Abstract
Fixed-time (FXT) containment control, which provides timely protective deployment of heterogeneous agents in non-ideal environments, can be essential in battles or other large dynamic scenarios. With this in mind, this paper comes up with a simplified FXT containment tracking control law making the follower agents under directed communication topologies and unknown external disturbances converge to a dynamic convex hull spanned by a class of fractional-order leaders. Based on FXT theory, a novel simplified FXT containment controller is proposed that consists of two components—a signum function term and a power term—which significantly reduces the complexity of the controller structure. Meanwhile, it remains qualified to achieve the control goal within a fixed settling time, independent of the initial agent states. The proposed containment controller can also be extended to solve the general consensus tracking problem. Finally, some simulation results are presented to demonstrate the effectiveness and conciseness of the proposed FXT containment tracking control scheme.
MSC:
93C10; 93D40; 93D50
1. Introduction
Cooperative control of multi-agent systems (MASs) has found widespread engineering applications in various research domains, such as synchronization [1,2], formation control [3,4], flocking control [5,6], sensor networks [7,8], and other fields, due to their ability to collaboratively perform tasks more complex than what a single agent can achieve. More importantly, MASs possess numerous advantages, such as flexibility, adaptability to unknown environments, robustness, cost reduction, and enhanced system efficiency. It is noted that the consensus problem is a primary and significant issue in the field of cooperative control of MASs. The control objective of consensus is to make all agents reach a unified state by adjusting their own state values using the information gathered from neighbors according to predefined rules. There are three main categories of consensus problem depending on the number of leaders involved, i.e., leaderless consensus [9,10], leader–follower consensus [11,12], and containment control [13,14]. Among them, the containment control of MASs has attracted widespread attention from researchers over the past two decades [15,16,17,18,19,20,21,22,23,24].
In 2006, G. Ferrari Trecate et al. [15] first introduced the concept of containment control for MASs. Under containment control, the followers should converge towards dynamically changing convex hulls, which are continuously adjusted based on leaders’ movements. Thummalapeta et al. provided a comprehensive overview of key topics in containment control, covering a range from controller design to real-world applications [16]. Inspired by the herding behavior of shepherd dogs, containment control is extensively utilized in scenarios such as warehouse transportation [17] and UAV formation escort [18]. For instance, when a UAV cluster traverses unknown terrain, a select few UAVs equipped with sensory capabilities for detecting hazardous obstacles lead the way. The followers can then safely navigate through the unknown area by maintaining positions within the secure convex hull formed by the leaders. This strategy of collaborative containment control, which assigns distinct roles to multiple agents, has garnered significant academic interest as a cost-effective solution. In recent years, various control methods have been proposed to address containment problems of MASs. Numerous findings have been documented in the existing literature, which have been explored in recent surveys [19,20,21,22] and references therein. For example, Li and Ren [23] considered control of general linear dynamics within a containment framework via the relative outputs of neighboring agents. H. Haghshenas and M.A. Baradarannia [24] further discussed the containment issue of heterogeneous linear multi-agent systems. Considering that fractional-order calculus shows significant advantages in describing some complex phenomena, Ran et al. [25] investigated the bipartite containment control problem for fractional MASs in switching signed directed networks.
Noting that most of the aforementioned works aimed to accomplish the asymptotic containment control of MASs, compared with asymptotic stability, finite-time or fixed-time stability has garnered significant attention in various studies due to its faster convergence rate [26,27,28]. Faster convergence means better control performance and robustness. Therefore, there is a pursuit for faster convergence speed to achieve better performance in practical applications. However, the primary limitation of finite-time control is that the settling time depends on the initial conditions of the system, which limits its widespread application in practice when the system’s initial value cannot be measured or known in advance. In comparison to finite-time (FIT) stability, fixed-time (FXT) stability offers a faster convergence rate and an upper bound on the convergence time that is not influenced by the initial state. As a result of its superior practical application value, FXT containment control has garnered increasing attention from scholars. Ning et al. [29] provided certain adequate conditions for FXT containment control for MASs. Cai et al. [30] proposed a fully distributed adaptive FXT containment controller for MASs. Furthermore, under the premise of considering the convergence rate, more and more researchers have achieved the goal of distributed containment control of MASs by designing appropriate distributed FXT control protocols [31,32,33].
On the other hand, external disturbances always exist due to unforeseen environmental factors, which result in the overall performance of the system declining and potentially make the system unstable. Therefore, it is crucial to study the containment control of MSAs in the presence of external disturbances. In recent years, researchers have proposed some effective control methods to eliminate the influence of external interference [34], among which the related works on the containment problem for MSAs subject to disturbances have been studied as follows. Lü et al. [35] developed FIT containment control protocols using a terminal sliding mode for a second-order nonlinear multi-agent system subjected to external disturbances based on relative states of neighboring agents. Wang et al. [36] investigated the FXT containment control of second-order disturbed nonlinear MASs. Ren and Zhang [37] proposed adaptive distributed containment control for a class of second-order nonlinear MASs based on the designed disturbance observer. However, most of the controller structures mentioned in the above literature are more complex, with no less than three controller components. Along this line, there is still space for research on the challenge of achieving FXT containment tracking control for MASs under external disturbances.
It is worth mentioning that the aforementioned systems have homogeneous dynamics. However, especially when the number of agents is large, heterogeneous multi-agent systems(HMASs) can collaboratively tackle a wider range of more sophisticated and diverse tasks by communicating over directed networks. As a consequence, some significant research efforts have been dedicated to tackling the containment control problem with HMASs [24]. For example, Zheng and Wang [38] investigated the containment control problem for HMASs. Wang et al. [39] studied the practical output containment problem for HMASs under external disturbances and developed a distributed observer-based containment control protocol. As far as we know, how to design appropriate and concise containment control for HMASs with external disturbances over a directed graph so that a closed-loop system can be achieved in an FXT has not been sufficiently investigated, which motivates this study. Therefore, considering FXT convergence for the containment tracking problem has greater practical significance and poses more challenges both in theory and in practical applications.
Table 1 compares the typical containment control schemes discussed above. According to the above discussions, this paper addresses the robust finite-time containment tracking control problem for HMASs in the presence of unknown external disturbances. Specifically, the leader agents are characterized by time-varying control inputs that remain unknown to all follower agents. The main contributions of this paper are summarized as follows:
(1) The proposed containment controller has only two components to simplify the control structure. In contrast to the relatively complex forms of FIT or FXT containment controllers for MASs employed in [29,35,36,40,41], the proposed approach effectively handles bounded disturbances by incorporating a high-gain coefficient in the nonlinear control input, ensuring the robustness of the closed-loop system. This simplified design not only guarantees the robustness and efficiency of FXT convergence but also offers a concise and easily implementable solution.
(2) In contrast to existing works reported in [13,42], this paper considers a more general class of HMASs, where the leaders are modeled using fractional differential equations and the followers are described by first-order dynamics. To address this, a novel, robust FXT control scheme is proposed, enabling the followers to converge into the convex hull formed by the leaders within a predetermined time, independent of the agents’ initial states.
(3) Based on graph theory, this paper addresses the containment tracking problem of HMASs subjected to disturbances under the directed communication topology. Unlike the existing studies reoported in [38,43,44], which assume an undirected network and achieve containment tracking within a fixed time, this work offers a more general framework with greater theoretical and practical significance.
The subsequent sections of this work are structured as follows: Section 2 presents relevant results and formulates the problem at hand. Section 3 introduces a novel FXT containment tracking controller for follower agents subject to external disturbances. Section 4 demonstrates the effectiveness of the proposed control scheme through numerical simulation examples. Finally, Section 5 summarizes the entire work and discusses potential directions for future research. For clarity, Table 2 lists the abbreviations that appear in this paper.
Table 2.
List of abbreviations.
Table 1.
Comparison of typical containment control schemes.
Table 1.
Comparison of typical containment control schemes.
| Reference | Fixed-Time | Robustness | Directed Graphs Among Followers | Number of Controller Components |
|---|---|---|---|---|
| [24] | × | × | ✓ | 2 |
| [29] | ✓ | ✓ | × | 3 |
| [30] | ✓ | ✓ | × | 3 |
| [35] | × | ✓ | ✓ | 4 |
| [36] | ✓ | ✓ | ✓ | 6 |
| [37] | × | ✓ | ✓ | 4 |
| [41] | × | ✓ | ✓ | 4 |
| our method | ✓ | ✓ | ✓ | 2 |
2. Preliminaries
In this section, we first introduce the basics of graph theory and some initial findings. Following that, we formulate the research problem addressed in this paper. This serves as a foundation for further derivation and analysis of the topic.
2.1. Graph Theory
This paper focus on a group of agents, consisting of N follower agents and M leader agents. Let be the graph used to represent the interaction topology among N follower agents and M leader agents, where is the set of nodes and is the edge set. The adjacency matrix () captures the connectivity of . If agent i can receive information from agent j, then , and otherwise. The Laplacian matrix of is defined as , where is a diagonal matrix with diagonal entries (). It is assumed that each leader has no neighbors. Under this assumption, the matrix () can be divided into the following form:
where the matrix expressed as represents the interaction among the N follower agents and the matrix expressed as denotes the interaction among the N follower agents and the M leader agents.
Let be a directed graph employed to describe the information exchange among N follower agents, where and represent the sets of nodes and edges, respectively. A directed path from node i to node j is a sequence of edges () in a directed graph with distinct nodes.
Assumption 1.
Sub-graph is directed. Moreover, there exists at least one leader that has a directed path starting from this leader and ending with any follower.
Lemma 1
([45]). is a nonsingular n-order matrix if and only if Assumption 1 is satisfied. Furthermore, all elements of are non-negative, with each row summing to one.
Lemma 2
([46]). Under Assumption 1, there exists a positive diagonal matrix () generated from , where is equal to the reciprocal of the component of such that is symmetric and positive definite.
Definition 1
([47]). In a real vector space (), a set (χ) is considered convex if, for any two points (x and y) in χ, the point expressed as holds for all κ in the interval of . Specifically, is defined as the convex hull of X. In particular, .
2.2. Caputo Fractional Derivative
In recent years, fractional-order systems have garnered increasing attention in the literature due to their wide-ranging applications in fields such as control and biomedical engineering [48,49]. Compared to traditional integer-order systems, fractional-order systems offer a more precise characterization of system nonlinearity and complexity, providing enhanced adaptability and flexibility. In practical applications, certain collective behaviors, such as robotic formations and high-speed aircraft formations, cannot be effectively captured or analyzed using integer-order dynamic systems. Currently, various approaches exist for defining fractional-order integrals and derivatives, with the Riemann–Liouville and Caputo definitions being the most commonly used. This study adopts the Caputo fractional derivative for its analysis.
Definition 2
([50]). If there exists a function expressed as , then its Caputo fractional derivative of order q is defined as
where , , m is a positive integer, and Γ is the Gamma function defined by and .
Property 1.
Let ; if has a continuous first derivative, then .
2.3. Useful Lemmas
To move on, some lemmas are shown for the following FXT convergence analysis.
Lemma 3
([51]). Consider the following system:
where represents the system state. If there exists a function () that satisfies
where and , , then the origin is fixed-time stable and the upper bound of the settling time () can be estimated by
where .
In particular, when and ,i.e., there exists a function () that satisfies , the FXT stability of system (2) can also be achieved, and the upper bound of the settling time () can be estimated by
Lemma 4
([52]). Let and . Then,
Remark 1.
It is important to emphasize that most studies also focus on FIT containment control [28,53], but the primary limitation of FIT is that it needs to rely on the initial state of the system. In contrast, as shown in Equation (5), the convergence time of FXT is independent of the initial state of the system.
2.4. Problem Formulation
This paper considers the containment tracking problem of HMASs. Specifically, we consider a networked system comprising N followers and M leaders. Notably, the leaders are assumed to be governed by fractional-order equations, while the followers are characterized by first-order equations.
The dynamics of followers are described by
where is the state of follower i, represents the control input of follower i, and is the external disturbance.
Additionally, the dynamics of leaders are defined as
where is the state of leader j, is a nonlinear function, and represents the fractional order. The corresponding initial state of each agent is denoted by .
Assumption 2.
In this paper, the dynamics of leader agents are not modeled as autonomous systems as commonly reported in the existing literature, where the unknown time-varying function () in Equation (8) represents the control input. Nevertheless, it is constrained within the bounds of , where , and σ serves as prior knowledge for the followers.
Assumption 3.
The external disturbances () for each follower in (7) are bounded, and satisfies , with being a positive scalar.
Remark 2.
The assumption of boundedness for controller inputs and external disturbances has been commonly used in the cooperative control literature of MASs (see [37,54,55,56]). Such assumptions not only help to simplify the analysis process in theory but are also relevant in practical applications. For example, actuators are usually limited in power and capacity, which means that they cannot provide an infinitely large control torque or thrust. In addition, external disturbances, such as wind and communication noise, although usually random and uncertain, tend to vary in amplitude within a certain range.
Definition 3.
The FXT containment control of HMASs ((7) and (8)) is said to be achieved if, for any given initial states (, ), there exists a settling time () independent of the initial states such that
where represents the convex hulls of vector and is the set of leaders’ states. If the distance from point to the convex hull () is zero, point lies within the convex hull.
Then, we can define the containment tracking error of each follower agent as
Its compact set form is given by
where
According to Definition 1, is the convex hull formed by the leaders. Hence, FXT containment is achieved if the following conditions are satisfied:
According to the Definition 3, the difficulties of developing an FXT containment tracking control scheme for HMASs are reflected in the following aspects. A major challenge is to design a suitable controller based on the dynamics of HMASs to ensure that all followers can enter the convex hull formed by the leader in a finite time. Another challenge is to prove fixed-time convergence in the presence of input disturbances, which may potentially make the system unstable.
3. Main Results
Existing containment control methods for networked MASs all require at least three controller components to achieve robust FXT convergence. In contrast to such methods, a novel FXT containment controller is designed in this section, which contains only two controller components. According to the new design control scheme, the single-order follower agents with input disturbances can converge to a convex hull formed by the fractional-order leaders within a fixed time. First, we can obtain the derivative of the error function (11) with respect to time as follows:
where
Then, we propose an error-based control protocol for follower i as follows:
where , , and is the signum function. It can be seen that this controller consists of two components: one for nonlinearities under the signum function and the other for the power exponential term.
Remark 3.
Existing works [29,35,36,40,41] concerning containment control for MASs require at least three controller components to achieve robust FXT convergence, i.e., two power exponential components and a disturbance suppression component. In contrast, the proposed controller contains only two components while simplifying the control structure. In particular, only one power exponential term needs to be considered.
Remark 4.
The controller gain (c) needs to be large enough to satisfy Equation (17), ensuring the negative definiteness of the Lyapunov function and thereby guaranteeing the robustness and convergence rate of the system. At the same time, the smaller the desired settling time, the larger the required value of c. Consequently, in practice, setting an unreasonably small convergence time may result in large transient inputs to maintain system performance. By tuning the controller parameters, we can make a tradeoff between convergence performance and the control constraints.
Theorem 1.
The FXT containment tracking issue of HMASs ((7) and (8)) is resolved based on Assumptions 1–3 by utilizing a specific controller (14). The controller is valid when parameters c and α meet the specified criteria of and , respectively. Furthermore, the estimated upper bound for the settling time () is expressed as
where and , denotes the maximum component of ξ introduced in Lemma 2, while parameter δ satisfies
To tackle the containment tracking problem of HMASs, the proposed control scheme employs a Lyapunov-based analysis to ensure the stability and robustness of HMASs while setting an upper bound on the settling time without regard to the initial conditions and unknown disturbances.
Proof.
We choose the following Lyapunov function:
where is defined in Lemma 2. By taking the first time derivative of V, we obtain
We define a new function () to replace to simplify the derivation process. By substituting (15) into (19), one has
where the matrix expressed as is introduced in Lemma 2. Based on the properties of matrix , an approximation for the upper bound of the second term in (20) can be derived as
where represents the row of .
The fact that and have the same sign implies that
To find the upper bound of Equation (21), we can substitute Equation (22) into it, obtaining
where . Furthermore, substituting (23) into (20) yields
where .
Note that given . Based on the information provided in Lemma 4, we can further obtain
Moreover, according to Equation (18), one obtains
Using Equations (24)–(26), we can determine that the derivative of V satisfies
where and . It follows that converges to zero in a finite time, and the containment tracking error likewise decreases to zero. This also implies that FXT containment tracking is achieved within the settling time (), which can be obtained through Equation (16) based on Lemma 3. Therefore, the proof is complete. □
An FXT containment tracking controller for HMASs is proposed in this section. The settling time is proven to be independent of the initial conditions of agents, even in the presence of disturbances. The problem addressed in this paper is more general than in practical scenarios. It is mainly reflected in the following three aspects.
(1) We consider the special case where the interaction topology among followers is an undirected connected graph, since undirected graphs are a type of directed graph in which each undirected edge can be considered as two directed edges. The control protocol proposed in this paper is applied to undirected graphs as well.
(2) We consider the special case where the number of leaders is 1, and the containment control problem is transformed into the leader–follower consensus problem. Based on the control protocol (14) proposed in this paper, the first-order followers with interference can track the leader’s trajectory in a fixed time.
(3) We consider the special case where the leader’s fractional-order coefficient (q) is 1; then, this problem is simplified to the FXT containment tracking issue of homogeneous MASs subject to unknown external disturbances. A follower equipped with the control protocol (14) can also enter the convex hull formed by the leaders within finite time. This shows that the control strategy put forward in this paper has extensive application value.
Remark 5.
It is noteworthy that the FXT containment tracking controller can ensure the settling time calculated by (16), regardless of the initial states of agents, that is, by reasonably selecting α and δ and determining c according to the constraints given by (17), the settling time can be calculated. The value of c is determined by the global topological information (), as well as the prior knowledge (θ and σ).
Remark 6.
By employing a more concise and efficient FXT lemma, the proposed FXT containment tracking scheme offers a controller structure with only two components, which greatly reduces the computational cost. In order to ensure the robustness of the system, the controller introduces a control gain (c) satisfying Equation (17) to reject disturbances. Overall, under the proposed controller, the robustness and convergence of the system can be guaranteed, even in the presence of disturbances. This characteristic is particularly significant for large-scale MASs that require efficient and scalable control methods, especially in industries like transportation and robotics.
Remark 7.
Unlike many existing works of literature that require precise conditions on initial states or assume no disturbances in the agents’ behavior, the proposed control scheme can achieve a prescribed FXT convergence bound, regardless of the initial states, and can handle unknown input disturbances. This capability significantly improves the adaptability and stability of the system, making it more practical and reliable for real-world applications.
4. Simulation Results
In this section, we present some numerical results to verify the validity of the theoretical results reported in this paper.
Example 1.
In this example, it is verified that the proposed control protocol (14) can also achieve FXT containment tracking control for HMASs. A group of networked HMASs consisting of four fractional-order leaders and six single-order followers is considered. Figure 1 illustrates the communication graph () among the followers and leaders. Note that there exists at least a directed spanning tree in the communication topology among the leader and followers. Correspondingly, the Laplacian matrix of is expressed as
The dynamics of leaders are set as . The external disturbances of each follower are given as . Thus, , . To verify Theorem 1, the control parameters of the proposed FXT containment tracking protocol (14) are chosen as , . One can calculate that , and . It is easy to verify that inequality (17) holds. In this simulation, we consider two different initial conditions:
Case 1: The initial states of six followers are set as , , , , , and , and the initial states of four leaders are set as , , , and .
Case 2: The initial states of six followers are set as , , , , , and , and the initial states of four leaders are set as , , , and .
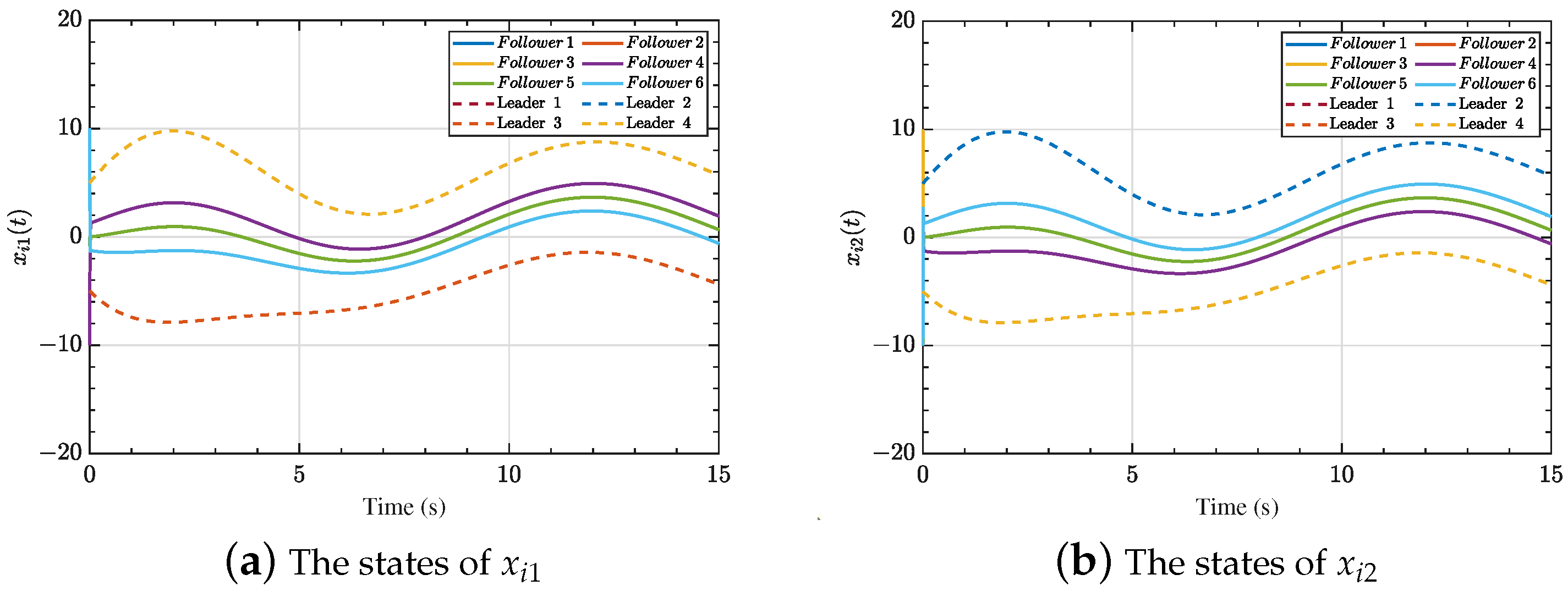
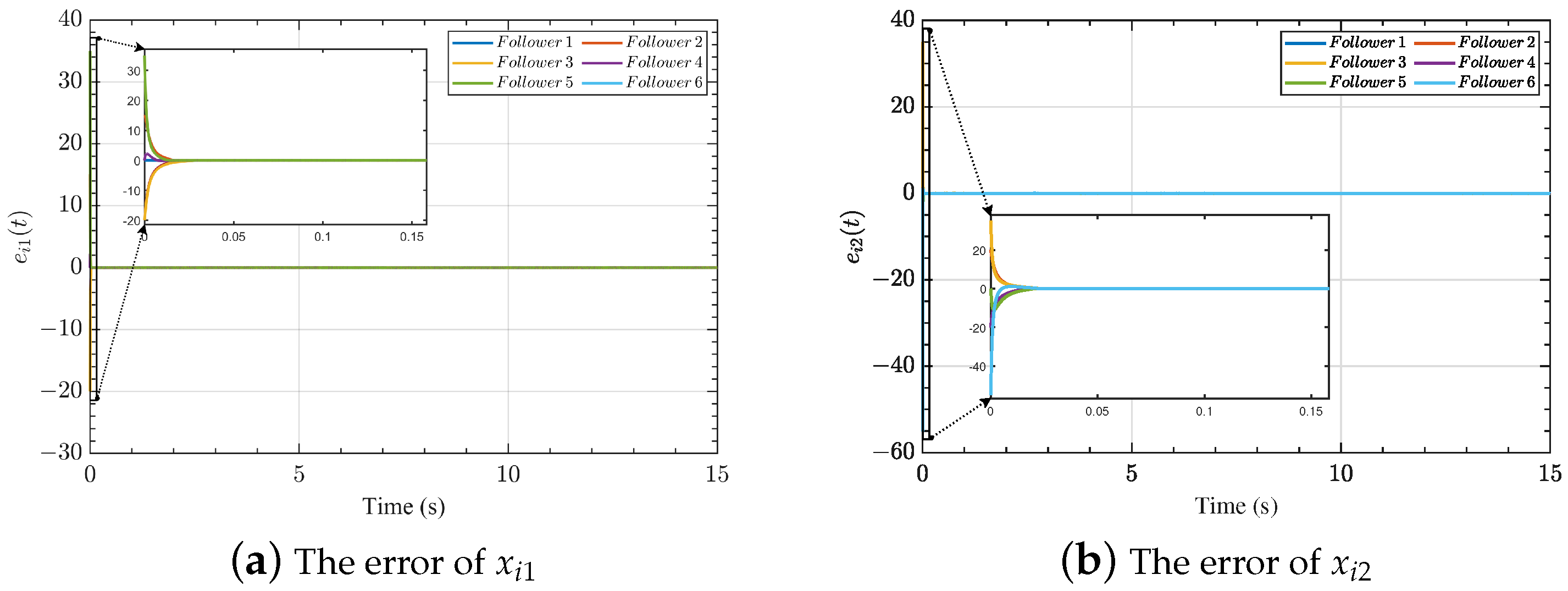
The simulation results of case 1 are depicted in Figure 2, Figure 3 and Figure 4. To elaborate, Figure 2 shows the trajectories of all agents in case 1. Figure 3 shows the containment error of followers. Figure 4 shows the states of leaders and followers at , , , and . The red circles represent the followers, and the blue squares represent the leaders. From Figure 2, Figure 3 and Figure 4, we can see that the followers with the designed protocol (14) enter the convex hull spanned by leaders and the containment errors coverage to zero within an FXT, which is less than the theoretically estimated value () of 1.1852 s.
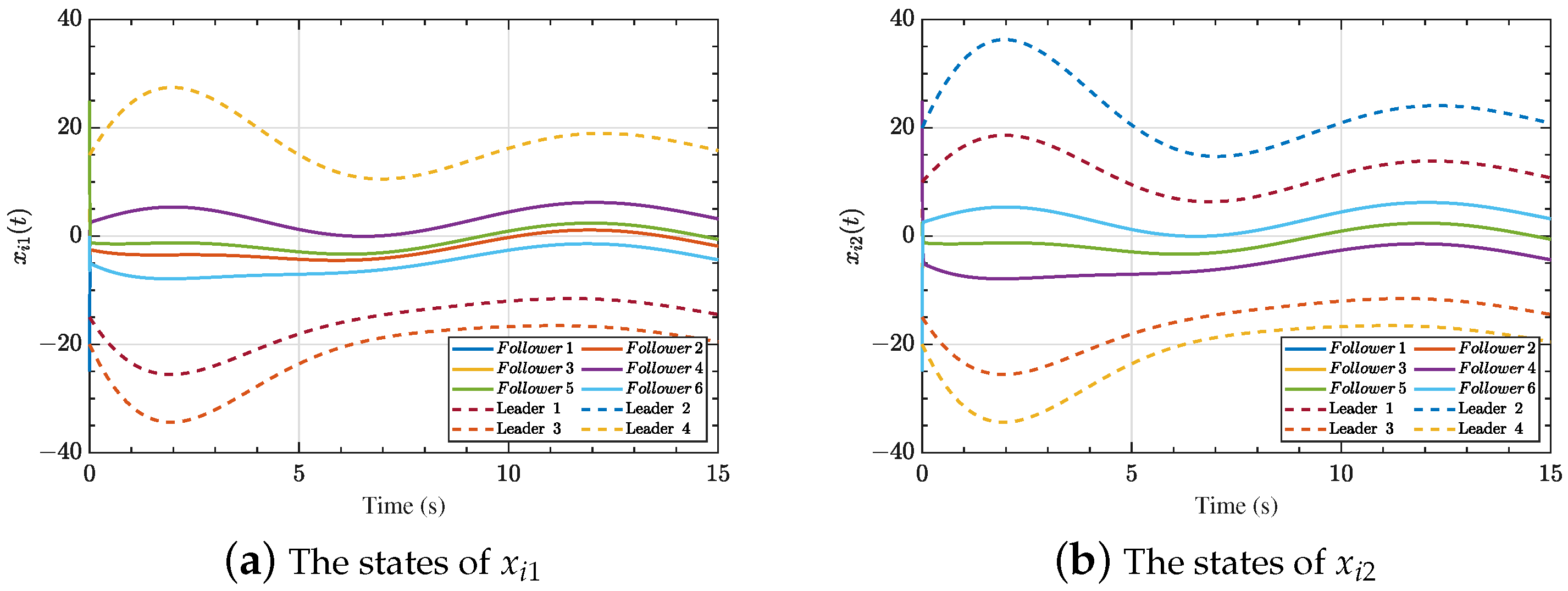
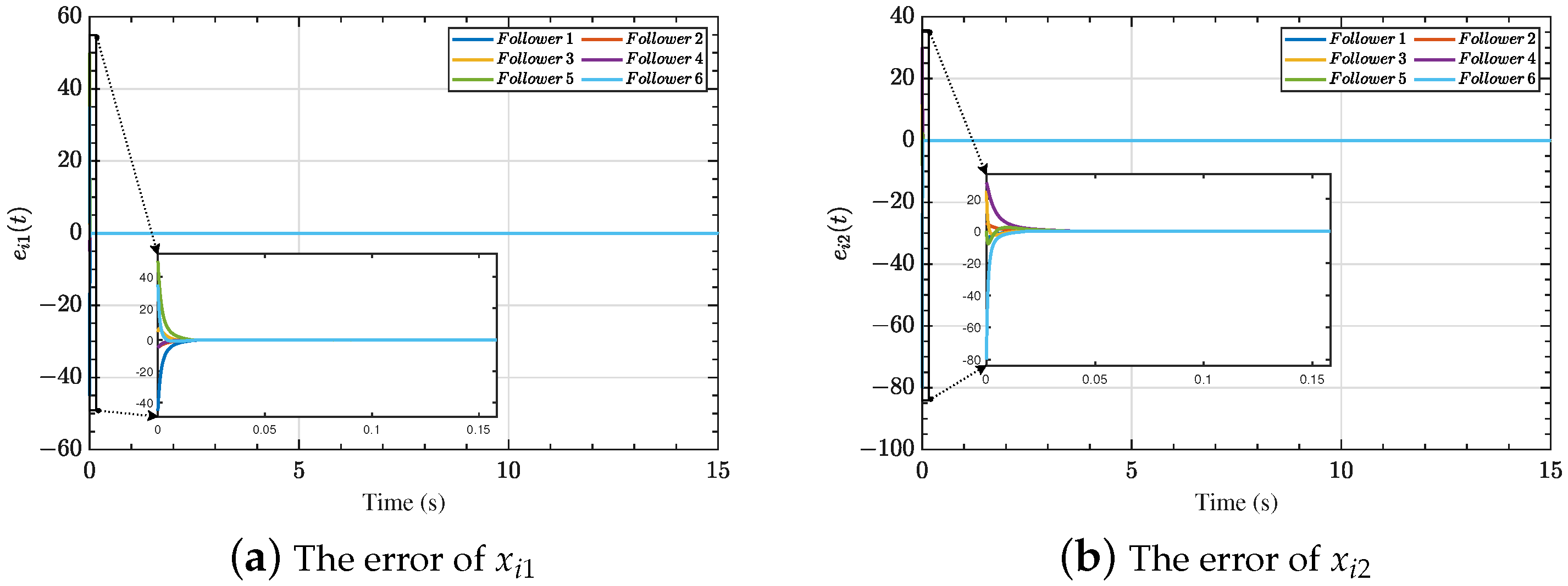
To demonstrate that the settling time does not depend on the initial states, the simulation results of case 2 are presented in Figure 5, Figure 6 and Figure 7. Similar to case 1, we can see that containment tracking is achieved for directed networks within an FXT before . Meanwhile, it is noticeable that the settling time in cases (i) and (ii) is nearly identical, indicating the effectiveness of Theorem 1.
Figure 1.
The directed graph among agents of Example 1.
Figure 1.
The directed graph among agents of Example 1.

Figure 2.
The states of agents in case (i).
Figure 2.
The states of agents in case (i).

Figure 3.
The containment tracking error of followers in case (i).
Figure 3.
The containment tracking error of followers in case (i).

Figure 4.
The position state trajectories of agents in case (i), where the blue nodes represent the states of four leaders and the red circles denote the states of the followers.
Figure 4.
The position state trajectories of agents in case (i), where the blue nodes represent the states of four leaders and the red circles denote the states of the followers.

Figure 5.
The states of agents in case (ii).
Figure 5.
The states of agents in case (ii).

Figure 6.
The containment tracking error of followers in case (ii).
Figure 6.
The containment tracking error of followers in case (ii).

Figure 7.
The position state trajectories of agents in case (ii), where the blue nodes represent the states of four leaders and the red circles denote the states of the followers.
Figure 7.
The position state trajectories of agents in case (ii), where the blue nodes represent the states of four leaders and the red circles denote the states of the followers.

Example 2.
To demonstrate the effectiveness and conciseness of our proposed control strategy, a comprehensive comparison is carried out among three distinct robust FXT leader–follower controllers, including the controller (14) presented in this paper, the controller (28) as detailed by Cai et al. [30], and the controller (29) introduced by Ning et al. [12]. Consider that the leader–follower problem is a special case when the number of leaders in the containment problem is 1. The abovementioned FXT leader–follower controllers in the existing literature are expressed as follows:
where .
A group of networked MASs consisting of one leader and six followers is considered. The communication graph among the followers and leader is shown in Figure 8. It is important to highlight that the methods proposed by Cai et al. [30] and Ning et al. [12] are designed for undirected graphs and require the conversion of directed edges to undirected edges to be applicable. The initial states of followers are selected as , , , , , and , and the initial states of the leader is selected as . The leader’s control inputs and the followers’ disturbances are kept consistent with the setup in Example 1. The comparative results are summarized in Table 3, which provides the performance metrics among the three controllers in detail. Moreover, the tracking errors of six followers under different FXT controllers are shown in Figure 9, Figure 10 and Figure 11.
First, it is evident that under all three controllers, MASs can achieve leader–follower consensus within a fixed time, which is less than the theoretical estimated values (). Notably, our method outperforms the others in terms of the actual settling time. This is critical for applications necessitating expeditious responses, such as emergency scenarios in UAV formation escort. Secondly, in terms of control energy consumption and root-mean-square error, our method remains competitive, although it does not lead due to the high-gain coefficient and signum function. Moreover, considering our method requires a minimum number of controller components, the simplicity of this design facilitates easier implementation and maintenance, which is a significant advantage in practical applications. In summary, our control method excels in stabilization time, operates effectively on directed graphs, and features an easy-to-implement control structure. It delivers balanced performance and a more general framework for applications scenarios that require rapid responses and resource constraints.
Figure 8.
The directed graph among agents of Example 2.
Figure 8.
The directed graph among agents of Example 2.

Table 3.
Comparison of the performance metrics among the three controllers.
Table 3.
Comparison of the performance metrics among the three controllers.
| Ref. | The Settling Time | ||||||
|---|---|---|---|---|---|---|---|
| our method | |||||||
| [30] | |||||||
| [12] |
Figure 9.
The tracking error of followers under the FXT controller proposed in this paper.
Figure 9.
The tracking error of followers under the FXT controller proposed in this paper.

Figure 10.
The tracking error of followers under the FXT controller proposed by Cai et al. [30].
Figure 10.
The tracking error of followers under the FXT controller proposed by Cai et al. [30].

Figure 11.
The tracking error of followers under the FXT controller proposed by Ning et al. [12].
Figure 11.
The tracking error of followers under the FXT controller proposed by Ning et al. [12].

5. Conclusions
In this paper, we have addressed the containment tracking problem of HMASs with disturbances under directed networks. First, a novel containment tracking protocol for HMASs was designed to make the followers converge to the convex hull formed by the leaders in a fixed time. The proposed containment controller is designed with two components, including the reduction of the power exponential term, which reduces the complexity of the controller. The controller gain is used to suppress external disturbances, which ensures the robustness of the system. Then, combined with Lyapunov theory and graph theory, the stability of the closed-loop system is completely proven, which indicates that the FXT containment tracking control of HMASs was achieved over a directed graph. From a practical application perspective, this theorem has a greater advantage than FIT stability, as the latter heavily relies on the initial states of agents, which may not be available beforehand. In addition, the proposed control algorithm is also applicable for special cases such as homogeneous MASs, a single dynamic leader, and undirected graphs. Finally, to verify the validity of the proposed theory, we conducted two numerical simulation examples using MATLAB R2023. The results show that the containment errors converge to zero within settling time. Moreover, these numerical simulations also indicate that the upper bound of the settling time is independent of the initial state. In future work, we will pay attention to more complex dynamical systems, such as high-order systems or nonlinear systems, and more complex environments, such as time-varying topologies.
Author Contributions
R.R.: conceptualization, methodology, and writing—original draft; Z.L.: validation, Writing—review and editing, and supervision; K.Q.: validation and writing—review and editing; M.S. and B.L.: writing—original draft and numerical simulation. All authors have read and agreed to the published version of the manuscript.
Funding
This work was supported by the Natural Science Foundation of Sichuan Province (2024NSFSC0021), the Sichuan Science and Technology Programs (MZGC20240139), and the Fundamental Research Funds for the Central Universities (ZYGX2023K025 and ZYGX2024K028).
Data Availability Statement
The original contributions presented in the study are included in the article, further inquiries can be directed to the corresponding author.
Acknowledgments
We are grateful to the anonymous referees for providing helpful comments.
Conflicts of Interest
The authors declare that they have no known competing financial interests or personal relationships that could have appeared to influence the work reported in this paper.
References
- Li, W.; Shi, L.; Shi, M.; Yue, J.; Lin, B.; Qin, K. Seeking Secure Synchronous Tracking of Networked Agent Systems Subject to Antagonistic Interactions and Denial-of-Service Attacks. IEEE Trans. Artif. Intell. 2024. [Google Scholar] [CrossRef]
- Li, H.; Wei, Q. Data-driven optimal output cluster synchronization control of heterogeneous multi-agent systems. IEEE Trans. Autom. Sci. Eng. 2024, 21, 3910–3920. [Google Scholar] [CrossRef]
- Li, W.; Zhou, S.; Shi, M.; Yue, J.; Lin, B.; Qin, K. Collision avoidance time-varying group formation tracking control for multi-agent systems. Appl. Intell. 2025, 55, 175. [Google Scholar] [CrossRef]
- Yang, W.; Shi, Z.; Zhong, Y. Robust time-varying formation control for uncertain multi-agent systems with communication delays and nonlinear couplings. Int. J. Robust Nonlinear Control 2024, 34, 147–166. [Google Scholar] [CrossRef]
- Ma, Z.; Shi, L.; Chen, K.; Shao, J.; Cheng, Y. Multi-Agent Bipartite Flocking Control over Cooperation-Competition Networks with Asynchronous Communications. IEEE Trans. Signal Inf. Process. Over Netw. 2024, 10, 460–472. [Google Scholar] [CrossRef]
- Chen, J.; Yang, Y.; Qin, S. A distributed optimization algorithm for fixed-time flocking of second-order multiagent systems. IEEE Trans. Netw. Sci. Eng. 2024, 11, 152–162. [Google Scholar] [CrossRef]
- Wu, J.; Yuan, S.; Ji, S.; Zhou, G.; Wang, Y.; Wang, Z. Multi-agent system design and evaluation for collaborative wireless sensor network in large structure health monitoring. Expert Syst. Appl. 2010, 37, 2028–2036. [Google Scholar] [CrossRef]
- Yang, W.; Shi, H. Sensor selection schemes for consensus based distributed estimation over energy constrained wireless sensor networks. Neurocomputing 2012, 87, 132–137. [Google Scholar] [CrossRef]
- Li, W.; Shi, L.; Shi, M.; Lin, B.; Qin, K. Seeking Velocity-Free Consensus for Multi-Agent Systems with Nonuniform Communication and Measurement Delays. IEEE Trans. Signal Inf. Process. Over Netw. 2023, 9, 295–303. [Google Scholar] [CrossRef]
- Cao, Y.; Yu, W.; Ren, W.; Chen, G. An overview of recent progress in the study of distributed multi-agent coordination. IEEE Trans. Ind. Inform. 2013, 9, 427–438. [Google Scholar] [CrossRef]
- Li, W.; Qin, K.; Li, G.; Shi, M.; Zhang, X. Robust bipartite tracking consensus of multi-agent systems via neural network combined with extended high-gain observer. ISA Trans. 2023, 136, 31–45. [Google Scholar] [CrossRef] [PubMed]
- Ning, B.; Jin, J.; Zheng, J.; Man, Z. Finite-time and fixed-time leader-following consensus for multi-agent systems with discontinuous inherent dynamics. Int. J. Control 2018, 91, 1259–1270. [Google Scholar] [CrossRef]
- Wang, D.; Wang, W. Necessary and sufficient conditions for containment control of multi-agent systems with time delay. Automatica 2019, 103, 418–423. [Google Scholar] [CrossRef]
- Li, W.; Shi, L.; Shi, M.; Yue, J.; Lin, B.; Qin, K. Analyzing Containment Control Performance for Fractional-order Multi-Agent Systems via a Delay Margin Perspective. IEEE Trans. Netw. Sci. Eng. 2024, 11, 2810–2821. [Google Scholar] [CrossRef]
- Ferrari-Trecate, G.; Egerstedt, M.; Buffa, A.; Ji, M. Laplacian sheep: A hybrid, stop-go policy for leader-based containment control. In Proceedings of the Hybrid Systems: Computation and Control: 9th International Workshop, HSCC 2006, Santa Barbara, CA, USA, 29–31 March 2006; Proceedings 9. Springer: Berlin/Heidelberg, Germany, 2006; pp. 212–226. [Google Scholar]
- Thummalapeta, M.; Liu, Y.C. Survey of containment control in multi-agent systems: Concepts, communication, dynamics, and controller design. Int. J. Syst. Sci. 2023, 54, 2809–2835. [Google Scholar] [CrossRef]
- Zhou, X.; Hou, H.; Liang, W.; Wang, K.I.K.; Jin, Q. Intelligent containment control with double constraints for cloud-based collaborative manufacturing. IEEE Trans. Ind. Inform. 2023, 19, 7541–7551. [Google Scholar] [CrossRef]
- Dong, X.; Hua, Y.; Zhou, Y.; Ren, Z.; Zhong, Y. Theory and experiment on formation-containment control of multiple multirotor unmanned aerial vehicle systems. IEEE Trans. Autom. Sci. Eng. 2018, 16, 229–240. [Google Scholar] [CrossRef]
- Li, W.; Shi, L.; Shi, M.; Yue, J.; Lin, B.; Qin, K. Leader-Following Containment Control of Hybrid Fractional-Order Networked Agents With Nonuniform Time Delays. IEEE Trans. Signal Inf. Process. Over Netw. 2023, 9, 750–760. [Google Scholar] [CrossRef]
- Ji, M.; Ferrari-Trecate, G.; Egerstedt, M.; Buffa, A. Containment control in mobile networks. IEEE Trans. Autom. Control 2008, 53, 1972–1975. [Google Scholar] [CrossRef]
- Cao, Y.; Stuart, D.; Ren, W.; Meng, Z. Distributed containment control for multiple autonomous vehicles with double-integrator dynamics: Algorithms and experiments. IEEE Trans. Control Syst. Technol. 2011, 19, 929–938. [Google Scholar] [CrossRef]
- Liu, Y.; Zhang, H.; Wang, Y.; Liang, H. Adaptive containment control for fractional-order nonlinear multi-agent systems with time-varying parameters. IEEE/CAA J. Autom. Sin. 2022, 9, 1627–1638. [Google Scholar] [CrossRef]
- Li, Z.; Ren, W.; Liu, X.; Fu, M. Distributed containment control of multi-agent systems with general linear dynamics in the presence of multiple leaders. Int. J. Robust Nonlinear Control 2013, 23, 534–547. [Google Scholar] [CrossRef]
- Haghshenas, H.; Badamchizadeh, M.A.; Baradarannia, M. Containment control of heterogeneous linear multi-agent systems. Automatica 2015, 54, 210–216. [Google Scholar] [CrossRef]
- Yang, R.; Liu, S.; Li, X.; Xiao, J. Bipartite containment control of fractional multi-agent systems with input delay on switching signed directed networks. ISA Trans. 2023, 135, 130–137. [Google Scholar] [CrossRef] [PubMed]
- Liu, Y.; Zhang, H.; Sun, J.; Wang, Y. Event-triggered adaptive finite-time containment control for fractional-order nonlinear multiagent systems. IEEE Trans. Cybern. 2022, 54, 1250–1260. [Google Scholar] [CrossRef]
- Chen, D.; Liu, X.; Yu, W. Finite-time fuzzy adaptive consensus for heterogeneous nonlinear multi-agent systems. IEEE Trans. Netw. Sci. Eng. 2020, 7, 3057–3066. [Google Scholar] [CrossRef]
- Liu, Y.; Zhang, H.; Shi, Z.; Gao, Z. Neural-network-based finite-time bipartite containment control for fractional-order multi-agent systems. IEEE Trans. Neural Netw. Learn. Syst. 2023, 34, 7418–7429. [Google Scholar] [CrossRef]
- Ning, B.; Zuo, Z.; Jin, J.; Zheng, J. Distributed fixed-time coordinated tracking for nonlinear multi-agent systems under directed graphs. Asian J. Control 2018, 20, 646–658. [Google Scholar] [CrossRef]
- Cai, Y.; Zhang, H.; Zhang, J.; Wang, W. Fixed-time leader-following/containment consensus for a class of nonlinear multi-agent systems. Inf. Sci. 2021, 555, 58–84. [Google Scholar] [CrossRef]
- Xu, T.; Lv, G.; Duan, Z.; Sun, Z.; Yu, J. Distributed fixed-time triggering-based containment control for networked nonlinear agents under directed graphs. IEEE Trans. Circuits Syst. I Regul. Pap. 2020, 67, 3541–3552. [Google Scholar] [CrossRef]
- Duan, J.; Duan, G.; Cheng, S.; Cao, S.; Wang, G. Fixed-time time-varying output formation–containment control of heterogeneous general multi-agent systems. ISA Trans. 2023, 137, 210–221. [Google Scholar] [CrossRef] [PubMed]
- Hua, M.; Ding, H.; Yao, X.Y.; Zhang, X. Distributed fixed-time formation-containment control for multiple Euler-Lagrange systems with directed graphs. Int. J. Control Autom. Syst. 2021, 19, 837–849. [Google Scholar] [CrossRef]
- Zeng, H.B.; Zhu, Z.J.; Peng, T.S.; Wang, W.; Zhang, X.M. Robust tracking control design for a class of nonlinear networked control systems considering bounded package dropouts and external disturbance. IEEE Trans. Fuzzy Syst. 2024, 32, 3608–3617. [Google Scholar] [CrossRef]
- Lü, H.; He, W.; Han, Q.L.; Ge, X.; Peng, C. Finite-time containment control for nonlinear multi-agent systems with external disturbances. Inf. Sci. 2020, 512, 338–351. [Google Scholar] [CrossRef]
- Wang, L.; Liu, X.; Cao, J.; Hu, X. Fixed-time containment control for nonlinear multi-agent systems with external disturbances. IEEE Trans. Circuits Syst. II Express Briefs 2022, 69, 459–463. [Google Scholar] [CrossRef]
- Ren, W.; Zhang, X. Fully distributed containment control of second-order nonlinear multi-agent systems using disturbance observer with directed graph. Inf. Sci. 2023, 649, 119629. [Google Scholar] [CrossRef]
- Zheng, Y.; Wang, L. Containment control of heterogeneous multi-agent systems. Int. J. Control 2013, 87, 1–8. [Google Scholar] [CrossRef]
- Wang, Q.; Dong, X.; Wen, G.; Lü, J.; Ren, Z. Practical output containment of heterogeneous nonlinear multiagent systems under external disturbances. IEEE Trans. Cybern. 2023, 53, 5191–5201. [Google Scholar] [CrossRef]
- Meng, Z.; Ren, W.; You, Z. Distributed finite-time containment control for multiple Lagrangian systems. In Proceedings of the 2010 American Control Conference, Baltimore, MD, USA, 30 June–2 July 2010; IEEE: New York, NY, USA, 2010; pp. 2885–2890. [Google Scholar]
- Wang, X.; Li, S.; Shi, P. Distributed finite-time containment control for double-integrator multiagent systems. IEEE Trans. Cybern. 2014, 44, 1518–1528. [Google Scholar] [CrossRef] [PubMed]
- Li, W.; Shi, M.; Shi, L.; Lin, B.; Qin, K. Containment Tracking for Networked Agents Subject to Nonuniform Communication Delays. IEEE Trans. Netw. Sci. Eng. 2023, 10, 3658–3669. [Google Scholar] [CrossRef]
- Li, B.; Chen, Z.; Liu, Z.; Zhang, C.; Zhang, Q. Containment control of multi-agent systems with fixed time-delays in fixed directed networks. Neurocomputing 2016, 173, 2069–2075. [Google Scholar] [CrossRef]
- Wang, L.; Wu, J.; Zhan, X.S.; Han, T.; Yan, H. Fixed-time bipartite containment of multi-agent systems subject to disturbance. IEEE Access 2020, 8, 77679–77688. [Google Scholar] [CrossRef]
- Mei, J.; Ren, W.; Ma, G. Distributed containment control for Lagrangian networks with parametric uncertainties under a directed graph. Automatica 2012, 48, 653–659. [Google Scholar] [CrossRef]
- Li, Z.; Wen, G.; Duan, Z.; Ren, W. Designing fully distributed consensus protocols for linear multi-agent systems with directed graphs. IEEE Trans. Autom. Control 2015, 60, 1152–1157. [Google Scholar] [CrossRef]
- Rockafellar, R.T. Convex Analysis; Princeton University Press: Princeton, NJ, USA, 1997; Volume 11. [Google Scholar]
- Yang, H.; Zhu, X.; Cao, K. Distributed coordination of fractional order multi-agent systems with communication delays. Fract. Calc. Appl. Anal. 2014, 17, 23–37. [Google Scholar] [CrossRef]
- Jia, X.; Cui, Y.; Patro, R.; Venkatachalam, S.; Kanday, R.; Turayevich, J.I. Application of fractional-order nonlinear equations in coordinated control of multi-agent systems. Nonlinear Eng. 2023, 12, 20220335. [Google Scholar] [CrossRef]
- Kilbas, A.A.; Srivastava, H.M.; Trujillo, J.J. Theory and Applications of Fractional Differential Equations; Elsevier: Amsterdam, The Netherlands, 2006; Volume 204. [Google Scholar]
- Hu, C.; Yu, J.; Chen, Z.; Jiang, H.; Huang, T. Fixed-time stability of dynamical systems and fixed-time synchronization of coupled discontinuous neural networks. Neural Netw. 2017, 89, 74–83. [Google Scholar] [CrossRef] [PubMed]
- Hardy, G.H.; Littlewood, J.E.; Pólya, G. Inequalities; Cambridge University Press: Cambridge, UK, 1952. [Google Scholar]
- He, X.; Wang, Q.; Yu, W. Distributed finite-time containment control for second-order nonlinear multi-agent systems. Appl. Math. Comput. 2015, 268, 509–521. [Google Scholar] [CrossRef]
- Du, H.; Li, S.; Shi, P. Robust consensus algorithm for second-order multi-agent systems with external disturbances. Int. J. Control 2012, 85, 1913–1928. [Google Scholar] [CrossRef]
- Chen, L.; Wang, Y.W.; Yang, W.; Xiao, J.W. Robust consensus of fractional-order multi-agent systems with input saturation and external disturbances. Neurocomputing 2018, 303, 11–19. [Google Scholar] [CrossRef]
- Fu, J.; Wang, J. Fixed-time coordinated tracking for second-order multi-agent systems with bounded input uncertainties. Syst. Control Lett. 2016, 93, 1–12. [Google Scholar] [CrossRef]
Disclaimer/Publisher’s Note: The statements, opinions and data contained in all publications are solely those of the individual author(s) and contributor(s) and not of MDPI and/or the editor(s). MDPI and/or the editor(s) disclaim responsibility for any injury to people or property resulting from any ideas, methods, instructions or products referred to in the content. |
© 2025 by the authors. Licensee MDPI, Basel, Switzerland. This article is an open access article distributed under the terms and conditions of the Creative Commons Attribution (CC BY) license (https://creativecommons.org/licenses/by/4.0/).