-Party Promotion Strategy (R1A): Top Brands Run Advertisements While Newcomer Brands Do Not

Many advertising campaigns require substantial investment that small and medium-sized retailers cannot afford. In such scenarios, larger retailer R1 decides to run advertisements, while smaller retailer R2 chooses not to. For instance, as the world’s largest retailer, Walmart, in Arkansas, AR, USA, spends over $2 billion annually on advertising, encompassing television commercials, online ads, and offline promotions. This omnichannel approach preemptively captures consumer attention and drives annual sales growth. Regional boutiques like L.A. Boutique, constrained by budget, typically attract customers through localized marketing and word-of-mouth.
Under this strategy, the manufacturer acts as the leader and first determines the level of investment in big data technology, M(t). Subsequently, competing retailers make their decisions simultaneously: Retailer 1 sets the level of advertising investment, A1(t), while Retailer 2 decides not to advertise. At this point, the objective functions for each member of the secondary supply chain are:
π C R 1 A ( t ) = 0 e ρ t r ( a 1 + a 2 + 2 μ G ( t ) + η 1 x 1 ( t ) + η 2 x 2 ( t ) ) 1 2 M t 2 d t π R 1 R 1 A ( t ) = 0 e ρ t r 1 ( a 1 + μ G ( t ) + η 1 x 1 ( t ) ) 1 2 A 1 t 2 d t π R 2 R 1 A ( t ) = 0 e ρ t r 2 ( a 2 + μ G ( t ) + η 2 x 2 ( t ) ) d t
See Appendix A for specific evidence.

4.1.3. Newcomer Brand One-Way Advertising Strategy (R2A): Newcomer Brands Run Advertisements While Top Brands Do Not

From the perspective of economies of scale, small and medium-sized retailers often find themselves at a competitive disadvantage compared to large retailers in the marketplace. Consequently, they may tend to pursue advertising strategies to capture market share as a means of competing with larger retailers. For instance, during its early startup phase, Tesla, in Fremont, CA, USA,—operating as a small-to-medium retailer—promoted its electric vehicles through targeted advertising and marketing campaigns. Meanwhile, some traditional large automakers, potentially reliant on conventional sales channels, did not invest heavily in digital advertising and social media marketing.
Under this strategy, the manufacturer acts as the leader and first determines the level of investment in big data technology, M(t). Subsequently, competing retailers make decisions simultaneously: Retailer 1 decides not to advertise, while Retailer 2 determines the level of advertising investment, A2(t). At this stage, the objective function for each member of the secondary supply chain is:
π C R 2 A ( t ) = 0 e ρ t r ( a 1 + a 2 + 2 μ G ( t ) + η 1 x 1 ( t ) + η 2 x 2 ( t ) ) 1 2 M t 2 d t π R 1 R 2 A ( t ) = 0 e ρ t r 1 ( a 1 + μ G ( t ) + η 1 x 1 ( t ) ) d t π R 2 R 2 A ( t ) = 0 e ρ t r 2 ( a 2 + μ G ( t ) + η 2 x 2 ( t ) ) 1 2 A 2 t 2 d t
The proof process is analogous to R1A in Appendix A (omitted).

4.1.4. Both-Sides Advertising Strategy (BA): Head Brands and Newcomer Brands Engage in Advertising Campaigns

To enhance brand awareness and expand market share, both retailers will compete through advertising under this strategy. For instance, Nike, in Beaverton, OR, USA, leverages social media, mobile apps, and personalized advertising to offer the Nike+ Run Club app. This platform not only tracks running activities but also enables users to share their running data via social media, thereby boosting user retention and brand loyalty. Simultaneously, Adidas, in Herzogenaurach, Germany, competes with Nike through similar digital marketing strategies, such as launching sports technology products and personalized services.
Under these circumstances, the manufacturer acts as the leader and first determines the level of investment in big data technology, M(t). Subsequently, competing retailers make their decisions simultaneously: Retailer 1 determines its advertising investment level, A1(t), and Retailer 2 determines its advertising investment level, A2(t). The objective function for each member in the supply chain is:
π ˜ C B A ( t ) = 0 e ρ t r ( a 1 + a 2 + 2 μ G ( t ) + η 1 x 1 ( t ) + η 2 x 2 ( t ) ) 1 2 M t 2 d t π ˜ R 1 B A ( t ) = 0 e ρ t r 1 ( a 1 + μ G ( t ) + η 1 x 1 ( t ) ) 1 2 A 1 t 2 d t π ˜ R 2 B A ( t ) = 0 e ρ t r 2 ( a 2 + μ G ( t ) + η 2 x 2 ( t ) ) 1 2 A 2 t 2 d t
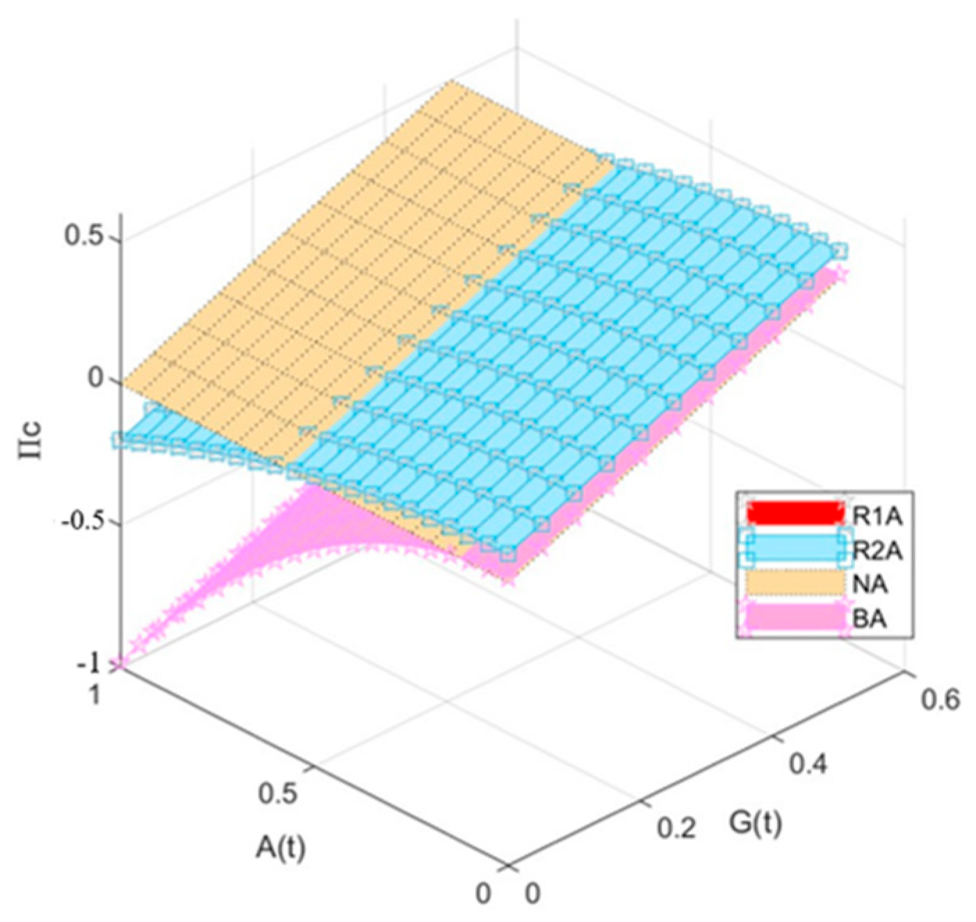
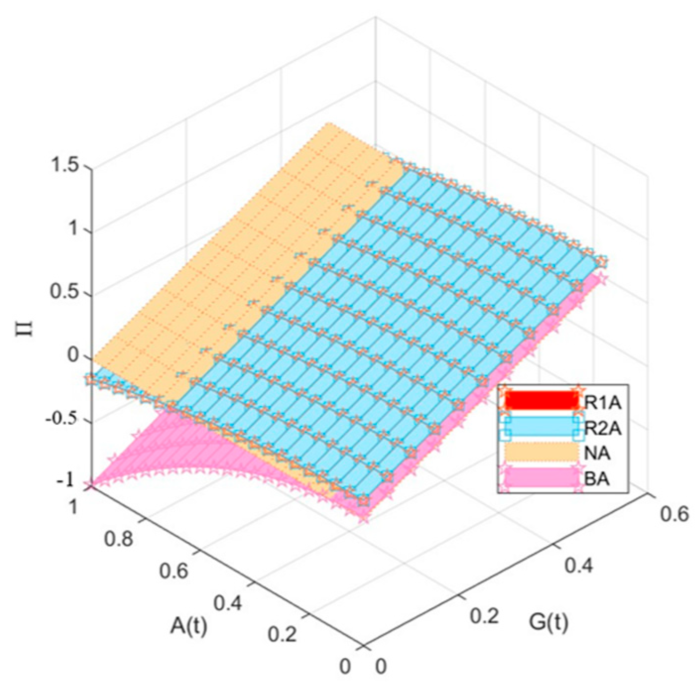
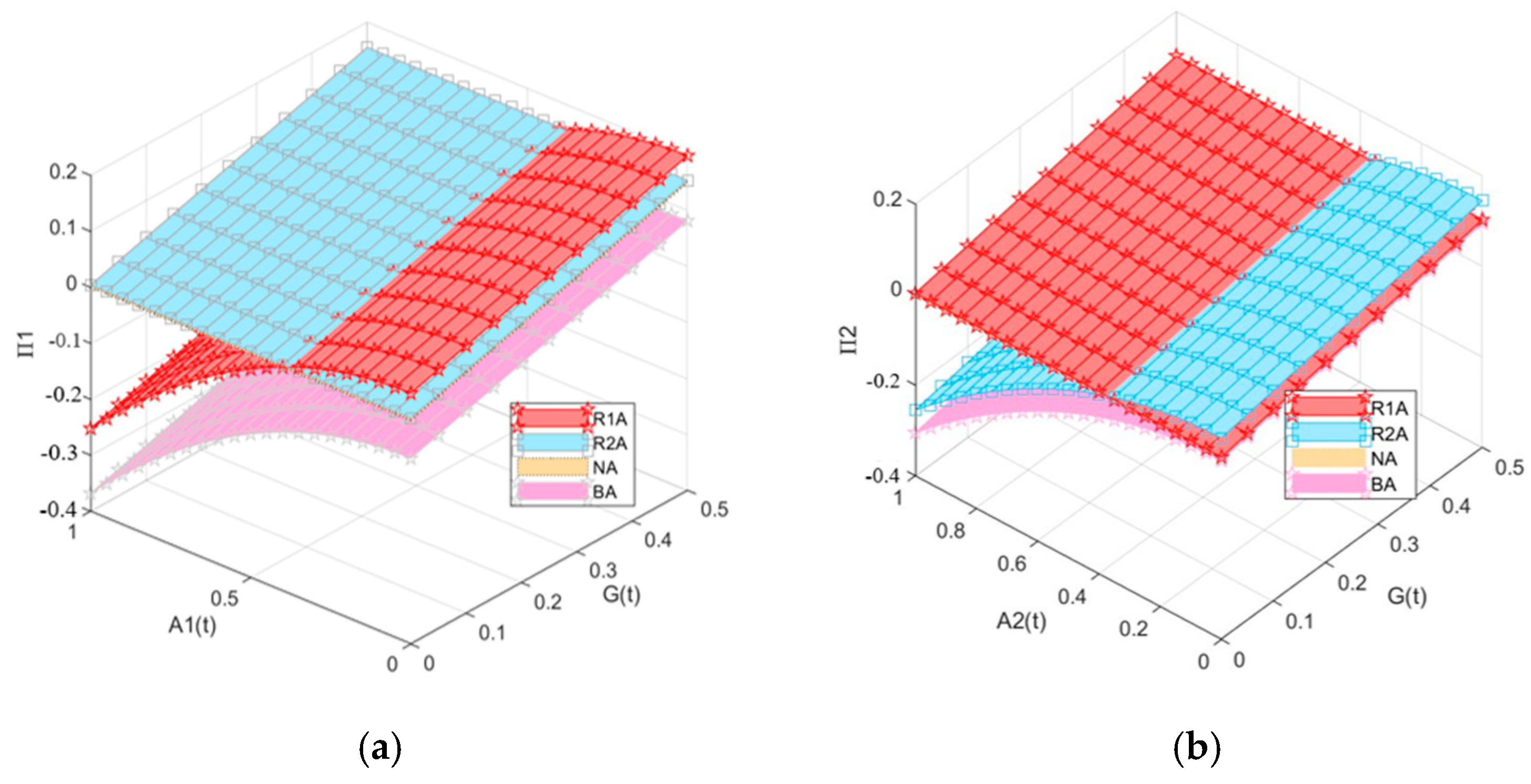
When r 1 r 2 , λ 1 λ 2 , τ 1 τ 2 , the market exhibits an asymmetric state, b 2 , b 3 , d 2 , d 3 due to the nature of mathematical operations, an exact solution cannot be provided. Therefore, this paper employs simulation-based derivation.
The proof process is analogous to R1A in Appendix A (omitted).

4.1.5. Comparison of Optimal Solutions Across Different Scenarios

By solving the four scenarios above, Table 2 summarizes the optimal solutions for each party in the supply chain, including their investment in e-commerce big data technology, advertising expenditure, and corresponding changes in market share.
Given the data and analytical results presented in Table 2, the market structure exhibits high complexity, making precise quantification and analysis challenging. In this study, symmetric states can be regarded as a special case of asymmetric states, where their parameters satisfy specific conditions such as x 1 ( t ) = x 2 ( t ) , μ 1 = μ 2 , η 1 = η 2 , λ 1 = λ 2 , τ 1 = τ 2 . However, during theoretical derivation, considering the nature of differential game theory, this paper simplifies the analysis by using symmetric states as examples for theoretical exploration in the extended model. Asymmetric states will be explored in depth through simulation modeling in subsequent sections.
Corollary 1.
(i) When G ˜ 0 > 2 r α 2 μ δ δ + ρ , product quality will monotonically increase over time; when G ˜ 0 < 2 r α 2 μ δ δ + ρ , product quality will decrease monotonically over time; over time, as t , product quality stabilizes at 2 r α 2 μ δ δ + ρ , that is G ˜ 0 = 2 r α 2 μ δ δ + ρ . According to G , as time progresses, consumer preference for products with good results increases, driving continuous growth in market sales of such products and consequently leading to increased profits.
(ii) The advertising expenditures A1(t), A2(t) of both retailers are closely tied to the advertising effectiveness of their competitor. Their own advertising costs increase as the competitor’s market share expands. For example, as two giants in the e-commerce industry, Tmall, in Hangzhou, China, and Pinduoduo’s, in Shanghai, China, advertising expenditures are closely linked to each other’s advertising effectiveness. Tmall emphasizes brand image and quality service promotion, highlighting its advantages in genuine product guarantees and rapid logistics. Pinduoduo, conversely, uses advertising to accentuate its low-price positioning. When Tmall increases its advertising expenditure, attracting more consumers prioritizing quality and brand, Pinduoduo must escalate its advertising investment to draw customers by emphasizing value for money, and vice versa.
Lemma 1.
Product quality varies G ˜ C N A ( t ) = G C R 1 A ( t ) = G C R 2 A ( t ) = G ˜ C B A ( t ) , indicating that advertising deployment does not influence product quality changes. The monotonic relationships between each parameter and the manufacturer’s big data technology investment level are shown in Table 3.
As shown in the table above, We use symbol to denote a monotonically positive correlation and symbol to denote a monotonically negative correlation, changes in product quality resulting from big data investments within the supply chain are directly proportional to the sensitivity coefficient α of manufacturers’ big data technology investments, the unit profit margin r of manufacturers, and the impact coefficient μ of product quality on market demand. Conversely, they are inversely proportional to the decay coefficient δ of product quality over time and the discount rate ρ. For instance, during the product development phase, Ford, in Dearborn, MI, USA, analyzed user feedback on social media via big data technology and discovered consumer dissatisfaction with SUV door designs—specifically, the inconvenience of liftgate doors during opening. Based on this data, Ford adjusted its product design to optimize door opening mechanisms, thereby enhancing product quality. This improvement not only boosted consumer satisfaction but also strengthened the product’s market competitiveness. In other words, from a management perspective, enterprises can elevate product quality by optimizing production processes, conducting market research and consumer feedback analysis, and implementing warehouse management strategies.

4.2. Construction and Analysis of Supply Chain Models Under Random Disturbances

Construction of Supply Chain Models Under Random Disturbances

This section’s supply chain market aligns with the preceding discussion, so the model construction retains the settings outlined above. Given the current macroeconomic environment characterized by significantly heightened uncertainty risks, similar to the analysis under stable conditions, this section further extends the model by incorporating random disturbance factors σ[G(t)], σ[x1(t)], and σ[x2(t)] into the dynamic differential equations governing the impacts of product quality and advertising volume within the V-W model. Specifically:
G ˙ t = α M t δ G t + σ G ( t ) d w ( t ) x ˙ 1 t = λ 1 A 1 t x 2 t τ 1 A 2 t x 1 t + σ [ x 1 t ] d w ( t ) x ˙ 2 t = λ 2 A 2 t x 1 t τ 2 A 1 t x 2 t + σ [ x 2 t ] d w ( t ) x i 0 = x 0 > 0 , G 0 = G 0 > 0
In Equation (8), w(t) represents a standard Wiener process; σ[G(t)], σ[x1(t)], and σ[x2(t)] denote the market random disturbance coefficients.
This section employs simulation to explore how advertising levels and profit levels evolve over time under four scenarios: no advertising, single-sided advertising, and dual advertising. Discretization yields Table 4:
Where Ψ(t) are independent and identically distributed standard normal variables, step size Δt = 0.01, σ 2 = 0.5 , Ψ(t) is a random number following a standard normal distribution (0,1), and the generated random number falls within the range [0, 0.5] [25].
The related proof is provided in Appendix B.
Table 4 indicates that the product quality level is solely influenced by external disturbance factors, regardless of strategy variations. Due to the inherent uncertainty of random disturbance data, further relevant data analysis will be conducted in subsequent simulation studies.

5. Simulation

5.1. Supply Chain System Under No Disturbance

In the preceding analysis, the focus was on comparing optimal solutions under different strategies and briefly examining how various parameters influence these solutions. However, due to the complexity of solving certain models, this section employs simulation modeling to conduct a detailed analysis of their properties. Table 5 presents the relevant parameters for the example [26].

5.1.1. Market Share Trends over Time

For retailers, market share ultimately peaks when advertising solely on their own behalf. The difference lies in the timing of peak market share: Retailer R1 achieves its highest market share under a mutual advertising strategy, while Retailer R2 attains maximum market share through independent advertising. This occurs because R2’s advertising more effectively targets consumers within specific regional markets or market segments, thereby driving higher market share growth. Interestingly, the strategy where both parties advertise simultaneously causes significant fluctuations in market share. This may occur because consumers, faced with multiple advertising messages, may choose between the two options, leading to a redistribution of market share (Figure 3 and Figure 4).

5.1.2. Trends in Advertising Expenditures over Time

Figure 5 and Figure 6 reveal that when both parties run advertisements, R1 and R2 maintain a dynamic equilibrium in their advertising efforts—an “advertising game.” For instance, consider Walmart and Target, in Minneapolis, MN, USA. As one of the world’s largest retailers, Walmart requires extensive advertising across multiple channels to reach its vast customer base and market regions, incurring higher creative and production costs. Target, being smaller in scale, concentrates its advertising efforts more narrowly, utilizing fewer channels and incurring relatively lower costs.

5.1.3. Trend of Profit over Time

Retailers R1 and R2 will ultimately maximize their profits when advertising themselves (Figure 7). Similar to market size, the peak profit for retailer R1 occurs when both retailers advertise, while retailer R2 achieves maximum profit when advertising itself. The redistribution of market share will also cause significant fluctuations in profits. Surprisingly, advertising by the smaller retailer R2 will maximize profits for both the manufacturer and the supply chain as a whole. This occurs because R2’s increased market share directly drives its sales growth. For manufacturers, this signifies rising product demand, enabling expanded production capacity and thereby achieving higher overall supply chain profitability (Figure 8). For instance, in the collaboration between Costco, in Issaquah, WA, USA, and Kroger, in Cincinnati, OH, USA, Kroger successfully boosted its market share in specific regions through advertising, attracting more consumers. This market share gain also enhanced supply chain efficiency for Costco and other participants (Figure 9). As shown in Figure 10, Figure 11 and Figure 12, advertising investment exerts a more pronounced impact on overall supply chain profits compared to the use of big data technology.
In summary, an intriguing conclusion emerges: for top-tier brands with already high brand recognition, advertising has a limited effect on their market share. For globally renowned brands like McDonald’s, in California City, CA, USA, their product image is deeply ingrained in consumers’ minds, who often prioritize these established names when making purchases. Against this backdrop, less dominant companies can leverage advertising to enhance brand recognition. For instance, in 2003, Red Can Wanglaoji, in Guangzhou, China, rapidly boosted its brand awareness and market share through extensive advertising campaigns on CCTV and local media.

5.2. Supply Chain System Under Consumer Demand Disturbances

Based on the data trends in Figure 13 and Figure 14, it can be observed that under external disturbances, when a single entity runs advertisements, the advertising cost fluctuation of the smaller firm R2 is relatively minor, while the disturbance magnitude for the larger firm R1 is more pronounced. When both firms run advertisements simultaneously, their cost fluctuations become more moderate. This phenomenon reflects, to a certain extent, the patterns of advertising strategy and cost changes in real-world markets. First, when the market faces a common disturbance, the newcomer brand R2 will moderately adjust its advertising expenditure. However, due to its limited overall budget, the scale of adjustment is relatively small. In contrast, the head brand R1, aiming to consolidate its market advantage, often increases its advertising investment, resulting in a larger disturbance. Second, when both players choose to advertise, a competitive equilibrium emerges. Consider the Coca-Cola, in Atlanta, GA, USA, and Pepsi, in New Bern, NC, USA, competition in the beverage market: both maintain a relatively balanced advertising expenditure over the long term, with minimal fluctuations in their respective advertising costs to sustain a stable competitive landscape.
As shown in Figure 15, in asymmetric markets, the advertising strategy of larger firm R1 exhibits greater profit volatility, while smaller firm R2 experiences fluctuations in the later stages of its advertising campaign. Analyzing real-world conditions, in asymmetric markets, although R1 invests heavily in advertising, its fragile balance between costs and profits—influenced by factors like economic conditions, consumption downgrading, and technological innovation—makes it susceptible to significant fluctuations due to market changes. Conversely, R2’s relatively smaller advertising budget results in less noticeable profit volatility initially. However, as advertising campaigns and product optimization progress, R2 gradually enhances its brand recognition and market share, leading to profit fluctuations in later stages. On the Douyin, in Beijing, China, and Xiaohongshu, in Shanghai, China, platforms, newcomer brands significantly exceed head brands Helena Rubinstein in the frequency of advertising placements. However, head brands substantially outspend newcomer brands in advertising costs. This discrepancy arises because the 2024 economic recovery period featured a relatively stable overall market environment with fewer disruptive factors, providing ideal conditions for comparing theoretical simulations with actual market outcomes. For relevant data, see Appendix C.
In summary, under undisturbed demand conditions, differences in retailer scale and competitive capabilities promote more efficient resource allocation. Newcomer brands achieve optimal market share and profit performance through advertising, while also enhancing overall supply chain efficiency. Conversely, demand disturbances make single-party advertising more susceptible to external interference, where increased advertising expenditure is accompanied by profit uncertainty. The managerial implication is that newcomer brands can effectively enhance market share and profit performance through targeted advertising, offering new strategic directions for market competition.

6. Expansion Model

During the startup phase, companies often struggle to establish direct partnerships with large, well-known brands due to limited resources, insufficient brand recognition, and minimal market influence. At this stage, businesses typically choose to collaborate with smaller, lesser-known brands. By providing products or services to these “newcomer brands,” they gradually accumulate market experience and build brand reputation, laying the groundwork for future growth. For instance, a common practice on platforms like Douyin involves multiple retailers sourcing products from the same apparel manufacturer and selling them under their own labels.
Based on these implementation patterns, this section constructs a symmetric market composed of a series of newcomer brands. The model framework follows the settings outlined above, with relevant parameters satisfying specific conditions such as x 1 ( t ) = x 2 ( t ) , μ 1 = μ 2 , η 1 = η 2 , λ 1 = λ 2 , τ 1 = τ 2 . The logical diagram for this section is presented in Figure 16.

6.1. Properties of the Disturbance-Free Symmetric Market Model

Based on Table 2, we can conclude:
Lemma 2.
The order of market share growth rates for retailers under different strategies and under the same strategy, caused by advertising placement, is respectively: x R 1 R 1 A ( t ) > x R 1 R 2 A ( t ) , x R 2 R 1 A ( t ) < x R 2 R 2 A ( t ) x ˙ R 1 R 1 A ( t ) > x ˙ R 2 R 1 A ( t ) , x ˙ R 1 R 2 A ( t ) < x ˙ R 2 R 2 A ( t ) .
See Appendix D for specific evidence.
Since x 1 ( t ) = x 2 ( t ) , λ 1 = λ 2 , τ 1 = τ 2 implies v ρ + 2 r 1 η 1 λ 1 τ 2 ρ > ρ . Therefore, the growth rate x ˙ R 2 R 1 A ( t ) < x ˙ R 2 R 2 A ( t ) of market share resulting from advertising placement is proven. The proof process for the same strategy is analogous.
Through an in-depth analysis of Lemma 2, we arrive at the following key conclusions. In a unilateral advertising scenario, when retailers choose to place advertisements themselves, the growth rate of their market share exhibits a significant upward trend. In such scenarios, the party placing advertisements experiences a faster increase in market share than the non-advertising party. For individual retailers, placing advertisements themselves yields the fastest growth rate in market share. From a management perspective, this finding further underscores the critical importance and urgency for retailers to seize the initiative in advertising placement within unilateral promotion scenarios. Businesses must fully recognize the significance of advertising placement for market share growth and integrate it into their overall strategic planning.

6.2. Properties of Demand Random Perturbation Symmetric Market Models

Proposition 1.
For any initial market share  x 0 [ 0 , 1 ] , the necessary and sufficient condition for the advertising market to exhibit a stable probability distribution is 1 ρ 2 A 2 σ 2 > 0 .
The proof process is in Appendix E.
From Equation (A24), it can be seen that when 1 ρ 2 A 2 σ 2 > 0 occurs, G ( f 1 , f 2 , x ) must be less than 0. At this point, the system is in a steady state, and the advertising market share follows a probability distribution function independent of the initial value. The managerial implication is that when a large amount of advertising is deployed in a secondary supply chain system, the system ceases to be in a steady state. That is, the trend of market share changes becomes beyond the control of the enterprise.
Proposition 2.
For any initial market share G 0 [ 0 , 1 ] , the necessary and sufficient condition for the equation G ( t + Δ t ) = G ( t ) + [ 2 r μ α 2 ρ + δ δ G ( t ) ] Δ t + σ G ( t ) Δ t Ψ ( t )  to have a stable probability distribution is δ > max [ σ 2 G 2 ( t ) 2 , 4 ρ G ( t ) 4 σ 2 + σ 2 G ( t ) + 4 G ( t ) ρ 4 σ 2 + G ( t ) σ 2 2 + 16 G ( t ) 4 ρ σ 2 + G ( t ) ρ σ 2 + 8 G ( t ) 2 r α 2 μ σ 4 8 G ( t ) ] .
The proof process is similar to Corollary 2 in Appendix F (omitted).
At this point, the system is in a steady state, and the product quality follows a probability distribution function unaffected by initial values. Its managerial implication is that as the investment in big data technology increases within the secondary supply chain system, enterprises become more susceptible to capital constraints and external disturbances. This may cause the system to deviate from its steady state, thereby increasing system volatility and uncertainty, which in turn leads to greater fluctuations in product quality.

6.3. Symmetric Market Optimal Capacity

The optimal market capacity refers to the equilibrium number of firms that maximizes average profits under a specific market structure and competitive environment. When the number of homogeneous firms in the market exceeds this optimal threshold, competition becomes excessive, causing average profits to decline due to the dilution effect. In symmetric environments, solutions are relatively straightforward to derive, and their properties are readily apparent. Therefore, in symmetric settings, the scenario involving two network marketing enterprises is extended to an n-dimensional space n ( n 2 ) [27]. When symmetry holds, both λ 1 = λ 2 = λ 3 = = λ , τ 1 = τ 2 = τ 3 = = τ and ρ 1 = ρ 2 = ρ 3 = = ρ exist. Let n* denote the saturation level of cutting-edge brand retailers.
Corollary 2.
If condition 0 D ( n * ) = ( n ( a i + μ ( n r μ α 2 δ δ + ρ + G 0 n r μ α 2 δ δ + ρ e δ t ) + η i x i t ) ) 1 holds, then condition 3 n * < 4 holds.
Proof is provided in Appendix F.
As shown in Figure 17, when there are three small-brand retailers in the market, the total market share reaches 0.9; when there are four small-brand retailers, the total market share reaches 1.73, which does not satisfy the condition 0 D ( n * ) 1 . This leads to the inference that, generally, the number of small-brand retailers of the same type should not exceed three. This finding aligns with real-world management practices.
From a symmetry perspective, when n > 3 occurs, market entry barriers significantly increase, making it more difficult for new firms to enter. Therefore, in an n > 3 market environment, the managerial implication is that firms must carefully evaluate the costs and benefits of market entry, explore more innovative and effective market entry strategies, or seek underd. For example, the three major online e-commerce platforms—Taobao, JD.com, in Beijing, China, and Pinduoduo—account for the vast majority of China’s online retail market share.

7. Conclusions and Limitations

7.1. Conclusions and Management Implications

This paper conducts an in-depth study on the impact of advertising expenditures by retailers of different sizes on their profits and supply chain profitability within a two-tier supply chain model comprising a manufacturer and two asymmetric retailers. Employing a differential game model, it analyzes optimal solutions under various advertising strategies in scenarios with and without demand disturbances. The model’s robustness is validated through empirical analysis and simulation fitting. Finally, the model is extended to symmetric scenarios to determine optimal retailer capacity and reveal its properties, yielding the following conclusions: (1) In undisturbed demand conditions, differences in retailer size and competitiveness promote more efficient resource allocation. Small brands achieve optimal market share and profit performance through advertising, while also enhancing overall supply chain efficiency. (2) Demand disturbances make unilateral advertising entities more susceptible to external interference, increasing advertising expenditure while introducing profit uncertainty. (3) In the extended model, the maximum capacity for small-brand retailers is 3. When retailers exceed 3, other retail brands face significant barriers to market entry.
From a management perspective, newcomer brands can establish unique competitive advantages through differentiation strategies—such as innovative products or targeted advertising—thereby building brand loyalty, reducing customer churn, and increasing customer lifetime value. When markets approach saturation, companies should pursue market segmentation to identify underserved niches and avoid excessive competition; dynamically adjust competitive strategies by exiting or entering markets promptly to maintain profit margins. For any enterprise, advertising is not the sole marketing strategy. Instead, a diversified approach to marketing should be employed to achieve long-term goals of brand building and market expansion. For instance, Xiaomi Corporation successfully achieved brand building and market expansion through social media engagement, fan economy, and “limited-quantity sales strategies.”
In summary, enterprises should employ diversified marketing approaches through multifaceted efforts, including product innovation, cost optimization, brand marketing, and customer relationship management, to achieve long-term goals of brand building and market expansion. This not only helps maintain competitive advantages in fiercely contested markets but also enhances sustainable development capabilities.

7.2. Shortcomings

Although this paper analyzes the impact of e-commerce big data technology and random perturbations in ad placement on retailers of varying sizes under multiple advertising strategies, several limitations remain. On one hand, due to the complexity of the model, the BA model could only be analyzed through simulation, resulting in insufficient theoretical analysis. Objectively speaking, this approach may limit the model’s practical application scenarios. It is hoped that subsequent research will address these limitations. Additionally, this study assumes competitive relationships among retailers within the supply chain, neglecting potential alliances. It also focuses solely on two-tier supply chains (manufacturer–retailer) and single-channel operations, with relatively limited competitive tactics. Subsequent research should explore strategy optimization in scenarios involving three-tier supply chains and multi-channel competition.

Author Contributions

Conceptualization, H.Z.; Methodology, H.Z.; Validation, Z.W.; Formal analysis, Z.W.; Writing—original draft preparation, Z.W.; Writing—review and editing, J.Z. All the authors contributed equally to the article. All authors have read and agreed to the published version of the manuscript.

Funding

The authors gratefully acknowledge the support provided by the National Natural Science Foundation of China Project “Research on Online Advertising Placement Strategies Under Uncertain Environmental Disturbances” (72401249); Yangzhou University School of Business 2024 Graduate Practical Innovation Project “Research on Financing Solutions for Jinhai High-Tech from a Supply Chain Finance Perspective” (SXYJSCX202428); Yangzhou University School of Business 2025 Graduate Practical Innovation Project “Research on Financing Solutions for Agricultural Enterprises from a Supply Chain Perspective: A Case Study of Shandong Baolaililai” (SXYSJCX202540).

Data Availability Statement

No new data were created or analyzed in this study. Data sharing is not applicable to this article.

Conflicts of Interest

The authors declare no conflicts of interest.

Appendix A

Proof of Table 2 (R1A).
When calculating the NA model, λ 1 , λ 2 , τ 1 , τ 2 can be set to 0. When calculating the R2A model, λ 1 = 0 , τ 2 = 0 . When calculating the BA model, all λ 1 , λ 2 , τ 1 , τ 2 values must be included.
The optimal control problem for Manufacturer, Retailer 1, and Retailer 2 in the supply chain satisfies the following HJB equation:
ρ V C R 1 A = r ( a 1 + a 2 + 2 μ G ( t ) + η 1 x 1 ( t ) + η 2 x 2 ( t ) ) 1 2 M t 2 + V C R 1 A ( G ) ( α M t δ G t ) + V C R 1 A ( x 1 ) ( λ 1 A 1 t x 2 t ) + V C R 1 A ( x 2 ) ( τ 2 A 1 t x 2 t ) ρ V R 1 R 1 A = r 1 ( a 1 + μ G ( t ) + η 1 x 1 ( t ) ) 1 2 A 1 t 2 + V R 1 R 1 A ( G ) ( α M t δ G t ) + V R 1 R 1 A ( x 1 ) ( λ 1 A 1 t x 2 t ) + V R 2 B A ( x 2 ) ( τ 2 A 1 t x 2 t ) ρ V R 2 R 1 A = r 2 ( a 2 + μ G ( t ) + η 2 x 2 ( t ) ) + V R 2 R 1 A ( G ) ( α M t δ G t ) + V R 2 R 1 A ( x 1 ) ( λ 1 A 1 t x 2 t ) + V R 2 B A ( x 2 ) ( τ 2 A 1 t x 2 t )
Equation (A1) is a concave function with respect to A 1 R 1 A t , M C R 1 A t . Take the first derivative of the equation ρ V C R 1 A M t , ρ V R 1 R 1 A A 1 t for Manufacturer and Retailer 1:
M C R 1 A ( t ) = V C R 1 A ( G ) α A 1 R 1 A ( t ) = ( V R 1 R 1 A ( x 1 ) λ 1 V R 1 R 1 A ( x 2 ) τ 2 ) x 2 t
Substitute Equation (A2) into Equation (A1), and merge cells G , x 1 , x 2 :
ρ V C R 1 A = ( 2 r μ V C R 1 A ( G ) δ ) G ( t ) + r η 1 x 1 ( t ) + ( V C R 1 A ( x 1 ) V R 1 R 1 A ( x 1 ) λ 1 2 V C R 1 A ( x 1 ) V R 1 R 1 A ( x 2 ) λ 1 τ 2 V C R 1 A ( x 2 ) V R 1 R 1 A ( x 1 ) λ 1 τ 1 + V C R 1 A ( x 2 ) V R 1 R 1 A ( x 2 ) τ 1 τ 2 + r η 2 ) x 2 ( t ) + 1 2 V C R 1 A ( G ) 2 α 2 + r ( a 1 + a 2 ) ρ V R 1 R 1 A = ( r 1 μ V R 1 R 1 A ( G ) δ ) G ( t ) + r 1 η 1 x 1 ( t ) + ( 1 2 V R 1 R 1 A ( x 1 ) 2 λ 1 2 1 2 V R 1 R 1 A ( x 2 ) 2 τ 2 2 V R 1 R 1 A ( x 1 ) V R 1 R 1 A ( x 2 ) λ 1 τ 1 + V R 1 R 1 A ( x 2 ) 2 τ 1 τ 2 ) x 2 ( t ) + V R 1 R 1 A ( G ) V C R 1 A ( G ) α 2 + r 1 a 1 ρ V R 2 R 1 A = ( r 2 μ V R 2 R 1 A ( G ) δ ) G ( t ) + ( V R 1 R 1 A ( x 1 ) V R 2 R 1 A ( x 1 ) λ 1 2 V R 1 R 1 A ( x 2 ) V R 2 R 1 A ( x 1 ) λ 1 τ 2 V R 1 R 1 A ( x 1 ) V R 2 R 1 A ( x 2 ) λ 1 τ 2 + V R 1 R 1 A ( x 2 ) V R 2 R 1 A ( x 2 ) τ 1 τ 2 + r 2 η 2 ) x 2 ( t ) + V R 2 R 1 A ( G ) V C R 1 A ( G ) α 2 + r 2 a 2
Then, let us assume the expression of the function V C R 1 A ( G , x ) , V R 1 R 1 A ( G , x ) , V R 2 R 1 A ( G , x ) is Equation (A4).
V C R 1 A = w 1 G + b 1 x 1 + d 1 x 2 + f 1 V R 1 R 1 A = w 2 G + b 2 x 1 + d 2 x 2 + f 2 V R 2 R 1 A = w 3 G + b 3 x 1 + d 3 x 2 + f 3
Among these, w 1 , w 2 , w 3 , b 1 , b 2 , b 3 , d 1 , d 2 , d 3 , f 1 , f 2 , f 3 are all unknown constants, while V C R 1 A ( G ) = w 1 , V C R 1 A ( x 1 ) = b 1 , V C R 1 A ( x 2 ) = d 1 , V R 1 R 1 A ( G ) = w 2 , V R 1 R 1 A ( x 1 ) = b 2 , V R 1 R 1 A ( x 2 ) = d 2 , V R 2 R 1 A ( G ) = w 3 , V R 2 R 1 A ( x 1 ) = b 3 , V R 2 R 1 A ( x 2 ) = d 3 , V C R 1 A ( G ) = 0 , V C R 1 A ( x 1 ) = 0 , V C R 1 A ( x 2 ) = 0 , V R 1 R 1 A ( G ) = 0 , V R 1 R 1 A ( x 1 ) = 0 , V R 1 R 1 A ( x 2 ) = 0 , V R 2 R 1 A ( G ) = 0 , V R 2 R 1 A ( x 1 ) = 0 , V R 2 R 1 A ( x 2 ) = 0 . Substitute it into Equation (A3) to obtain Equation (A5).
ρ V C R 1 A = ( 2 r μ w 1 δ ) G ( t ) + r η 1 x 1 ( t ) + ( b 1 b 2 λ 1 2 b 1 d 2 λ 1 τ 2 d 1 b 2 λ 1 τ 2 + d 1 d 2 τ 2 2 + r η 2 ) x 2 ( t ) + 1 2 w 1 2 α 2 + r ( a 1 + a 2 ) ρ V R 1 R 1 A = ( r 1 μ w 2 δ ) G ( t ) + r 1 η 1 x 1 ( t ) + ( 1 2 b 2 2 λ 1 2 + 1 2 d 2 2 τ 2 2 b 2 d 2 λ 1 τ 2 ) x 2 ( t ) + w 1 w 2 α 2 + r 1 a 1 ρ V R 2 R 1 A = ( r 2 μ w 3 δ ) G ( t ) + ( b 2 b 3 λ 1 2 d 2 b 3 λ 1 τ 2 b 2 d 3 λ 1 τ 2 + d 2 d 3 τ 2 2 + r 2 η 2 ) x 2 ( t ) + w 1 w 3 α 2 + r 2 a 2
From the coefficients of similar terms on both sides of the equation, we obtain the constraint equation for w 1 , w 2 , w 3 , b 1 , b 2 , b 3 , c 1 , c 2 , c 3 , d 1 , d 2 , d 3 , e 1 , e 2 , e 3 , f 1 , f 2 , f 3 :
ρ w 1 = 2 r μ w 1 δ , ρ w 2 = r 1 μ w 2 δ , ρ w 3 = r 2 μ w 3 δ ρ b 1 = r η 1 , ρ b 2 = r 1 η 1 , ρ b 3 = 0 ρ d 1 = b 1 b 2 λ 1 2 b 1 d 2 λ 1 τ 2 d 1 b 2 λ 1 τ 2 + d 1 d 2 τ 2 2 + r η 2 , ρ d 2 = 1 2 b 2 2 λ 1 2 + 1 2 d 2 2 τ 2 2 b 2 d 2 λ 1 τ 2 , ρ d 3 = b 2 b 3 λ 1 2 d 2 b 3 λ 1 τ 2 b 2 d 3 λ 1 τ 2 + d 2 d 3 τ 1 τ 2 + r 2 η 2 ρ f 1 = 1 2 w 1 2 α 2 + r ( a 1 + a 2 ) , ρ f 2 = w 1 w 2 α 2 + r 1 a 1 , ρ f 3 = w 1 w 3 α 2 + r 2 a 2
By solving Equation (A6), we obtain the following w 1 , w 2 , w 3 , b 1 , b 2 , b 3 , d 1 , d 2 , d 3 , f 1 , f 2 , f 3 :
w 1 = 2 r μ ρ + δ , w 2 = r 1 μ ρ + δ , w 3 = r 2 μ ρ + δ b 1 = r η 1 ρ , b 2 = r 1 η 1 ρ , b 3 = 0 d 1 = r η 2 + r η 1 λ 1 r 1 η 1 λ 1 ρ ρ + r 1 η 1 λ 1 τ 2 ρ + ρ ρ + 2 r 1 η 1 λ 1 τ 2 ρ τ 2 ρ ρ + τ 2 r 1 η 1 λ 1 ρ ρ + r 1 η 1 λ 1 τ 2 ρ + ρ ρ + 2 r 1 η 1 λ 1 τ 2 ρ τ 2 , d 2 = ρ + r 1 η 1 λ 1 τ 2 ρ + ρ ρ + 2 r 1 η 1 λ 1 τ 2 ρ τ 2 2 , d 3 = r 2 η 2 ρ + τ 2 r 1 η 1 λ 1 ρ ρ + r 1 η 1 λ 1 τ 2 ρ + ρ ρ + 2 r 1 η 1 λ 1 τ 2 ρ τ 2 f 1 = a 1 + a 2 r + 2 r 2 α 2 μ 2 δ + ρ 2 ρ , f 2 = a 1 r 1 + 2 r α 2 r 1 μ 2 δ + ρ 2 ρ , f 3 = a 2 r 2 + 2 r α 2 r 2 μ 2 δ + ρ 2 ρ
Substituting Equation (A7) into Equation (A2) yields:
M C R 1 A ( t ) = 2 r μ α ρ + δ A 1 R 1 A ( t ) = ( r 1 η 1 λ 1 ρ ρ + r 1 η 1 λ 1 τ 2 ρ ρ ρ + 2 r 1 η 1 λ 1 τ 2 ρ τ 2 ) x 2 ( t )
Substituting the obtained results into the equation G ˙ ( t ) = α M ( t ) δ G ( t ) yields the following data for the change in drug efficacy:
G ( t ) = 2 r μ α 2 δ δ + ρ + G 0 2 r μ α 2 δ δ + ρ e δ t
Substituting the above results into Equation x ˙ 1 t = λ 1 A 1 R 1 A t x 2 t x ˙ 2 t = τ 2 A 1 R 1 A t x 2 t yields the following data reflecting market changes as advertising is deployed:
x ˙ 1 t = λ 1 ( r 1 η 1 λ 1 ρ ρ + r 1 η 1 λ 1 τ 2 ρ ρ ρ + 2 r 1 η 1 λ 1 τ 2 ρ τ 2 ) x 2 ( t ) x ˙ 2 t = τ 2 ( r 1 η 1 λ 1 ρ ρ + r 1 η 1 λ 1 τ 2 ρ ρ ρ + 2 r 1 η 1 λ 1 τ 2 ρ τ 2 ) x 2 ( t )
Similarly, substituting the expressions for each decision variable yields the profit expression:
π C B A = 2 r 2 α 2 μ 2 δ + ρ 2 + r a 1 + a 2 + x 1 ( t ) η 1 + x 2 ( t ) η 2 + 2 μ 2 r μ α 2 δ δ + ρ + e δ t G 0 2 r μ α 2 δ δ + ρ π R 1 B A = 1 2 ( r 1 η 1 λ 1 ρ ρ + r 1 η 1 λ 1 τ 2 ρ ρ ρ + 2 r 1 η 1 λ 1 τ 2 ρ τ 2 ) 2 x 2 ( t ) + r 1 a 1 + x 1 ( t ) η 1 + μ 2 r μ α 2 δ δ + ρ + e δ t G 0 2 r μ α 2 δ δ + ρ π R 2 B A = r 2 a 2 + x 2 ( t ) η 2 + μ 2 r μ α 2 δ δ + ρ + e δ t G 0 2 r μ α 2 δ δ + ρ

Appendix B

Proof of Table 5 (R2A).
When calculating the NA model, λ 1 , λ 2 , τ 1 , τ 2 can be set to 0. When calculating the R1A model, λ 2 = 0 , τ 1 = 0 . When calculating the BA model, all λ 1 , λ 2 , τ 1 , τ 2 values must be included.
The optimal control problem for Manufacturer, Retailer 1, and Retailer 2 in the supply chain satisfies the following HJB equation:
ρ V C R 2 A = r ( a 1 + a 2 + 2 μ G ( t ) + η 1 x 1 ( t ) + η 2 x 2 ( t ) ) 1 2 M t 2 + V C R 2 A ( G ) ( α M t δ G t ) + V C R 2 A ( x 1 ) ( τ 1 A 2 t x 1 t ) + V C R 2 A ( x 2 ) ( λ 2 A 2 t x 1 t ) + σ 2 G V C R 2 A ( G ) 2 + σ 2 x 1 V C R 2 A ( x 1 ) 2 + σ 2 x 2 V C R 2 A ( x 2 ) 2 ρ V R 1 R 2 A = r 1 ( a 1 + μ G ( t ) + η 1 x 1 ( t ) ) + V R 1 R 2 A ( G ) ( α M t δ G t ) + V R 1 R 2 A ( x 1 ) ( τ 1 A 2 t x 1 t ) + V R 1 R 2 A ( x 2 ) ( λ 2 A 2 t x 1 t ) + σ 2 G V R 1 R 2 A ( G ) 2 + σ 2 x 1 V R 1 R 2 A ( x 1 ) 2 + σ 2 x 2 V R 1 R 2 A ( x 2 ) 2 ρ V R 2 R 2 A = r 2 ( a 2 + μ G ( t ) + η 2 x 2 ( t ) ) 1 2 A 2 t 2 + V R 2 R 2 A ( G ) ( α M t δ G t ) + V R 2 R 1 A ( x 1 ) ( τ 1 A 2 t x 1 t ) + V R 2 R 2 A ( x 2 ) ( λ 2 A 2 t x 1 t ) + σ 2 G V R 2 R 2 A ( G ) 2 + σ 2 x 1 V R 2 R 2 A ( x 1 ) 2 + σ 2 x 2 V R 2 R 2 A ( x 2 ) 2
Equation (A12) is a concave function with respect to A 2 R 2 A t , M C R 2 A t . Take the first derivative of the equation ρ V C R 1 A M t , ρ V R 2 R 2 A A 2 t for Manufacturer and Retailer 2:
M C R 2 A ( t ) = V C R 2 A ( G ) α A 2 R 2 A ( t ) = ( V R 2 B A ( x 2 ) λ 2 V R 2 B A ( x 1 ) τ 1 ) x 1 ( t )
Incorporate Equation (A13) into Equation (A12) and merge cells G , x 1 , x 2 :
ρ V C R 2 A = ( 2 r μ V C R 2 A ( G ) δ ) G t + ( V C R 2 A ( x 2 ) V R 2 R 2 A ( x 2 ) λ 1 2 V C R 2 A ( x 2 ) V R 2 R 2 A ( x 1 ) λ 2 τ 1 V C R 2 A ( x 1 ) V R 2 R 2 A ( x 2 ) λ 2 τ 1 + V C R 2 A ( x 1 ) V R 2 R 2 A ( x 1 ) τ 1 2 + r η 1 ) x 1 ( t ) + r η 2 x 2 ( t ) + 1 2 V C R 2 A ( G ) 2 α 2 + r ( a 1 + a 2 ) + σ 2 G V C R 2 A ( G ) 2 + σ 2 x 1 V C R 2 A ( x 1 ) 2 + σ 2 x 2 V C R 2 A ( x 2 ) 2 ρ V R 1 R 2 A = ( r 1 μ V R 1 R 2 A ( G ) δ ) G t + ( V R 1 R 2 A ( x 2 ) V R 2 R 2 A ( x 2 ) λ 1 2 V R 1 R 2 A ( x 2 ) V R 2 R 2 A ( x 1 ) λ 2 τ 1 V R 1 R 2 A ( x 1 ) V R 2 R 2 A ( x 2 ) λ 2 τ 1 + V R 1 R 2 A ( x 1 ) V R 2 R 2 A ( x 1 ) τ 1 2 + r 1 η 1 ) x 1 ( t ) + V R 1 R 2 A ( G ) V C R 2 A ( G ) α 2 + r 1 a 1 + σ 2 G V R 1 R 2 A ( G ) 2 + σ 2 x 1 V R 1 R 2 A ( x 1 ) 2 + σ 2 x 2 V R 1 R 2 A ( x 2 ) 2 ρ V R 2 R 2 A = ( r 2 μ V R 2 R 2 A ( G ) δ ) G t + ( 1 2 V R 2 R 2 A ( x 2 ) 2 λ 2 2 + 1 2 V R 2 R 2 A ( x 1 ) 2 τ 1 2 V R 2 R 2 A ( x 1 ) V R 2 R 2 A ( x 2 ) λ 2 τ 1 ) x 1 ( t ) + r 2 η 2 x 2 ( t ) + V R 2 R 2 A ( G ) V C R 2 A ( G ) α 2 + r 2 a 2 + σ 2 G V R 2 R 2 A ( G ) 2 + σ 2 x 1 V R 2 R 2 A ( x 1 ) 2 + σ 2 x 2 V R 2 R 2 A ( x 2 ) 2
Then, let the expression for function V C R 2 A ( G , x ) , V R 1 R 2 A ( G , x ) , V R 2 R 2 A ( G , x ) be
V C R 2 A = w 1 G + b 1 x 1 + d 1 x 2 + f 1 V R 1 R 2 A = w 2 G + b 2 x 1 + d 2 x 2 + f 2 V R 2 R 2 A = w 3 G + b 3 x 1 + d 3 x 2 + f 3
Among these, w 1 , w 2 , w 3 , b 1 , b 2 , b 3 , c 1 , c 2 , c 3 , d 1 , d 2 , d 3 , e 1 , e 2 , e 3 , f 1 , f 2 , f 3 are all unknown constants, while V C R 2 A ( G ) = w 1 , V C R 2 A ( x 1 ) = b 1 , V C R 2 A ( x 2 ) = d 1 , V R 1 R 2 A ( G ) = w 2 , V R 1 R 2 A ( x 1 ) = b 2 , V R 1 R 2 A ( x 2 ) = d 2 , V R 2 R 2 A ( G ) = w 3 , V R 2 R 2 A ( x 1 ) = b 3 , V R 2 R 2 A ( x 2 ) = d 3 , V C R 2 A ( G ) = 0 , V C R 2 A ( x 1 ) = 0 , V C R 2 A ( x 2 ) = 0 , V R 1 R 2 A ( G ) = 0 , V R 1 R 2 A ( x 1 ) = 0 , V R 1 R 2 A ( x 2 ) = 0 , V R 2 R 2 A ( G ) = 0 , V R 2 R 2 A ( x 1 ) = 0 , V R 2 R 2 A ( x 2 ) = 0 , when substituted into Equation (A14) yields.
ρ V C R 1 A = ( 2 r μ w 1 δ ) G ( t ) + r η 1 x 1 ( t ) + ( b 1 b 2 λ 1 2 b 1 d 2 λ 1 τ 2 d 1 b 2 λ 1 τ 2 + d 1 d 2 τ 2 2 + r η 2 ) x 2 ( t ) + 1 2 w 1 2 α 2 + r ( a 1 + a 2 ) ρ V R 1 R 1 A = ( r 1 μ w 2 δ ) G ( t ) + r 1 η 1 x 1 ( t ) + ( 1 2 b 2 2 λ 1 2 + 1 2 d 2 2 τ 2 2 b 2 d 2 λ 1 τ 2 ) x 2 ( t ) + w 1 w 2 α 2 + r 1 a 1 ρ V R 2 R 1 A = ( r 2 μ w 3 δ ) G ( t ) + ( b 2 b 3 λ 1 2 d 2 b 3 λ 1 τ 2 b 2 d 3 λ 1 τ 2 + d 2 d 3 τ 2 2 + r 2 η 2 ) x 2 ( t ) + w 1 w 3 α 2 + r 2 a 2
By examining the coefficients of similar terms on both sides of the equation, we can derive the following constraint equation for w 1 , w 2 , w 3 , b 1 , b 2 , b 3 , c 1 , c 2 , c 3 , d 1 , d 2 , d 3 , e 1 , e 2 , e 3 , f 1 , f 2 , f 3 :
ρ w 1 = 2 r μ δ w 1 , ρ w 2 = r 1 μ δ w 2 , ρ w 3 = r 2 μ δ w 3 ρ b 1 = d 1 d 3 λ 1 2 d 1 b 3 λ 2 τ 1 b 1 d 3 λ 2 τ 1 + b 1 b 3 τ 1 2 + r η 1 , ρ b 2 = d 2 d 3 λ 1 2 d 2 b 3 λ 2 τ 1 b 2 d 3 λ 2 τ 1 + b 2 b 3 τ 1 2 + r 1 η 1 , ρ b 3 = 1 2 d 3 2 λ 2 2 + 1 2 b 3 2 τ 1 2 b 3 d 3 λ 2 τ 1 ρ d 1 = r η 2 , ρ d 2 = 0 , ρ d 3 = r 2 η 2 ρ f 1 = w 1 2 α 2 2 + r ( a 1 + a 2 ) , ρ f 2 = w 2 w 1 α 2 + r 1 a 1 , ρ f 3 = w 3 w 1 α 2 + r 2 a 2
By solving Equation (A17), we can obtain w 1 , w 2 , w 3 , b 1 , b 2 , b 3 , d 1 , d 2 , d 3 , f 1 , f 2 , f 3 :
w 1 = 2 r μ ρ + δ , w 2 = r 1 μ ρ + δ , w 3 = r 2 μ ρ + δ b 1 = r η 1 + r η 2 λ 2 r 2 η 2 λ 2 ρ ρ + d 3 λ 2 τ 1 ρ ρ + 2 d 3 λ 2 τ 1 τ 1 ρ ρ + τ 1 r 2 η 2 λ 2 ρ ρ + d 3 λ 2 τ 1 ρ ρ + 2 d 3 λ 2 τ 1 τ 1 , b 2 = r 1 η 1 ρ + τ 1 r 2 η 2 λ 2 ρ ρ + d 3 λ 2 τ 1 ρ ρ + 2 d 3 λ 2 τ 1 τ 1 b 3 = ρ + d 3 λ 2 τ 1 ρ ρ + 2 d 3 λ 2 τ 1 τ 1 2 d 1 = r η 2 ρ , d 2 = 0 , d 3 = r 2 η 2 ρ f 1 = a 1 + a 2 r + 2 r 2 α 2 μ 2 δ + ρ 2 ρ , f 2 = a 1 r 1 + 2 r α 2 r 1 μ 2 δ + ρ 2 ρ , f 3 = a 2 r 2 + 2 r α 2 r 2 μ 2 δ + ρ 2 ρ
Substituting Equation (A18) into Equation (A13) yields:
M C R 2 A ( t ) = 2 r μ α ρ + δ A R 2 R 2 A ( t ) = ( r 2 η 2 λ 2 ρ ρ + r 2 η 2 λ 2 τ 1 ρ + ρ ρ + 2 r 2 η 2 λ 2 τ 1 ρ τ 1 ) x 1 ( t )
Similarly, substituting the expressions for each decision variable yields the profit expression:
π C R 2 A = 2 r 2 α 2 μ 2 δ + ρ 2 + r a 1 + a 2 + x 1 ( t ) η 1 + x 2 ( t ) η 2 + 2 μ G ( t ) π R 1 R 2 A = r 1 a 1 + x 1 ( t ) η 1 + μ G ( t ) π R 2 R 2 A = 1 2 ( r 2 η 2 λ 2 ρ ρ + r 2 η 2 λ 2 τ 1 ρ + ρ ρ + 2 r 2 η 2 λ 2 τ 1 ρ τ 1 ) 2 x 1 ( t ) + r 2 a 2 + x 2 ( t ) η 2 + μ G ( t )
Under random disturbances, solve for the expected value and variance of medicinal herb quality variation data when the cooperative invests at the optimal level of big data. Substituting the equilibrium big data level from the proposition yields the following simplified expression:
d G t = 2 r μ α 2 δ δ + ρ δ G ( t ) d t + σ G ( t ) d w ( t ) d x 1 t = [ τ 1 ( r 2 η 2 λ 2 ρ ρ + r 2 η 2 λ 2 τ 1 ρ + ρ ρ + 2 r 2 η 2 λ 2 τ 1 ρ τ 1 ) x 1 ( t ) ] d ( t ) + σ x 1 ( t ) d w ( t ) d x 2 t = [ λ 2 ( r 2 η 2 λ 2 ρ ρ + r 2 η 2 λ 2 τ 1 ρ + ρ ρ + 2 r 2 η 2 λ 2 τ 1 ρ τ 1 ) x 1 ( t ) ] d ( t ) + σ x 2 ( t ) d w ( t ) G 0 = G 0 > 0 , x 0 = x 0 > 0
Using the simulation method of Prasad et al. [28], the discretization yields:
G ( t + Δ t ) = G ( t ) + [ 2 r μ α 2 δ δ + ρ δ G ( t ) ] Δ t + σ G ( t ) Δ t Ψ ( t ) x 1 ( t + Δ t ) = x 1 ( t ) + [ λ 1 ( r 1 η 1 λ 1 ρ ρ + r 1 η 1 λ 1 τ 2 ρ + ρ ρ + 2 r 1 η 1 λ 1 τ 2 ρ τ 2 ) x 2 ( t ) ] Δ t + σ x 1 ( t ) Δ t Ψ ( t ) x 2 ( t + Δ t ) = x 2 ( t ) + [ τ 2 ( r 1 η 1 λ 1 ρ ρ + r 1 η 1 λ 1 τ 2 ρ + ρ ρ + 2 r 1 η 1 λ 1 τ 2 ρ τ 2 ) x 2 ( t ) ] Δ t + σ x 2 ( t ) Δ t Ψ ( t )

Appendix C

Proof of advertising placement data for head brands and newcomer brands
Figure A1. 2024 advertising placements (days).
Figure A1. 2024 advertising placements (days).
Mathematics 14 00075 g0a1
Figure A2. 2024 advertising expenditure (ten thousand).
Figure A2. 2024 advertising expenditure (ten thousand).
Mathematics 14 00075 g0a2
Table A1. Advertising placement data for head brands and newcomer brands.
Table A1. Advertising placement data for head brands and newcomer brands.
2024 Advertising Placements (Days)
Jan.Feb.Mar.Apr.MayJun.Jul.Aug.Sept.Oct.Nov.Dec.
Judo11220002107111
Helena Rubinstein630120001000
2024 Advertising Expenditure (Ten Thousand)
Jan.Feb.Mar.Apr.MayJun.Jul.Aug.Sept.Oct.Nov.Dec.
Judo6.33.390.460001.41.4103.527.080.65
Helena Rubinstein3.030.85020.610.3500011.83000

Appendix D

Proof of Lemma 2.
(i) Proof of x ˙ R 1 Size Comparison under Scenarios R1A and R2A:
x ˙ R 1 R 1 A ( t ) x ˙ R 1 R 2 A ( t ) = λ 1 ( r 1 η 1 λ 1 ρ ρ + r 1 η 1 λ 1 τ 2 ρ ρ ρ + 2 r 1 η 1 λ 1 τ 2 ρ τ 2 ) x 2 ( t ) + τ 1 ( r 2 η 2 λ 2 ρ ρ + r 2 η 2 λ 2 τ 1 ρ ρ ρ + 2 r 2 η 2 λ 2 τ 1 ρ τ 1 ) x 1 ( t ) = x 1 ( t ) ρ + ρ ρ + 2 r 2 η 2 λ 2 τ 1 ρ + x 2 ( t ) λ 1 ρ + ρ ρ + 2 r 1 η 1 λ 1 τ 2 ρ τ 2
Since x 1 ( t ) = x 2 ( t ) , λ 1 = λ 2 , τ 1 = τ 2 implies ρ + 2 r 1 η 1 λ 1 τ 2 ρ > ρ at this point, the growth rate x ˙ R 1 R 1 A ( t ) > x ˙ R 1 R 2 A ( t ) of market share resulting from advertising placement is thus demonstrated.
(ii) Proof of x ˙ R 2 Size Comparison under Scenarios R1A and R2A:
x ˙ R 2 R 1 A ( t ) x ˙ R 2 R 2 A ( t ) = τ 2 ( r 1 η 1 λ 1 ρ ρ + r 1 η 1 λ 1 τ 2 ρ ρ ρ + 2 r 1 η 1 λ 1 τ 2 ρ τ 2 ) x 2 ( t ) λ 2 ( r 2 η 2 λ 2 ρ ρ + r 2 η 2 λ 2 τ 1 ρ ρ ρ + 2 r 2 η 2 λ 2 τ 1 ρ τ 1 ) x 1 ( t ) = x 1 ( t ) λ 2 ρ ρ ρ + 2 r 2 η 2 λ 2 τ 1 ρ τ 1 + x 2 ( t ) ρ ρ ρ + 2 r 1 η 1 λ 1 τ 2 ρ

Appendix E

Proof of Proposition 1.
Taking the R1A market as an example, transforming the x 1 ( t + Δ t ) in the R1A market equation into the Fokker–Planck function [29] yields:
f ( x 1 ) t + [ λ 1 ( r 1 η 1 λ 1 ρ ρ + r 1 η 1 λ 1 τ 2 ρ + ρ ρ + 2 r 1 η 1 λ 1 τ 2 ρ τ 2 ) x 1 ( t ) ] f ( x 1 ) x 1 1 2 2 [ σ 2 x 1 ( t ) f ( x 1 ) ] x 1 2 = 0
In the symmetric market, where x 1 ( t ) = x 2 ( t ) represents the probability distribution function of the market share x, and f(x) denotes the probability distribution function of the market share x, we may assume f ( x 1 ) t = 0 to study the system’s stability. Simplifying Equation (A25) yields Equation (A26):
σ 2 x 1 ( t ) f ( x 1 ) 2 [ λ 1 ( r 1 η 1 λ 1 ρ ρ + r 1 η 1 λ 1 τ 2 ρ + ρ ρ + 2 r 1 η 1 λ 1 τ 2 ρ τ 2 ) x 1 ( t ) σ 2 ] f ( x 1 ) + 2 λ 1 ( r 1 η 1 λ 1 ρ ρ + r 1 η 1 λ 1 τ 2 ρ + ρ ρ + 2 r 1 η 1 λ 1 τ 2 ρ τ 2 ) f ( x 1 ) = 0
Let f = f 1 , f 2 = d f 1 d x 1 , and transform Equation (A26) into the following system equation:
d f 1 d x 1 = f 2 d f 2 d x 1 = 2 σ 2 x 1 ( t ) [ λ 1 ( r 1 η 1 λ 1 ρ ρ + r 1 η 1 λ 1 τ 2 ρ ρ ρ + 2 r 1 η 1 λ 1 τ 2 ρ τ 2 ) x 1 ( t ) σ 2 ] f 2 2 f 1 λ 1 σ 2 x 1 ( t ) ( r 1 η 1 λ 1 ρ ρ + r 1 η 1 λ 1 τ 2 ρ ρ ρ + 2 r 1 η 1 λ 1 τ 2 ρ τ 2 )
Equation (A27) is a second-order nonlinear differential equation for which no analytical solution can be provided. To assess the stability of the system, a Lyapunov function must be introduced. Let the Lyapunov function be defined as:
G ( f 1 , f 2 , x ) = f 1 2 [ 1 + 2 λ 1 σ 2 x 1 ( t ) ( r 1 η 1 λ 1 ρ ρ + r 1 η 1 λ 1 τ 2 ρ ρ ρ + 2 r 1 η 1 λ 1 τ 2 ρ τ 2 ) ] + f 2 2
In Equation (A28), the existence of f 1 2 + f 2 2 < G ( f 1 , f 2 , x ) < f 1 2 [ 1 + 2 λ 1 σ 2 x 1 ( t ) ( r 1 η 1 λ 1 ρ ρ + r 1 η 1 λ 1 τ 2 ρ ρ ρ + 2 r 1 η 1 λ 1 τ 2 ρ τ 2 ) ] + f 2 2 implies that G ( f 1 , f 2 , x ) is a positive definite function. Subsequently, it suffices to examine the properties of the total derivative of G ( f 1 , f 2 , x ) . Taking the total derivative of G ( f 1 , f 2 , x ) yields:
G ˙ ( f 1 , f 2 , x ) = ( f 1 f 2 ) 2 ( 1 + ρ 2 A σ 2 x 1 ( t ) ) f 1 2 4 f 2 ( 1 4 + ρ 2 A 2 σ 2 + 1 x 1 ( t ) ρ 2 A 2 σ 2 x 1 ( t ) )
Among these, A = 2 λ 1 σ 2 ( ρ 2 + 2 r 1 η 1 λ 1 τ 2 ρ τ 2 ) holds, and since ρ 2 + 2 r 1 η 1 λ 1 τ 2 ρ 2 > 0 is always true, A > 0 follows.

Appendix F

Proof of Corollary 2.
The optimal control problem for supply chain members in n-dimensional space satisfies the following HJB equation:
ρ V i C = r n a i + μ G ( t ) + x i ( t ) η i 1 2 M ( t ) 2 + V i ( G ) M ( t ) α δ G ( t ) + n V i ( x i ) λ A ( t ) n 1 x i ( t ) τ A ( t ) n 1 x i ( t ) ρ V i R = r i a i + μ G ( t ) + x i ( t ) η i 1 2 A ( t ) 2 + V i ( G ) M ( t ) α δ G ( t ) + n V i ( x i ) λ A ( t ) n 1 x i ( t ) τ A ( t ) n 1 x i ( t )
Equation (A30) is a concave function with respect to A t , M t and can be derived using first-order conditions:
M ( t ) = V i ( G ) α A i ( t ) = n V R ( x i ) λ n 1 x i ( t ) + τ ( n 1 ) x i ( t )
Incorporate Equation (A31) into Equation (A30) and merge cells G, x1:
ρ V i C = ( n r i μ δ V i ( G ) ) G ( t ) + x i ( t ) ( n r i η i + n 1 n 2 V i ( x i ) V R ( x i ) λ 2 2 λ τ n 1 + n 1 τ 2 + 1 2 V i ( G ) 2 α 2 + n r i a i ρ V i R = ( r i μ δ V R ( G ) ) G ( t ) + x i ( t ) r i η i + 1 2 n 1 n 2 V R ( x i ) 2 λ 2 2 λ τ n 1 + n 1 τ 2 + V i ( G ) V R ( G ) α 2 + r i a i
Then, let the expression for function V i C ( G , x i ) , V i R ( G , x i ) be
V i C = w 1 G + c 1 x i + f 1 V i R = w 2 G + c 2 x i + f 2
Among these, w 1 , w 2 , c 1 , c 2 , f 1 , f 2 are all unknown constants, while V i ( G ) = w 1 , V i ( x i ) = c 1 , V R ( G ) = w 2 , V R ( x i ) = c 2 , when substituted into Equation (A32), yields.
ρ V i C = ( n r i μ δ w 1 ) G ( t ) + x i ( t ) ( n r i η i + n 1 n 2 c 1 c 2 λ 2 2 λ τ n 1 + n 1 τ 2 ) + 1 2 w 1 2 α 2 + n r i a i ρ V i R = ( r i μ δ w 2 ) G ( t ) + x i ( t ) ( r i η i + 1 2 n 1 n 2 c 2 2 λ 2 2 λ τ n 1 + n 1 τ 2 ) + w 1 w 2 α 2 + r i a i
By examining the coefficients of similar terms on both sides of the equation, we can derive the following constraint equation for w 1 , w 2 , c 1 , c 2 , f 1 , f 2 :
ρ w 1 = n r μ δ w 1 , ρ w 2 = r i μ δ w 2 ρ c 1 = n r η i + n 1 n 2 c 1 c 2 λ 2 2 λ τ n 1 + n 1 τ 2 , ρ c 2 = r i η i + 1 2 n 1 n 2 c 2 2 λ 2 2 λ τ n 1 + n 1 τ 2 ρ f 1 = 1 2 w 1 2 α 2 + n r a i , ρ f 2 = w 1 w 2 α 2 + r i a i
w 1 = n r μ ρ + δ , w 2 = r i μ ρ + δ c 1 = n r η i ρ 2 n 1 n 2 r i η i λ 2 2 λ τ n 1 + n 1 τ 2 ρ + ρ 2 2 n 1 n 2 r i η i λ 2 2 λ τ n 1 + n 1 τ 2 , c 2 = 2 r i η i ρ + ρ 2 2 n 1 n 2 r i η i λ 2 2 λ τ n 1 + n 1 τ 2 f 1 = 1 2 ( n r μ ρ + δ ) 2 α 2 + n r a i ρ , f 2 = n r r i μ 2 ( ρ + δ ) 2 α 2 + r i a i ρ
Substituting Equation (A36) into Equation (A31) yields:
M ( t ) = n r μ α ρ + δ A i ( t ) = 2 n r i η i λ n 1 x i ( t ) + τ ( n 1 ) x i ( t ) ρ + ρ 2 2 n 1 n 2 r i η i λ 2 2 λ τ n 1 + n 1 τ 2
Substituting the obtained results into equation G ˙ ( t ) = α M ( t ) δ G ( t ) yields the following calculated data for the change in drug efficacy:
G ( t ) = n r μ α 2 δ δ + ρ + G 0 n r μ α 2 δ δ + ρ e δ t
Substituting the above results into Equation x ˙ i t = λ A i t ( n 1 ) x i t τ ( n 1 ) A i t x i t yields the following data reflecting market changes as advertising is deployed:
x ˙ i t = 2 n r i η i λ 2 n 1 x i ( t ) 2 λ τ x i ( t ) ( n 1 ) n 1 + τ 2 ( n 1 ) 2 x i ( t ) ρ + ρ 2 2 n 1 n 2 r i η i λ 2 2 λ τ n 1 + n 1 τ 2
Similarly, substituting the expressions for each decision variable yields the following Equation for the market size:
D = n ( a i + μ ( n r μ α 2 δ δ + ρ + G 0 n r μ α 2 δ δ + ρ e δ t ) + η i x i t )
According to Equation (A39), x i ( t ) = 2 n r i η i λ n 1 x i ( t ) + τ ( n 1 ) x i ( t ) ρ + ρ 2 2 n 1 n 2 r i η i λ 2 2 λ τ n 1 + n 1 τ 2 , ρ 2 > 2 n 1 n 2 r i η i λ 2 2 λ τ n 1 + n 1 τ 2 holds true.
When n = 1, there are no competitors in the market, so no advertising is required. When n = 2, D ( n * ) = 4 r i η i x i t λ i x i t τ i 2 ρ + ρ 2 8 r i η i λ i 2 2 λ i τ i + τ i 2 , if λ = τ , ρ 2 0 holds true, then D ( n * ) > 0 . If λ τ , then ρ 2 8 n 2 r i η i λ τ 2 satisfies the equation D ( n * ) > 0 . When n = 3, D ( n * ) = 6 r i η i 2 x i t λ i 2 x i t τ i 2 ρ + ρ 2 36 r i η i λ i 2 τ i 2 , and when n = 4, D ( n * ) = 8 r i η i 3 x i t λ i 3 x i t τ i 2 ρ + ρ 2 96 r i η i λ i 3 τ i 2 , similarly, it can be proven that D ( n * ) > 0 , but its range is uncertain. Therefore, simulation analysis is employed, r = 1.5, ri = 0.7, λi = 0.3, τi = 0.5 are selected, with remaining values retained from Table 5. The results are shown in Figure 17.

Appendix G. Robustness Tests

Table A2. Effect of t on D i t ,     A i t π c ,     π R i . We use → to denote the steady phase, ↗ to denote the rising phase, and ↘ to denote the falling phase.
Table A2. Effect of t on D i t ,     A i t π c ,     π R i . We use → to denote the steady phase, ↗ to denote the rising phase, and ↘ to denote the falling phase.
System DynamicCharacteristics ParametersTrendsOptimal Strategy
Stable Environment D t →↗R2A/BA
D 1 t →↗R1A/BA
D 2 t →↗R2A
A 1 t ↘↗↘ or ↘R1A/BA
A 2 t ↘↗↘ or ↘R2A/BA
π c →↗R2A
π M →↗R2A
π R 1 →↗R1A/BA
π R 2 →↗R2A

References

  1. Jorgensen, S.; Taboubi, S.; Zaccour, G. Cooperative advertising in a marketing channel. J. Optim. Theory Appl. 2001, 110, 145–158. [Google Scholar] [CrossRef]
  2. He, Y.; Wang, H.; Guo, Q.; Xu, Q.Y. Coordination through cooperative advertising in a two-period consumer electronics supply chain. J. Retail. Consum. Serv. 2019, 50, 179–188. [Google Scholar] [CrossRef]
  3. Dass, M.; Reshadi, M.; Li, Y.W. An exploration of ripple effects of advertising among major suppliers in a supply chain network. J. Bus. Res. 2023, 169, 114299. [Google Scholar] [CrossRef]
  4. Asghari, M.; Afshari, H.; Al-e-hashem, S.; Fathollahi-Fard, A.M.; Dulebenets, M.A. Pricing and advertising decisions in a direct-sales closed-loop supply chain. Comput. Ind. Eng. 2022, 171, 108439. [Google Scholar] [CrossRef]
  5. Li, X.; Li, Y.J.; Cao, W.J. Cooperative advertising models in O2O supply chains. Int. J. Prod. Econ. 2019, 215, 144–152. [Google Scholar] [CrossRef]
  6. Tu, J.; Gao, F.Y.; Huang, M. Dynamic quality and advertising strategies in product-harm crises: The role of supply chain power structure. Comput. Ind. Eng. 2024, 192, 110243. [Google Scholar] [CrossRef]
  7. Bi, G.B.; Liu, Y.H.; Wang, P.F. Financing an online newsvendor with considering the impact of advertising strategy. Int. J. Prod. Res. 2024, 62, 7205–7225. [Google Scholar] [CrossRef]
  8. Aust, G.; Buscher, U. Cooperative advertising models in supply chain management: A review. Eur. J. Oper. Res. 2014, 234, 1–14. [Google Scholar] [CrossRef]
  9. Yang, M.Y.; Fu, M.T.; Zhang, Z.H. The adoption of digital technologies in supply chains: Drivers, process and impact. Technol. Forecast. Soc. Change 2021, 169, 120795. [Google Scholar] [CrossRef]
  10. Benzidia, S.; Makaoui, N.; Bentahar, O. The impact of big data analytics and artificial intelligence on green supply chain process integration and hospital environmental performance. Technol. Forecast. Soc. Change 2021, 165, 120557. [Google Scholar] [CrossRef]
  11. Mwangakala, H.A.; Mongi, H.; Ishengoma, F.; Shao, D.; Chali, F.; Mambile, C.; Julius, B. Emerging digital technologies potential in promoting equitable agricultural supply chain: A scoping review. Technol. Forecast. Soc. Change 2024, 208, 123630. [Google Scholar] [CrossRef]
  12. Arunmozhi, M.; Venkatesh, V.G.; Arisian, S.; Shi, Y.Y.; Sreedharan, V.R. Application of blockchain and smart contracts in autonomous vehicle supply chains: An experimental design. Transp. Res. Part E-Logist. Transp. Rev. 2022, 165, 102864. [Google Scholar] [CrossRef]
  13. Escribà-Gelonch, M.; Liang, S.; van Schalkwyk, P.; Fisk, I.; Long, N.V.D.; Hessel, V. Digital Twins in Agriculture: Orchestration and Applications. J. Agric. Food Chem. 2024, 72, 10737–10752. [Google Scholar] [CrossRef] [PubMed]
  14. Fang, X.B.; Liu, M.T. How does the digital transformation drive digital technology innovation of enterprises? Evidence from enterprise’s digital patents. Technol. Forecast. Soc. Change 2024, 204, 123428. [Google Scholar] [CrossRef]
  15. Liu, J.; Wang, Q.B.; Wei, C.Y. Unleashing Green Innovation in Enterprises: The Transformative Power of Digital Technology Application, Green Human Resource, and Digital Innovation Networks. Systems 2024, 12, 11. [Google Scholar] [CrossRef]
  16. Li, Y.; Xu, X.Y.; Duan, Z.X. The impact of digital technologies on eco-efficiency: Evidence from ICT patents. Environ. Sustain. Indic. 2025, 26, 100675. [Google Scholar] [CrossRef]
  17. Wei, J.; Chen, W.Y.; Liu, G.X. How manufacturer’s integration strategies affect closed-loop supply chain performance. Int. J. Prod. Res. 2021, 59, 4287–4305. [Google Scholar] [CrossRef]
  18. Zhu, X.X.; Liu, K.; Liu, J.; Yan, A. Is government R&D subsidy good for BEV supply chain? The challenge from downstream competition. Comput. Ind. Eng. 2022, 165, 107951. [Google Scholar] [CrossRef]
  19. Chen, P.Y.; Liu, X.; Wang, Q.; Zhou, P. The Implications of Competition on Strategic Inventories Considering Manufacturer-to-Consumer Rebates. Omega-Int. J. Manag. Sci. 2022, 107, 102541. [Google Scholar] [CrossRef]
  20. Yun, X.; Ye, Y.Y.; Li, Y.; Lai, K.K. Competition intensity uncertainty and information leakage incentive in supply chain. Ann. Oper. Res. 2024, 9, 2429–2437. [Google Scholar] [CrossRef]
  21. Wang, Z.R.; Wu, Q.H. Carbon emission reduction and product collection decisions in the closed-loop supply chain with cap-and-trade regulation. Int. J. Prod. Res. 2021, 59, 4359–4383. [Google Scholar] [CrossRef]
  22. Zhou, Y.J.; Ye, X. Differential game model of joint emission reduction strategies and contract design in a dual-channel supply chain. J. Clean. Prod. 2018, 190, 592–607. [Google Scholar] [CrossRef]
  23. Vidale, M.L.; Wolfe, H.B. An operations-research study of sales response to advertising. Oper. Res. 1957, 5, 370–381. [Google Scholar] [CrossRef]
  24. Jorgensen, S.; Zaccour, G. A differential game of retailer promotions. Automatica 2003, 39, 1145–1155. [Google Scholar] [CrossRef]
  25. Babić, D.; Kalić, M. Modeling the selection of airline network structure in a competitive environment. J. Air Transp. Manag. 2018, 66, 42–52. [Google Scholar] [CrossRef]
  26. Agrawal, A.; Mukherjee, U.K. The Impact of a Buyer’s Incentives and Organizational Structure on Suppliers’ Quality. J. Oper. Manag. 2025, 5, 26–29. [Google Scholar] [CrossRef]
  27. Niu, C.C.; Wang, H.B. N-dimensional fractional Hardy operators with rough kernels on central NiuMorrey spaces with variable exponents. AIMS Math. 2023, 8, 10379–10394. [Google Scholar] [CrossRef]
  28. Prasad, A.; Sethi, S.P.; Naik, P.A. Understanding the impact of churn in dynamic oligopoly markets. Automatica 2012, 48, 2882–2887. [Google Scholar] [CrossRef]
  29. Wu, F.F.; Shi, W.P.; Liu, F. A lattice Boltzmann model for the Fokker-Planck equation. Commun. Nonlinear Sci. Numer. Simul. 2021, 17, 2776–2790. [Google Scholar] [CrossRef]
Figure 1. Supply chain decision sequence.
Figure 1. Supply chain decision sequence.
Mathematics 14 00075 g001
Figure 2. Logic diagram of supply chain advertising placement strategy based on data platform.
Figure 2. Logic diagram of supply chain advertising placement strategy based on data platform.
Mathematics 14 00075 g002
Figure 3. Trend of retailers’ market share over time.
Figure 3. Trend of retailers’ market share over time.
Mathematics 14 00075 g003
Figure 4. Trend of manufacturer’s market share over time.
Figure 4. Trend of manufacturer’s market share over time.
Mathematics 14 00075 g004
Figure 5. Trend of R1’s advertising costs over time.
Figure 5. Trend of R1’s advertising costs over time.
Mathematics 14 00075 g005
Figure 6. Trend of R2’s advertising costs over time.
Figure 6. Trend of R2’s advertising costs over time.
Mathematics 14 00075 g006
Figure 7. Trend of retailer profit over time.
Figure 7. Trend of retailer profit over time.
Mathematics 14 00075 g007
Figure 8. Trend of manufacturer profit over time.
Figure 8. Trend of manufacturer profit over time.
Mathematics 14 00075 g008
Figure 9. Trend of supply chain profit over time.
Figure 9. Trend of supply chain profit over time.
Mathematics 14 00075 g009
Figure 10. Trend of retailer profit with variations in M(t) and A(t). (a) R1 Profit; (b) R2 Profit.
Figure 10. Trend of retailer profit with variations in M(t) and A(t). (a) R1 Profit; (b) R2 Profit.
Mathematics 14 00075 g010
Figure 11. Trend of manufacturer profit with variations in M(t) and A(t).
Figure 11. Trend of manufacturer profit with variations in M(t) and A(t).
Mathematics 14 00075 g011
Figure 12. Trend of supply chain profit with variations in M(t) and A(t).
Figure 12. Trend of supply chain profit with variations in M(t) and A(t).
Mathematics 14 00075 g012
Figure 13. A1(t) dynamic chart over time.
Figure 13. A1(t) dynamic chart over time.
Mathematics 14 00075 g013
Figure 14. A2(t) dynamic chart over time.
Figure 14. A2(t) dynamic chart over time.
Mathematics 14 00075 g014
Figure 15. Dynamic chart of asymmetric market profits over time.
Figure 15. Dynamic chart of asymmetric market profits over time.
Mathematics 14 00075 g015
Figure 16. Symmetrical market supply chain logic diagram.
Figure 16. Symmetrical market supply chain logic diagram.
Mathematics 14 00075 g016
Figure 17. Trend chart showing the total market share over time for n = 3 and n = 4.
Figure 17. Trend chart showing the total market share over time for n = 3 and n = 4.
Mathematics 14 00075 g017
Table 1. Key symbols.
Table 1. Key symbols.
Decision Variables and Explanations
Cm(t)Big Data Technology Costs
CA(t)Retailers’ advertising investment costs
w t Standard Wiener process
Target Variables and Descriptions
M t Level of Investment in Big Data Technology
A t Advertising investment intensity
G t The Impact of Big Data Technology on Market Share
x t The Impact of Advertising Expenditures on Market Share
D t Market Share, D t 0 , 1
π c t Manufacturer profit
π R 1 t Retailer 1 Profit
π R 2 t Retailer 2 Profit
Related Parameters and Explanations
μThe impact of product quality on market demand, μ 0 , 1
ηConsumer preferences, η 0 , 1
aBasic market demand, a 0 , 1
rUnit Profit Margin, r > 0
α Sensitivity of Manufacturers’ Big Data Technology Investments, α > 0
G0Initial product quality, G 0 0
δ Deterioration of product quality over time, δ > 0
λ Retailers’ Advertising Effectiveness, λ > 0
τ Advertising decay constant, τ > 0
ρ Discount rate, ρ > 0
σ Market Random Disturbance Coefficient in Stochastic Disturbance Models, σ > 0
Table 2. Optimal solutions for different strategies.
Table 2. Optimal solutions for different strategies.
ScenariosOptimal Solutions
M ( t ) / A ( t ) G ( t ) / x ( t )
NA M ˜ C N A ( t ) = 2 r μ α ρ + δ G ˜ ( t ) = 2 r α 2 μ δ δ + ρ + G 0 2 r α 2 μ δ δ + ρ e δ t
R1A M C R 1 A ( t ) = 2 r μ α ρ + δ A 1 R 1 A ( t ) = ( r 1 η 1 λ 1 ρ ρ + r 1 η 1 λ 1 τ 2 ρ ρ ρ + 2 r 1 η 1 λ 1 τ 2 ρ τ 2 2 ) x 2 ( t ) G ( t ) = 2 r α 2 μ δ δ + ρ + G 0 2 r α 2 μ δ δ + ρ e δ t x ˙ 1 t = λ 1 ( r 1 η 1 λ 1 ρ ρ + r 1 η 1 λ 1 τ 2 ρ ρ ρ + 2 r 1 η 1 λ 1 τ 2 ρ τ 2 ) x 2 ( t ) x ˙ 2 t = τ 2 ( r 1 η 1 λ 1 ρ ρ + r 1 η 1 λ 1 τ 2 ρ ρ ρ + 2 r 1 η 1 λ 1 τ 2 ρ τ 2 ) x 2 ( t )
R2A M C R 2 A ( t ) = 2 r μ α ρ + δ A 2 R 2 A ( t ) = ( r 2 η 2 λ 2 ρ ρ + r 2 η 2 λ 2 τ 1 ρ ρ ρ + 2 r 2 η 2 λ 2 τ 1 ρ τ 1 ) x 1 ( t ) G ( t ) = 2 r α 2 μ δ δ + ρ + G 0 2 r α 2 μ δ δ + ρ e δ t x ˙ 1 t = τ 1 ( r 2 η 2 λ 2 ρ ρ + r 2 η 2 λ 2 τ 1 ρ + ρ ρ + 2 r 2 η 2 λ 2 τ 1 ρ τ 1 ) x 1 ( t ) x ˙ 2 t = λ 2 ( r 2 η 2 λ 2 ρ ρ + r 2 η 2 λ 2 τ 1 ρ + ρ ρ + 2 r 2 η 2 λ 2 τ 1 ρ τ 1 ) x 1 ( t )
BA M ˜ C B A ( t ) = 2 r μ α ρ + δ A ˜ 1 B A ( t ) = ( b 2 λ 1 d 2 τ 2 ) x 2 ( t ) A ˜ 2 B A ( t ) = ( d 3 λ 2 b 3 τ 1 ) x 1 t G ˜ ( t ) = 2 r μ α 2 δ δ + ρ + G 0 2 r μ α 2 δ δ + ρ e δ t x ˙ 1 t = λ 1 ( b 2 λ 1 d 2 τ 2 ) x 2 t ( d 3 λ 2 b 3 τ 1 ) x 1 t x ˙ 2 t = λ 2 ( d 3 λ 2 b 3 τ 1 ) x 1 t τ 2 ( b 2 λ 1 d 2 τ 2 ) x 2 t
π t
NA π ˜ C N A = 2 r 2 α 2 μ 2 δ + ρ 2 + r a 1 + a 2 + 2 μ 2 r α 2 μ δ δ + ρ + e ρ t G 0 2 r α 2 μ δ δ + ρ π ˜ R 1 N A = r 1 a 1 + μ 2 r α 2 μ δ δ + ρ + e ρ t G 0 2 r α 2 μ δ δ + ρ π ˜ R 2 N A = r 2 a 2 + μ 2 r α 2 μ δ δ + ρ + e ρ t G 0 2 r α 2 μ δ δ + ρ
R1A π C R 1 A = 2 r 2 α 2 μ 2 δ + ρ 2 + r a 1 + a 2 + x 1 ( t ) η 1 + x 2 ( t ) η 2 + 2 μ 2 r μ α 2 δ δ + ρ + e ρ t G 0 2 r μ α 2 δ δ + ρ π R 1 R 1 A = 1 2 ( r 1 η 1 λ 1 ρ ρ + r 1 η 1 λ 1 τ 2 ρ + ρ ρ + 2 r 1 η 1 λ 1 τ 2 ρ τ 2 ) 2 x 2 ( t ) + r 1 a 1 + x 1 ( t ) η 1 + μ 2 r μ α 2 δ δ + ρ + e ρ t G 0 2 r μ α 2 δ δ + ρ π R 2 R 1 A = r 2 a 2 + x 2 ( t ) η 2 + μ 2 r μ α 2 δ δ + ρ + e ρ t G 0 2 r μ α 2 δ δ + ρ
R2A π C R 2 A = 2 r 2 α 2 μ 2 δ + ρ 2 + r a 1 + a 2 + x 1 ( t ) η 1 + x 2 ( t ) η 2 + 2 μ 2 r α 2 μ δ δ + ρ + e ρ t G 0 2 r α 2 μ δ δ + ρ π R 1 R 2 A = r 1 a 1 + x 1 ( t ) η 1 + μ 2 r α 2 μ δ δ + ρ + e ρ t G 0 2 r α 2 μ δ δ + ρ π R 2 R 2 A = 1 2 ( r 2 η 2 λ 2 ρ ρ + r 2 η 2 λ 2 τ 1 ρ ρ ρ + 2 r 2 η 2 λ 2 τ 1 ρ τ 1 ) 2 x 1 ( t ) + r 2 a 2 + x 2 ( t ) η 2 + μ 2 r α 2 μ δ δ + ρ + e ρ t G 0 2 r α 2 μ δ δ + ρ
BA π ˜ C B A = 2 r 2 α 2 μ 2 δ + ρ 2 + r a 1 + a 2 + x 1 ( t ) η 1 + x 2 ( t ) η 2 + 2 μ 2 r μ α 2 δ δ + ρ + e ρ t G 0 2 r μ α 2 δ δ + ρ π ˜ R 1 B A = 1 2 ( b 2 λ 1 d 2 τ 2 ) 2 x 2 ( t ) + r 1 a 1 + x 1 ( t ) η 1 + μ 2 r μ α 2 δ δ + ρ + e ρ t G 0 2 r μ α 2 δ δ + ρ π ˜ R 2 B A = 1 2 ( d 3 λ 2 b 3 τ 1 ) 2 x 1 ( t ) + r 2 a 2 + x 2 ( t ) η 2 + μ 2 r μ α 2 δ δ + ρ + e ρ t G 0 2 r μ α 2 δ δ + ρ
Table 3. Monotonic relationships between parameters and manufacturers’ big data technology investment levels.
Table 3. Monotonic relationships between parameters and manufacturers’ big data technology investment levels.
Parameters G ( t ) a G ( t ) r G ( t ) μ G ( t ) δ G ( t ) ρ
Monotonicity
Table 4. Impact of product quality and advertising levels under different scenarios.
Table 4. Impact of product quality and advertising levels under different scenarios.
ScenariosG(t)x(t)
NA G ( t + Δ t ) = G ( t ) + [ 2 r μ α 2 ρ + δ δ G ( t ) ] Δ t + σ G ( t ) Δ t Ψ ( t ) --
R1A G ( t + Δ t ) = G ( t ) + [ 2 r μ α 2 ρ + δ δ G ( t ) ] Δ t + σ G ( t ) Δ t Ψ ( t ) x 1 ( t + Δ t ) = x 1 ( t ) + [ λ 1 ( r 1 η 1 λ 1 ρ ρ + r 1 η 1 λ 1 τ 2 ρ + ρ ρ + 2 r 1 η 1 λ 1 τ 2 ρ τ 2 ) x 2 ( t ) ] Δ t + σ x 1 ( t ) Δ t Ψ ( t ) x 2 ( t + Δ t ) = x 2 ( t ) + [ τ 2 ( r 1 η 1 λ 1 ρ ρ + r 1 η 1 λ 1 τ 2 ρ + ρ ρ + 2 r 1 η 1 λ 1 τ 2 ρ τ 2 ) x 2 ( t ) ] Δ t + σ x 2 ( t ) Δ t Ψ ( t )
R2A G ( t + Δ t ) = G ( t ) + [ 2 r μ α 2 ρ + δ δ G ( t ) ] Δ t + σ G ( t ) Δ t Ψ ( t ) x 1 ( t + Δ t ) = x 1 ( t ) + [ λ 1 ( r 1 η 1 λ 1 ρ ρ + r 1 η 1 λ 1 τ 2 ρ + ρ ρ + 2 r 1 η 1 λ 1 τ 2 ρ τ 2 ) x 2 ( t ) ] Δ t + σ x 1 ( t ) Δ t Ψ ( t ) x 2 ( t + Δ t ) = x 2 ( t ) + [ τ 2 ( r 1 η 1 λ 1 ρ ρ + r 1 η 1 λ 1 τ 2 ρ + ρ ρ + 2 r 1 η 1 λ 1 τ 2 ρ τ 2 ) x 2 ( t ) ] Δ t + σ x 2 ( t ) Δ t Ψ ( t )
BA G ( t + Δ t ) = G ( t ) + [ 2 r μ α 2 ρ + δ δ G ( t ) ] Δ t + σ G ( t ) Δ t Ψ ( t ) x 1 ( t + Δ t ) = x 1 ( t ) + [ λ 1 ( b 2 λ 1 d 2 τ 2 ) x 2 t ( d 3 λ 2 b 3 τ 1 ) x 1 t ] Δ t + σ x 1 ( t ) Δ t Ψ ( t ) x 2 ( t + Δ t ) = x 2 ( t ) + [ λ 2 ( d 3 λ 2 b 3 τ 1 ) x 1 t τ 2 ( b 2 λ 1 d 2 τ 2 ) x 2 t ] d ( t ) Δ t + σ x 2 ( t ) Δ t Ψ ( t )
Table 5. Parameter Assignments.
Table 5. Parameter Assignments.
ParameterG0αδaμηrr1r2λ1τ1λ2τ2ρ
Value00.40.40.050.30.121.20.70.30.40.20.50.1
Disclaimer/Publisher’s Note: The statements, opinions and data contained in all publications are solely those of the individual author(s) and contributor(s) and not of MDPI and/or the editor(s). MDPI and/or the editor(s) disclaim responsibility for any injury to people or property resulting from any ideas, methods, instructions or products referred to in the content.

Share and Cite

MDPI and ACS Style

Zhou, H.; Wang, Z.; Zhu, J. Research on Supply Chain Advertising Strategies for Big Data-Driven E-Commerce Platforms: Head or Newcomer? Mathematics 2026, 14, 75. https://doi.org/10.3390/math14010075

AMA Style

Zhou H, Wang Z, Zhu J. Research on Supply Chain Advertising Strategies for Big Data-Driven E-Commerce Platforms: Head or Newcomer? Mathematics. 2026; 14(1):75. https://doi.org/10.3390/math14010075

Chicago/Turabian Style

Zhou, Huini, Zixuan Wang, and Junying Zhu. 2026. "Research on Supply Chain Advertising Strategies for Big Data-Driven E-Commerce Platforms: Head or Newcomer?" Mathematics 14, no. 1: 75. https://doi.org/10.3390/math14010075

APA Style

Zhou, H., Wang, Z., & Zhu, J. (2026). Research on Supply Chain Advertising Strategies for Big Data-Driven E-Commerce Platforms: Head or Newcomer? Mathematics, 14(1), 75. https://doi.org/10.3390/math14010075

Note that from the first issue of 2016, this journal uses article numbers instead of page numbers. See further details here.

Article Metrics

Back to TopTop