Further Results on the Mathematical Theory of Motion of Researchers Between Research Organizations
Abstract
1. Introduction
2. Mathematical Formulation of the Problem
- Time is continuous.
- The substance in a given node moves only to adjacent nodes, that is, the previous or the next node.
- The movement of the substance can be both from the node to other chains in the network and the environment, and vice versa.
- and represent the inflow and outflow of the substance between the environment and the k-th cell;
- and are the inflow and outflow from the k-th to the -st cell;
- and are the amounts of the inflow and outflow of the substance exchanged between the k-th cell and the network.
3. Analytical Results
3.1. Constant Coefficients
- (a)
- as ;
- (b)
- if any of the following holds:
- ;
- , and .
- (c)
- if and either or , and .
3.2. Monotonicity
- (a)
- decreases with the increase in t as far as .
- (b)
- The increase in is not guaranteed.
3.3. Concavity Analysis
- (a)
- If and , then is convex.
- (b)
- If and , then is concave.
- (a)
- If and , then is convex.
- (b)
- If and , then is concave.
- (a)
- If and , then is convex.
- (b)
- If and , then is concave.
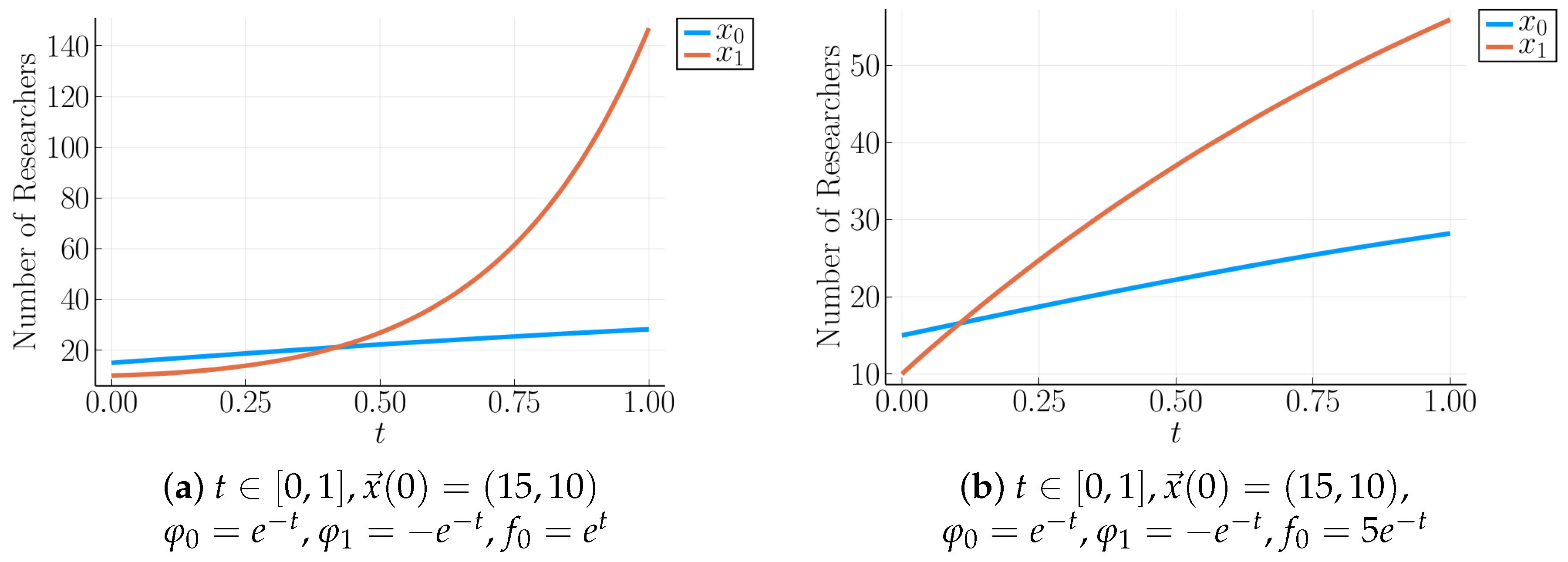
4. Numerical Results
4.1. The Numerical Procedure
4.2. Numerical Study of Concavity
4.3. Numerical Study of the Outcome
- and have both decreased, i.e., and ;
- and have increased, i.e., and ;
- has decreased, whereas has increased, i.e., and ;
- has increased, whereas has decreased, i.e., and .
5. Concluding Remarks
- A broader examination of the constant coefficient case could be considered. For example, the behavior when there are more than two cells in the chain and the evolution of the cells when .
- The tackling of a more generalized version of the model could provide a richer chain framework with more versatile connections between the substance amounts in the cells. Such versions could be the full matrix linear version in (4) or a nonlinear version of the form in (3). A possible first step into a general nonlinear modeling of the network could involve a quadratic polynomial of for each derivative in the system.
- The choice of in this paper is for demonstration purposes only. Other than , a reasonable endpoint for this model is unclear.
- The merits of a model can be measured truly by its application and forecasting abilities. A study focusing on fitting the model to real data would be a guide to what formulation of the general model could be useful in real situations. This way, theoretical analysis of such a model would be immensely useful for modeling any situation that might be describable by the model.
Author Contributions
Funding
Data Availability Statement
Conflicts of Interest
References
- Leydesdorff, L.; Wagner, C. Macro-level Indicators of the Relations Between Research Funding and Research Output. J. Inf. 2009, 3, 353–362. [Google Scholar] [CrossRef]
- Börner, K.; Sanyal, S.; Vespignani, A. Network Science. Annu. Rev. Inf. Sci. Technol. 2007, 41, 537–607. [Google Scholar] [CrossRef]
- Ahlswede, R.; Cai, N.; Li, S.Y.; Yeung, R.W. Network Information Flow. IEEE Trans. Inf. Theory 2000, 46, 1204–1216. [Google Scholar] [CrossRef]
- Asheim, B.T.; Lawton Smith, H.; Oughton, C. Regional Innovation Systems: Theory, Empirics and Policy. Reg. Stud. 2011, 45, 875–891. [Google Scholar] [CrossRef]
- Cooke, P.; Leydesdorff, L. Regional Development in the Knowledge-Based Economy: The Construction of Advantage. J. Technol. Transf. 2006, 31, 5–15. [Google Scholar] [CrossRef]
- Vitanov, N.K. Science Dynamics and Research Production. Indicators, Indexes, Statistical laws, and Mathematical Models; Springer: Cham, Switzerland, 2016. [Google Scholar]
- González, M.C.; Hidalgo, C.A.; Barabási, A.L. Understanding individual human mobility patterns. Nature 2008, 453, 779–782. [Google Scholar] [CrossRef] [PubMed]
- Newman, M.E.J. Coauthorship networks and patterns of scientific collaboration. Proc. Natl. Acad. Sci. USA 2004, 101 (Suppl. 1), 5200–5205. [Google Scholar] [CrossRef]
- Oliver, D.W.; Kelliher, T.P.; Keegan, J.G., Jr. Engineering Complex Systems With Models and Objects; McGraw-Hill: New York, NY, USA, 1997. [Google Scholar]
- Thurner, S.; Hannel, R.; Klimek. Introduction to the Theory of Complex Systems; Oxford University Press: Oxford, UK, 2018. [Google Scholar]
- Sayama, H.; Pestov, I.; Schmidt, J.; Bush, B.J.; Wong, C.; Yamanoi, J.; Gross, T. Modeling Complex Systems with Adaptive Networks. Comput. Math. Appl. 2013, 65, 1645–1664. [Google Scholar] [CrossRef]
- Albert, R.; Barabási, A.L. Statistical mechanics of complex networks. Rev. Mod. Phys. 2002, 74, 47–97. [Google Scholar] [CrossRef]
- Watts, D.J.; Strogatz, S.H. Collective Dynamics of ‘Small-World’ Networks. Nature 1998, 393, 440–442. [Google Scholar] [CrossRef]
- Tejedor, V.; Benichou, O.; Voituriez, R. Close or Connected: Distance and Connectivity Effects on Transport in Networks. Phys. Rev. E 2011, 83, 066102. [Google Scholar] [CrossRef][Green Version]
- Braun, T.; Glänzel, W.; Schubert, A. Scientometrics Indicators. A 32 Country Comparison of Publication Productivity and Citation Impact; World Scientific: London, UK, 1985. [Google Scholar]
- Yablonskii, A.I. Mathematical Methods in the Study of Science; Nauka: Moscow, Russia, 1986. (In Russian) [Google Scholar]
- Moed, H.F.; Glänzel; Schmoch, W.U. (Eds.) Handbook of Quantitative Science and Technology Research; Springer: Dordrecht, The Netherlands, 2005. [Google Scholar]
- Vinkler, P. The Evaluation of Research by Scientometric Indicators; Chandos Publishing: Oxford, UK, 2010. [Google Scholar]
- Ford, L.D., Jr.; Fulkerson, D.R. Flows in Networks; Princeton University Press: Princeton, NJ, USA, 1962. [Google Scholar]
- Wasserman, S.; Faust, K. Social Network Analysis: Methods and Applications; Cambridge University Press: Cambridge, UK, 1994. [Google Scholar]
- Ahuja, R.K.; Magnanti, T.L.; Orlin, J.B. Network Flows. Theory, Algorithms, and Applications; Prentice Hall: Upper Saddle River, NJ, USA, 1993. [Google Scholar]
- Barabasi, A.-L. Network Science; Cambridge University Press: Cambridge, UK, 2016. [Google Scholar]
- Lewis, T.G. Network Science: Theory and Applications; Wiley: Hoboken, NJ, USA, 2009. [Google Scholar]
- Chen, W.-K. Net Theory and Its Applications: Flows in Networks; Imperial College Press: London, UK, 2003. [Google Scholar]
- Dimitrova, Z.I. Flows of Substances in Networks and Network Channels: Selected Results and Applications. Entropy 2022, 24, 1485. [Google Scholar] [CrossRef]
- Skutella, M. An Introduction to Network Flows Over Time. In Research Trends in Combinatorial Optimization; Cook, W., Lovasz, L., Vygen, J., Eds.; Springer: Berlin/Heidelberg, Germany, 2009; pp. 451–482. [Google Scholar]
- May, R.M. Simple Mathematical Models with Very Complicated Dynamics. Nature 1976, 261, 459–467. [Google Scholar] [CrossRef]
- Resnick, M. Turtles, Termites, and Traffic Jams: Explorations in Massively Parallel Microworlds; The MIT Press: Cambridge, MA, USA, 1994. [Google Scholar]
- Li, B.; Bebis, J.G.; Gunes, M.H. A Survey of Network Flow Applications. J. Netw. Comput. Appl. 2013, 36, 567–581. [Google Scholar] [CrossRef]
- Schubert, A.; Glänzel, W. A Dynamic Look at a Class of Skew Distributions. A Model with Scientometric Application. Scientometrics 1984, 6, 149–167. [Google Scholar] [CrossRef]
- Vitanov, N.K.; Dimitrova, Z.I. Remarks on Dynamics of Research Production of Researchers and Research Organizations. In Predicting the Dynamics of Research Impact; Manolopoulos, Y., Vergoulis, T., Eds.; Springer: Cham, Switzerland, 2021; pp. 51–70. [Google Scholar]
- Piro, F.N.; Seeber, M.; Wang, L. Regional and Sectoral Variations in the Ability to Attract Funding from the European Union’s Seventh Framework Program and Horizon 2020. Scientometrics 2024, 129, 1493–1521. [Google Scholar] [CrossRef]
- Treiber, M.; Kesting, A. Traffic Flow Dynamics: Data, Models, and Simulation; Springer: Berlin/Heidelberg, Germany, 2013. [Google Scholar]
- Garavello, M.; Piccoli, B. On Fluido—Dynamic Models for Urban Traffic. Netw. Heterog. Media 2009, 4, 107–126. [Google Scholar] [CrossRef]
- Herty, M.; Klar, A. Modeling, Simulation, and Optimization of Traffic Flow Networks. SIAM J. Sci. Comput. 2003, 25, 1066–1087. [Google Scholar] [CrossRef]
- Cerquetti, R.; Iovanella, A.; Mattera, R. Clustering Networked Funded European Research Activities through Rank-Size Laws. Ann. Oper. Res. 2023, 342, 1707–1735. [Google Scholar] [CrossRef] [PubMed]
- Ausloos, M.; Cerqueti, R. A Universal Rank-Size Law. PLoS ONE 2016, 11, e0166011. [Google Scholar] [CrossRef]
- Bastidon, C.; Parent, A. Cliometrics of world stock markets evolving networks. Ann. Oper. 2022, 332, 23–53. [Google Scholar] [CrossRef]
- Fawcet, J.T. Networks, linkages, and migration systems. Int. Migr. Rev. 1989, 23, 671–680. [Google Scholar] [CrossRef]
- Raymer, J. The Estimation of International Migration Flows: A General Technique Focused on the Origin-Destination Association Structure. Environ. Plan. A 2007, 39, 985–995. [Google Scholar] [CrossRef]
- Vitanov, N.K.; Vitanov, K.N. Box Model of Migration Channels. Math. Soc. Sci. 2016, 80, 108–114. [Google Scholar] [CrossRef]
- Vitanov, N.K.; Vitanov, K.N. Discrete-Time Model for a Motion of Substance in a Channel of a Network with Application to Channels of Human Migration. Phys. A 2018, 509, 635–650. [Google Scholar] [CrossRef]
- Vitanov, N.K.; Vitanov, K.N. On the Motion of Substance in a Channel of a Network and Human Migration. Phys. A 2018, 490, 1277–1294. [Google Scholar] [CrossRef]
- Massey, D.S.; Arango, J.; Hugo, G.; KPellegrino, A.; Taylor, J.E. Theories of international migration: A review and appraisal. Popul. Dev. Rev. 1993, 19, 431–466. [Google Scholar] [CrossRef]
- White, H.C.; Boorman, S.A.; Breiger, R.L. Social Structure from Multiple Networks. I. Blockmodels of Roles and Positions. Am. J. Sociol. 1976, 81, 730–780. [Google Scholar] [CrossRef]
- Vitanov, K.; Vitanov, K.N. Statistical Distributions Connected to Motion of Substance in a Channel of a Network. Phys. A 2019, 527, 121174. [Google Scholar] [CrossRef]
- Vitanov, N.K.; Borisov, R.; Vitanov, K.N. On the Motion of Substance in a Channel and Growth of Random Networks. Phys. A 2021, 581, 126207. [Google Scholar] [CrossRef]
- Vitanov, N.K.; Borisov, R. A Model of a Motion of Substance in a Channel of a Network. J. Theor. Appl. Mech. 2018, 48, 74–84. [Google Scholar]
- Vitanov, N.K.; Borisov, R. Statistical Characteristics of a Flow of Substance in a Channel of Network that Contains Three Arms. Stud. Comput. Intell. 2018, 793, 421–432. [Google Scholar]
- Gao, Z.-K.; Jin, N.-D.; Wang, W.-X. Nonlinear Analysis of Gas-Water/Oil-Water Two-Phase Flow in Complex Networks; Springer: Berlin/Heidelberg, Germany, 2014. [Google Scholar]
- Vitanov, N.K.; Dimitrova, Z.I. A Mathematical Theory of Motion of Researchers between Research Organizations. Mathematics 2024, 12, 1984. [Google Scholar] [CrossRef]
- Runge, C. Über die numerische Auflösing von Differentialgleichungen. Math. Ann. 1895, 46, 167–178. [Google Scholar] [CrossRef]
- Kutta, M.W. Beitrag zur Naherungsweisen Integration totaler Differentialgleichungen. Math. Phys. 1901, 46, 435–453. [Google Scholar]
- Butcher, J.C. Numerical Methods for Ordinary Differential Equations, 3rd ed.; John Wiley & Sons: London, UK, 2016; pp. 259–262. [Google Scholar]
- Borisov, R.; Dimitrova, Z.I.; Vitanov, N.K. Statistical Characteristics of Stationary Flow of Substance in a Network Channel Containing Arbitrary Number of Arms. Entropy 2020, 22, 553. [Google Scholar] [CrossRef]
- Borisov, R.; Vitanov, N.K.; Ivanova, T.; Dimitrova, Z.I. Analysis of Motion of Substance in Channel of Network in Presence of Pumping. J. Theor. Appl. Mech. Sofia 2020, 50, 330–337. [Google Scholar]
- Vitanov, N.K.; Vitanov, K.N.; Kantz, H. On the Motion of Substance in a Channel of a Network: Extended Model and New Classes of Probability Distributions. Entropy 2020, 22, 1240. [Google Scholar] [CrossRef]
- Gradshteyn, I.S.; Ryzhik, I.M. Table of Integrals, Series and Productsf, 7th ed.; Academic Press: Cambridge, MA, USA, 2007; pp. 883–884. [Google Scholar]
- Hartman, P. Ordinary Differential Equations, 2nd ed.; Society for Industrial and Applied Mathematics: Philadelphia, PA, USA, 2002; pp. 8–15. [Google Scholar]











| h | RMSE | ||||
|---|---|---|---|---|---|
| 0.1 | (0.55, 0.8, 2, 1, 1) | 3.38 × 10−4 | 1.46 × 10−3 | 9.25 × 10−5 | 4.16 × 10−4 |
| 0.1 | (0.55, −0.9, 2, 1, 1) | 3.38 × 10−4 | 1.58 × 10−3 | 9.25 × 10−5 | 4.40 × 10−4 |
| 0.01 | (0.55, 0.8, 2, 1, 1) | 3.98 × 10−8 | 1.49 × 10−7 | 7.52 × 10−9 | 3.08 × 10−8 |
| 0.01 | (0.55, −0.9, 2, 1, 1) | 3.98 × 10−8 | 1.62 × 10−7 | 7.52 × 10−9 | 3.23 × 10−8 |
| 0.001 | (0.55, 0.8, 2, 1, 1) | 4.32 × 10−12 | 1.48 × 10−11 | 8.24 × 10−13 | 2.93 × 10−12 |
| 0.001 | (0.55, −0.9, 2, 1, 1) | 4.32 × 10−12 | 1.66 × 10−11 | 8.24 × 10−13 | 3.39 × 10−12 |
Disclaimer/Publisher’s Note: The statements, opinions and data contained in all publications are solely those of the individual author(s) and contributor(s) and not of MDPI and/or the editor(s). MDPI and/or the editor(s) disclaim responsibility for any injury to people or property resulting from any ideas, methods, instructions or products referred to in the content. |
© 2025 by the authors. Licensee MDPI, Basel, Switzerland. This article is an open access article distributed under the terms and conditions of the Creative Commons Attribution (CC BY) license (https://creativecommons.org/licenses/by/4.0/).
Share and Cite
Atanasova, P.; Georgiev, V.; Veselinova, M.; Vitanov, N. Further Results on the Mathematical Theory of Motion of Researchers Between Research Organizations. Mathematics 2025, 13, 2930. https://doi.org/10.3390/math13182930
Atanasova P, Georgiev V, Veselinova M, Vitanov N. Further Results on the Mathematical Theory of Motion of Researchers Between Research Organizations. Mathematics. 2025; 13(18):2930. https://doi.org/10.3390/math13182930
Chicago/Turabian StyleAtanasova, Pavlina, Valentin Georgiev, Magdalena Veselinova, and Nikolay Vitanov. 2025. "Further Results on the Mathematical Theory of Motion of Researchers Between Research Organizations" Mathematics 13, no. 18: 2930. https://doi.org/10.3390/math13182930
APA StyleAtanasova, P., Georgiev, V., Veselinova, M., & Vitanov, N. (2025). Further Results on the Mathematical Theory of Motion of Researchers Between Research Organizations. Mathematics, 13(18), 2930. https://doi.org/10.3390/math13182930

