Abstract
The design of bridges must balance sustainability and construction simplicity. A game-theory-based optimization method was applied in this research to find a sustainable steel–concrete composite bridge design. The sustainability was evaluated through cost and environmental and social impact using the Life Cycle Assessment method. The optimization process considered four criteria simultaneously, using a discrete version of the SCA algorithm and a transfer function for discretization. The preferred solutions were selected using the Minkowski distances approach. Results showed a decrease in slab reinforcement and an increase in the amount of steel in the cross-section, leading to only an 8.2‰ increase in cost compared to similar studies. Regarding the cross-section, the geometry obtained considers cells in the upper and lower parts of the webs to improve the bending resistance. The proposed method allows for the simultaneous optimization of multiple criteria and provides a sustainable yet simple bridge design solution.
Keywords:
game theory; multi-objective optimization; steel–concrete composite structures; bridges; metaheuristics; sustainability MSC:
49-04; 74P20; 90C27; 90C59
1. Introduction
Engineering problems involve selecting the optimal solution based on various criteria, such as cost, environmental and social impact, and construction simplicity. Balancing these criteria adds complexity to the decision-making process, requiring the use of techniques and tools to achieve practical solutions [1,2]. To reach a compromise solution that considers the decision-making process and educates stakeholders, multi-objective optimization (MOO) techniques are applied [3,4,5]. MOO techniques allow for balancing all criteria and considering the relative importance of each in the decision-making process.
The civil engineering industry is known for considering multiple criteria in finding the best solution. Projects often have a significant economic impact and concerns regarding their environmental and social impact, given the large scale of these projects. One example is structure design problems, where researchers have been using multi-objective strategies to find optimal solutions [6]. Ghasemof et al. [7] have applied multi-objective optimization (MOO) to achieve a performance-based design for buildings. The same method has also been used to optimize seismic performance in structures, as demonstrated in the study by Rastegaran et al. [8], resulting in effective risk-based designs.
Furthermore, several other studies have focused on optimizing the geometric design of various structural components, including wind turbine foundations [9], reinforced concrete (RF) frames in bridges [10], and cable-stayed bridge tendons [11], among others. In the case of cable-stayed bridges, the optimization criteria considered include the structure’s cost, sustainability, ease of construction, and safety. These studies often incorporate CO2 emissions as a criterion for sustainability, resulting in a design that optimizes cost and environmental impact.
Recent research in steel–concrete composite structures has shown that a single-objective optimization (SOO) approach, using either CO2 emissions or embodied energy as the criteria, may not necessarily lead to an optimal cost solution. This is because increasing the yield stress of structural steel does not affect its emissions or embodied energy [12,13].
Current studies in steel–concrete composite bridge (SCCB) optimization need to gain comprehensive knowledge from various fields. One limitation is using only one indicator for sustainability, such as CO2 emissions or embodied energy [12,13]. More advanced methods, such as the structure’s Life Cycle Assessment (LCA), can provide a more comprehensive evaluation of the environmental impact profile. Recent studies have highlighted the importance of integrating LCA in the design and optimization of infrastructure projects. LCA evaluates the environmental impacts associated with all stages of a product’s life, from raw material extraction to disposal. Despite advancements, challenges such as monetizing environmental impacts and handling economic data volatility remain. These challenges present opportunities for developing more comprehensive approaches [14]. Additionally, existing studies have only considered sustainability’s economic and environmental aspects, ignoring the social impact. Moreover, the optimization of SCCB has primarily been performed using SOO criteria, as demonstrated in the study by Briseghella [15] and noted in review articles [16].
Multi-objective optimization has proven to be a powerful tool in the sustainable design of civil engineering structures. Recent studies have explored its application to pedestrian and vehicular bridges, balancing criteria such as cost, environmental impact, and structural performance [17,18]. Additionally, the Sine Cosine Algorithm (SCA) and its variants have gained popularity for handling complex problems in structural optimization [19,20,21]. These methodologies highlight the importance of integrated approaches that consider multiple objectives in the design of steel–concrete composite bridges.
This research presents an MOO strategy, utilizing a game theory approach, for designing a three-span steel–concrete composite bridge (SCCB) with a box-girder cross-section. The design includes adding four cells at the flange-web contact zone to reduce the distance between stiffened zones and minimize material usage. Game theory is chosen for multi-objective optimization due to its ability to handle multiple conflicting objectives effectively. By transforming the optimization problem into a strategic game, game theory allows for the identification of optimal strategies that balance different criteria. This approach is particularly suitable for complex engineering problems, such as bridge design, where economic, environmental, and social impacts must be considered simultaneously [22,23].
This research aims to improve the knowledge and understanding of SCCB design by proposing an MOO strategy that balances sustainability and construction ease.
2. Multi-Objective Optimization
As a general definition, a multi-objective minimization problem can be defined as choosing a solution vector with n variables that minimizes the k objective function chosen subject to m certain constraints as defined in Equations (1)–(3):
In this study, the optimization problem consists of an SCCB deck. The structure has three spans, of which the lateral ones have a length of 60 m while the central span is 100 m. The structural optimization problem variables, parameters, and constraints have been defined in Section 2.3. The objective functions chosen for the MOO have been the three pillars of sustainability, represented by the cost (economy), the environmental (environment), and the social (society) LCA, and the constructive ease of the RC slabs. All the objective functions have been defined in Section 2.2. A game-theory-based procedure has been selected to reach the optimal compromise solutions. This method has been described in Section 2.1. Figure 1 summarizes the complete MOO process carried out in this research.
Figure 1.
Game theory optimization process flowchart.
The flowchart in Figure 1 illustrates the step-by-step process of the game-theory-based multi-objective optimization (MOO) methodology applied in this study. The process begins with the initialization of a random population of potential solutions, which represent different design alternatives for the steel–concrete composite bridge (SCCB). Each solution’s fitness is evaluated based on four objective functions: cost, environmental life cycle assessment (ELCA), social life cycle assessment (SLCA), and constructability (CS).
To ensure the feasibility of the solutions, the constraints are checked, including structural safety and serviceability limits. If a solution does not meet the constraints, a penalty is applied to its fitness value using the normalized terms and , as defined in Equation (15). The objective function values are then normalized, and the game theory approach is applied to balance the multiple objectives.
Next, a weighted objective function is formulated, where entropy theory is used to assign weights to each criterion. This combined function calculates a super-criterion (S), which maximizes the deviation of each objective from its worst value. The optimization algorithm iteratively updates the population, using the Algorithm (SCA) with a discretization technique, to improve the solutions.
The process continues until the convergence criteria are met, such as a maximum number of iterations or stabilization of the objective function values. Finally, the Minkowski distance metrics are used to select the best compromise solution from the Pareto-optimal set, ensuring a balance among sustainability, cost-effectiveness, and constructability.
2.1. Game Theory Approach
Game theory is a brand of applied mathematics that allows studying the interaction in formalized incentive structures. The name given to this structure corresponds to games. The players represent the objective functions in this problem. Players can change problem variables vector for changing the value of the objective function. The goal of every player is to minimize the objective function. However, the value of every player’s objective function can also be influenced by the decisions of other players regarding the variables vector.
Considering the above, it can be concluded that a game theory problem encompasses interest among players. Thus, it gives two possibilities for problem resolution. In the first one, players are guided by selfishness and, consequently, try to decrease their objective function without considering the consequences for the rest of the players. This, in game theory, is named a non-cooperative game. The point where the players cannot modify the solution unilaterally to improve its corresponding criterion is called the Nash equilibrium [24]. This equilibrium can be mathematically defined as given in Equation (4) for n design variables and k criteria. This Nash equilibrium can be more than one point in the solution space and, in this case, have different values for each Nash equilibrium point. If this situation is produced, the player that declares the moving of first place forces the others to move to the equilibrium point:
The other option arises in which the players cooperate to find a better solution than the one reached in the Nash equilibrium. If the deciders take this strategy, this is defined as a cooperative game. As a consequence, this provides a space for solutions. In order to allow the reduction of solutions, the Pareto-optimal concept can be applied. A multi-objective Pareto-optimal feasible solution accomplish that no other another feasible solution exists where for i = 1, 2, …, k with almost one j that accomplishes [25]. The next step in the procedure is to choose the solution vector contained in the Pareto-optimal set that represents a compromise solution that benefits all players or at least is acceptable. This is made by defining specific negotiation rules between players that allow them to formulate a super-criterion. This super-criterion allows reformulating the MOO problem into an SOO that allows a compromise solution between players.
Game-Theory-Based Optimization Strategy
In this work, a game-theory-based MOO has been applied to SCCB structural optimization. The methodology followed is the one proposed by Annamdas and Rao [22]. This method uses a cooperative game strategy in which the super-criterion maximizes the deviation between every objective function and its worst value. It should be noted that the method does not need the criteria introduced to be contrary to each other. It has shown good results in other engineering problems, as described in Annamdas and Rao [22], and consists of the following steps:
- Minimize and maximize of the kobjectives to get the best and the worst value.
- Normalize the current value of the kobjective function with respect to the best and worst value by means of Equation (5):This normalization avoids favoring any criteria by making the values of all criteria lie between zero and one when minimizing the objective function defined in (6).
- Minimize an objective function , defined in (6), that takes into account the compromise solution rules:where , defined in (7), represents a weighted objective function that includes the Pareto-optimal set:where 0 1 and 1The super-criterion S, defined in (8), maximizes the deviation between every objective function and its worst:
The method proposed by Annamdas and Rao proposes to minimize for all possible combinations of weights . This study has modified this method, assigning those weights to the values obtained through the entropy theory [26]. These weight values have been obtained by comparing the individuals generated in each population by the selected metaheuristic. The algorithm chosen is a discrete version of the SCA, which has been previously applied to this optimization problem considering different criteria as SOO [18]. This algorithm and its discretization technique have been defined in Section 2.4.
2.2. Objective Functions
The problem chosen for the MOO consists of reaching the optimum design of an SCCB involving four criteria as objective functions. Equations (9)–(12) assess the economic cost, the constructive simplicity of the slab, and the environmental and social life cycle assessment of the structure, respectively. The objective cost function multiplies the unit cost of every activity needed for constructing the bridge by its measurement. Table 1 includes all the construction units and their corresponding costs obtained from the BEDEC database [27]. In Equation (9), corresponds with the price of every construction unit and with its measurement:
Table 1.
Cost values of every construction unit for SCCB [27].
The following objective function, defined in Equation (10) considers the construction’s simplicity of the RC slabs of the bridge. In this expression, and correspond to the number of reinforcement layers and bars. This criterion considers that a lower amount of both bars and reinforcement layers is simpler to carry out during construction. The number of bars has been considered in the support sections of the bridge. In this section, the bridge is subjected to negative bending moments and, consequently, traction in the upper slab. Furthermore, the structural resistant model defined in EN 1994-1-1 [28] only considers reinforcement to obtain the ultimate moment of the section, which favors the placement of a more significant amount of reinforcement.
The LCA’s objective is to assess the structure’s environmental (ELCA) and social impact (SLCA), considering the processes needed, from the extraction of the raw material to the demolition of the structure and its transport to the landfill site. In Equations (11) and (12), i represent every life cycle stage, and the environmental and social impact of every process needed in every stage, respectively, and the measurement of every process. The processes considered and their corresponding environmental and social impact are defined in Table 2. The LCA method has been described in detail in Section 2.2.
Table 2.
Ecoinvent processes LCA environmental and social impact values.
Life Cycle Assessment Method
The life cycle assessment is the evaluation of the contribution of the processes of one activity or product to its global impact. Together, these procedures cover all the steps needed to complete this product or activity. Depending on the scope of the LCA, the processes considered begin with the raw material extraction and finish in the different stages of the product’s service life. In the case of bridges, the regulation that defines the procedure to carry out the environmental LCA is the ISO 14040:2006 [29]. In addition, the guide to follow to assess the social impact is the Guidelines for Social Life Cycle Assessment of Products [30]. To model the structure’s life cycle, it is necessary to obtain the impacts from databases and choose a life cycle impact assessment (LCIA) method. The method chosen for this research is the ReCiPe 2008 method [31] for ELCA and the social impacts weighting method (SIWM) for SLCA. The databases contain information about the impact of processes. In this research, ecoinvent v3.7.1. [32] and soca v2 [33] have been chosen for ELCA and SLCA, respectively. These databases are frequently upgraded and are very reliable for the scientific community [34]. Furthermore, the soca database allows associating ecoinvent processes with the PSILCA [35] database social impacts, being a useful tool for scientists [36].
In order to assess the impact of the SCCB, four stages have been defined for obtaining the full impact of the bridge. These phases correspond to manufacturing, construction, use, maintenance, and end of life, which are similar to those defined in previous bridge LCA studies [36].
Manufacturing encompasses transforming the raw material into the products needed for construction and their transportation to the building site, considering the wastes generated during these activities. In the case of steel products production, recycled steel radically impacts the bridge global environmental impact in SCCB [36]. It is critical to distinguish between structural and rebar steel since, according to some studies, the reinforcement steel recycling percentage is 71%. In contrast, the structural steel recycling ratio is 98% in developed countries such as in the EU [37].
Construction includes the actions required to build the bridge, considering the equipment, depending on the building style and location of the structure, which is all included in the construction phase. Formwork, scaffolding, vibrators, and concrete pouring must be considered. Additionally, the procedures for welding the steel sections that were overlooked during the manufacturing phase must be established for steel and steel–concrete composite bridges. The diesel consumption of the machinery, which is based on information from the manufacturer, the literature, or other sources, is included in the LCA model for modeling construction activities.
All the tasks required throughout the structure’s lifetime are included in the use and maintenance stage. Research has found that concrete can be carbonated to fix CO2 [38,39]. According to the study of García-Segura et al. [40], the expression of concrete carbonation is represented in Equation (13):
where t is the service life, k is the carbonation coefficient, A is the concrete’s exposed area, C is the amount of cement contained in one concrete cubic meter, and k is the amount of clinker in the cement.
The dismantling of the structure, or the procedures that take place after the structure’s life, is included in the end-of-life stage. The main operation is the machinery necessary to carry out the structure’s demolition and the transportation and treatment of the waste products produced during that stage. As a result, the distances between the building’s site and the landfill or waste treatment facilities must be specified. Depending on the properties of the waste materials, there are three primary options for their disposal: reuse, recycling, or landfilling. Concrete and steel are the most common materials used in bridge construction. Waste treatment options are based on the population’s needs and the region under consideration.
The inventory analysis constitutes the data gathering for all the materials and energy consumption required to develop all the processes involved in the bridge life cycle. When these processes’ outputs are considered, the environmental impact of the product being evaluated can be determined. The processes used in every stage are shown in Figure 2.
Figure 2.
Bridge life cycle model stages and activities.
The LCA impact was evaluated using a Python 3 script created using information from Ecoinvent [32] in version 3.7.1. and soca in version 2 [33]. Data have been obtained by modeling one unit of every product with GreenDelta’s OpenLCA 2.4.0 software. This tool, which is open source, enables the LCA, particularly for the scientific community [41].
2.3. Problem Definition
The structural optimization problem chosen for this research has been a 60-100-60 m SCCB deck. The geometry of this deck is box-girder. The optimization problem has been defined previously in recent studies where SOO procedures have been applied [12]. This research applies an MOO game-theory-based procedure to this existing optimization problem.
2.3.1. Variables and Parameters
The structural problem considers a total of 34 design variables. These variables consider the bridge cross-section and stiffener geometry, the slabs’ reinforcement, and the materials’ strength. The variables are grouped in four groups corresponding to the cross-section geometry variables (b, , , , , , , , , , , , , , ), the stiffeners and floor beam variables (, , , , , , , , , ), which define the stiffeners and transverse elements position and geometry, the reinforcement and shear connectors variables (, , , , , , ), and the materials’ strength variables (, , ). Figure 3 shows the geometrical variables’ position in the cross-section while Figure 4 shows the floor beams and stiffeners variables. The optimization problem nature is discrete, as stated in previous research on this optimization problem [18]. All SCCB variables have been defined considering a lower bound, an upper bound, and a step size. The discretization of the variables has been summarized in Table 3. Considering all combination possibilities, the number of designs is equal to 1.38 × 1046.
Figure 3.
SCCB structural optimization problem cross-section variables.
Figure 4.
SCCB structural optimization stiffeners and floor beam variables.
Table 3.
Optimization problem variables and boundaries [12,13,18].
Furthermore, the optimization problem is defined by some conditions that do not vary during the optimization problem. These conditions without variation are named parameters. This optimization problem considers the same parameters defined in the original problem [36]. The first parameters defined are bridge length and width. The entire length of the bridge is 200 m, divided into two lateral spans of 60 m and one central of 100 m, and its width (W) is 16 m. The following parameters are the variables’ bounds defined in Table 3. In addition, in this problem exist other parameters that define the position and the minimum values for some elements. This is the case of the reinforcement areas, lower flange, web thicknesses, and lower slab distributions represented in Figure 5. The minimum value of the web and bottom flange thicknesses (, ) are defined as 15 and 25 mm, respectively, by specific design guidelines [43,44]. The last geometrical parameter is the reinforcement coating which is the one defined in Eurocode 2 [45] for an XD2 environment, being 45 mm.
Figure 5.
Reinforcement, thicknesses, and lower slab distribution in bridge spans.
The following parameters define the characteristics of concrete following Eurocode 2 [45] regulation. These parameters are the maximum aggregate size, fixed in 20 mm, and the steel and concrete Young longitudinal and transverse modulus. For steel, these parameter values are fixed in 210,000 MPa and 80,769 MPa, respectively, while for concrete, they depend on the strength, with the expressions being and .
Finally, the last parameters define the bridge service life, structural class, and loading parameters. Service life defined for this kind of structure is 100 years, while the structural class corresponds to S5 according to Eurocodes [46]. The loads considered in the bridge are self-weight, dead loads, traffic, temperature variation, and wind. All these loads have been defined following the Eurocode 1 [46].
2.3.2. Constraints
The optimization problem’s restrictions are related to the structural safety (ULS) and serviceability (SLS) constraints specified by the rules [28,45,47]. In addition, limitations were included by specific design guidelines [43,44].
The ULS relates to the structural resistance of bridge sections, whereas the SLS corresponds to the prescribed stresses of the materials and structure deflection limitations. The prescribed loads and combinations correspond to those imposed by Eurocode 1.
Local and global structural models were undertaken for ULS checking. The feasibility of solutions is related to shear, flexure, torsion, and flexure-shear interaction checking in the case of global analysis. To determine the section’s resistance, the shear lag [28] and slenderness of Class 4 sections [45] were taken into account. The accuracy of the iterative Class 4 reduction method was specified at 10−6. Sections were homogenized by taking into account the coefficient (n) between the longitudinal deflection modulus of concrete () and steel (), as described by Equation (14). Creep and shrinkage of concrete were determined by the Eurocodes [28,45,47] standard. Local modeling was performed to establish the floor beam and diaphragm response to ULS.
The SLS limitations, deflection, the material’s tension limit, and fatigue were determined. The deflection limit was established by Spanish regulation IAP-11 [48], establishing L/1000 as the maximum deflection value for frequent combinations of live loads. In this instance, L denotes the length of each span. In addition, structural limits and geometrical constraints were specified. All structural tests were specified using a Python-programmed [49] numerical model.
Both ULS and SLS checking coefficients relate to the difference between the design values of the effects of actions () and its associated resistance value (), as shown by Equation (15). If these coefficient values are higher than or equal to one, the section satisfies the constraints defined in Equation (3):
2.4. Sine Cosine Algorithm
The original Sine Cosine Algorithm (SCA) was proposed in 2016 by Mirjalili [50] and corresponds to a swarm intelligence class metaheuristic that uses sine and cosine functions to explore and utilize the search space. In addition, using , which corresponds to the location of the target solution for iteration t and dimension j, to shift the solutions, the best solution so far is often employed. In addition, the method employs three numbers between 0 and 1 (, , and ). Equations (16) and (17) illustrate the updating mechanism used:
As the nature of the SCA algorithm is continuous, a discrete version of this algorithm has been used in this research. The discrete sine and cosine algorithm (SCA) was chosen for its balance between exploration and exploitation in the search space. The parameters were set as follows: () and () were initialized to control the movement towards or away from the best solution and () was used to switch between sine and cosine functions. These parameters were chosen based on their ability to avoid premature convergence and maintain diversity in the population [51]. As this discrete version has been proposed by Martínez-Muñoz et al. [12] and recently applied to this optimization problem with an SOO approach the parameters used are the ones defined in this study. Furthermore, the algorithm is compared with others getting better results, justifying its use for this optimization problem. This discrete version uses the velocities obtained for the second term of Equations (16) and (17), which is the one that controls the variables’ vector change. It applies a v-shape transfer function to it as proposed by Hussien et al. [52]. The value obtained is compared with a random number between [0, 1). If the value of the random number is higher than the one obtained by the transfer function, the variable remains without changes; otherwise, a value is defined and compared with a new random number to define if the variable takes the best value variable or change it to a near value. This value has been tuned for this optimization problem in Martínez-Muñoz et al. [12], setting it to 0.8.
It should be noted that some individual solutions can be unfeasible due to the constraints applied to the optimization problem defined in Section 2.3.2. When it occurs, a penalty function is applied to the objective function to increase its value proportionally to how far it is from meeting the constraint as defined in Equation (18):
2.5. Multi-Objective Preferred Solutions Selection
As the execution of the algorithm is repeated 30 times, different solutions are obtained. In SOO, the best is defined by the one that gets the lower objective function value. In this case, a method for the best individual selection must be followed, as four objective functions have been chosen for the MOO. The procedure applied for reaching the preferred solutions is proposed by Yepes et al. [53]. This strategy uses the three Minkowski metrics to choose the solution closest to the ideal point. This method applies the Manhattan (), Euclidean (), and Tchebycheff (). Equation (19) shows how the distance from any point is evaluated in the p norm:
where , are the criteria chosen, is the best values vector, and , the criteria weights, defined in Equation (20). These are composed of two components. The first corresponds to the values obtained from a multi-criteria decision-making process () and can contain a subjective component. The second component () normalizes the criteria values. In Yepes et al. [53], the weights () are obtained by applying the analytic hierarchy process. In this case, the entropy theory [26] has been chosen to obtain the weights as this method does not require decision-makers and gives greater weight to the criterion that is better able to discriminate between alternatives. Furthermore, as all the objective functions are quantitative, no subjectivity is added to the process.
3. Results and Discussion
This section analyzes and compares the results obtained for the game theory MOO approach strategy with a cost SOO procedure. Furthermore, the results obtained have been compared with recent SCCB optimization research. For this purpose, 100 runs of the algorithm have been performed to reach optimum designs. The Minkowski distance methodology has been applied to these 100 optimal individuals to obtain the best for each distance.
As defined in Section 2.1, the first step corresponds to the minimization and maximization of every objective function considered for the MOO problem. In this case, four objective functions have been considered, whose expressions are defined in Equations (9)–(12). Five iterations have been carried out for every maximization and minimization to get the worst and best values, respectively. Table 4 shows the results obtained from the algorithm’s runs for obtaining the maximum and minimum. The values chosen as best and worst correspond to the minimum and maximum of every five iterations. The algorithm used for the optimization process is the discrete SCA defined in Section 2.4.
Table 4.
Maximum and minimum values obtained from SOO of every objective function.
Results shown in Table 4 correspond to the best and worst values used in Equation (5) for normalizing the objective functions’ results. Once these values have been obtained, the game theory objective function is used for carrying out the MOO process using the discrete SCA algorithm. This procedure produces 100 optimum individuals. The Minkowski distance method has resulted in three best design solutions corresponding with the Manhattan (), Euclidean (), and Tchebycheff () distances to the ideal point. This ideal point is defined by every of the lower values of every objective function shown in Table 4. For obtaining the values of the Minkowski distances, the weights associated have been calculated using the entropy theory [26]. The objective metrics preferred solution, weights, and the associated results of objective functions considered are shown in Table 5.
Table 5.
Objective function and metrics values for preferred solutions.
First, a comparison has been made for the variation of the objective function during the optimization problem comparing the MOO designs with a cost SOO procedure obtained following the method described in [18]. In Figure 6, it can be seen the comparison of the trajectories obtained. It should be noted that the best design obtained from and is the same, and consequently, only one representation has been made. As seen, apparent differences can be observed in how the algorithm moves through the solution space to obtain the optimum. In cost optimization, the algorithm decreases costs and reduces ELCA and SLCA due to the cost reduction of the used material.
Figure 6.
Objective functions variation during the optimization process for both MOO and cost SOO.
Conversely, the value of the CS of the upper slab does not have a clear trend reaching the end of the process, a significant difference compared to the MOO design solutions. If the MOO design is obtained, it can be seen that from 500 iterations, all objective functions are stabilized. This validates the number of iterations used for the proposed method. Furthermore, it can be seen that the MOO procedure’s best individual result decreases, at the beginning of the process, the cost, ELCA, and SLCA criteria in a more straightforward way. From 325 iterations, the value of these objective functions is stabilized. From that point, the CS of the RC slab reduction continues. The reasons for this can be observed in Figure 7. The essential material and, consequently, the most impactful, is the rolled steel that materializes the steel beam in the bridge’s cross-section is reduced drastically. On the contrary, the and solutions reduce at the same time all criteria. The differences observed regarding the amounts of the materials can be seen in the box plot of Figure 7. In contrast to SOO, MOO produces a lower amount of reinforcing steel and increases the rolled steel amount to obtain a similar cross-section design strength. The results variation depends basically on the inertia of the cross-section, and consequently, different configurations can be found by varying the distribution of structural and reinforcing steel in the cross-section, obtaining similar results in the objective functions.
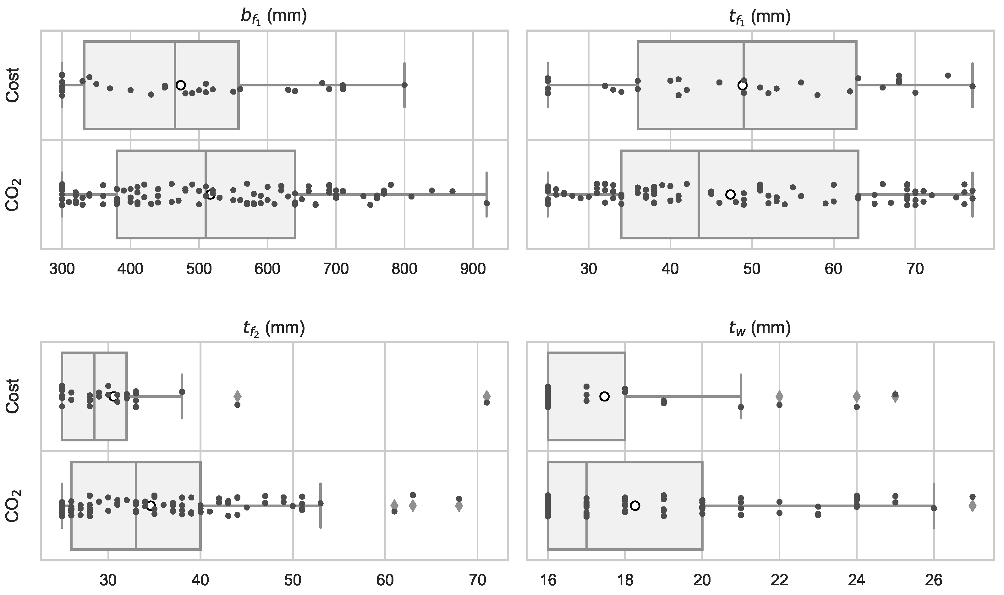
Figure 7.
Reinforcements and rolled steel amounts data obtained from both MOO and SOO.
As shown in Table 5, depending on the solution chosen, the MOO optimization can become even better in terms of cost than the SOO. If the metric solution is compared with the SOO, it can be seen that a reduction of 580 EUR is produced. Furthermore, this is compared with the study of Martínez-Muñoz et al. [18] that applied SCA for both cost and CO2 emissions SOOs to this structural problem. In that case, the cost SOO best value is 3,829,666 EUR, compared with the best value of the MOO strategy applied in this research being lower by only 150 EUR (8.2‰ less). Furthermore, if the result is compared to the CO2 emissions best design in the same study of Martínez-Muñoz et al. [18], it can be observed that it takes a cost value of 4,096,922 EUR, increasing the best cost by 6.98%. The MOO strategy proposed is capable of finding sustainable and better constructive simplicity solutions that do not increase the cost for this optimization problem.
The results from a cost SOO and the best Minkowski metrics individuals of the MOO structural problem variables are shown in Table 6. As described before, the difference in material amounts is an increase in the amount of structural steel to allow for the reduction of reinforcing steel. Focusing the analysis on the slab reinforcement, it can be observed that the base reinforcement bars’ diameter takes a higher value allowing for reducing the number of bars. This reduction is produced to improve the constructive simplicity of the upper slab. Two principal reasons justify this. The first one is that the distance between bars increases, and consequently, the concrete’s vibration can be performed more efficiently. Moreover, reducing bars reduces the time of placement of these bars.
Table 6.
Best solutions obtained for cost SOO and MOO , , and .
Consequently, this steel amounts variation directly impacts the values of the design variables of the problem, as shown in Figure 8, Figure 9 and Figure 10. First, the transverse section main variables have been compared in Figure 8. The main difference found is an increase in the depth of the steel beam and the distance between transverse stiffeners , while the diaphragms , which control the torsional resistance of the bridge, increase. The results of SOO and MOO are similar concerning the angle of the webs ().
Figure 8.
SOO and MOO strategies’ cross-section variable values.
Figure 9.
SOO and MOO strategies’ flange and web variable values.
Figure 10.
SOO and MOO strategies’ cell variable result values.
The following analysis focuses on the thicknesses and widths of the bridge flanges. It can be seen in Figure 9 that the width of the top flange () increases while its thickness () remains constant. This allows adding more inertia to resist the negative bending moments in supported zones and compensate for the loss due to the reduction of reinforcing steel. The bottom flange and web thicknesses (, ) increase in the case of MOO design. Regarding the heights and thicknesses of the cells proposed for this design in Section 2.3, it can be seen that the results shown in Figure 10 give positive values for the heights. This result is similar to the one obtained for SOO designs in this structural optimization problem [12,13,18]. It is observed an increase in the thicknesses (, ) of these elements and an increase in the bottom cells’ height (), while the upper cell remains similar in terms of height.
The variables that define the strength of the materials are the same for all designs obtained in this study. Concrete characteristic strength takes 25 MPa, corresponding with the lower value allowed by the concrete European regulation [45]. Regarding the reinforcement yield stress, the results are the same for all design alternatives taking 500 MPa as the value. Finally, a comparison of the structural steel yield stress has been made. When optimizing cost with SOO, the yield stress obtained is 275 MPa, the same as with the design reached by the MOO strategy. Conversely, in CO2 [12,18] and embodied energy [13] SOO studies that solve this structural problem, the yield stress increase. This is because the CO2 and embodied energy associated with an increase in yield stress are null. This is also the case of ELCA and SLCA, where the impact does not increase for modeling higher-strength steels. The only thing that modifies the steel’s impact is its recycling ratio for both environmental and social impacts [36].
4. Conclusions
This research has utilized a game theory approach to perform MOO on a steel–concrete composite bridge deck. The cooperative game strategy allows for finding a balance between various objectives. The structural problem defined involves 34 variables and 1.38 × 1046 combinations. The optimization algorithm employed is a discretized version of the Sine Cosine Algorithm (SCA), which was adjusted for discrete optimization by using a v-shape transfer function. The preferred solutions were then selected using a Minkowski distance method based on entropy theory to assign weights to the objectives, which included cost, environmental life cycle assessment (ELCA), social life cycle assessment (SLCA), and the ease of construction of the upper slab.
The results indicate that the MOO approach leads to similar cost increases of 8.2‰ compared to the single-objective optimization (SOO) approach based on cost. The most significant difference between the SOO and MOO designs is an increase in the amount of structural steel and a reduction in the reinforcement of the upper slab. This reduction was achieved by increasing the diameter of the bars, which improves the constructability of the slab and reduces the need for concrete vibration. The values of the steel beam variables were increased to compensate for the negative bending strength in the support zones.
In conclusion, the MOO approach can result in a sustainable design that also considers the ease of construction, as evidenced by the decreased reinforcement of the slab and the use of lower yield stress of the structural steel (275 MPa). This research demonstrates that the game-theory-based multi-objective optimization method effectively balances sustainability and construction simplicity in steel–concrete composite bridge design. The innovative approach provides practical solutions that can be applied to real-world engineering problems, offering significant improvements in environmental and social impact assessments.
While our research provides a robust framework for optimizing bridge design, it has certain limitations. The computational complexity of the game-theory-based approach can be high, and the method may require further refinement to handle larger-scale problems efficiently. Future research can explore incorporating hybrid optimization algorithms or metamodels to improve performance and reduce computation time.
Author Contributions
D.M.-M. contributed to the conceptualization and investigation of the study. Methodology was developed by D.M.-M. Software was provided by D.M.-M. Validation was performed by J.V.M. and V.Y. Formal analysis was conducted by D.M.-M. Data curation was carried out by D.M.-M. and J.V.M. Resources were provided by V.Y. D.M.-M. wrote the original draft, while J.V.M. and V.Y. handled review and editing. Visualization was performed by D.M.-M. Supervision was provided by J.V.M. and V.Y. Project administration was handled by V.Y. and funding was acquired by V.Y. All authors have read and agreed to the published version of the manuscript.
Funding
This work was supported by Grant PID2023-150003OB-I00 and Grant FPU-18/01592.
Data Availability Statement
Data will be made available on request to the authors.
Acknowledgments
The authors gratefully acknowledge the funding received from the following research projects: Grant PID2023-150003OB-I00, funded by MICIU/AEI/10.13039/501100011033 and by “ERDF/EU”, and Grant FPU-18/01592, funded by MCIN/AEI/10.13039/501100011033 and by “ESF invests in your future”.
Conflicts of Interest
The authors declare no conflicts of interest.
Abbreviations
The following abbreviations are used in this manuscript:
| MOO | Multi-Objective Optimization |
| SOO | Single-Objective Optimization |
| SCCB | Steel–Concrete Composite Bridges |
| LCA | Life Cycle Assessment |
| ELCA | Environmental Life Cycle Assessment |
| SLCA | Social Life Cycle Assessment |
| SIWM | Social Impact Weighting Method |
| ULS | Ultimate Limit States |
| SLS | Serviceability Limit States |
| SCA | Sine Cosine Algorithm |
References
- Zavadskas, E.; Vilutienė, T.; Turskis, Z.; Šaparauskas, J. Multi-criteria analysis of Projects’ performance in construction. Arch. Civ. Mech. Eng. 2014, 14, 114–121. [Google Scholar] [CrossRef]
- Medineckiene, M.; Zavadskas, E.; Björk, F.; Turskis, Z. Multi-criteria decision-making system for sustainable building assessment/certification. Arch. Civ. Mech. Eng. 2015, 15, 11–18. [Google Scholar] [CrossRef]
- Altuzarra, A.; Gargallo, P.; Moreno-Jiménez, J.M.; Salvador, M. Influence, relevance and discordance of criteria in ahp-global bayesian prioritization. Int. J. Inf. Technol. Decis. Mak. 2013, 12, 837–861. [Google Scholar] [CrossRef]
- Moreno-Jiménez, J.M.; Cardeñosa, J.; Gallardo, C.; Ángel de la Villa-Moreno, M. A new e-learning tool for cognitive democracies in the Knowledge Society. Comput. Hum. Behav. 2014, 30, 409–418. [Google Scholar] [CrossRef]
- Moreno-Jiménez, J.M.; Pérez-Espés, C.; Velázquez, M. e-Cognocracy and the design of public policies. Gov. Inf. Q. 2014, 31, 185–194. [Google Scholar] [CrossRef]
- Fang, C.; Ping, Y.; Gao, Y.; Zheng, Y.; Chen, Y. Machine learning-aided multi-objective optimization of structures with hybrid braces—Framework and case study. Eng. Struct. 2022, 269, 114808. [Google Scholar] [CrossRef]
- Ghasemof, A.; Mirtaheri, M.; Karami Mohammadi, R. Multi-objective optimization for probabilistic performance-based design of buildings using FEMA P-58 methodology. Eng. Struct. 2022, 254, 113856. [Google Scholar] [CrossRef]
- Rastegaran, M.; Beheshti Aval, S.; Sangalaki, E. Multi-objective reliability-based seismic performance design optimization of SMRFs considering various sources of uncertainty. Eng. Struct. 2022, 261, 114219. [Google Scholar] [CrossRef]
- Mathern, A.; Penadés-Plà, V.; Armesto Barros, J.; Yepes, V. Practical metamodel-assisted multi-objective design optimization for improved sustainability and buildability of wind turbine foundations. Struct. Multidiscip. Optim. 2022, 65, 46. [Google Scholar] [CrossRef]
- Martinez-Martin, F.J.; Gonzalez-Vidosa, F.; Hospitaler, A.; Yepes, V. Multi-objective optimization design of bridge piers with hybrid heuristic algorithms. J. Zhejiang Univ. Sci. A 2012, 13, 420–432. [Google Scholar] [CrossRef]
- Soto, N.; Cid, C.; Baldomir, A.; Hernández, S. Fail-safe optimum cable system under cable breakage in cable-stayed bridges. Application to the Queensferry Crossing Bridge. Eng. Struct. 2023, 279, 115557. [Google Scholar] [CrossRef]
- Martínez-Muñoz, D.; García, J.; Martí, J.V.; Yepes, V. Discrete swarm intelligence optimization algorithms applied to steel–concrete composite bridges. Eng. Struct. 2022, 266, 114607. [Google Scholar] [CrossRef]
- Martínez-Muñoz, D.; García, J.; Martí, J.V.; Yepes, V. Hybrid Swarm Intelligence Optimization Methods for Low-Embodied Energy Steel-Concrete Composite Bridges. Mathematics 2023, 11, 140. [Google Scholar] [CrossRef]
- Elnaggar, A. Nine principles of green heritage science: Life cycle assessment as a tool enabling green transformation. Herit. Sci. 2024, 12, 7. [Google Scholar] [CrossRef]
- Briseghella, B.; Fenu, L.; Lan, C.; Mazzarolo, E.; Zordan, T. Application of topological optimization to bridge design. J. Bridge Eng. 2013, 18, 790–800. [Google Scholar] [CrossRef]
- Martínez-Muñoz, D.; Martí, J.V.; Yepes, V. Steel-concrete composite bridges: Design, life cycle assessment, maintenance, and decision-making. Adv. Civ. Eng. 2020, 2020, 8823370. [Google Scholar] [CrossRef]
- Tres Junior, F.L.; Yepes, V.; Medeiros, G.F.d.; Kripka, M. Multi-objective optimization applied to the design of sustainable pedestrian bridges. Int. J. Environ. Res. Public Health 2023, 20, 3190. [Google Scholar] [CrossRef] [PubMed]
- Martínez-Muñoz, D.; García, J.; Martí, J.V.; Yepes, V. Optimal design of steel–concrete composite bridge based on a transfer function discrete swarm intelligence algorithm. Struct. Multidiscip. Optim. 2022, 65, 312. [Google Scholar] [CrossRef]
- Gabis, A.B.; Meraihi, Y.; Mirjalili, S.; Ramdane-Cherif, A. A comprehensive survey of sine cosine algorithm: Variants and applications. Artif. Intell. Rev. 2021, 54, 5469–5540. [Google Scholar] [CrossRef]
- Pham, V.H.S.; Nguyen Dang, N.T.; Nguyen, V.N. Enhancing engineering optimization using hybrid sine cosine algorithm with Roulette wheel selection and opposition-based learning. Sci. Rep. 2024, 14, 694. [Google Scholar] [CrossRef] [PubMed]
- Yu, H.; Zhao, Z.; Zhou, J.; Heidari, A.A.; Chen, H. Sine cosine algorithm with communication and quality enhancement: Performance design for engineering problems. J. Comput. Des. Eng. 2023, 10, 1868–1891. [Google Scholar] [CrossRef]
- Annamdas, K.K.; Rao, S.S. Multi-objective optimization of engineering systems using game theory and particle swarm optimization. Eng. Optim. 2009, 41, 737–752. [Google Scholar] [CrossRef]
- Jin, M.; Lei, X.; Du, J. Evolutionary game theory in multi-objective optimization problem. Int. J. Comput. Intell. Syst. 2010, 3, 74–87. [Google Scholar]
- Nash, J. Non-Cooperative Games. Ann. Math. 1951, 54, 286–295. [Google Scholar] [CrossRef]
- Rao, S.S. Engineering Optimization Theory and Practice; John Wiley & Sons, Ltd.: Hoboken, NJ, USA, 2019. [Google Scholar]
- Zeleny, M. Multiple Criteria Decision Making; McGraw-Hill: New York, NY, USA, 1982. [Google Scholar]
- Catalonia Institute of Construction Technology. BEDEC ITEC Materials Database. Available online: https://metabase.itec.cat/vide/es/bedec (accessed on 30 January 2021).
- CEN. Eurocode 2: Design of Concrete Structures; European Committee for Standardization: Brussels, Belgium, 2013. [Google Scholar]
- ISO 14040:2006; Environmental Management, Life Cycle Assessment Principles and Framework. International Organization for Standardization: Geneva, Switzerland, 2006.
- Benoît, C.; Mazijn, B. Guidelines for Social Life Cycle Assessment of Products; UNEP/SETAC Life Cycle Initiative, Sustainable Product and Consumption Branch: Paris, France, 2011; Volume 15. [Google Scholar]
- Goedkoop, M.; Heijungs, R.; Huijbregts, M.; De Schryver, A.; Struijs, J.; Van Zelm, R. ReCiPe 2008. Report I: Characterisation; Ministry of Housing, Spatial Planning and Environment (VROM): Luxembourg, 2009; pp. 1–44.
- Frischknecht, R.; Rebitzer, G. The ecoinvent database system: A comprehensive web-based LCA database. J. Clean. Prod. 2005, 13, 1337–1343. [Google Scholar] [CrossRef]
- GreenDelta GmbH. Soca v. 2 add-on: Adding social impact information to ecoinvent. In Description of Methodology to Map Social Impact Information from PSILCA v3 to Ecoinvent v. 3.7.1; GreenDelta GmbH: Berlin, Germany, 2021. [Google Scholar]
- Pascual-González, J.; Guillén-Gosálbez, G.; Mateo-Sanz, J.M.; Jiménez-Esteller, L. Statistical analysis of the ecoinvent database to uncover relationships between life cycle impact assessment metrics. J. Clean. Prod. 2016, 112, 359–368. [Google Scholar] [CrossRef]
- Ciroth, A.; Eisfeldt, F. PSILCA—A product social impact life cycle assessment database. Database Version 2016, 1, 1–99. [Google Scholar]
- Martínez-Muñoz, D.; Martí, J.V.; Yepes, V. Social Impact Assessment Comparison of Composite and Concrete Bridge Alternatives. Sustainability 2022, 14, 5186. [Google Scholar] [CrossRef]
- SRI. Construction|SRI—Steel Recycling Institute. Available online: https://www.steelsustainability.org/construction (accessed on 30 January 2021).
- Collins, F. Inclusion of carbonation during the life cycle of built and recycled concrete: Influence on their carbon footprint. Int. J. Life Cycle Assess. 2010, 15, 549–556. [Google Scholar] [CrossRef]
- Dodoo, A.; Gustavsson, L.; Sathre, R. Carbon implications of end-of-life management of building materials. Resour. Conserv. Recycl. 2009, 53, 276–286. [Google Scholar] [CrossRef]
- García-Segura, T.; Yepes, V.; Alcalá, J. Life cycle greenhouse gas emissions of blended cement concrete including carbonation and durability. Int. J. Life Cycle Assess. 2014, 19, 3–12. [Google Scholar] [CrossRef]
- Ciroth, A. ICT for environment in life cycle applications openLCA—A new open source software for Life Cycle Assessment. Int. J. Life Cycle Assess. 2007, 12, 209. [Google Scholar] [CrossRef]
- EN 10365:2017; Hot Rolled Steel Channels, I and H Sections, Dimensions and Masses. European Committee for Standardization: Brussels, Belgium, 2017.
- Vayas, I.; Iliopoulos, A. Design of Steel-Concrete Composite Bridges to Eurocodes; CRC Press: Boca Raton, FL, USA, 2017. [Google Scholar]
- Monleón, S. Diseño Estructural de Puentes; Universitat Politècnica de València: València, Spain, 2017. (In Spanish) [Google Scholar]
- CEN. Eurocode 4: Design of Composite Steel and Concrete Structures; European Committee for Standardization: Brussels, Belgium, 2013. [Google Scholar]
- CEN. Eurocode 1: Actions on Structures; European Committee for Standardization: Brussels, Belgium, 2019. [Google Scholar]
- CEN. Eurocode 3: Design of Steel Structures; European Committee for Standardization: Brussels, Belgium, 2013. [Google Scholar]
- MFOM. IAP-11: Code on the Actions for the Design of Road Bridges; Ministerio de Fomento: Madrid, Spain, 2011.
- Van Rossum, G.; Drake, F.L. Python 3 Reference Manual; CreateSpace: Scotts Valley, CA, USA, 2009. [Google Scholar]
- Mirjalili, S. SCA: A sine cosine algorithm for solving optimization problems. Knowl.-Based Syst. 2016, 96, 120–133. [Google Scholar] [CrossRef]
- Tawhid, M.A.; Savsani, P. Discrete sine-cosine algorithm (DSCA) with local search for solving traveling salesman problem. Arab. J. Sci. Eng. 2019, 44, 3669–3679. [Google Scholar] [CrossRef]
- Hussien, A.G.; Hassanien, A.E.; Houssein, E.H.; Amin, M.; Azar, A.T. New binary whale optimization algorithm for discrete optimization problems. Eng. Optim. 2020, 52, 945–959. [Google Scholar] [CrossRef]
- Yepes, V.; García-Segura, T.; Moreno-Jiménez, J. A cognitive approach for the multi-objective optimization of RC structural problems. Arch. Civ. Mech. Eng. 2015, 15, 1024–1036. [Google Scholar] [CrossRef]
Disclaimer/Publisher’s Note: The statements, opinions and data contained in all publications are solely those of the individual author(s) and contributor(s) and not of MDPI and/or the editor(s). MDPI and/or the editor(s) disclaim responsibility for any injury to people or property resulting from any ideas, methods, instructions or products referred to in the content. |
© 2025 by the authors. Licensee MDPI, Basel, Switzerland. This article is an open access article distributed under the terms and conditions of the Creative Commons Attribution (CC BY) license (https://creativecommons.org/licenses/by/4.0/).









